Progressive Additive Benefits of Prehabilitation and Subsequent Bariatric Surgery on Cardiac Autonomic Regulation as Assessed by Means of a Simple Unitary Composite Index: Preliminary Data from an Observational Study
Abstract
:1. Introduction
2. Materials and Methods
2.1. Program Outline
- Clinical assessment (necessary also to eligibility for bariatric surgery) comprised the following
- -
- History, evaluation of previous medical tests, standard medical examination;
- -
- Routine blood tests: Serum total cholesterol, HDL-cholesterol, LDL-cholesterol, triglycerides (Roche Method for Modular Systems, Basel, Switzerland); glucose (Cobas Integra -Roche, Basel, Switzerland), insulin (determined by a specific time-resolved fluoro-immunoassay-Auto DELFIA Insulin kit; Wallac Oy, Turku, Finland), alanine transaminase(ALT), aspartate transaminase (AST) and gamma-glutamyl-transferase (GGT), and Creatinine, determined using standard clinical methodology employed at Pisa University Hospital;
- -
- Anthropometric (height, weight, Body Mass Index (BMI), Waist circumference (WC));
- -
- Resting metabolic rate (RMR) was estimated by indirect calorimetry [41] which was performed by a computerized open-circuit system with a canopy (Vmax 29 N; SensorMedics, Yorba Linda, CA, USA).
- Cardiac Autonomic Regulation (CAR)
- Lifestyle assessment
- -
- Routine blood tests: Serum total cholesterol, HDL-cholesterol, LDL-cholesterol, triglycerides (Roche Method for Modular Systems, Basel, Switzerland); glucose (Cobas Integra-Roche, Basel, Switzerland), insulin (determined by a specific time-resolved fluoro-immunoassay-Auto DELFIA Insulin kit; Wallac Oy, Turku, Finland), alanine transaminase(ALT), aspartate transaminase (AST) and gamma-glutamyl-transferase (GGT), Creatinine, determined using standard clinical methodology employed at Pisa University Hospital. Physical activity (total activity volume) was assessed by a modified version of the commonly employed short version of International Physical Activity Questionnaire (IPAQ) [49,50], which focuses on intensity (nominally estimated in Metabolic Equivalents (MET) according to the type of activity) and duration (in minutes) of physical activity. We considered the following levels: brisk walking (≈3.3 METs), other activities of moderate intensity (≈4.0 METs) and activities of vigorous intensity (≈8.0 METs) [48];
- -
- -
- Stress and somatic symptoms perception were assessed using a self-administered questionnaire [45,46,47] providing nominal self-rated scales (higher values indicate higher degrees of symptoms) that focused on: (i) the appraisal of overall stress and fatigue perception by Likert linear scales from 0 (‘no perception’) to 10 (‘highest perception’) for each measure; (ii) The Subjective Stress-related Somatic Symptoms Questionnaire (4S-Q), inquiring about 18 somatic symptoms accounting for the majority of somatic complaints. For scoring purpose, each response was coded from 0 (‘no feeling’) to 10 (‘a strong feeling’), thus the total score ranged from 0 to 180. The protocol of this study followed the principles of the Declaration of Helsinki and Title 45, US Code of Federal Regulations, Part 46, Protection of Human Subjects, Revised 13 November 2001, effective 13 December 2001, and was approved by the local Institutional Ethics Committee (Study protocol N. 140/2014, approved on 13 March 2014). As per policy of Pisa University Hospital all the Subjects gave their written informed consent to participate in the research study and to allow publication of anonymized data.
2.2. Statistical Analysis
3. Results
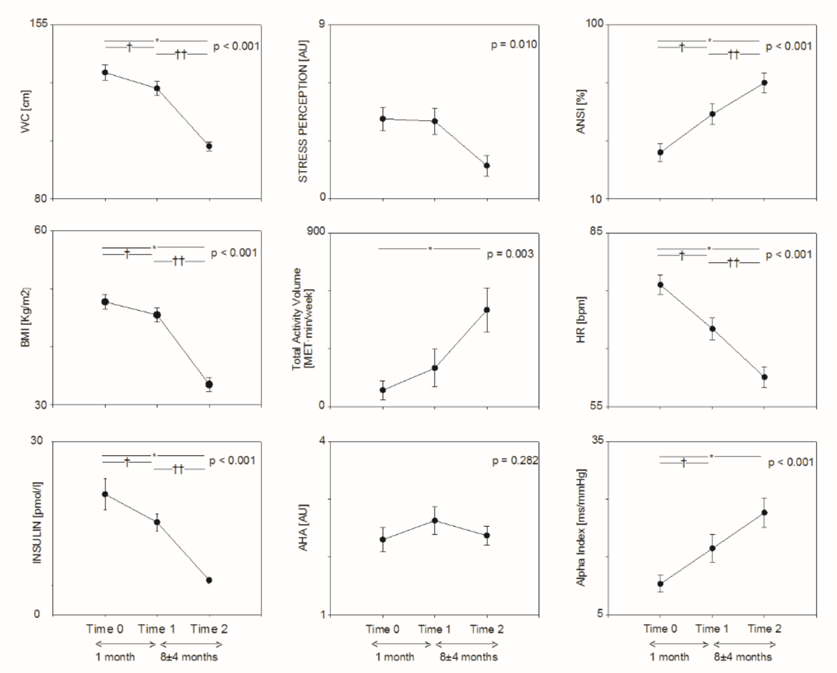
3.1. Anthropometric, Metabolic and Hemodynamic Parameters
3.2. Lifestyle Questionnaire
3.3. Cardiac Autonomic Control Variables
3.4. Correlations
4. Discussion
4.1. Overweight, Obesity and Autonomic Nervous System
4.2. Autonomic Nervous System Assessment in Clinical Practice
4.3. Bariatric Surgery, Stress and Lifestyle Modification
4.4. Limitations
5. Conclusions
Author Contributions
Funding
Institutional Review Board Statement
Informed Consent Statement
Conflicts of Interest
References
- Arnett, D.K.; Blumenthal, R.S.; Albert, M.A.; Buroker, A.B.; Goldberger, Z.D.; Hahn, E.J.; Himmelfarb, C.D.; Khera, A.; Lloyd-Jones, D.; McEvoy, J.W.; et al. 2019 ACC/AHA Guideline on the Primary Prevention of Cardiovascular Disease: A Report of the American College of Cardiology/American Heart Association Task Force on Clinical Practice Guidelines. Circulation 2019, 140, e596–e646. [Google Scholar] [CrossRef] [PubMed]
- Afshin, A.; Forouzanfar, M.H.; Reitsma, M.B.; Sur, P.; Estep, K.; Lee, A.; Marczak, L.; Mokdad, A.H.; Moradi-Lakeh, M.; Naghavi, M. Health Effects of Overweight and Obesity in 195 Countries over 25 Years: The GBD 2015 Obesity Collaborators. N. Engl. J. Med. 2017, 377, 13–27. [Google Scholar] [PubMed]
- Guarino, D.; Nannipieri, M.; Iervasi, G.; Taddei, S.; Bruno, R.M. The Role of the Autonomic Nervous System in the Pathophysiology of Obesity. Front. Physiol. 2017, 8, 665. [Google Scholar] [CrossRef]
- Joyner, M.J.; Green, D.J. Exercise Protects the Cardiovascular System: Effects beyond Traditional Risk Factors. J. Physiol. 2009, 587, 5551–5558. [Google Scholar] [CrossRef]
- Lambert, E.A.; Straznicky, N.E.; Dixon, J.B.; Lambert, G.W. Should the Sympathetic Nervous System Be a Target to Improve Cardiometabolic Risk in Obesity? Am. J. Physiol. Heart Circ. Physiol. 2015, 309, H244–H258. [Google Scholar] [CrossRef]
- Canale, M.P.; Manca Di Villahermosa, S.; Martino, G.; Rovella, V.; Noce, A.; De Lorenzo, A.; Di Daniele, N. Obesity-Related Metabolic Syndrome: Mechanisms of Sympathetic Overactivity. Int. J. Endocrinol. 2013, 2013, 865965. [Google Scholar] [CrossRef]
- Grassi, G.; Seravalle, G.; Colombo, M.; Bolla, G.; Cattaneo, B.M.; Cavagnini, F.; Mancia, G. Body Weight Reduction, Sympathetic Nerve Traffic, and Arterial Baroreflex in Obese Normotensive Humans. Circulation 1998, 97, 2037–2042. [Google Scholar] [CrossRef]
- Lucini, D.; De Giacomi, G.; Tosi, F.; Malacarne, M.; Respizzi, S.; Pagani, M. Altered Cardiovascular Autonomic Regulation in Overweight Children Engaged in Regular Physical Activity. Heart 2013, 99, 376–381. [Google Scholar] [CrossRef] [PubMed]
- Yadav, R.L.; Yadav, P.K.; Yadav, L.K.; Agrawal, K.; Sah, S.K.; Islam, M.N. Association between Obesity and Heart Rate Variability Indices: An Intuition toward Cardiac Autonomic Alteration-a Risk of CVD. Diabetes Metab. Syndr. Obes. Targets Ther. 2017, 10, 57–64. [Google Scholar] [CrossRef] [PubMed]
- Williams, S.M.; Eleftheriadou, A.; Alam, U.; Cuthbertson, D.J.; Wilding, J.P.H. Cardiac Autonomic Neuropathy in Obesity, the Metabolic Syndrome and Prediabetes: A Narrative Review. Diabetes Ther. 2019, 10, 1995–2021. [Google Scholar] [CrossRef]
- Santana, M.D.R.; Kliszczewicz, B.; Vanderlei, F.M.; Monteiro, L.R.L.; Martiniano, E.C.; De Moraes, Y.M.; Mangueira, L.B.; Alcantara, G.C.; Da Silva, J.R.A.; Benjamim, C.J.R.; et al. Autonomic Responses Induced by Aerobic Submaximal Exercise in Obese and Overweight Adolescents. Cardiol. Young 2019, 29, 169–173. [Google Scholar] [CrossRef] [PubMed]
- Gil, S.; Peçanha, T.; Dantas, W.S.; Murai, I.H.; Merege-Filho, C.A.A.; de Sá-Pinto, A.L.; Pereira, R.M.R.; de Cleva, R.; Santo, M.A.; Rezende, D.A.N.; et al. Exercise Enhances the Effect of Bariatric Surgery in Markers of Cardiac Autonomic Function. Obes. Surg. 2021, 31, 1381–1386. [Google Scholar] [CrossRef] [PubMed]
- Gondoni, L.A.; Titon, A.M.; Nibbio, F.; Augello, G.; Caetani, G.; Liuzzi, A. Heart Rate Behavior during an Exercise Stress Test in Obese Patients. Nutr. Metab. Cardiovasc. Dis. 2009, 19, 170–176. [Google Scholar] [CrossRef]
- Anderson, E.A.; Hoffman, R.P.; Balon, T.W.; Sinkey, C.A.; Mark, A.L. Hyperinsulinemia Produces Both Sympathetic Neural Activation and Vasodilation in Normal Humans. J. Clin. Investig. 1991, 87, 2246–2252. [Google Scholar] [CrossRef] [PubMed]
- Grassi, G.; Mark, A.; Esler, M. The Sympathetic Nervous System Alterations in Human Hypertension. Circ. Res. 2015, 116, 976–990. [Google Scholar] [CrossRef] [PubMed]
- Abate, N.I.; Mansour, Y.H.; Tuncel, M.; Arbique, D.; Chavoshan, B.; Kizilbash, A.; Howell-Stampley, T.; Vongpatanasin, W.; Victor, R.G. Overweight and Sympathetic Overactivity in Black Americans. Hypertension 2001, 38, 379–383. [Google Scholar] [CrossRef]
- Lucini, D.; Zuccotti, G.V.; Scaramuzza, A.; Malacarne, M.; Gervasi, F.; Pagani, M. Exercise Might Improve Cardiovascular Autonomic Regulation in Adolescents with Type 1 Diabetes. Acta Diabetol. 2013, 50, 341–349. [Google Scholar] [CrossRef]
- Lucini, D.; Milani, R.V.; Costantino, G.; Lavie, C.J.; Porta, A.; Pagani, M. Effects of Cardiac Rehabilitation and Exercise Training on Autonomic Regulation in Patients with Coronary Artery Disease. Am. Heart J. 2002, 143, 977–983. [Google Scholar] [CrossRef]
- Costa, J.; Moreira, A.; Moreira, P.; Delgado, L.; Silva, D. Effects of Weight Changes in the Autonomic Nervous System: A Systematic Review and Meta-Analysis. Clin. Nutr. 2019, 38, 110–126. [Google Scholar] [CrossRef]
- Ziegler, D.; Strom, A.; Nowotny, B.; Zahiragic, L.; Nowotny, P.J.; Carstensen-Kirberg, M.; Herder, C.; Roden, M. Effect of Low-Energy Diets Differing in Fiber, Red Meat, and Coffee Intake on Cardiac Autonomic Function in Obese Individuals with Type 2 Diabetes. Diabetes Care 2015, 38, 1750–1757. [Google Scholar] [CrossRef] [PubMed]
- Rissanen, P.; Franssila-Kallunki, A.; Rissanen, A. Cardiac Parasympathetic Activity Is Increased by Weight Loss in Healthy Obese Women. Obes. Res. 2001, 9, 637–643. [Google Scholar] [CrossRef]
- Lucini, D.; Malacarne, M.; Pagani, M.; Morizzo, C.; Kozakova, M.; Nannipieri, M.; Palombo, C. A Four-Week Prehabilitation Program in Candidates for Bariatric Surgery Improves Hemodynamic Load, Metabolism and Cardiac Autonomic Regulation. Acta Diabetol. 2021, 58, 517–520. [Google Scholar] [CrossRef] [PubMed]
- American Society for Metabolic and Bariatric Surgery Estimate of Bariatric Surgery Numbers, 2011–2018. 2021. Available online: https//asmbs.org/ (accessed on 11 August 2020).
- Geronikolou, S.A.; Albanopoulos, K.; Chrousos, G.; Cokkinos, D. Evaluating the Homeostasis Assessment Model Insulin Resistance and the Cardiac Autonomic System in Bariatric Surgery Patients: A Meta-Analysis. Adv. Exp. Med. Biol. 2017, 988, 249–259. [Google Scholar] [CrossRef]
- Kalarchian, M.; Turk, M.; Elliott, J.; Gourash, W. Lifestyle Management for Enhancing Outcomes after Bariatric Surgery. Curr. Diabetes Rep. 2014, 14, 540. [Google Scholar] [CrossRef] [PubMed]
- Tabesh, M.R.; Maleklou, F.; Ejtehadi, F.; Alizadeh, Z. Nutrition, Physical Activity, and Prescription of Supplements in Pre- and Post-Bariatric Surgery Patients: A Practical Guideline. Obes. Surg. 2019, 29, 3385–3400. [Google Scholar] [CrossRef] [PubMed]
- Gualano, B.; Kirwan, J.P.; Roschel, H. Exercise Is Key to Sustaining Metabolic Gains after Bariatric Surgery. Exerc. Sport Sci. Rev. 2021, 49, 197–204. [Google Scholar] [CrossRef] [PubMed]
- Benjamim, C.J.R.; Pontes, Y.M.d.M.; de Sousa Junior, F.W.; Porto, A.A.; Bueno Júnior, C.R.; da Silva, A.A.M.; Cavalcante, T.C.F.; Garner, D.M.; Valenti, V.E. Does Bariatric Surgery Improve Cardiac Autonomic Modulation Assessed by Heart Rate Variability? A Systematic Review. Surg. Obes. Relat. Dis. 2021, 17, 1497–1509. [Google Scholar] [CrossRef]
- Wu, J.-M.; Yu, H.-J.; Lai, H.-S.; Yang, P.-J.; Lin, M.-T.; Lai, F. Improvement of Heart Rate Variability after Decreased Insulin Resistance after Sleeve Gastrectomy for Morbidly Obesity Patients. Surg. Obes. Relat. Dis. 2015, 11, 557–563. [Google Scholar] [CrossRef]
- Lips, M.A.; De Groot, G.H.; De Kam, M.; Berends, F.J.; Wiezer, R.; Van Wagensveld, B.A.; Swank, D.J.; Luijten, A.; Pijl, H.; Burggraaf, J. Autonomic Nervous System Activity in Diabetic and Healthy Obese Female Subjects and the Effect of Distinct Weight Loss Strategies. Eur. J. Endocrinol. 2013, 169, 383–390. [Google Scholar] [CrossRef] [PubMed]
- Bobbioni-Harsch, E.; Sztajzel, J.; Barthassat, V.; Makoundou, V.; Gastaldi, G.; Sievert, K.; Chassot, G.; Huber, O.; Morel, P.; Assimacopoulos-Jeannet, F.; et al. Independent Evolution of Heart Autonomic Function and Insulin Sensitivity during Weight Loss. Obesity 2009, 17, 247–253. [Google Scholar] [CrossRef] [PubMed]
- Casellini, C.M.; Parson, H.K.; Hodges, K.; Edwards, J.F.; Lieb, D.C.; Wohlgemuth, S.D.; Vinik, A.I. Bariatric Surgery Restores Cardiac and Sudomotor Autonomic C-Fiber Dysfunction towards Normal in Obese Subjects with Type 2 Diabetes. PLoS ONE 2016, 11, e0154211. [Google Scholar] [CrossRef] [PubMed]
- An, Z.; Wang, H.; Mokadem, M. Role of the Autonomic Nervous System in Mechanism of Energy and Glucose Regulation Post Bariatric Surgery. Front. Neurosci. 2021, 15, 770690. [Google Scholar] [CrossRef]
- Lucini, D.; Solaro, N.; Pagani, M. Autonomic Differentiation Map: A Novel Statistical Tool for Interpretation of Heart Rate Variability. Front. Physiol. 2018, 9, 401. [Google Scholar] [CrossRef] [PubMed]
- Oggionni, G.; Spataro, A.; Pelliccia, A.; Malacarne, M.; Pagani, M.; Lucini, D. Left Ventricular Hypertrophy in World Class Elite Athletes Is Associated with Signs of Improved Cardiac Autonomic Regulation. Eur. J. Prev. Cardiol. 2019. [Google Scholar] [CrossRef] [PubMed]
- Sala, R.; Malacarne, M.; Solaro, N.; Pagani, M.; Lucini, D. A Composite Autonomic Index as Unitary Metric for Heart Rate Variability: A Proof of Concept. Eur. J. Clin. Investig. 2017, 47, 241–249. [Google Scholar] [CrossRef]
- Solaro, N.; Malacarne, M.; Pagani, M.; Lucini, D. Cardiac Baroreflex, HRV, and Statistics: An Interdisciplinary Approach in Hypertension. Front. Physiol. 2019, 10, 478. [Google Scholar] [CrossRef] [PubMed]
- Ward, Z.J.; Bleich, S.N.; Cradock, A.L.; Barrett, J.L.; Giles, C.M.; Flax, C.; Long, M.W.; Gortmaker, S.L. Projected U.S. State-Level Prevalence of Adult Obesity and Severe Obesity. N. Engl. J. Med. 2019, 381, 2440–2450. [Google Scholar] [CrossRef] [PubMed]
- Dias, P.C.; Henriques, P.; Dos Anjos, L.A.; Burlandy, L. Obesity and Public Policies: The Brazilian Government’s Definitions and Strategies. Cad. Saude Publica 2017, 33, e00006016. [Google Scholar] [CrossRef] [PubMed]
- Yumuk, V.; Tsigos, C.; Fried, M.; Schindler, K.; Busetto, L.; Micic, D.; Toplak, H. European Guidelines for Obesity Management in Adults. Obes. Facts 2015, 8, 402–424. [Google Scholar] [CrossRef]
- Haugen, H.A.; Melanson, E.L.; Tran, Z.V.; Kearney, J.T.; Hill, J.O. Variability of Measured Resting Metabolic Rate. Am. J. Clin. Nutr. 2003, 78, 1141–1144. [Google Scholar] [CrossRef] [PubMed]
- Lucini, D.; Mela, G.S.; Malliani, A.; Pagani, M. Impairment in Cardiac Autonomic Regulation Preceding Arterial Hypertension in Humans: Insights from Spectral Analysis of Beat-by-Beat Cardiovascular Variability. Circulation 2002, 106, 2673–2679. [Google Scholar] [CrossRef] [PubMed]
- La Rovere, M.T.; Bigger, J.T.; Marcus, F.I.; Mortara, A.; Schwartz, P.J. Baroreflex Sensitivity and Heart-Rate Variability in Prediction of Total Cardiac Mortality after Myocardial Infarction. Lancet 1998, 351, 478–484. [Google Scholar] [CrossRef]
- Nardo, M.; Saltelli, A.; Giovannini, E.; Tarantola, S.; Saisana, M.; Hoffman, A. Handbook on Constructing Composite Indicators; OECD Statistics Working Papers; OECD Publishing: Paris, France, 2005; Volume 108. [Google Scholar]
- Lucini, D.; Solaro, N.; Lesma, A.; Gillet, V.B.; Pagani, M. Health Promotion in the Workplace: Assessing Stress and Lifestyle with an Intranet Tool. J. Med. Internet Res. 2011, 13, e1798. [Google Scholar] [CrossRef]
- Lucini, D.; Riva, S.; Pizzinelli, P.; Pagani, M. Stress Management at the Worksite: Reversal of Symptoms Profile and Cardiovascular Dysregulation. Hypertension 2007, 49, 291–297. [Google Scholar] [CrossRef] [PubMed]
- Lucini, D.; Zanuso, S.; Blair, S.; Pagani, M. A Simple Healthy Lifestyle Index as a Proxy of Wellness: A Proof of Concept. Acta Diabetol. 2015, 52, 81–89. [Google Scholar] [CrossRef]
- Lloyd-Jones, D.M.; Hong, Y.; Labarthe, D.; Mozaffarian, D.; Appel, L.J.; Van Horn, L.; Greenlund, K.; Daniels, S.; Nichol, G.; Tomaselli, G.F.; et al. Defining and Setting National Goals for Cardiovascular Health Promotion and Disease Reduction: The American Heart Association’s Strategic Impact Goal through 2020 and beyond. Circulation 2010, 121, 586–613. [Google Scholar] [CrossRef]
- Craig, C.L.; Marshall, A.L.; Sjöström, M.; Bauman, A.E.; Booth, M.L.; Ainsworth, B.E.; Pratt, M.; Ekelund, U.; Yngve, A.; Sallis, J.F.; et al. International Physical Activity Questionnaire: 12-Country Reliability and Validity. Med. Sci. Sports Exerc. 2003, 35, 1381–1395. [Google Scholar] [CrossRef]
- Minetto, M.A.; Motta, G.; Gorji, N.E.; Lucini, D.; Biolo, G.; Pigozzi, F.; Portincasa, P.; Maffiuletti, N.A. Reproducibility and Validity of the Italian Version of the International Physical Activity Questionnaire in Obese and Diabetic Patients. J. Endocrinol. Investig. 2018, 41, 343–349. [Google Scholar] [CrossRef]
- Gao, M.; Wang, Q.; Piernas, C.; Astbury, N.M.; Jebb, S.A.; Holmes, M.V.; Aveyard, P. Associations between Body Composition, Fat Distribution and Metabolic Consequences of Excess Adiposity with Severe COVID-19 Outcomes: Observational Study and Mendelian Randomisation Analysis. Int. J. Obes. 2022, 46, 943–950. [Google Scholar] [CrossRef]
- Solaro, N.; Pagani, M.; Lucini, D. Altered Cardiac Autonomic Regulation in Overweight and Obese Subjects: The Role of Age-and-Gender-Adjusted Statistical Indicators of Heart Rate Variability and Cardiac Baroreflex. Front. Physiol. 2021, 11, 567312. [Google Scholar] [CrossRef]
- Calcaterra, V.; Palombo, C.; Malacarne, M.; Pagani, M.; Federico, G.; Kozakova, M.; Zuccotti, G.; Lucini, D. Interaction between Autonomic Regulation, Adiposity Indexes and Metabolic Profile in Children and Adolescents with Overweight and Obesity. Children 2021, 8, 686. [Google Scholar] [CrossRef] [PubMed]
- Smith, M.M.; Minson, C.T. Obesity and Adipokines: Effects on Sympathetic Overactivity. J. Physiol. 2012, 590, 1787–1801. [Google Scholar] [CrossRef] [PubMed]
- Pavlov, V.A.; Tracey, K.J. The Vagus Nerve and the Inflammatory Reflex—Linking Immunity and Metabolism. Nat. Rev. Endocrinol. 2012, 8, 743–754. [Google Scholar] [CrossRef] [PubMed]
- Stenberg, E.; Dos Reis Falca, L.F.; O’Kane, M.; Liem, R.; Pournaras, D.J.; Salminen, P.; Urman, R.D.; Wadhwa, A.; Gustafsson, U.O.; Thorell, A. Guidelines for Perioperative Care in Bariatric Surgery: Enhanced Recovery after Surgery (ERAS) Society Recommendations: A 2021 Update. World J. Surg. 2022, 46, 729–751. [Google Scholar] [CrossRef]
- Lucini, D.; Cusumano, G.; Bellia, A.; Kozakova, M.; DiFede, G.; Lauro, R.; Pagani, M. Is Reduced Baroreflex Gain a Component of the Metabolic Syndrome? Insights from the LINOSA Study. J. Hypertens. 2006, 24, 361–370. [Google Scholar] [CrossRef] [PubMed]
- Mark, A.L.; Norris, A.W.; Rahmouni, K. Sympathetic Inhibition after Bariatric Surgery. Hypertension 2014, 64, 235–236. [Google Scholar] [CrossRef]
- Seravalle, G.; Colombo, M.; Perego, P.; Giardini, V.; Volpe, M.; Dell’Oro, R.; Mancia, G.; Grassi, G. Long-Term Sympathoinhibitory Effects of Surgically Induced Weight Loss in Severe Obese Patients. Hypertension 2014, 64, 431–437. [Google Scholar] [CrossRef] [PubMed]
- MacHado, M.B.; Velasco, I.T.; Scalabrini-Neto, A. Gastric Bypass and Cardiac Autonomic Activity: Influence of Gender and Age. Obes. Surg. 2009, 19, 332–338. [Google Scholar] [CrossRef]
- Karason, K.; Mølgaard, H.; Wikstrand, J.; Sjöström, L. Heart Rate Variability in Obesity and the Effect of Weight Loss. Am. J. Cardiol. 1999, 83, 1242–1247. [Google Scholar] [CrossRef]
- Kalarchian, M.A.; Marcus, M.D. Psychosocial Interventions Pre and Post Bariatric Surgery. Eur. Eat. Disord. Rev. 2015, 23, 457–462. [Google Scholar] [CrossRef]
- Sherf Dagan, S.; Keidar, A.; Raziel, A.; Sakran, N.; Goitein, D.; Shibolet, O.; Zelber-Sagi, S. Do Bariatric Patients Follow Dietary and Lifestyle Recommendations during the First Postoperative Year? Obes. Surg. 2017, 27, 2258–2271. [Google Scholar] [CrossRef] [PubMed]
- Price, P.H.; Kaizer, A.M.; Inge, T.H.; Eckel, R.H. Physical Activity Impacts Insulin Sensitivity Post Metabolic Bariatric Surgery in Adolescents with Severe Obesity. Int. J. Obes. 2020, 44, 1479–1486. [Google Scholar] [CrossRef] [PubMed]
- Lucini, D.; Malacarne, M.; Gatzemeier, W.; Pagani, M. A Simple Home-Based Lifestyle Intervention Program to Improve Cardiac Autonomic Regulation in Patients with Increased Cardiometabolic Risk. Sustainability 2020, 12, 7671. [Google Scholar] [CrossRef]
- Stiegler, P.; Cunliffe, A. The Role of Diet and Exercise for the Maintenance of Fat-Free Mass and Resting Metabolic Rate during Weight Loss. Sports Med. 2006, 36, 239–262. [Google Scholar] [CrossRef]
- Fidilio, E.; Comas, M.; Giribés, M.; Cárdenas, G.; Vilallonga, R.; Palma, F.; Peláez, R.B.; Simó, R.; Ciudin, A. Evaluation of Resting Energy Expenditure in Subjects with Severe Obesity and Its Evolution after Bariatric Surgery. Obes. Surg. 2021, 31, 4347–4355. [Google Scholar] [CrossRef]
- Rosengren, A.; Hawken, S.; Ôunpuu, S.; Sliwa, P.K.; Zubaid, M.; Almahmeed, W.A.; Ngu Blackett, K.; Sitthi-Amorn, C.; Sato, H.; Yusuf, P.S. Association of Psychosocial Risk Factors with Risk of Acute Myocardial Infarction in 11,119 Cases and 13,648 Controls from 52 Countries (the INTERHEART Study): Case-Control Study. Lancet 2004, 364, 953–962. [Google Scholar] [CrossRef]
- Boniecka, I.; Wilenska, H.; Jeznach-Steinhagen, A.; Czerwonogrodzka-Senczyna, A.; SekuLa, M.; Pasnik, K. Stress as a Factor Contributing to Obesity in Patients Qualified for Bariatric Surgery—Studies in a Selected Group of Patients (a Pilot Study). Wideochirurgia I Inne Tech. Maloinwazyjne 2017, 12, 60–67. [Google Scholar] [CrossRef]

| Variables | Time 0 | Time 1 | Time 2 | Significance |
|---|---|---|---|---|
| n | 29 | 29 | 29 | |
| Smoke [%] | 24.1 | |||
| Age [years] | 45.2 ± 9.9 | |||
| Height [cm] | 164.7 ± 11.1 | |||
| Weight [kg] | 131.9 ± 28.0 | 124.8 ± 25.6 † | 91.9 ± 22.3 * †† | <0.001 |
| BMI [kg/m2] | 47.87 ± 6.93 | 45.51 ± 6.47 † | 33.47 ± 6.6 * †† | <0.001 |
| WC [cm] | 125.21 ± 13.22 | 118.94 ± 10.23 † | 97.41 ± 8.16 * †† | <0.001 |
| SAP [mmHg] | 124.4 ± 15.2 | 116.6 ± 12.7 † | 116.0 ± 14.3 * | <0.001 |
| DAP [mmHg] | 79.3 ± 7.7 | 77.2 ± 6.9 | 76.3 ± 8.5 | 0.228 |
| Fasting glucose [mg/dL] | 103.94 ± 10.96 | 104.22 ± 7.71 | 94.61 ±16.70 * †† | 0.015 |
| Insulin [pmol/L] | 20.86 ± 10.25 | 16.01 ± 5.71 † | 5.98 ± 2.04 * †† | <0.001 |
| OGIS | 325.71 ± 44.89 | 344.71 ± 46.27 | 430.36 ± 51.12 * †† | <0.001 |
| HOMA | 5.43 ± 2.89 | 4.18 ± 1.74 † | 1.45 ± 0.62 * †† | <0.001 |
| Resting Metabolic Rate [kcal/day] | 2226.57 ± 522.28 | 2034.64 ± 307.5 | 1737.00 ± 394.75 * †† | <0.001 |
| Variables | Time 0 | Time 1 | Time 2 | Significance |
|---|---|---|---|---|
| n | 29 | 29 | 29 | |
| SEDENT [h] | 33.8 ± 22.2 | 35.1 ± 20.8 | 33.5 ± 16.2 | 0.875 |
| Total Activity Volume [MET·min/week] | 59.0 ± 195.4 | 201.9 ± 484.2 | 568.8 ± 621.1 * | 0.003 |
| AHA Nutrition score [AU] | 2.3 ± 1.1 | 2.7 ± 1.1 | 2.3 ± 0.8 | 0.282 |
| Stress Perception [AU] | 4.2 ± 2.9 | 4.4 ± 3.0 | 2.2 ± 2.9 | 0.010 |
| 4SQ [AU] | 13.6 ± 10.1 | 11.5 ± 12.6 | 9.8 ± 10.0 | 0.117 |
| Tiredness Perception [AU] | 4.5 ± 3.1 | 3.9 ± 2.7 | 2.4 ± 2.9 | 0.042 |
| Variables | Time 0 | Time 1 | Time 2 | Significance |
|---|---|---|---|---|
| n | 29 | 29 | 29 | |
| RR [ms] | 799.9 ± 95.9 | 895.2 ± 132.6 † | 1019.5 ± 140.7 * †† | <0.001 |
| VARRR [ms2] | 1053.9 ± 932.6 | 1860.6 ± 1681.5 † | 2937.3 ± 2133.0 * †† | <0.001 |
| LFa [ms] | 362.1 ± 513.4 | 455.4 ± 627.5 | 844.6 ± 1344.2 * | 0.032 |
| HFa [ms] | 231.3 ± 228.8 | 525.1 ± 860.6 | 885.0 ± 1018.8 * | 0.001 |
| LFRR [nu] | 49.1 ± 25.3 | 43.2 ± 22.3 | 41.3 ± 25.6 | 0.105 |
| HFRR [nu] | 42.5 ±22.4 | 48.7 ± 22.2 | 53.0 ± 24.2 * | 0.023 |
| RRHF [Hz] | 0.29 ± 0.06 | 0.30 ±0.06 | 0.27 ± 0.06 †† | 0.012 |
| LF/HF [-] | 4.1 ± 8.5 | 2.8 ± 7.3 | 1.7 ± 2.6 | 0.191 |
| SAPmean [mmHg] | 123.8 ± 19.0 | 116.7 ± 13.9 | 115.2 ± 15.7 * | 0.012 |
| SAPvar [mmHg2] | 21.4 ± 17.3 | 18.8 ± 20.4 | 23.5 ± 23.3 | 0.636 |
| Alpha Index [ms/mmHg] | 10.4 ± 7.8 | 16.7 ± 13.0 † | 23.0 ± 13.9 * | <0.001 |
| BRS | 11.2 ± 10.7 | 11.1 ± 7.4 | 28.6 ± 23.4 * †† | 0.001 |
| ANSI | 33.6 ± 24.9 | 54.5 ± 27.7† | 72.6 ± 22.9 * †† | <0.001 |
Publisher’s Note: MDPI stays neutral with regard to jurisdictional claims in published maps and institutional affiliations. |
© 2022 by the authors. Licensee MDPI, Basel, Switzerland. This article is an open access article distributed under the terms and conditions of the Creative Commons Attribution (CC BY) license (https://creativecommons.org/licenses/by/4.0/).
Share and Cite
Giovanelli, L.; Palombo, C.; Pina, M.; Facchetti, S.; Malacarne, M.; Pagani, M.; Nannipieri, M.; Berta, R.; Lucini, D. Progressive Additive Benefits of Prehabilitation and Subsequent Bariatric Surgery on Cardiac Autonomic Regulation as Assessed by Means of a Simple Unitary Composite Index: Preliminary Data from an Observational Study. J. Pers. Med. 2022, 12, 1317. https://doi.org/10.3390/jpm12081317
Giovanelli L, Palombo C, Pina M, Facchetti S, Malacarne M, Pagani M, Nannipieri M, Berta R, Lucini D. Progressive Additive Benefits of Prehabilitation and Subsequent Bariatric Surgery on Cardiac Autonomic Regulation as Assessed by Means of a Simple Unitary Composite Index: Preliminary Data from an Observational Study. Journal of Personalized Medicine. 2022; 12(8):1317. https://doi.org/10.3390/jpm12081317
Chicago/Turabian StyleGiovanelli, Luca, Carlo Palombo, Matteo Pina, Simone Facchetti, Mara Malacarne, Massimo Pagani, Monica Nannipieri, Rossana Berta, and Daniela Lucini. 2022. "Progressive Additive Benefits of Prehabilitation and Subsequent Bariatric Surgery on Cardiac Autonomic Regulation as Assessed by Means of a Simple Unitary Composite Index: Preliminary Data from an Observational Study" Journal of Personalized Medicine 12, no. 8: 1317. https://doi.org/10.3390/jpm12081317
APA StyleGiovanelli, L., Palombo, C., Pina, M., Facchetti, S., Malacarne, M., Pagani, M., Nannipieri, M., Berta, R., & Lucini, D. (2022). Progressive Additive Benefits of Prehabilitation and Subsequent Bariatric Surgery on Cardiac Autonomic Regulation as Assessed by Means of a Simple Unitary Composite Index: Preliminary Data from an Observational Study. Journal of Personalized Medicine, 12(8), 1317. https://doi.org/10.3390/jpm12081317

