Effect of Pravastatin and Simvastatin on the Reduction of Cytochrome C
Abstract
1. Introduction
2. Materials and Methods
2.1. Measurement of Cytochrome C Reduction
2.2. Preparation of Mitochondria
2.3. Mitochondrial Oxygen Consumption Assay
3. Results
3.1. The Effect of Pravastatin and Simvastatin on the Reduction of Cyt C by GSH
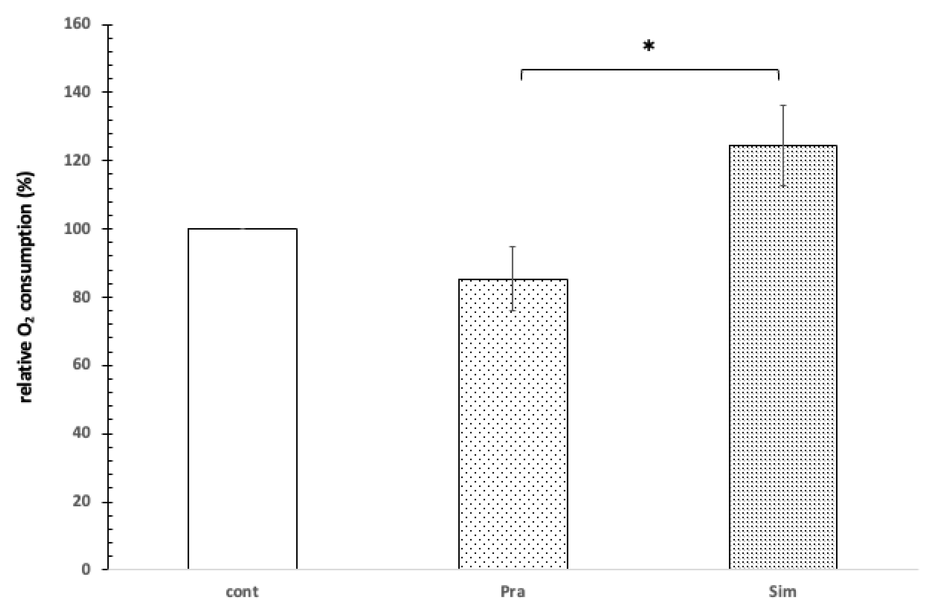
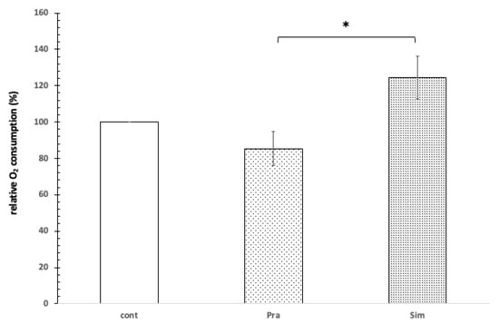
3.2. The Effect of Pravastatin and Simvastatin on the Oxygen Consumption of Rat Liver
4. Discussion
Author Contributions
Funding
Institutional Review Board Statement
Informed Consent Statement
Data Availability Statement
Conflicts of Interest
References
- Jeon, C.Y.; Pandol, S.J.; Wu, B.; Cook-Wiens, G.; Gottlieb, R.A.; Merz, C.N.; Goodman, M.T. The association of statin use after cancer diagnosis with survival in pancreatic cancer patients: A SEER-medicare analysis. PLoS ONE 2015, 10, e0121783. [Google Scholar]
- Díaz-Quintana, A.; Pérez-Mejías, G.; Guerra-Castellano, A.; De la Rosa, M.A.; Díaz-Moreno, I. Wheel and Deal in the Mitochondrial Inner Membranes: The Tale of Cytochrome c and Cardiolipin. Oxid. Med. Cell Longev. 2020, 2020, 6813405. [Google Scholar] [CrossRef] [PubMed]
- Csomó, K.B.; Alasztics, B.; Sándor, A.P.; Belik, A.A.; Varga, G.; Hrabák, A.; Kukor, Z. Characterization of oxidation of glutathione by cytochrome c. J. Bioenerg. Biomembr. 2021, 54, 1–8. [Google Scholar] [CrossRef] [PubMed]
- Black, S.; Yu, H.; Lee, J.; Sachchithananthan, M.; Medcalf, R.L. Physiologic concentrations of magnesium and placental apoptosis: Prevention by antioxidants. Obstet. Gynecol. 2001, 98, 319–324. [Google Scholar] [CrossRef]
- Brzezinski, P.; Moe, A.; Ädelroth, P. Structure and Mechanism of Respiratory III-IV Supercomplexes in Bioenergetic Membranes. Chem. Rev. 2021, 121, 9644–9673. [Google Scholar] [CrossRef]
- Belikova, N.A.; Tyurina, Y.Y.; Borisenko, G.; Tyurin, V.; Samhan Arias, A.K.; Yanamala, N.; Furtmüller, P.G.; Klein-Seetharaman, J.; Obinger, C.; Kagan, V.E. Heterolytic reduction of fatty acid hydroperoxides by cytochrome c/cardiolipin complexes: Antioxidant function in mitochondria. J. Am. Chem. Soc. 2009, 131, 11288–11289. [Google Scholar] [CrossRef]
- Irwin, J.C.; Khalesi, S.; Fenning, A.S.; Vella, R.K. The effect of lipophilicity and dose on the frequency of statin-associated muscle symptoms: A systematic review and meta-analysis. Pharm. Res. 2018, 128, 264–273. [Google Scholar] [CrossRef]
- Bonsu, K.O.; Reidpath, D.D.; Kadirvelu, A. Effects of Statin Treatment on Inflammation and Cardiac Function in Heart Failure: An Adjusted Indirect Comparison Meta-Analysis of Randomized Trials. Cardiovasc. Ther. 2015, 33, 338–346. [Google Scholar] [CrossRef]
- Agouridis, A.P.; Kostapanos, M.S.; Elisaf, M.S. Statins and their increased risk of inducing diabetes. Expert Opin. Drug Saf. 2015, 14, 1835–1844. [Google Scholar] [CrossRef]
- Luisetto, G.; Camozzi, V. Statins, fracture risk, and bone remodeling. J. Endocrinol. Investig. 2009, 32 (Suppl. S4), 32–37. [Google Scholar]
- Trogden, K.P.; Battaglia, R.A.; Kabiraj, P.; Madden, V.J.; Herrmann, H.; Snider, N.T. An image-based small-molecule screen identifies vimentin as a pharmacologically relevant target of simvastatin in cancer cells. FASEB J. 2018, 32, 2841–2854. [Google Scholar] [CrossRef] [PubMed]
- Moscardó, A.; Vallés, J.; Latorre, A.; Madrid, I.; Santos, M.T. Reduction of platelet cytosolic phospholipase A2 activity by atorvastatin and simvastatin: Biochemical regulatory mechanisms. Thromb. Res. 2013, 131, e154–e159. [Google Scholar] [CrossRef] [PubMed]
- Dymkowska, D.; Wrzosek, A.; Zabłocki, K. Atorvastatin and pravastatin stimulate nitric oxide and reactive oxygen species generation, affect mitochondrial network architecture and elevate nicotinamide N-methyltransferase level in endothelial cells. J. Appl. Toxicol. 2021, 41, 1076–1088. [Google Scholar] [CrossRef] [PubMed]
- Zhang, W.; Wu, J.; Zhou, L.; Xie, H.Y.; Zheng, S.S. Fluvastatin, a lipophilic statin, induces apoptosis in human hepatocellular carcinoma cells through mitochondria-operated pathway. Indian J. Exp. Biol. 2010, 48, 1167–1174. [Google Scholar]
- Clayton, D.A.; Shadel, G.S. Isolation of mitochondria from animal tissue. Cold Spring Harb. Protoc. 2014, 2014, prot080010. [Google Scholar] [CrossRef]
- Bradford, M.M. A rapid and sensitive method for the quantitation of microgram quantities of protein utilizing the principle of proteindye binding. Anal. Biochem. 1976, 72, 248–254. [Google Scholar] [CrossRef]
- Katsiki, N.; Tziomalos, K.; Chatzizisis, Y.; Elisaf, M.; Hatzitolios, A.I. Effect of HMG-CoA reductase inhibitors on vascular cell apoptosis: Beneficial or detrimental? Atherosclerosis 2010, 211, 9–14. [Google Scholar] [CrossRef]
- Buranrat, B.; Senggunprai, L.; Prawan, A.; Kukongviriyapan, V. Simvastatin and atorvastatin as inhibitors of proliferation and inducers of apoptosis in human cholangiocarcinoma cells. Life Sci. 2016, 153, 41–49. [Google Scholar] [CrossRef]
- Kato, S.; Smalley, S.; Sadarangani, A.; Chen-Lin, K.; Oliva, B.; Brañes, J.; Carvajal, J.; Gejman, R.; Owen, G.I.; Cuello, M. Lipophilic but not hydrophilic statins selectively induce cell death in gynaecological cancers expressing high levels of HMGCoA reductase. J. Cell Mol. Med. 2010, 14, 1180–1193. [Google Scholar]
- Hancock, J.T.; Desikan, R.; Neill, S.J. Does the redox status of cytochrome C act as a fail-safe mechanism in the regulation of programmed cell death? Free Radic. Biol. Med. 2001, 31, 697–703. [Google Scholar] [CrossRef]
- Sági, V.; Herszényi, L.; Tulassay, Z.; Gasztonyi, B. Statinok és az emésztőrendszeri daganatok. (Statins and gastrointestinal cancers). Orv Hetil. 2014, 155, 687–693. (In Hungarian) [Google Scholar] [CrossRef] [PubMed][Green Version]
- Wang, Y.; Wang, W.; Wang, M.; Shi, J.; Jia, X.; Dang, S. A Meta-Analysis of Statin Use and Risk of Hepatocellular Carcinoma. Can. J. Gastroenterol. Hepatol. 2022, 2022, 5389044. [Google Scholar] [CrossRef] [PubMed]
- Li, X.; Sheng, L.; Liu, L.; Hu, Y.; Chen, Y.; Lou, L. Statin and the risk of hepatocellular carcinoma in patients with hepatitis B virus or hepatitis C virus infection: A meta-analysis. BMC Gastroenterol. 2020, 20, 98. [Google Scholar] [CrossRef] [PubMed]
- Liu, B.; Yi, Z.; Guan, X.; Zeng, Y.X.; Ma, F. The relationship between statins and breast cancer prognosis varies by statin type and exposure time: A meta-analysis. Breast Cancer Res. Treat. 2017, 164, 1–11. [Google Scholar] [CrossRef] [PubMed]
- Elakkad, Y.E.; Mohamed, S.N.S.; Abuelezz, N.Z. Potentiating the Cytotoxic Activity of a Novel Simvastatin-Loaded Cubosome against Breast Cancer Cells: Insights on Dual Cell Death via Ferroptosis and Apoptosis. Breast Cancer Targets Ther. 2021, 13, 675–689. [Google Scholar] [CrossRef]
- Kaufmann, P.; Török, M.; Zahno, A.; Waldhauser, K.M.; Brecht, K.; Krähenbühl, S. Toxicity of statins on rat skeletal muscle mitochondria. Cell. Mol. Life Sci. 2006, 63, 2415–2425. [Google Scholar] [CrossRef]
- Pan, Z.; Voehringer, D.W.; Meyn, R.E. Analysis of redox regulation of cytochrome c-induced apoptosis in a cell-free system. Cell Death Differ. 1999, 6, 683–688. [Google Scholar] [CrossRef]
- Hampton, M.B.; Zhivotovsky, B.; Slater, A.F.G.; Burgess, D.H.; Orrenius, S. Importance of the redox state of cytochrome c during caspase activation in cytosolic extracts. Biochem. J. 1998, 329, 95–99. [Google Scholar] [CrossRef]
- Riesen, W.F. Pleiotropic Effects of Statins—What Is Their Clinical Significance? Praxis 2022, 110, 86–88. [Google Scholar] [CrossRef]
- Sahebkar, A.; Kiaie, N.; Gorabi, A.M.; Mannarino, M.R.; Bianconi, V.; Jamialahmadi, T.; Pirro, M.; Banach, M. A comprehensive review on the lipid and pleiotropic effects of pitavastatin. Prog. Lipid Res. 2021, 84, 101127. [Google Scholar] [CrossRef]
- Pánczél, Z.; Kukor, Z.; Supák, D.; Kovács, B.; Kecskeméti, A.; Czizel, R.; Djurecz, M.; Alasztics, B.; Csomó, K.B.; Hrabák, A.; et al. Pravastatin induces NO synthesis by enhancing microsomal arginine uptake in healthy and preeclamptic placentas. BMC Pregnancy Childbirth 2019, 19, 426. [Google Scholar] [CrossRef] [PubMed]
- Pánczél, Z.; Supák, D.; Kovács, B.; Kukor, Z.; Valent, S. Effect of pravastatin on tetrahydrobiopterin-sensitive and -resistant NO synthase activity of preeclamptic placentas. Orv. Hetil. 2020, 161, 389–395. [Google Scholar] [CrossRef] [PubMed]





Publisher’s Note: MDPI stays neutral with regard to jurisdictional claims in published maps and institutional affiliations. |
© 2022 by the authors. Licensee MDPI, Basel, Switzerland. This article is an open access article distributed under the terms and conditions of the Creative Commons Attribution (CC BY) license (https://creativecommons.org/licenses/by/4.0/).
Share and Cite
Csomó, K.; Belik, A.; Hrabák, A.; Kovács, B.; Fábián, O.; Valent, S.; Varga, G.; Kukor, Z. Effect of Pravastatin and Simvastatin on the Reduction of Cytochrome C. J. Pers. Med. 2022, 12, 1121. https://doi.org/10.3390/jpm12071121
Csomó K, Belik A, Hrabák A, Kovács B, Fábián O, Valent S, Varga G, Kukor Z. Effect of Pravastatin and Simvastatin on the Reduction of Cytochrome C. Journal of Personalized Medicine. 2022; 12(7):1121. https://doi.org/10.3390/jpm12071121
Chicago/Turabian StyleCsomó, Krisztián, Andrea Belik, András Hrabák, Benedek Kovács, Orsolya Fábián, Sándor Valent, Gábor Varga, and Zoltán Kukor. 2022. "Effect of Pravastatin and Simvastatin on the Reduction of Cytochrome C" Journal of Personalized Medicine 12, no. 7: 1121. https://doi.org/10.3390/jpm12071121
APA StyleCsomó, K., Belik, A., Hrabák, A., Kovács, B., Fábián, O., Valent, S., Varga, G., & Kukor, Z. (2022). Effect of Pravastatin and Simvastatin on the Reduction of Cytochrome C. Journal of Personalized Medicine, 12(7), 1121. https://doi.org/10.3390/jpm12071121

