Risk Factors for Retained Hemothorax after Trauma: A 10-Years Monocentric Experience from First Level Trauma Center in Italy
Abstract
1. Introduction
2. Materials and Methods
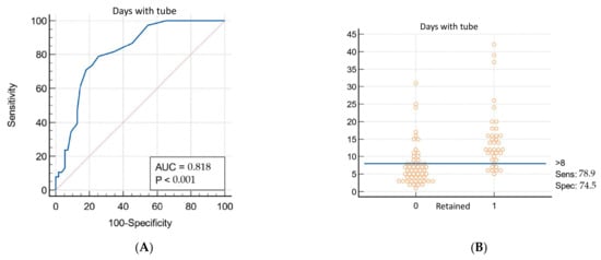
3. Results
4. Discussion
5. Conclusions
Author Contributions
Funding
Institutional Review Board Statement
Informed Consent Statement
Data Availability Statement
Conflicts of Interest
References
- Lecky, F.E.; Bouamra, O.; Woodford, M.; Alexandrescu, R.; O’Brien, S.J. Epidemiology of Polytrauma. In Damage Control Management in the Polytrauma Patient; Springer New York: New York, NY, USA, 2010; pp. 13–24. [Google Scholar] [CrossRef]
- Wilson, R.F.; Murray, C.; Antonenko, D.R. Nonpenetrating Thoracic Injuries. Surg. Clin. N. Am. 1977, 57, 17–36. [Google Scholar] [CrossRef]
- Mowery, N.T.; Gunter, O.L.; Collier, B.R.; Jose’, J.D., Jr.; Haut, E.; Hildreth, A.; Holevar, M.; Mayberry, J.; Streib, E. Practice Management Guidelines for Management of Hemothorax and Occult Pneumothorax. J. Trauma Acute Care Surg. 2011, 70, 510–518. [Google Scholar] [CrossRef] [PubMed]
- Kulvatunyou, N.; Bauman, Z.M.; Edine, S.B.Z.; De Moya, M.; Krause, C.; Mukherjee, K.; Gries, L.; Tang, A.L.; Joseph, B.; Rhee, P. The small (14 Fr) percutaneous catheter (P-CAT) versus large (28–32 Fr) open chest tube for traumatic hemothorax: A multicenter randomized clinical trial. J. Trauma Acute Care Surg. 2021, 91, 809–813. [Google Scholar] [CrossRef] [PubMed]
- Carrillo, E.H.; Richardson, J.D. Thoracoscopy in the management of hemothorax and retained blood after trauma. Curr. Opin. Pulm. Med. 1998, 4, 243–246. [Google Scholar] [CrossRef]
- Scott, M.F.; Khodaverdian, R.A.; Shaheen, J.L.; Ney, A.L.; Nygaard, R.M. Predictors of retained hemothorax after trauma and impact on patient outcomes. Eur. J. Trauma Emerg. Surg. 2017, 43, 179–184. [Google Scholar] [CrossRef]
- Prakash, P.S.; Moore, S.A.; Rezende-Neto, J.B.; Trpcic, S.; Dunn, J.A.; Smoot, B.; Jenkins, D.H.; Cardenas, T.; Mukherjee, K.; Farnsworth, J.; et al. Predictors of retained hemothorax in trauma: Results of an Eastern Association for the Surgery of Trauma multi-institutional trial. J. Trauma Acute Care Surg. 2020, 89, 679–685. [Google Scholar] [CrossRef]
- Eren, S.; Esme, H.; Sehitogullari, A.; Durkan, A. The risk factors and management of posttraumatic empyema in trauma patients. Injury 2008, 39, 44–49. [Google Scholar] [CrossRef]
- DuBose, J.; Inaba, K.; Okoye, O.; Demetriades, D.; Scalea, T.; O’Connor, J.; Menaker, J.; Morales, C.; Shiflett, T.; Brown, C. Development of posttraumatic empyema in patients with retained hemothorax. J. Trauma Acute Care Surg. 2012, 73, 752–757. [Google Scholar] [CrossRef]
- Karmy-Jones, R.; Holevar, M.; Sullivan, R.J.; Fleisig, A.; Jurkovich, G.J. Residual Hemothorax after Chest Tube Placement Correlates with Increased Risk of Empyema Following Traumatic Injury. Can. Respir. J. 2008, 15, 255–258. [Google Scholar] [CrossRef]
- Dennis, B.M.; Gondek, S.P.; Guyer, R.A.; Hamblin, S.E.; Gunter, O.L.; Guillamondegui, O.D. The use of an evidence-based algorithm for patients with traumatic hemothorax reduces need for additional interventions. J. Trauma Acute Care Surg. 2017, 82, 728–732. [Google Scholar] [CrossRef]
- Hazlinger, M.; Ctvrtlik, F.; Langova, K.; Herman, M. Quantification of pleural effusion on CT by simple measurement. Biomed. Pap. 2014, 158, 107–111. [Google Scholar] [CrossRef] [PubMed]
- Charlson, M.; Szatrowski, T.P.; Peterson, J.; Gold, J. Validation of a combined comorbidity index. J. Clin. Epidemiol. 1994, 47, 1245–1251. [Google Scholar] [CrossRef]
- Osler, T.; Baker, S.P.; Long, W. A Modification of the Injury Severity Score That Both Improves Accuracy and Simplifies Scoring. J. Trauma Acute Care Surg. 1997, 43, 922–926. [Google Scholar] [CrossRef] [PubMed]
- Villegas, M.I.; Hennessey, R.A.; Morales, C.H.; Londoño, E. Risk factors associated with the development of post-traumatic retained hemothorax. Eur. J. Trauma Emerg. Surg. 2011, 37, 583–589. [Google Scholar] [CrossRef] [PubMed]
- Coselli, J.S.; Mattox, K.L.; Beall, A.C. Reevaluation of early evacuation of clotted hemothorax. Am. J. Surg. 1984, 148, 786–790. [Google Scholar] [CrossRef]
- Yeh, D.D.; Hwabejire, J.O.; DeMoya, M.A.; Alam, H.B.; King, D.R.; Velmahos, G.C. Sternal fracture—An analysis of the National Trauma Data Bank. J. Surg. Res. 2014, 186, 39–43. [Google Scholar] [CrossRef]
- Metaxas, E.K.; Condilis, N.; Tzatzadakis, N.; Dervisoglou, A.; Gerazounis, M.I.; Athanasas, G. Sternal fracture with or without associated injuries. Assessment of the difference in the diagnosis, management and complications. Eighteen years of experience. Ann. Ital. Chir. 2006, 77, 379–383. [Google Scholar]
- Morales Uribe, C.H.; Villegas Lanau, M.I.; Petro Sanchez, R.D. Best timing for thoracoscopic evacuation of retained post-traumatic hemothorax. Surg. Endosc. 2008, 22, 91–95. [Google Scholar] [CrossRef]
- MacLeod, J.B.; Ustin, J.S.; Kim, J.T.; Lewis, F.; Rozycki, G.S.; Feliciano, D.V. The Epidemiology of Traumatic Hemothorax in a Level I Trauma Center: Case for Early Video-assisted Thoracoscopic Surgery. Eur. J. Trauma Emerg. Surg. 2010, 36, 240–246. [Google Scholar] [CrossRef]
- Heniford, B.T.; Carrillo, E.H.; Spain, D.A.; Sosa, J.L.; Fulton, R.L.; Richardson, J.D. The Role of Thoracoscopy in the Management of Retained Thoracic Collections After Trauma. Ann. Thorac. Surg. 1997, 63, 940–943. [Google Scholar] [CrossRef]
- Meyer, D.M.; Jessen, M.E.; Wait, M.A.; Estrera, A.S. Early Evacuation of Traumatic Retained Hemothoraces Using Thoracoscopy: A Prospective, Randomized Trial. Ann. Thorac. Surg. 1997, 64, 1396–1401. [Google Scholar] [CrossRef]
- Patel, J.N.; Dultz, L.; Ladhani, H.A.; Cullinane, D.C.; Klein, E.; McNickle, A.G.; Bugaev, N.; Fraser, D.R.; Kartiko, S.; Dodgion, C.; et al. Management of simple and retained hemothorax: A practice management guideline from the Eastern Association for the surgery of Trauma. Am. J. Surg. 2021, 221, 873–884. [Google Scholar] [CrossRef] [PubMed]
- Huang, F.-D.; Yeh, W.B.; Chen, S.S.; Liu, Y.Y.; Lu, I.Y.; Chou, Y.P.; Wu, T.C. Early management of retained hemothorax in blunt head and Chest trauma. World J. Surg. 2018, 42, 2061–2066. [Google Scholar] [CrossRef] [PubMed]



| HTX n = 55 | rHTX n = 38 | Tot. n = 93 | p Value | |
|---|---|---|---|---|
| Demographic data | ||||
| Age, yrs., median (IQR) | 47 (40–53) | 49 (36–56) | 48 (42–53) | 0.698 |
| Gender, male, n (%) | 46 (84) | 34 (90) | 80 (86) | 0.427 |
| BMI, Kg/m2, mean (±SD) | 23 (±2) | 27 (±4) | 23 (±3) | 0.022 * |
| Pre-hospital data | ||||
| GCS, median (IQR) | 15 (14–15) | 15 (15–15) | 15 (15–15) | 0.537 |
| Heart Rate, beats/min, median (IQR) | 100 (91–110) | 100 (90–105) | 100 (98–104) | 0.670 |
| Respiratory Rate, median (IQR) | 18 (16–18) | 18 (16–21) | 18 (16–19) | 0.353 |
| Systolic Blood Pressure, mmHg, median (IQR) | 112 (±33) | 108 (±35) | 110 (±33) | 0.559 |
| Peripheric oxygen saturation (SpO2), %, median (IQR) | 97 (95–98) | 94 (90–97) | 96 (95–97) | 0.018 * |
| In-hospital data | ||||
| Heart rate, bpm, median (IQR) | 100 (94–111) | 92 (87–105) | 100 (92–110) | 0.357 |
| Systolic Blood Pressure, mmHg, mean ± SD | 113 (±34) | 121 (±35) | 117 (±35) | 0.289 |
| SpO2, %, median (IQR) | 99 (98–100) | 98 (69–99) | 98 (98–99) | 0.136 |
| INR, median (IQR) | 1.1 (1.1–1.2) | 1.2 (1.1–1.2) | 1.2 (1.1–1.2) | 0.298 |
| Thoracic drain management | ||||
| TT placed pre-hospital, n (%) | 2 (4) | 2 (5) | 4 (4) | 0.705 |
| TT placed on ED admission, n (%) | 45 (82) | 33 (87) | 78 (84) | 0.519 |
| TT placed inpatient ward, n (%) | 16 (29) | 11 (29) | 27 (29) | 0.988 |
| Total TT days, median (IQR) | 6 (5–7) | 12 (11–15) | 1 (1–2) | <0.0001 * |
| Number of TT placed, median (IQR) | 1 (1–2) | 2 (1–2) | 1 (1–2) | 0.030 * |
| Chest tube size, Ch, median (IQR) | 28 (28–29) | 32 (28–32) | 28 (28–32) | 0.024 * |
| Associated thoracic injuries | ||||
| Pneumothorax, n (%) | 39 (71) | 29 (76) | 68 (73) | 0.565 |
| Pulmonary contusion, n (%) | 33 (60) | 25 (66) | 58 (62) | 0.573 |
| First rib fracture, n (%) | 2 (4) | 6 (16) | 8 (9) | 0.041 * |
| N° rib fractures, median (IQR) | 6 (5–7) | 9 (5–11) | 6 (6–9) | 0.070 |
| Sternum fracture, n (%) | 2 (4) | 6 (16) | 8 (9) | 0.041 * |
| Clavicle fracture, n (%) | 11 (20) | 3 (8) | 14 (15) | 0.110 |
| Scapula fracture, n (%) | 13 (24) | 2 (5) | 15 (16) | 0.018 * |
| Odds Ratio | CI 95% | p-Value | |
|---|---|---|---|
| Sternum fracture | 7.96 | 1.16–54.79 | 0.035 * |
| Pre-hospital SpO2 | 0.86 | 0.77–0.96 | 0.009 * |
| Total TT days | 1.22 | 1.09–1.37 | 0.0005 * |
Publisher’s Note: MDPI stays neutral with regard to jurisdictional claims in published maps and institutional affiliations. |
© 2022 by the authors. Licensee MDPI, Basel, Switzerland. This article is an open access article distributed under the terms and conditions of the Creative Commons Attribution (CC BY) license (https://creativecommons.org/licenses/by/4.0/).
Share and Cite
Rossmann, M.; Altomare, M.; Pezzoli, I.; Abruzzese, A.; Spota, A.; Vettorello, M.; Cioffi, S.P.B.; Virdis, F.; Bini, R.; Chiara, O.; et al. Risk Factors for Retained Hemothorax after Trauma: A 10-Years Monocentric Experience from First Level Trauma Center in Italy. J. Pers. Med. 2022, 12, 1570. https://doi.org/10.3390/jpm12101570
Rossmann M, Altomare M, Pezzoli I, Abruzzese A, Spota A, Vettorello M, Cioffi SPB, Virdis F, Bini R, Chiara O, et al. Risk Factors for Retained Hemothorax after Trauma: A 10-Years Monocentric Experience from First Level Trauma Center in Italy. Journal of Personalized Medicine. 2022; 12(10):1570. https://doi.org/10.3390/jpm12101570
Chicago/Turabian StyleRossmann, Marta, Michele Altomare, Isabella Pezzoli, Arianna Abruzzese, Andrea Spota, Marco Vettorello, Stefano Piero Bernardo Cioffi, Francesco Virdis, Roberto Bini, Osvaldo Chiara, and et al. 2022. "Risk Factors for Retained Hemothorax after Trauma: A 10-Years Monocentric Experience from First Level Trauma Center in Italy" Journal of Personalized Medicine 12, no. 10: 1570. https://doi.org/10.3390/jpm12101570
APA StyleRossmann, M., Altomare, M., Pezzoli, I., Abruzzese, A., Spota, A., Vettorello, M., Cioffi, S. P. B., Virdis, F., Bini, R., Chiara, O., & Cimbanassi, S. (2022). Risk Factors for Retained Hemothorax after Trauma: A 10-Years Monocentric Experience from First Level Trauma Center in Italy. Journal of Personalized Medicine, 12(10), 1570. https://doi.org/10.3390/jpm12101570

