Next Article in Journal
Machine Learning-Based Radiomics of the Optic Chiasm Predict Visual Outcome Following Pituitary Adenoma Surgery
Previous Article in Journal
Late Failure of High-Flow Nasal Cannula May Be Associated with High Mortality in COVID-19 Patients: A Multicenter Retrospective Study in the Republic of Korea
 
 
Font Type:
Arial Georgia Verdana
Font Size:
Aa Aa Aa
Line Spacing:
Column Width:
Background:
Article

Mid- and Late-Life Migraine Is Associated with an Increased Risk of All-Cause Dementia and Alzheimer’s Disease, but Not Vascular Dementia: A Nationwide Retrospective Cohort Study

1
Division of Big Data and Artificial Intelligence, Institute of New Frontier Research, Chuncheon Sacred Heart Hospital, Hallym University College of Medicine, Chuncheon 24252, Korea
2
Department of Otorhinolaryngology—Head and Neck Surgery, Chuncheon Sacred Heart Hospital, Hallym University College of Medicine, Chuncheon 24252, Korea
*
Author to whom correspondence should be addressed.
J. Pers. Med. 2021, 11(10), 990; https://doi.org/10.3390/jpm11100990
Submission received: 7 September 2021 / Revised: 27 September 2021 / Accepted: 28 September 2021 / Published: 30 September 2021

Abstract

:
We used a nationwide cohort sample of data from 2002 to 2013, representing approximately 1 million patients to investigate the prospective association between migraine and dementia. The migraine group (n = 1472) included patients diagnosed between 2002 and 2004, aged over 55 years; the comparison group was selected using propensity score matching (n = 5888). Cox proportional hazards regression analyses was used to calculate the hazard ratios (HRs). The incidence of dementia was 13.5 per 1000 person-years in the migraine group. Following adjustment for sociodemographic and comorbidities variables, patients with migraine developed dementia more frequently than those in the comparison group (adjusted HR = 1.37, 95% confidence interval [CI], 1.16–1.61). In the subgroup analysis, we found a higher HR of dementia events in male, the presence of comorbidities, and older age (≥65) patients with migraine, compared to those without migraine. Moreover, patients with migraine had a significantly higher incidence of Alzheimer’s disease (adjusted HR = 1.31, 95% CI, 1.08–1.58), but not vascular dementia, than those without migraine. Therefore, our findings suggest that mid- and late-life migraines may be associated with an increased incidence of all-cause dementia and Alzheimer’s disease, but not vascular dementia.

1. Introduction

A migraine is a headache that can cause severe throbbing pain or a pulsing sensation, usually on one side of the head and may be aggravated by physical activity [1]. Severe cases can affect a person’s daily life, including their ability to work or study. Dementia usually occurs in later life and is characterized by slow progressive memory loss, impaired cognitive function, and the inability to perform activities of daily living [2]. These neurological diseases (migraine and dementia) place a considerable burden on public health. Additionally, some studies have indicated that the vascular change in migraine could contribute to dementia development since cerebral small vessel disease could increase the risk for cerebrovascular dysfunction [3,4]. However, the literature regarding the relationship between migraine and dementia are controversial [5,6,7,8,9,10].
One prior meta-analysis demonstrated that any type of headache showed a significantly increased risk of all-cause dementia, but there is no association between any type of headache and incident Alzheimer’s disease [5]. In contrast to this study, other recent studies revealed a positive association of migraine with all-cause dementia as well as Alzheimer’s disease [6,7,8]. However, these studies had several limitations, including those based on small populations (not nationwide population), only involving older individuals (not including those of middle age), and without a clear temporal separation between migraine and dementia. Moreover, another recent cohort study from the USA demonstrated that this study did not show the association of migraine with incident dementia [9]. Thus, to date, the association between migraine and dementia has still unclear.
Therefore, to determine a possible link between migraine and all types of dementia, we analyzed the prospective development of dementia events in patients with migraines using a nationally representative sample from the National Sample Cohort (NSC) data obtained from the Korean National Health Insurance Service (KNHIS) in South Korea.

2. Materials and Methods

2.1. Study Setting and Participants

Among 1,025,340 patient datasets, the number of patients with migraine was identified according to the International Classification of Diseases, 10th revision (ICD-10), code. The migraine group included all patients who received an initial diagnosis of migraine (G43) during January 2002 and December 2004 at an age over 55 years at cohort entry. To further improve the accuracy of the migraine definition, we exclusively included patients who had been diagnosed with migraine more than three times between 2002 and 2004 and were diagnosed by neurologists. Patients were excluded if they (1) were diagnosed as dementia between 2002 and 2004, (2) died as a result of any cause between 2002, and (3) had a history of brain or heart surgery between 2002 to 2013. We randomly selected propensity score-matched (4:1) participants to establish the comparison group (non-migraine) from the remaining cohort registered in the database. In this study, we have matched comparison subjects to patients with migraines based on sociodemographic factors (age, sex, residential area, household income), comorbidities, and the enrollment year (migraine diagnosis). Figure 1 showed the schematic flow of the study design.

2.2. Study Outcome

The health claims data of all participants were examined for the development of dementia (Alzheimer’s disease [F00, G30], vascular dementia [F01], and others [F02, F03]) until December 2013. We included only dementia patients who were diagnosed by neurologists. In this study, the endpoints were an event (dementia) or all-cause mortality. However, if patients had no events and were alive on December 31, 2013 (the final date of data collection), we censored this time point (Supplementary Table S1). The risk of dementia in migraine patients and the comparison groups was compared as person-years at risk. The duration was defined as between either the date of dementia diagnosis (the migraine group) or the enrollment year (the comparison group) and the patient’s respective endpoint.

2.3. Independent Variables

Table 1 presents the patient characteristics, including sex, age, residence, household income, disability, and comorbidities. This study was categorized into three age groups (55–64, 65–74, and ≥75 years), three household income groups (low: ≤30%, middle: 30.1–69.9%, and high: ≥70% of the median), and three residential areas (1st area: Seoul, the largest metropolitan region; 2nd area: other metropolitan cities; and 3rd area: remaining areas). Data on comorbidities, including hypertension (I10–I15), diabetes mellitus (E10–E14), stroke (I60–I63), chronic kidney disease (N18), and disorders of lipoprotein metabolism and other lipidemias (E78) were obtained using on the relevant diagnostic code. We defined the presence of comorbidities as any diagnoses of these codes between 2002 and 2004 prior to the diagnosis of migraine.

2.4. Statistical Analyses

We constructed the cohort sample by one-to-four propensity score matching and determined the incidence rate per 1000 person-years for dementia. To identify whether migraine increased the risk of dementia, we calculated the hazard ratio (HR) and 95% confidence interval (CI) using the Cox proportional hazard regression. Additionally, subgroup analysis was performed according to sex, age, the presence of comorbidities. The overall specific disease-free time for the entire observation period was described using Kaplan–Meier survival curves. We used the R software program (R Foundation for Statistical Computing, Vienna, Austria) for all statistical analyses, with a significance level of 0.05.

3. Results

3.1. Effect of Migraine on the Incidence of Dementia in Patients Aged over 55 Years

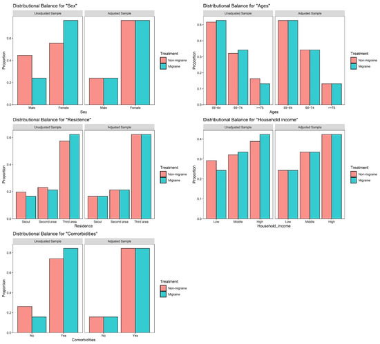
The present study comprised 1472 patients who were diagnosed with migraine and 5888 matched participants who were not diagnosed with migraine. Table 1 showed the characteristics of the study population, for the migraine and comparison group. We found similar distributions between the two groups, given that each variable was appropriately matched (Figure 2). The overall incidence of dementia was higher in patients who were diagnosed with migraine (13.5 per 1000 person-years) than in the comparison group (11.1 per 1000 person-years) (Table 2).

3.2. Hazard Ratios of Dementia in Patients with Migraine Aged over 55 Years

On the analysis of the Cox regression model, we found that migraine patients aged over 55 years was linked with prospective dementia development as 1.37 adjusted HR (95% CI, 1.16–1.61) during the follow-up period (Table 2).
In the subgroup analysis, we found higher adjusted HR of the prospective development of dementia in male patients with migraine (adjusted HR = 2.07, 95% CI 1.44–2.99), compared to the female those (Table 3). We also observed a significantly higher likelihood of developing dementia in migraine patients with a history of comorbidities (adjusted HR = 1.38, 95% CI 1.17–1.64) than those without a history of comorbidities (Table 4), and that the adjusted HR for developing dementia in patients with migraine was higher in old age (Table 5). Moreover, we detected that the adjusted HR of developing Alzheimer’s disease in patients aged over 55 years who have been diagnosed with dementia was 1.31 (95% CI 1.08–1.58), compared to the comparison group; however, we could not find any association with vascular dementia (adjusted HR = 1.42, 95% CI 0.98–2.05) in patients aged over 55 years who were diagnosed with dementia (Table 6).
Figure 3 illustrates the Kaplan–Meier survival curves with log-rank tests for the cumulative hazard plot of specific disease-free status between the comparison and migraine group. The results of the log-rank test indicated that migraine patients aged over 55 years could develop dementia more frequently than patients who were not diagnosed with migraine.

4. Discussion

This study was used the nationwide population-based dataset which included the entire medical service utilization history of more than 1 million South Koreans. From KNHIS–NSC, we identify mid- and late-life migraines and their potential to cause all-cause dementia events, such as Alzheimer’s disease or vascular dementia. Thus, in this nationwide, retrospective cohort study, we found that the cumulative incidence of all-cause dementia and Alzheimer’s disease was higher in mid- and late-life patients with migraine than in those without migraine; however, there was no significant link between migraine and vascular dementia. Additionally, we detected a more significant association between diagnoses of mid- and late-life migraine and dementia in men, as well as in individuals with a history of comorbidities and an older age. These findings have important implications for clinicians and for the support provided to patients who are diagnosed with migraine regarding preventative measures for dementia.
Currently, it is well known that obesity, diabetes mellitus, hypertension, and coronary heart disease are important risk factors for dementia [11,12,13,14], while the appropriate treatment of those could reduce this risk [15,16,17]. Therefore, in this study, we adjusted for hypertension, diabetes mellitus, stroke, chronic kidney disease, disorders of lipoprotein metabolism, and other lipidemias as comorbidities. Additionally, the exact pathophysiological mechanism between migraine and dementia is still unclear, although several studies have described that vascular problems and brain structural changes, such as white matter abnormalities, are found in migraine [5,18,19,20,21]. These are thought to be important pathologic findings that contribute to the development of dementia. Thus, we excluded individuals who underwent brain or heart surgeries given that these procedures could influence the development of dementia.
Some studies described the hypoperfusion-induced oxidative stress in endothelial and nerve cells were was induced by vascular problems [22,23]. Other studies also showed that cardiovascular disease could contribute to the brain white matter abnormalities [24,25]. Based on previous studies [22,23,24,25], the hypothesis that migraine is associated with an increased risk of dementia can be reasonably speculated. However, evidence from longitudinal studies associating migraine with dementia show controversial findings [5,6,7,8,9,10]. Our findings are quite comparable with those of several previous studies [6,7,8]. However, contrary to other previous studies, we did not include only older patients—we included patients with migraine who were aged over 55 years. Similar to our study, a Danish cohort study included patients with migraine with a primary diagnosis before the age of 59 years [26]. This study demonstrated a higher rate of dementia events in patients with migraine than in those without migraine [26]. Moreover, it is generally accepted that the increased cardiovascular risk of migraine is a composite effect of multiple parameters, such as hypertension, diabetes mellitus, obesity, and dyslipidaemia [27,28,29,30]. Thus, our results support the hypothesis that migraine in midlife may be a risk factor for dementia in later life, specifically for Alzheimer’s disease.
Interestingly, despite the vascular problems in migraine pathophysiology, we found that migraine was not significantly associated with an increased risk of vascular dementia. Consistent with our results, some prior studies showed no association between migraine and increased vascular dementia [6,8] We believe that this finding may imply the lack of a direct causal link between those because our study matched stroke events in both groups, given that stroke is a major risk factor for vascular dementia [31,32]. In addition, we found a higher adjusted HR for dementia in patients with migraine, specifically in men as well as in individuals with comorbidities and an older age, which are related with vascular risks. Thus, we thought the vascular problems may be an intervening variable between migraine and vascular dementia. However, our findings have some inherent limitations. First, vascular dementia as a single entity (without concomitant Alzheimer’s disease) is much less common than Alzheimer’s disease. Second, Alzheimer’s disease most commonly harbors concomitant vascular dementia pathology, but is classified as Alzheimer’s disease alone; hence, the contribution of migraine to the development of Alzheimer’s disease could be mediated by the underlying vascular component of Alzheimer’s disease.
This study had some unique strengths. First, our incidences and HR of dementia was effectively obtained using a large, national, population-based database. Second, our cohort data included a long observation period compared with other studies. Third, the prior validation study revealed that the KNHIS-NSC data showed a similar prevalence of 20 major diseases for each of the years assessed. Thus, it means that the we could assume the reliability of the KNHIS-NSC data as “fair to good [33,34]”.
Our study also had some notable limitations. First, we could not obtain any specific personal medical data, including body mass index, pathology findings, laboratory data, or behavioral risk factors (the history of smoking or alcohol consumption). Second, the diagnosis of migraine and dementia was based on the ICD-10 diagnostic code, not medical records that include details such as the patients’ medical history and the results of neurocognitive questionnaires. It means that this study has the misclassification bias. To overcome this problem, we only included migraine or dementia patients who were diagnosed by neurologists. Third, we could not guarantee that the age at the first hospital visit for migraine accurately corresponded with the age of migraine onset. Fourth, we could not access specific data such as the duration, frequency, and severity of migraine due to lack of data in our registry; therefore, we were unable to investigate whether the duration, frequency, and severity of migraine may have a differential effect on dementia risk. Fifth, we were unable to adjust for the effect of anti-migraine medication doses, such as ergotamine and triptans. Finally, family history, genetic conditions, and radiographic findings based on magnetic resonance imaging (such as brain structural abnormalities) could affect the potential development of Alzheimer’s disease and vascular dementia. However, to overcome these limitations, we enrolled only patients who were aged 55 years or older. Moreover, we matched migraine and non-migraine groups using propensity scores. However, for these limitations, future clinical studies to provide strong evidence for the link between migraine and dementia would need.

5. Conclusions

The present study investigated a possible association between mid- and late-life patients with migraine and the development of dementia. We found that mid- and late-life patients with migraine had a higher risk of developing all-cause dementia, with the risk being greater in men as well as in older patients and those with comorbidities. Additionally, mid- and late-life patients with migraine had a higher risk of Alzheimer’s disease, but not vascular dementia. However, to elucidate the underlying pathophysiological mechanisms, further studies included a wider range of factors and diagnostic criteria are required.

Supplementary Materials

The following are available online at https://www.mdpi.com/article/10.3390/jpm11100990/s1, Table S1: Description of time to event and censored data

Author Contributions

Conceptualization, D.-K.K. and H.-J.L.; methodology, H.Y.; software, H.Y.; validation, D.-K.K. and H.-J.L.; formal analysis, S.G.M.; investigation, K.P.; resources, H.-J.L.; data curation, D.-K.K.; writing—original draft preparation, D.-K.K.; writing—review and editing, D.-K.K.; visualization, H.-J.L.; supervision, D.-K.K.; project administration, H.-J.L.; funding acquisition, D.-K.K. All authors have read and agreed to the published version of the manuscript.

Funding

This research was funded by a grant from the Hallym University Research Fund and the Bio and Medical Technology Development Program of the National Research Foundation, funded by the Korean Government (MSIT, NRF-2021R1C1C1005746).

Institutional Review Board Statement

The study was conducted according to the guidelines of the Declaration of Helsinki, and approved by the Institutional Review Board of Hallym Medical University Chuncheon Sacred Hospital (Chuncheon, Korea, IRB No. 2021-08-006).

Informed Consent Statement

The need for written informed consent was waived as the KNHISNSC dataset used in the study comprised de-identified secondary data.

Data Availability Statement

The authors confirm that the data supporting the findings of this study are available within the article.

Conflicts of Interest

The authors declare no conflict of interest.

References

  1. Dodick, D.W. Migraine. Lancet 2018, 391, 1315–1330. [Google Scholar] [CrossRef]
  2. Livingston, G.; Sommerlad, A.; Orgeta, V.; Costafreda, S.G.; Huntley, J.; Ames, D.; Ballard, C.; Banerjee, S.; Burns, A.; Cohen-Mansfield, J.; et al. Dementia prevention, intervention, and care. Lancet 2017, 390, 2673–2734. [Google Scholar] [CrossRef] [Green Version]
  3. Raz, L.; Knoefel, J.; Bhaskar, K. The neuropathology and cerebrovascular mechanisms of dementia. J. Cereb. Blood Flow. Metab. 2016, 36, 172–186. [Google Scholar] [CrossRef] [Green Version]
  4. Mason, B.N.; Russo, A.F. Vascular contributions to migraine: Time to revisit? Front. Cell. Neurosci. 2018, 12, 233. [Google Scholar] [CrossRef]
  5. Wang, J.; Xu, W.; Sun, S.; Yu, S.; Fan, L. Headache disorder and the risk of dementia: A systematic review and meta-analysis of cohort studies. J. Headache Pain 2018, 19, 95. [Google Scholar] [CrossRef] [Green Version]
  6. Kostev, K.; Bohlken, J.; Jacob, L. Association between migraine headaches and dementia in more than 7400 patients followed in general practices in the United Kingdom. J. Alzheimer’s Dis. 2019, 71, 353–360. [Google Scholar] [CrossRef] [PubMed]
  7. Lee, S.Y.; Lim, J.S.; Oh, D.J.; Kong, I.G.; Choi, H.G. Increased risk of neurodegenerative dementia in women with migraines: A nested case-control study using a national sample cohort. Medicine 2019, 98, e14467. [Google Scholar] [CrossRef] [PubMed]
  8. Morton, R.E.; St John, P.D.; Tyas, S.L. Migraine and the risk of all-cause dementia, Alzheimer’s disease, and vascular dementia: A prospective cohort study in community-dwelling older adults. Int. J. Geriatr. Psychiatry 2019, 34, 1667–1676. [Google Scholar] [CrossRef] [PubMed]
  9. George, K.M.; Folsom, A.R.; Sharrett, A.R.; Mosley, T.H.; Gottesman, R.F.; Hamedani, A.G.; Lutsey, P.L. Migraine headache and risk of dementia in the atherosclerosis risk in communities neurocognitive study. Headache 2020, 60, 946–953. [Google Scholar] [CrossRef]
  10. Breteler, M.M.; van Duijn, C.M.; Chandra, V.; Fratiglioni, L.; Graves, A.B.; Heyman, A.; Jorm, A.F.; Kokmen, E.; Kondo, K.; Mortimer, J.A. Medical history and the risk of Alzheimer’s disease: A collaborative re-analysis of case-control studies. EURODEM Risk Factors Research Group. Int. J. Epidemiol. 1991, 20 (Suppl. 2), S36–S42. [Google Scholar] [CrossRef]
  11. Wolters, F.J.; Segufa, R.A.; Darweesh, S.K.L.; Bos, D.; Ikram, M.A.; Sabayan, B.; Hofman, A.; Sedaghat, S. Coronary heart disease, heart failure, and the risk of dementia: A systematic review and meta-analysis. Alzheimer’s Dement. 2018, 14, 1493–1504. [Google Scholar] [CrossRef] [PubMed]
  12. Anstey, K.J.; Cherbuin, N.; Budge, M.; Young, J. Body mass index in midlife and late-life as a risk factor for dementia: A meta-analysis of prospective studies. Obes. Rev. 2011, 12, e426–e437. [Google Scholar] [CrossRef]
  13. Xu, W.; Qiu, C.; Gatz, M.; Pedersen, N.L.; Johansson, B.; Fratiglioni, L. Mid- and late-life diabetes in relation to the risk of dementia: A population-based twin study. Diabetes 2009, 58, 71–77. [Google Scholar] [CrossRef] [PubMed] [Green Version]
  14. Sahathevan, R.; Brodtmann, A.; Donnan, G.A. Dementia, stroke, and vascular risk factors; a review. Int. J. Stroke 2012, 7, 61–73. [Google Scholar] [CrossRef] [PubMed]
  15. Jick, H.; Zornberg, G.L.; Jick, S.S.; Seshadri, S.; Drachman, D.A. Statins and the risk of dementia. Lancet 2000, 356, 1627–1631. [Google Scholar] [CrossRef]
  16. Skoog, I. Antihypertensive treatment and dementia. Pol. Arch. Med. Wewn. 2009, 119, 524–525. [Google Scholar] [CrossRef] [Green Version]
  17. Parikh, N.M.; Morgan, R.O.; Kunik, M.E.; Chen, H.; Aparasu, R.R.; Yadav, R.K.; Schulz, P.E.; Johnson, M.L. Risk factors for dementia in patients over 65 with diabetes. Int. J. Geriatr. Psychiatry 2011, 26, 749–757. [Google Scholar] [CrossRef]
  18. Hansen, J.M.; Charles, A. Differences in treatment response between migraine with aura and migraine without aura: Lessons from clinical practice and RCTs. J. Headache Pain 2019, 20, 96. [Google Scholar] [CrossRef] [Green Version]
  19. Mahmoud, A.N.; Mentias, A.; Elgendy, A.Y.; Qazi, A.; Barakat, A.F.; Saad, M.; Mohsen, A.; Abuzaid, A.; Mansoor, H.; Mojadidi, M.K.; et al. Migraine and the risk of cardiovascular and cerebrovascular events: A meta-analysis of 16 cohort studies including 1 152 407 subjects. BMJ Open 2018, 8, e020498. [Google Scholar] [CrossRef]
  20. Bashir, A.; Lipton, R.B.; Ashina, S.; Ashina, M. Migraine and structural changes in the brain: A systematic review and meta-analysis. Neurology 2013, 81, 1260–1268. [Google Scholar] [CrossRef]
  21. Swartz, R.H.; Kern, R.Z. Migraine is associated with magnetic resonance imaging white matter abnormalities: A meta-analysis. Arch. Neurol. 2004, 61, 1366–1368. [Google Scholar] [CrossRef] [PubMed]
  22. Sas, K.; Párdutz, A.; Toldi, J.; Vécsei, L. Dementia, stroke and migraine--some common pathological mechanisms. J. Neurol. Sci. 2010, 299, 55–65. [Google Scholar] [CrossRef] [PubMed]
  23. Aliev, G.; Palacios, H.H.; Walrafen, B.; Lipsitt, A.E.; Obrenovich, M.E.; Morales, L. Brain mitochondria as a primary target in the development of treatment strategies for Alzheimer disease. Int. J. Biochem. Cell Biol. 2009, 41, 1989–2004. [Google Scholar] [CrossRef] [PubMed]
  24. de Groot, J.C.; de Leeuw, F.E.; Oudkerk, M.; van Gijn, J.; Hofman, A.; Jolles, J.; Breteler, M.M. Cerebral white matter lesions and cognitive function: The Rotterdam Scan Study. Ann. Neurol. 2000, 47, 145–151. [Google Scholar] [CrossRef]
  25. Vermeer, S.E.; Hollander, M.; van Dijk, E.J.; Hofman, A.; Koudstaal, P.J.; Breteler, M.M. Silent brain infarcts and white matter lesions increase stroke risk in the general population: The Rotterdam Scan Study. Stroke 2003, 34, 1126–1129. [Google Scholar] [CrossRef] [Green Version]
  26. Islamoska, S.; Hansen, Å.M.; Wang, H.X.; Garde, A.H.; Andersen, P.K.; Garde, E.; Hansen, J.M.; Waldemar, G.; Nabe-Nielsen, K. Mid- to late-life migraine diagnoses and risk of dementia: A national register-based follow-up study. J. Headache Pain 2020, 21, 98. [Google Scholar] [CrossRef] [PubMed]
  27. Liampas, I.; Mylonas, K.S.; Brotis, A.; Dervenis, P.; Siokas, V.; Mentis, A.A.; Dastamani, M.; Aloizou, A.M.; Tsouris, Z.; Aslanidou, P.; et al. Serum lipid abnormalities in migraine: A meta-analysis of observational studies. Headache 2021, 61, 44–59. [Google Scholar] [CrossRef]
  28. Hosseinpour, M.; Maleki, F.; Khoramdad, M.; Sullman, M.J.M.; Nejadghaderi, S.A.; Kolahi, A.A.; Safiri, S. A systematic literature review of observational studies of the bilateral association between diabetes and migraine. Diabetes Metab. Syndr. 2021, 15, 673–678. [Google Scholar] [CrossRef]
  29. Hatami, M.; Soveid, N.; Lesani, A.; Djafarian, K.; Shab-Bidar, S. Migraine and Obesity: Is There a Relationship? A Systematic Review and Meta-Analysis of Observational Studies. CNS Neurol. Disord. Drug Targets 2021. [Google Scholar] [CrossRef]
  30. Wang, Y.F.; Wang, S.J. Hypertension and Migraine: Time to Revisit the Evidence. Curr. Pain Headache Rep. 2021, 16, 58. [Google Scholar] [CrossRef]
  31. Kurth, T.; Schürks, M.; Logroscino, G.; Buring, J.E. Migraine frequency and risk of cardiovascular disease in women. Neurology 2009, 73, 581–588. [Google Scholar] [CrossRef] [PubMed] [Green Version]
  32. Scher, A.I.; Terwindt, G.M.; Picavet, H.S.; Verschuren, W.M.; Ferrari, M.D.; Launer, L.J. Cardiovascular risk factors and migraine: The GEM population-based study. Neurology 2005, 64, 614–620. [Google Scholar] [CrossRef] [PubMed]
  33. Seong, S.C.; Kim, Y.Y.; Park, S.K.; Khang, Y.H.; Kim, H.C.; Park, J.H.; Kang, H.J.; Do, C.H.; Song, J.S.; Lee, E.J.; et al. Cohort profile: The National Health Insurance Service-National Health Screening Cohort (NHIS-HEALS) in Korea. BMJ Open 2017, 7, e016640. [Google Scholar] [CrossRef] [PubMed] [Green Version]
  34. Lee, J.; Lee, J.S.; Park, S.H.; Shin, S.A.; Kim, K. The National Health Insurance Service-national sample cohort (NHIS-NSC), South Korea. Int. J. Epidemiol. 2017, 46, e15. [Google Scholar] [CrossRef] [PubMed]
Figure 1. Schematic description of study design.
Figure 1. Schematic description of study design.
Jpm 11 00990 g001
Figure 2. Balance plot for 5 variables before and after matching.
Figure 2. Balance plot for 5 variables before and after matching.
Jpm 11 00990 g002
Figure 3. Cumulative hazard plot of specific between migraine and comparison (participants without migraine).
Figure 3. Cumulative hazard plot of specific between migraine and comparison (participants without migraine).
Jpm 11 00990 g003
Table 1. Characteristics of the study subjects.
Table 1. Characteristics of the study subjects.
VariablesComparison
(n = 5888)
Migraine
(n = 1472)
p Value
Sex 1.000
Male1412 (24.0%)353 (24.0%)
Female4476 (76.0%)1119 (76.0%)
Ages (years) 1.000
55–643100 (52.6%)775 (52.6%)
65–742016 (34.2%)504 (34.2%)
≥75772 (13.1%)193 (13.1%)
Residence 1.000
Seoul972 (16.5%)243 (16.5%)
Second area1248 (21.2%)312 (21.2%)
Third area3668 (62.3%)917 (62.3%)
Household income 1.000
Low (0–30%)1428 (24.3%)357 (24.3%)
Middle (30–70%)1968 (33.4%)492 (33.4%)
High (70–100%)2492 (42.3%)623 (42.3%)
Comorbidities 1.000
No928 (15.8%)232 (15.8%)
Yes4960 (84.2%)1240 (84.2%)
Comparison, subjects without migraine; Seoul, the largest metropolitan area; second area, other metropolitan cities; third area, other areas.
Table 2. Incidence per 1000 person-years and HR (95% CIs) of dementia between comparison (non-migraine) and migraine group.
Table 2. Incidence per 1000 person-years and HR (95% CIs) of dementia between comparison (non-migraine) and migraine group.
VariablesNCaseIncidenceUnadjusted HR (95% CI)Adjusted HR (95% CI)p Value
Group
Comparison588868611.11.00 (ref)1.00 (ref)
Migraine147219113.51.36 (1.15–1.60) ***1.37 (1.16–1.61) ***<0.001
Sex
Male17651448.41.00 (ref)1.00 (ref)
Female559573312.51.45 (1.21–1.73) ***1.44 (1.20–1.72) ***<0.001
Ages (years)
55–6438752155.01.00 (ref)1.00 (ref)
65–74252042716.93.65 (3.10–4.30) ***3.59 (3.04–4.24) ***<0.001
≥7596523531.88.21 (6.81–9.89) ***8.19 (6.78–9.89) ***<0.001
Residence
Seoul121513010.01.00 (ref)1.00 (ref)
Second area156016810.41.05 (0.83–1.32)1.25 (0.99–1.57)0.059
Third area458557912.41.25 (1.04–1.52) *1.20 (0.99–1.46)0.057
Household income
Low (0–30%)178522012.01.00 (ref)1.00 (ref)
Middle (30–70%)246027910.90.90 (0.75–1.07)1.03 (0.86–1.23)0.762
High (70–100%)311537811.80.98 (0.83–1.16)0.97 (0.82–1.15)0.735
Comorbidities
No1160817.31.00 (ref)1.00 (ref)
Yes620079612.31.64 (1.31–2.06) ***1.41 (1.12–1.77) **0.003
Seoul, the largest metropolitan area; second area, other metropolitan cities; third area, other areas. HR, hazard ratio; CI, confidence interval. * p < 0.05, ** p < 0.010, and *** p < 0.001.
Table 3. Hazard ratios of dementia by sex among the sample patient.
Table 3. Hazard ratios of dementia by sex among the sample patient.
SexMaleFemale
ComparisonMigraineComparisonMigraine
Dementia
Unadjusted HR (95% CI)1.00 (ref)1.98
(1.37–2.86) ***
1.00 (ref)1.24
(1.04–1.49) *
Adjusted HR (95% CI)1.00 (ref)2.07
(1.44–2.99) ***
1.00 (ref)1.25
(1.04–1.49) *
HR, hazard ratio; CI, confidence interval. * p < 0.05, and *** p < 0.001.
Table 4. Hazard ratios of dementia by comorbidities among the sample patient.
Table 4. Hazard ratios of dementia by comorbidities among the sample patient.
ComorbiditiesNoYes
ComparisonMigraineComparisonMigraine
Dementia
Unadjusted HR (95% CI)1.00 (ref)1.19
(0.69–2.04)
1.00 (ref)1.38
(1.16–1.63) ***
Adjusted HR (95% CI)1.00 (ref)1.21
(0.70–2.07)
1.00 (ref)1.38
(1.17–1.64) ***
HR, hazard ratio; CI, confidence interval. *** p < 0.001.
Table 5. Hazard ratios of dementia by age among the sample patient.
Table 5. Hazard ratios of dementia by age among the sample patient.
Ages55–6465–74≥75
ComparisonMigraineComparisonMigraineComparisonMigraine
Dementia
Unadjusted HR (95% CI)1.00 (ref)1.11 (0.78–1.58)1.00 (ref)1.43 (1.14–1.80) **1.00 (ref)1.52 (1.12–2.07) **
Adjusted HR (95% CI)1.00 (ref)1.11 (0.78–1.58)1.00 (ref)1.43 (1.14–1.80) **1.00 (ref)1.50 (1.10–2.03) **
HR, hazard ratio; CI, confidence interval. ** p < 0.010.
Table 6. Incidence per 1000 person-years and HR (95% CI) of specific diseases (Alzheimer’s disease and vascular dementia).
Table 6. Incidence per 1000 person-years and HR (95% CI) of specific diseases (Alzheimer’s disease and vascular dementia).
VariablesNCaseIncidenceUnadjusted HR (95% CI)Adjusted HR (95% CI)
Alzheimer’s disease
Comparison58885218.41.00 (ref)1.00 (ref)
Migraine14721379.61.31 (1.08–1.58) **1.31 (1.08–1.58) **
Vascular dementia
Comparison58881242.01.00 (ref)1.00 (ref)
Migraine1472382.61.41 (0.98–2.03)1.42 (0.98–2.05)
HR, hazard ratio; CI, confidence interval. ** p < 0.010.
Publisher’s Note: MDPI stays neutral with regard to jurisdictional claims in published maps and institutional affiliations.

Share and Cite

MDPI and ACS Style

Lee, H.-J.; Yu, H.; Gil Myeong, S.; Park, K.; Kim, D.-K. Mid- and Late-Life Migraine Is Associated with an Increased Risk of All-Cause Dementia and Alzheimer’s Disease, but Not Vascular Dementia: A Nationwide Retrospective Cohort Study. J. Pers. Med. 2021, 11, 990. https://doi.org/10.3390/jpm11100990

AMA Style

Lee H-J, Yu H, Gil Myeong S, Park K, Kim D-K. Mid- and Late-Life Migraine Is Associated with an Increased Risk of All-Cause Dementia and Alzheimer’s Disease, but Not Vascular Dementia: A Nationwide Retrospective Cohort Study. Journal of Personalized Medicine. 2021; 11(10):990. https://doi.org/10.3390/jpm11100990

Chicago/Turabian Style

Lee, Hyun-Joo, Hyunjae Yu, Son Gil Myeong, Kijoon Park, and Dong-Kyu Kim. 2021. "Mid- and Late-Life Migraine Is Associated with an Increased Risk of All-Cause Dementia and Alzheimer’s Disease, but Not Vascular Dementia: A Nationwide Retrospective Cohort Study" Journal of Personalized Medicine 11, no. 10: 990. https://doi.org/10.3390/jpm11100990

APA Style

Lee, H.-J., Yu, H., Gil Myeong, S., Park, K., & Kim, D.-K. (2021). Mid- and Late-Life Migraine Is Associated with an Increased Risk of All-Cause Dementia and Alzheimer’s Disease, but Not Vascular Dementia: A Nationwide Retrospective Cohort Study. Journal of Personalized Medicine, 11(10), 990. https://doi.org/10.3390/jpm11100990

Note that from the first issue of 2016, this journal uses article numbers instead of page numbers. See further details here.

Article Metrics

Back to TopTop