Novel Data Mining Methodology for Healthcare Applied to a New Model to Diagnose Metabolic Syndrome without a Blood Test
Abstract
1. Introduction
2. Methodology to Build Data Mining Models
- Sample This step consists of sampling the data by extracting a dataset big enough to contain meaningful information, and small enough to be processed quickly.
- Explore the data by searching for anticipated relationships, unanticipated trends, and anomalies to gain understanding and ideas.
- Modify the data by creating, selecting, and transforming the variables to then focus on the model selection process.
- Model This step consists of modeling data to find data combinations or patterns that reliably predict the desired outcome.
- Assess the data by evaluating the usefulness and reliability of the findings from the data mining process [28].
- REVIEW: This phase should start with a research question for the studied disease. Then, the user of the methodology performs a literature review that collects and revises the works proposing classification (diagnosis) models for the disease. It should also describe how to obtain the data of the target population, which could come from publicly available data or data obtained as part of the project.
- ANALYZE: It is a data analysis that includes a data description, correlation between data, and other tests.
- MODEL: It consists of building several classification models and testing them using the obtained data. If it is possible, propose a classifier model to detail which models are better used to predict the disease.
- ASSESS: In this phase, researchers must assess the proposed models and perform a comparison between them using the selected performance indicators.
- DOCUMENT: Record the parameters of the models and verify that they are detailed so that the project and experiments can be replicated.
3. Application of the Methodology to Metabolic Syndrome
3.1. Review
3.2. Analyze
3.3. Model
3.3.1. Decision Tree
3.3.2. Principal Component Regression Logistic
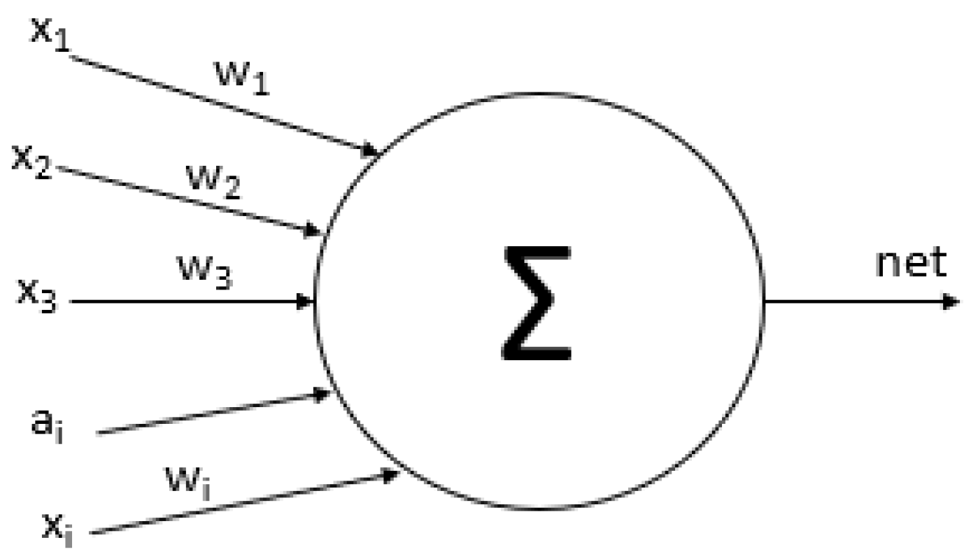
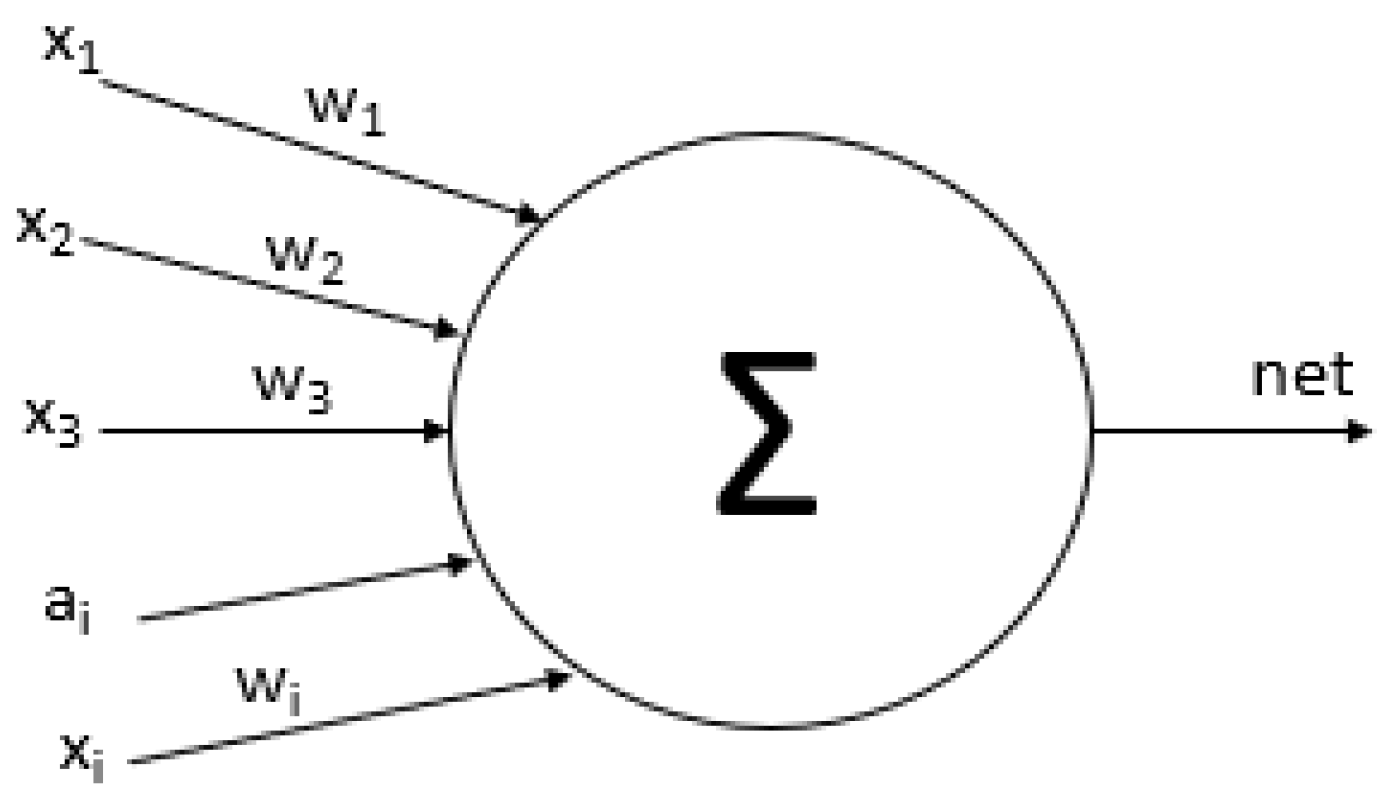
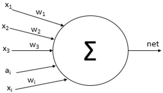
3.3.3. Artificial Neural Network
3.4. Assess
3.4.1. Hold Out
3.4.2. Random Subsampling
3.4.3. Indicators for the Evaluation of Models
3.5. Document
4. Results
4.1. Data Description
4.2. Experimenting with Models
4.3. Data Analysis
5. Discussion
6. Conclusions
Author Contributions
Funding
Acknowledgments
Conflicts of Interest
Appendix A
| Algorithm A1 Algorithm to diagnostic MetS with IDF criteria. |
|
Appendix B
| Algorithm A2 Algorithm to diagnostic MetS with HMS criteria. |
|
Appendix C
| Algorithm A3 Algorithm to diagnostic MetS risk with ATP III criteria using the decision tree [36]. |
|
References
- Smith, J.W.; Everhart, J.; Dickson, W.; Knowler, W.; Johannes, R. Using the ADAP Learning Algorithm to Forecast the Onset of Diabetes Mellitus. In Proceedings of the Annual Symposium on Computer Application in Medical Care, Orlando, FL, USA, 7–11 November 1988; pp. 261–265. [Google Scholar]
- Chandna, D. Diagnosis of Heart Disease Using Data Mining Algorithm. Int. J. Comput. Sci. Inf. Technol. 2014, 5, 1678–1680. [Google Scholar]
- Chobanian, A.V.; Bakris, G.L.; Black, H.R.; Cushman, W.C.; Green, L.A.; Izzo, J.L.; Jones, D.W.; Materson, B.J.; Oparil, S.; Wright, J.T.; et al. Seventh Report of the Joint National Committee on Prevention, Detection, Evaluation, and Treatment of High Blood Pressure. Hypertension 2003, 42, 1206–1252. [Google Scholar] [CrossRef] [PubMed]
- Cornier, M.A.; Dabelea, D.; Hernandez, T.L.; Lindstrom, R.C.; Steig, A.J.; Stob, N.R.; Van Pelt, R.E.; Wang, H.; Eckel, R.H. The Metabolic Syndrome. Endocr. Rev. 2008, 29, 777–822. [Google Scholar] [CrossRef] [PubMed]
- Grundy, S.M. Metabolic Syndrome: A Multiplex Cardiovascular Risk Factor. J. Clin. Endocrinol. Metab. 2007, 92, 399–404. [Google Scholar] [CrossRef] [PubMed]
- Aschner, P. Metabolic syndrome as a risk factor for diabetes. Expert Rev. Cardiovasc. Ther. 2010, 8, 407–412. [Google Scholar] [CrossRef] [PubMed]
- Tagle-Luzárraga, M.; Gomez, F.; Tagle, A. Estimación del riesgo cardiovascular según el algoritmo de Framingham en sujetos con síndrome metabólico, definido por los criterios del NCEP-ATP-III. Endocrinología y Nutrición 2007, 54, 211–215. [Google Scholar] [CrossRef]
- Kaur, J. A Comprehensive Review on Metabolic Syndrome. Cardiol. Res. Pract. 2014, 2014, 21. [Google Scholar] [CrossRef]
- Esposito, K.; Chiodini, P.; Colao, A.; Lenzi, A.; Giugliano, D. Metabolic syndrome and risk of cancer: A systematic review and meta-analysis. Diabetes Care 2012, 35, 2402–2411. [Google Scholar] [CrossRef]
- Chen, J.; Muntner, P.; Hamm, L.; Jones, D. The metabolic syndrome and chronic kidney disease in US adults. Ann. Intern. Med. 2004, 140, 167–174. [Google Scholar] [CrossRef]
- Galassi, A.; Reynolds, K.; He, J. Metabolic Syndrome and Risk of Cardiovascular Disease. Am. J. Med. 2006, 119, 812–819. [Google Scholar] [CrossRef]
- Jover, A.; Corbella, E.; Mun, A.; Pedro-botet, J.; Herna, A.; Zu, M. Prevalence of Metabolic Syndrome and its Components in Patients With Acute Coronary Syndrome. Rev. EspañOla Cardiol. 2011, 64, 579–586. [Google Scholar] [CrossRef] [PubMed]
- Aguilar, M.; Bhuket, T.; Torres, S.; Liu, B.; Wrong, R.J. Prevalence of the Metabolic Syndrome in the United States, 2003–2012. JAMA 2015, 313, 1973–1974. [Google Scholar] [CrossRef] [PubMed]
- Gutiérrez-Solis, A.L.; Datta Banik, S.; Méndez-González, R.M. Prevalence of Metabolic Syndrome in Mexico: A Systematic Review and Meta-Analysis. Metabolic Syndrome and Related Disorders. Metab. Syndr. Relat. Disord. 2018, XX, 1–11. [Google Scholar] [CrossRef]
- Lechuga, E.N.; Moranth, R.V. Metabolic syndrome in the southeast of Barranquilla (Colombia). Rev. Salud Uninorte 2008, 24, 40–52. [Google Scholar]
- Navarro, E.; Vargas, R.F. Coronary risk according to Framinghan equation in adults with metabolic syndrome in the city of Soledad, Atlantico, 2010. Rev. Colomb. Cardiol. 2012, 19, 109–118. [Google Scholar] [CrossRef]
- Alberti, K.G.M.M.; Zimmet, P.Z. Definition, Diagnosis and Classification of Diabetes Mellitus and its Complications Part 1: Diagnosis and Classification of Diabetes Mellitus Provisional Report of a WHO Consultation. Diabet. Med. 1998, 15, 539–553. [Google Scholar] [CrossRef]
- Bartlett, J.G.M. Executive Summary of the Third Report of the National Cholesterol Education Program (Ncep) Expert Panel on Detection , Evaluation and Treatment of High Blood Cholesterol in Adults (Adult Treatment Panel III). JAMA J. Am. Med Assoc. 2001, 285, 2486–2497. [Google Scholar] [CrossRef]
- Balkau, B.; Charles, M. Comment on the provisional report from the WHO consultation. European Group for the Study of Insulin Resistance (EGIR). Diabet Med. 1999, 16, 442–443. [Google Scholar]
- Alberti, K.G.M.M.; Zimmet, P.; Shaw, J. Metabolic syndrome—A new world-wide definition . A Consensus Statement from the International Diabetes Federation. J. Compil. 2006, 23, 469–480. [Google Scholar] [CrossRef]
- Alberti, K.G.M.M.; Eckel, R.H.; Grundy, S.M.; Zimmet, P.Z.; Cleeman, J.I.; Donato, K.A.; Fruchart, J.C.; James, W.P.T.; Loria, C.M.; Smith, S.C. Harmonizing the Metabolic Syndrome International Atherosclerosis Society and International Association for the Study of Obesity. Circulation 2009, 120, 1640–1645. [Google Scholar] [CrossRef]
- Ivanović, D.; Kupusinac, A.; Stokić, E.; Doroslovački, R.; Ivetić, D. ANN Prediction of Metabolic Syndrome: A Complex Puzzle that will be Completed. J. Med. Syst. 2016, 40, 264. [Google Scholar] [CrossRef] [PubMed]
- Minsalud. Informe Nacional de Calidad de la Atención en Salud 2015; Minsalud: Bogota, Colombia, 2015; p. 217. Available online: https://www.minsalud.gov.co/sites/rid/Lists/BibliotecaDigital/RIDE/DE/DIJ/informe-nal-calidad-atencion-salud-2015.pdf (accessed on 2 October 2019).
- Irving, G.; Neves, A.L.; Dambha-Miller, H.; Oishi, A.; Tagashira, H.; Verho, A.; Holden, J. International variations in primary care physician consultation time: A systematic review of 67 countries. BMJ Open 2017, 7, e017902. [Google Scholar] [CrossRef] [PubMed]
- Pencina, M.J.; D’Agostino, R.B.; Larson, M.G.; Massaro, J.M.; Vasan, R.S. Predicting the 30-Year Risk of Cardiovascular Disease: The Framingham Heart Study. Circulation 2009, 119, 3078–3084. [Google Scholar] [CrossRef] [PubMed]
- Matignon, R. Data Mining Using SAS Enterprise MinerTM; John Wiley and Sons: Hoboken, NJ, USA, 2007; ISBN 978-0470149010. [Google Scholar]
- Rohanizadeh, S.S.; Moghadam, M.B. A Proposed Data Mining Methodology and its Application to Industrial Procedures. J. Optim. Ind. Eng. 2010, 1, 37–50. [Google Scholar]
- Azevedo, A.; Santos, M.F. KDD , SEMMA and CRISP-DM: A Parallel OvervieW. In Proceedings of the IADIS European Conference Data Mining, Amsterdam, The Netherlands, 24–26 July 2008; pp. 182–185. [Google Scholar]
- Wirth, R. CRISP-DM : Towards a Standard Process Model for Data Mining. In Proceedings of the Fourth International Conference on the Practical Application of Knowledge Discovery and Data Mining, Manchester, UK, 11–13 April 2000; pp. 29–39. [Google Scholar]
- Stirrup, J.; Ramos, R.O. Advanced Analytics with R and Tableau: Advanced Analytics Using Data Classification, Unsupervised Learning and Data Visualization; Packt Publishing: Birmingham, UK, 2017. [Google Scholar]
- Fayyad, U.; Piatetsky-shapiro, G.; Smyth, P. From Data Mining to Knowledge Discovery in databases. AI Mag. 1996, 17, 37–54. [Google Scholar]
- Shearer, C. Journal Statement of Purpose E-Business and the New Demands on Data E-Commerce Places on Data Warehousing Technology Warehousing. J. Data Warehous. 2000, 5, 13–22. [Google Scholar]
- Xavier, A.F.; Naveiro, R.M.; Aoussat, A.; Reyes, T. Systematic literature review of eco-innovation models: Opportunities and recommendations for future research. J. Clean. Prod. 2017, 149, 1278–1302. [Google Scholar] [CrossRef]
- Webster, J.; Watson, R.T. Analyzing the Past to Prepare for the Future: Writing a Literature Review. MIS Q. 2002, 26, xiii–xxiii. [Google Scholar]
- Urru, G. PRISMA declaration: A proposal to improve the publication of systematic reviews and meta-analyses. Med. ClíNica 2011, 135, 507–511. [Google Scholar] [CrossRef]
- Kroon, M.L.A.D.; Renders, C.M.; Kuipers, E.C.C.; Wouwe, J.P.V.; Buuren, S.V.; Jonge, G.A.D.; Hirasing, R.A. Identifying metabolic syndrome without blood tests in young adults—The Terneuzen Birth Cohort. Eur. J. Public Health 2008, 18, 656–660. [Google Scholar] [CrossRef][Green Version]
- Murguía-Romero, M.; Jiménez-Flores, R.; Méndez-Cruz, A.R.; Villalobos-Molina, R. Predicting Metabolic Syndrome with Neural Networks. In Advances in Artificial Intelligence and Its Applications; Castro, F., Gelbukh, A., González, M., Eds.; Springer: Berlin/Heidelberg, Germany, 2013; pp. 464–472. [Google Scholar]
- Chen, H.; Xiong, S.; Ren, X. Evaluating the Risk of Metabolic Syndrome Based on an Artificial Intelligence Model. Abstr. Appl. Anal. 2014, 2014, 1–12. [Google Scholar] [CrossRef]
- Hsiung, D.Y.; Liu, C.W.; Cheng, P.C.; Ma, W.F. Using non-invasive assessment methods to predict the risk of metabolic syndrome. Appl. Nurs. Res. 2015, 28, 72–77. [Google Scholar] [CrossRef] [PubMed]
- Palacios, H.J.G.; Toledo, R.A.J.; Pantoja, G.A.H.; Navarro, Á.A.M. A comparative between CRISP-DM and SEMMA through the construction of a MODIS repository for studies of land use and cover change. Adv. Sci. Technol. Eng. Syst. J. 2017, 2, 598–604. [Google Scholar] [CrossRef]
- Witten, I.H.; Frank, E. Data Mining: Practical Machine Learning Tools and Techniques, Second Edition (Morgan Kaufmann Series in Data Management Systems); Morgan Kaufmann Publishers Inc.: San Francisco, CA, USA, 2005. [Google Scholar]
- Bishop, C.M. Pattern Recognition and Machine Learning (Information Science and Statistics); Springer: Secaucus, NJ, USA, 2006. [Google Scholar]
- Friedman, J.; Hastie, T.; Tibshirani, R. The Elements of Statistical Learning: Data Mining, Inference, and Prediction, 2nd ed.; Springer: New York, NY, USA, 2009; p. 764. [Google Scholar] [CrossRef]
- Xu, Q.S.; Liang, Y.Z. Monte Carlo cross validation. Chemom. Intell. Lab. Syst. 2001, 56, 1–11. [Google Scholar] [CrossRef]
- Shao, J. Linear model selection by cross-validation. J. Stat. Plan. Inference 2005, 128, 231–240. [Google Scholar] [CrossRef]
- Hosmer, D.W.; Lemeshow, S. Assessing the Fit of the Model. In Applied Logistic Regression; John Wiley & Sons: Hoboken, NJ, USA, 2004; pp. 143–202. [Google Scholar] [CrossRef]
- Rückstieß, T.; Osendorfer, C.; van der Smagt, P. Sequential Feature Selection for Classification. In Proceedings of the 24th International Conference on Advances in Artificial Intelligence, Perth, Australia, 5–8 December 2011; pp. 132–141. [Google Scholar] [CrossRef]
- Boger, Z.; Guterman, H. Knowledge Extraction from Artificial Neural Networks Models Intelligent Process Control Systems Hugo Guterman. In Proceedings of the 1997 IEEE International Conference on Systems, Man, and Cybernetics. Computational Cybernetics and Simulation, Orlando, FL, USA, 12–15 October 1997; pp. 3030–3035. [Google Scholar] [CrossRef]
- Karsoliya, S. Approximating Number of Hidden layer neurons in Multiple Hidden Layer BPNN Architecture. Int. J. Eng. Trends Technol. 2012, 3, 714–717. [Google Scholar]
- Panchal, F.S.; Panchal, M. Review on Methods of Selecting Number of Hidden Nodes in Artificial Neural Network. Int. J. Comput. Sci. Mob. Comput. 2014, 3, 455–464. [Google Scholar]
- Vashist, S.; Schneider, E.; Luong, J. Commercial Smartphone-Based Devices and Smart Applications for Personalized Healthcare Monitoring and Management. Diagnostics 2014, 4, 104–128. [Google Scholar] [CrossRef]
- Vashist, S.K.; Luong, J.H. An Overview of Point-of-Care Technologies Enabling Next-Generation Healthcare Monitoring and Management. In Point-of-Care Technologies Enabling Next-Generation Healthcare Monitoring and Management; Springer International Publishing: Berlin/Heidelberg, Germany, 2019; pp. 1–25. [Google Scholar] [CrossRef]
- Vashist, S.K.; Luppa, P.B.; Yeo, L.Y.; Ozcan, A.; Luong, J.H. Emerging Technologies for Next-Generation Point-of-Care Testing. Trends Biotechnol. 2015, 33, 692–705. [Google Scholar] [CrossRef]







| Risk Factors | ATP III(2001) | IDF(2006) and HMS(2009) |
|---|---|---|
| Central Obesity WC Waist Circumference | Male: WC ≥ 102 cm Female: WC ≥ 88 cm | Country/ethnic,specific values for WC South American population Male: WC ≥ 90 cm Female: WC ≥ 80 cm |
| TG Triglycerides | >150 mg/dL | >150 mg/dL or treatment |
| FG Fasting Glucose | >100 mg/dL without diabetes | >100 mg/dL or treatment |
| HDL-C High-density lipoprotein cholesterol | Male:<40 mg/dL Female:<50 mg/dL or treatment | Male:<40 mg/dL Female:<50 mg/dL or treatment |
| BP, SBP, DBP Blood Pressure Systole and Diastole Blood Pressure | SBP ≥ 130 mmHg and DBP ≥ 85 mmHg or treatment | SBP ≥ 130 mmHg or DBP ≥ 85 mmHg or treatment |
| Criteria for the Selection of Articles |
|---|
| Can be obtained the variables through first-level medical attention? Y/N |
| What diagnostic criteria do authors use? e.g., ATP II, IDF, HMS or other criteria recognized. |
| What datamining technique do authors use? e.g., logistic regression, decision tree, artificial neural networks, and others |
| What validation method do authors use? e.g., hold out, random subsampling and others. |
| What performance indicators do authors use? e.g., Area under the ROC curve, sensitivity, specificity, positive and negative predicative values and accuracy |
| Authors | Kroon et al. [36] | Romero et al. [37] | Chen et al. [38] | Kupusinac et al. [22] |
|---|---|---|---|---|
| Age | E | E | ||
| Sex | I | E | E | E |
| Weight | I | E | I | I |
| Height | I | E | I | I |
| WHR: Waist to Hip ratio | E | |||
| WSR: Waist to Stature ratio | E | |||
| BMI: Body mass index | E | E | E | E |
| HC: Hip circumference | E | |||
| WC: Waist circumference | I | E | E | I |
| WCD: WC Dichotomous | E | |||
| BPD: Blood Pressure Dichotomous | E | |||
| SBP: Systolic blood pressure | I | E | E | |
| DBP: Diastolic blood pressure | I | E | E | |
| Technique | DT | ANN | PCLR, ANN | ANN |
| AUC | Discrimination Ability |
|---|---|
| AUC=0.5 | No discrimination |
| 0.5 < AUC < 0.7 | Regular |
| 0.7 ≤ AUC < 0.8 | Acceptable |
| 0.8 ≤ AUC < 0.9 | Excellent |
| AUC ≥ 0.9 | Outstanding |
| Criteria | HMS | IDF | ||
|---|---|---|---|---|
| Gender | No MetS | MetS | No MetS | MetS |
| Men | 154 | 113 | 147 | 120 |
| Women | 209 | 139 | 206 | 142 |
| Total | 363 | 252 | 353 | 262 |
| Variables | MetS | No MetS | Total |
|---|---|---|---|
| AGE m(SD) | 47.62(17.49) | 38.89(15.96) | 42.61(17.17) |
| WC m(SD) | 99.81(11.33) | 87.24(11.91) | 92.59(13.21) |
| HC: m(SD) | 105.51(10.56) | 93.73(12.50) | 98.75(13.07) |
| BMI: m(SD) | 29.09(5.31) | 25.26(4.74) | 26.89(5.33) |
| WHR: m(SD) | 0.94(0.05) | 0.93(0.09) | 0.94(0.08) |
| WSR: m(SD) | 0.61(0.67) | 53.79(7.43) | 0.56(0.79) |
| SBP: m(SD) | 128,52(18,46) | 112,91(12,61) | 119.55(17.19) |
| DBP: m(SD) | 78.48(11.13) | 71.18(9.21) | 74.29(10.69) |
| SEX (Women/Men) | (142/120) | (206/147) | (348/267) |
| Parameter | Value |
|---|---|
| Training Function | Levenberg-Marquardt backpropagation |
| min_grad | 10 |
| mu | 10 |
| mu_dec | 0.1 |
| mu_inc | 10 |
| mu_max | 10 |
| HL function | hyperbolic tangent sigmoid |
| Out function | linear |
| BMI | WC | HC | WSR | WHR | |
|---|---|---|---|---|---|
| BMI | 1.00 | 0.78 | 0.79 | 0.79 | 0.06 |
| WC | 0.78 | 1 | 0.86 | 0.92 | 0.32 |
| HC | 0.79 | 0.86 | 1 | 0.84 | −0.20 |
| WSR | 0.79 | 0.92 | 0.84 | 1 | 0.21 |
| WHR | 0.06 | 0.32 | −0.20 | 0.21 | 1 |
| HC | BPD | WCD | |
|---|---|---|---|
| HC | 1.0000 | 0.3015 | 0.6459 |
| BPD | 0.3015 | 1.0000 | 0.2275 |
| WCD | 0.6459 | 0.2275 | 1.0000 |
| DT [36] | ANN25 [37] | PCLR [38] | ANN5 [38] | |
|---|---|---|---|---|
| SS | 80.27% | 75.25% | 59.02% | 76.71% |
| SP | 74.17% | 58.62% | 0% | 71.67% |
| PPV | 82.92% | 66.97% | 100% | 84.82% |
| NPV | 70.63% | 68% | 0% | 59.72% |
| ACC | 77.89% | 67.39% | 59.02% | 75% |
| AUC | 76.78% | 76.06% | 49.86% | 80.95% |
| ANN96 [22] | ANN85 [22] | ANN25 [37] | ANN5 [38] | ANN3 | |
|---|---|---|---|---|---|
| SS | 74.15% | 73.81% | 72.64% | 76.47% | 76.39% |
| SP | 66.03% | 65.89% | 63.78% | 70.22% | 82.52% |
| PPV | 77.58% | 77.65% | 76.21% | 80.41% | 90.24% |
| NPV | 60.8% | 60.18% | 58.47% | 64.31% | 59.46% |
| ACC | 70.61% | 70.34% | 68.79% | 73.7% | 77.46% |
| AUC | 76.04% | 75.8% | 77.13% | 81.75% | 87.75% |
| DT [36] | ANN25 [37] | PCLR [38] | ANN5 [38] | |
|---|---|---|---|---|
| SP | 74.17% | 59.46% | 0% | 68.52% |
| PPV | 82.44% | 71.96% | 100% | 84.40% |
| NPV | 67.94% | 57.14% | 0% | 49.33% |
| ACC | 76.26% | 65.76% | 57.40% | 70.11% |
| AUC | 75.19% | 75.48% | 50.19% | 78.97% |
| ANN96 [22] | ANN85 [22] | ANN25 [37] | ANN5 [38] | ANN3 | |
|---|---|---|---|---|---|
| SS | 71.62% | 72.22% | 69.44% | 75.37% | 75.08% |
| SP | 66.95% | 66.25% | 63.73% | 72.54% | 80.15% |
| PPV | 77.4% | 76.05% | 75.74% | 81.38% | 87.17% |
| NPV | 58.67% | 60.80% | 55.34% | 64.21% | 59.94% |
| ACC | 69.33% | 69.42% | 68.88% | 73.91% | 75.35% |
| AUC | 74.94% | 74.79% | 74.8% | 81.74% | 85.13% |
© 2019 by the authors. Licensee MDPI, Basel, Switzerland. This article is an open access article distributed under the terms and conditions of the Creative Commons Attribution (CC BY) license (http://creativecommons.org/licenses/by/4.0/).
Share and Cite
Barrios, M.; Jimeno, M.; Villalba, P.; Navarro, E. Novel Data Mining Methodology for Healthcare Applied to a New Model to Diagnose Metabolic Syndrome without a Blood Test. Diagnostics 2019, 9, 192. https://doi.org/10.3390/diagnostics9040192
Barrios M, Jimeno M, Villalba P, Navarro E. Novel Data Mining Methodology for Healthcare Applied to a New Model to Diagnose Metabolic Syndrome without a Blood Test. Diagnostics. 2019; 9(4):192. https://doi.org/10.3390/diagnostics9040192
Chicago/Turabian StyleBarrios, Mauricio, Miguel Jimeno, Pedro Villalba, and Edgar Navarro. 2019. "Novel Data Mining Methodology for Healthcare Applied to a New Model to Diagnose Metabolic Syndrome without a Blood Test" Diagnostics 9, no. 4: 192. https://doi.org/10.3390/diagnostics9040192
APA StyleBarrios, M., Jimeno, M., Villalba, P., & Navarro, E. (2019). Novel Data Mining Methodology for Healthcare Applied to a New Model to Diagnose Metabolic Syndrome without a Blood Test. Diagnostics, 9(4), 192. https://doi.org/10.3390/diagnostics9040192

