A Clinical Prediction Model for Bacterial Coinfection in Children with Respiratory Syncytial Virus Infection: A Development and Validation Study
Abstract
1. Introduction
2. Materials and Methods
2.1. Study Design and Ethical Statement
2.2. Study Population
2.3. Data Collection and Definitions
2.4. Targeted Next-Generation Sequencing (tNGS) and Pathogen Identification
2.5. Outcome Definition and Adjudication
2.6. Statistical Analysis
3. Results
3.1. Patient Enrollment and Baseline Characteristics
3.2. Univariate Analysis of Risk Factors for Bacterial Coinfection
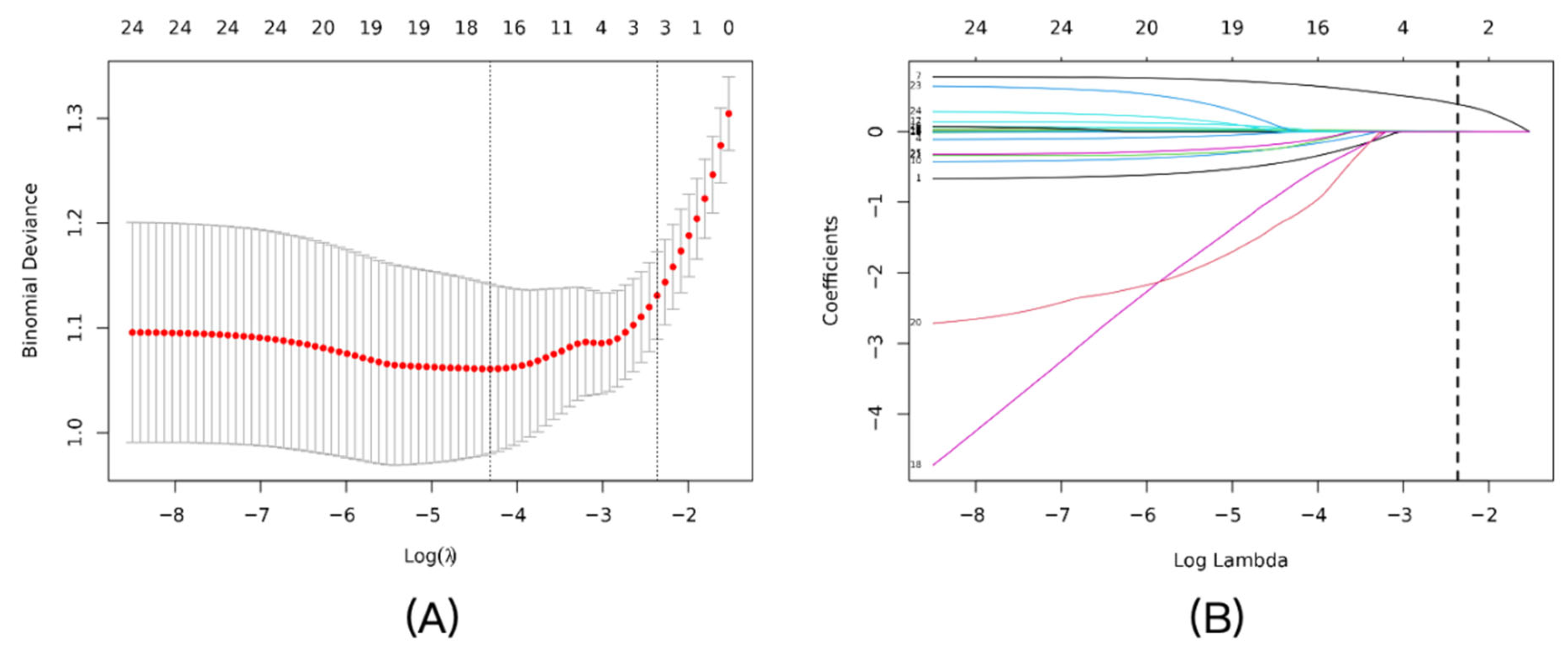
3.3. Development of the Predictive Model via LASSO Regression
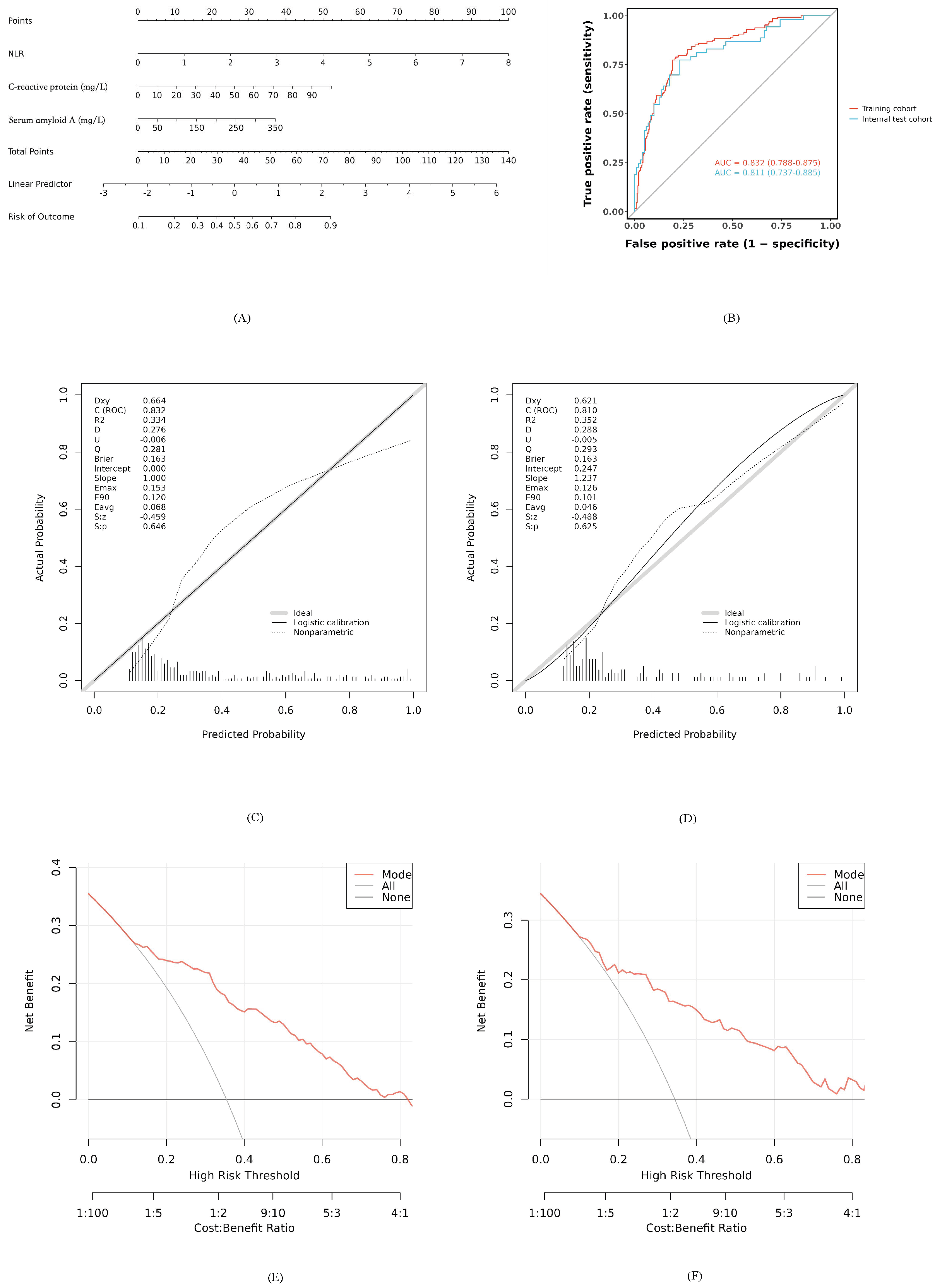
3.4. Nomogram for Clinical Application
3.5. Performance and Validation of the Predictive Model
3.6. Pathogen Distribution of Bacterial Coinfections
4. Discussion
5. Conclusions
Author Contributions
Funding
Institutional Review Board Statement
Informed Consent Statement
Data Availability Statement
Acknowledgments
Conflicts of Interest
References
- Li, Y.; Wang, X.; Blau, D.M.; Caballero, M.T.; Feikin, D.R.; Gill, C.J.; Madhi, S.A.; Omer, S.B.; Simões, E.A.F.; Campbell, H.; et al. Global, Regional, and National Disease Burden Estimates of Acute Lower Respiratory Infections Due to Respiratory Syncytial Virus in Children Younger than 5 Years in 2019: A Systematic Analysis. Lancet 2022, 399, 2047–2064. [Google Scholar] [CrossRef] [PubMed]
- Shi, T.; McAllister, D.A.; O’Brien, K.L.; Simoes, E.A.F.; Madhi, S.A.; Gessner, B.D.; Polack, F.P.; Balsells, E.; Acacio, S.; Aguayo, C.; et al. Global, Regional, and National Disease Burden Estimates of Acute Lower Respiratory Infections Due to Respiratory Syncytial Virus in Young Children in 2015: A Systematic Review and Modelling Study. Lancet 2017, 390, 946–958. [Google Scholar] [CrossRef] [PubMed]
- Fleming-Dutra, K.E.; Hersh, A.L.; Shapiro, D.J.; Bartoces, M.; Enns, E.A.; File, T.M.; Finkelstein, J.A.; Gerber, J.S.; Hyun, D.Y.; Linder, J.A.; et al. Prevalence of Inappropriate Antibiotic Prescriptions Among US Ambulatory Care Visits, 2010–2011. JAMA 2016, 315, 1864–1873. [Google Scholar] [CrossRef] [PubMed]
- Liang, A.; Wu, X.; Zhu, Y.; Pan, L.; Wang, A.; Wu, C.; Xia, J. Targeted Next-Generation Sequencing (tNGS): An Upcoming Application for Pathogen Identification in Clinical Diagnosis. J. Infect. Public Health 2025, 18, 102936. [Google Scholar] [CrossRef]
- Qu, X.; Ye, X.; Yu, J.; Zheng, F.; Tang, Y.; Yuan, F.; Xie, Q. Epidemiological and Clinical Characteristics of Bacterial Co-Detection in Respiratory Syncytial Virus-Positive Children in Wenzhou, China, 2021 to 2023. BMC Infect. Dis. 2025, 25, 697. [Google Scholar] [CrossRef]
- Fu, S.; Zhang, M.-M.; Zhang, L.; Wu, L.-F.; Hu, Q.-L. The Value of Combined Serum Amyloid A Protein and Neutrophil-to-Lymphocyte Ratio Testing in the Diagnosis and Treatment of Influenza A in Children. Int. J. Gen. Med. 2021, 14, 3729–3735. [Google Scholar] [CrossRef]
- Wang, Y.; Wang, T.; Wen, X.; Feng, C. Establishing a Predictive Model for Liver Fluke Infection on the Basis of Early Changes in Laboratory Indicators: A Retrospective Study. Parasit. Vectors 2025, 18, 186. [Google Scholar] [CrossRef]
- Collins, G.S.; Reitsma, J.B.; Altman, D.G.; Moons, K.G. Transparent Reporting of a Multivariable Prediction Model for Individual Prognosis or Diagnosis (TRIPOD): The TRIPOD Statement. BMJ 2015, 350, g7594. [Google Scholar] [CrossRef]
- Xie, X.; Wang, W.; Liu, Z.; Sun, T.; Song, Y.; Wang, N.; Wang, Z.; Wang, Y. Clinical Characteristics Analysis and Prediction Model Construction for Pediatric Influenza Virus Pneumonia Complicated by Bacterial Infection. Transl. Pediatr. 2025, 14, 2078–2091. [Google Scholar] [CrossRef]
- Lian, D.; Lin, C.; Zhang, Z.; Wei, J.; Wang, D.; Tang, Q. Clinical Diagnostic Value of Throat Swabs in Pediatric Acute Lower Respiratory Tract Infections Using Targeted Next-Generation Sequencing. BMC Pediatr. 2025, 25, 224. [Google Scholar] [CrossRef]
- Gao, S.; Zhang, H. Development and Validation of a Depression Risk Prediction Model for Rural Elderly Living Alone. BMC Psychiatry 2025, 25, 357. [Google Scholar] [CrossRef]
- Sun, D.; Huang, T.; Li, J.; Liu, M.; Zhang, X.; Cui, M. Development and Validation of a Predictive Model for Anticipatory Grief in Family Caregivers of Cancer Patients: Based on LASSO-Logistic Regression Model. Psychooncology 2025, 34, e70236. [Google Scholar] [CrossRef] [PubMed]
- Liu, D.; Liu, H.; Yao, J.; Chen, G.; Wang, W.; Cao, B.; Hu, J.; Wu, W. Development and Validation of a Nomogram Model for Assessing the Severity of Acute Pancreatitis from the Perspective of PICS. Front. Nutr. 2025, 12, 1611501. [Google Scholar] [CrossRef] [PubMed]
- Shen, C.; Liu, M.; Cai, Z.; Wang, M.; Tian, L.; Tang, L.; Cui, F.; Zhao, W. Association between Neutrophil-to-Lymphocyte Ratio and Early Renal Function Decline in Patients with Immunoglobulin a Nephropathy. Ann. Med. 2025, 57, 2559133. [Google Scholar] [CrossRef] [PubMed]
- Liu, S.; Li, Y.; She, F.; Zhao, X.; Yao, Y. Predictive Value of Immune Cell Counts and Neutrophil-to-Lymphocyte Ratio for 28-Day Mortality in Patients with Sepsis Caused by Intra-Abdominal Infection. Burns Trauma 2021, 9, tkaa040. [Google Scholar] [CrossRef]
- Zhou, X.; Fu, S.; Wu, Y.; Guo, Z.; Dian, W.; Sun, H.; Liao, Y. C-Reactive Protein-to-Albumin Ratio as a Biomarker in Patients with Sepsis: A Novel LASSO-COX Based Prognostic Nomogram. Sci. Rep. 2023, 13, 15309. [Google Scholar] [CrossRef]
- Society of Clinical Microbiology of China International Exchange and Promotion Association for Medical and Healthcare. Expert consensus on the application and practice of targeted next-generation sequencing in infectious diseases. Zhonghua Yi Xue Za Zhi 2024, 104, 4375–4383. [Google Scholar] [CrossRef]
- Zhou, L.; Wu, Y.; Wang, J.; Wu, H.; Tan, Y.; Chen, X.; Song, X.; Ren, Y.; Yang, Q. Development of a Predictive Nomogram for Intra-Hospital Mortality in Acute Ischemic Stroke Patients Using LASSO Regression. Clin. Interv. Aging 2024, 19, 1423–1436. [Google Scholar] [CrossRef]
- Mahtab, S.; Blau, D.M.; Madewell, Z.J.; Ogbuanu, I.; Ojulong, J.; Lako, S.; Legesse, H.; Bangura, J.S.; Bassat, Q.; Mandomando, I.; et al. Post-Mortem Investigation of Deaths Due to Pneumonia in Children Aged 1–59 Months in Sub-Saharan Africa and South Asia from 2016 to 2022: An Observational Study. Lancet Child Adolesc. Health 2024, 8, 201–213. [Google Scholar] [CrossRef]
- Gan, Y.; Hu, Y.; Dong, H.; Wu, L.; Niu, Y. Causes of Lower Respiratory Tract Infections and the Use of Diagnostic Biomarkers in Blood Samples from Children in Hohhot, Inner Mongolia, China, Between July 2019 and June 2020. Med. Sci. Monit. 2022, 28, e934889. [Google Scholar] [CrossRef]
- Haeberer, M.; Mengel, M.; Fan, R.; Toquero-Asensio, M.; Martin-Toribio, A.; Liu, Q.; He, Y.; Uppal, S.; Rojo-Rello, S.; Domínguez-Gil, M.; et al. Respiratory Syncytial Virus Risk Profile in Hospitalized Infants and Comparison with Influenza and COVID-19 Controls in Valladolid, Spain, 2010–2022. Infect. Dis. Ther. 2024, 13, 2395–2413. [Google Scholar] [CrossRef]
- Asmare, Z.; Awoke, T.; Genet, C.; Admas, A.; Melese, A.; Mulu, W. Incidence of Catheter-Associated Urinary Tract Infections by Gram-Negative Bacilli and Their ESBL and Carbapenemase Production in Specialized Hospitals of Bahir Dar, Northwest Ethiopia. Antimicrob. Resist. Infect. Control 2024, 13, 10. [Google Scholar] [CrossRef]



| Characteristic | Training Cohort (n = 363) | Test Cohort (n = 155) | p-Value |
|---|---|---|---|
| Demographics | |||
| Sex, n (%) | 0.554 1 | ||
| Female | 153 (42.1) | 61 (39.4) | |
| Male | 210 (57.9) | 94 (60.6) | |
| Age, months, median (IQR) | 12 (7, 24) | 12 (6, 24) | 0.271 2 |
| Weight, kg, median (IQR) | 10.7 (8.0, 13.8) | 9.9 (7.8, 13.3) | 0.325 2 |
| Clinical Outcomes | |||
| Length of stay, days, median (IQR) | 6.0 (5.0, 7.0) | 5.0 (5.0, 7.0) | 0.579 2 |
| Severe disease, n (%) | 54 (14.9) | 23 (14.8) | 0.991 1 |
| ICU admission, n (%) | 5 (1.4) | 6 (3.9) | 0.094 3 |
| Mechanical ventilation, n (%) | 4 (1.1) | 3 (1.9) | 0.432 3 |
| Laboratory Parameters, median (IQR) | |||
| WBC (×109/L) | 8.8 (6.6, 12.3) | 9.1 (6.9, 11.6) | 0.517 2 |
| Platelet count (×109/L) | 332 (260, 425) | 334 (271, 424) | 0.584 2 |
| NLR | 0.79 (0.42, 1.59) | 0.77 (0.48, 1.29) | 0.557 2 |
| PLR | 81 (58, 116) | 77 (56, 113) | 0.373 2 |
| CRP (mg/L) | 4 (2, 12) | 5 (2, 14) | 0.552 2 |
| Procalcitonin (μg/L) | 0.09 (0.06, 0.18) | 0.09 (0.06, 0.17) | 0.477 2 |
| SAA (mg/L) | 28 (17, 63) | 32 (18, 65) | 0.652 2 |
| Ferritin (μg/L) | 148 (99, 246) | 145 (94, 248) | 0.857 2 |
| Lactate dehydrogenase (U/L) | 323 (283, 373) | 324 (276, 383) | 0.917 2 |
| Albumin (g/L) | 44.9 (42.7, 46.4) | 45.2 (42.8, 47.0) | 0.228 2 |
| ALT (U/L) | 19 (15, 28) | 20 (16, 27) | 0.568 2 |
| AST (U/L) | 42 (35, 50) | 42 (35, 50) | 0.713 2 |
| D-dimer (mg/L) | 0.39 (0.28, 0.52) | 0.36 (0.26, 0.48) | 0.330 2 |
| Imaging Findings, n (%) | |||
| Increased lung markings | 112 (30.9) | 51 (32.9) | 0.646 1 |
| Consolidation | 19 (5.2) | 10 (6.5) | 0.581 1 |
| Patchy infiltrates | 77 (21.2) | 29 (18.7) | 0.518 1 |
| Pleural effusion | 0 (0.0) | 1 (0.6) | 0.299 3 |
| RSV Subtype, n (%) | |||
| RSV-A | 106 (29.2) | 44 (28.4) | 0.852 1 |
| RSV-B | 256 (70.5) | 111 (71.6) | 0.803 1 |
| Characteristic | No Bacterial Coinfection (n = 234) | Bacterial Coinfection (n = 129) | p-Value |
|---|---|---|---|
| Demographics | |||
| Sex, n (%) | 0.055 1 | ||
| Female | 90 (38.5) | 63 (48.8) | |
| Male | 144 (61.5) | 66 (51.2) | |
| Age, months, median (IQR) | 12 (5, 24) | 24 (11, 36) | <0.001 2 |
| Weight, kg, median (IQR) | 10.0 (7.6, 13.0) | 12.0 (9.0, 15.5) | <0.001 2 |
| Clinical Outcomes | |||
| Length of stay, days, median (IQR) | 6.0 (5.0, 7.0) | 6.0 (5.0, 7.0) | 0.974 2 |
| Severe disease, n (%) | 35 (15.0) | 19 (14.7) | 0.953 1 |
| ICU admission, n (%) | 5 (2.1) | 0 (0.0) | 0.165 3 |
| Mechanical ventilation, n (%) | 4 (1.7) | 0 (0.0) | 0.302 3 |
| Laboratory Parameters, median (IQR) | |||
| WBC (×109/L) | 8.2 (6.3, 11.2) | 10.2 (7.6, 13.4) | <0.001 2 |
| Platelet count (×109/L) | 333 (263, 413) | 324 (258, 436) | 0.455 2 |
| NLR | 0.54 (0.33, 1.00) | 1.64 (0.95, 2.85) | <0.001 2 |
| PLR | 74 (53, 100) | 103 (74, 151) | <0.001 2 |
| CRP (mg/L) | 3 (2, 7) | 11 (4, 22) | <0.001 2 |
| Procalcitonin (μg/L) | 0.09 (0.06, 0.14) | 0.12 (0.07, 0.27) | <0.001 2 |
| SAA (mg/L) | 20 (15, 42) | 52 (22, 119) | <0.001 2 |
| Ferritin (μg/L) | 144 (95, 246) | 150 (112, 220) | 0.537 2 |
| Lactate dehydrogenase (U/L) | 325 (290, 390) | 307 (272, 350) | 0.002 2 |
| Albumin (g/L) | 45.0 (43.0, 46.8) | 44.2 (42.3, 46.0) | 0.133 2 |
| ALT (U/L) | 20 (16, 30) | 18 (15, 24) | 0.013 2 |
| AST (U/L) | 43 (36, 52) | 39 (31, 46) | <0.001 2 |
| D-dimer (mg/L) | 0.39 (0.27, 0.50) | 0.40 (0.29, 0.54) | 0.234 2 |
| Imaging Findings, n (%) | |||
| Increased lung markings | 78 (33.3) | 34 (26.4) | 0.168 1 |
| Consolidation | 11 (4.7) | 8 (6.2) | 0.539 1 |
| Patchy infiltrates | 48 (20.5) | 29 (22.5) | 0.661 1 |
| Pleural effusion | 0 (0.0) | 0 (0.0) | >0.999 3 |
| RSV Subtype, n (%) | |||
| RSV-A | 75 (32.1) | 31 (24.0) | 0.108 1 |
| RSV-B | 159 (67.9) | 97 (75.2) | 0.147 1 |
| Characteristic | β (Beta) | SE | OR (95% CI) | p-Value |
|---|---|---|---|---|
| NLR | 0.758 | 0.136 | 2.13 (1.64–2.79) | <0.001 |
| C-reactive protein (mg/L) | 0.032 | 0.013 | 1.03 (1.01–1.06) | 0.017 |
| Serum amyloid A (mg/L) | 0.006 | 0.002 | 1.01 (1.00–1.01) | 0.007 |
| Pathogen | Type | Number of Detections (n) | Detection Rate (%) 1 |
|---|---|---|---|
| Haemophilus influenzae | G− | 98 | 18.92 |
| Streptococcus pneumoniae | G+ | 65 | 12.55 |
| Moraxella catarrhalis | G− | 28 | 5.41 |
| Bordetella pertussis | G− | 12 | 2.32 |
| Staphylococcus aureus | G+ | 10 | 1.93 |
| Klebsiella pneumoniae | G− | 9 | 1.74 |
| Pseudomonas aeruginosa | G− | 2 | 0.39 |
| Streptococcus intermedius | G+ | 2 | 0.39 |
| Streptococcus pyogenes | G+ | 1 | 0.19 |
Disclaimer/Publisher’s Note: The statements, opinions and data contained in all publications are solely those of the individual author(s) and contributor(s) and not of MDPI and/or the editor(s). MDPI and/or the editor(s) disclaim responsibility for any injury to people or property resulting from any ideas, methods, instructions or products referred to in the content. |
© 2026 by the authors. Licensee MDPI, Basel, Switzerland. This article is an open access article distributed under the terms and conditions of the Creative Commons Attribution (CC BY) license.
Share and Cite
Lian, D.; Wei, J.; Wang, D.; Xie, M.; Lin, C.; Tang, Q. A Clinical Prediction Model for Bacterial Coinfection in Children with Respiratory Syncytial Virus Infection: A Development and Validation Study. Diagnostics 2026, 16, 403. https://doi.org/10.3390/diagnostics16030403
Lian D, Wei J, Wang D, Xie M, Lin C, Tang Q. A Clinical Prediction Model for Bacterial Coinfection in Children with Respiratory Syncytial Virus Infection: A Development and Validation Study. Diagnostics. 2026; 16(3):403. https://doi.org/10.3390/diagnostics16030403
Chicago/Turabian StyleLian, Di, Jianxing Wei, Dong Wang, Meiling Xie, Chenye Lin, and Qiuyu Tang. 2026. "A Clinical Prediction Model for Bacterial Coinfection in Children with Respiratory Syncytial Virus Infection: A Development and Validation Study" Diagnostics 16, no. 3: 403. https://doi.org/10.3390/diagnostics16030403
APA StyleLian, D., Wei, J., Wang, D., Xie, M., Lin, C., & Tang, Q. (2026). A Clinical Prediction Model for Bacterial Coinfection in Children with Respiratory Syncytial Virus Infection: A Development and Validation Study. Diagnostics, 16(3), 403. https://doi.org/10.3390/diagnostics16030403

