Optimal Puncture Number and Tissue Evaluation Method in Endoscopic Ultrasound-Guided Fine-Needle Biopsy for Patients with Malignant Neoplasm of Pancreas
Abstract
1. Introduction
2. Materials and Methods
2.1. Study Design and Patient Selection
2.2. EUS-FNB Procedure and MOSE Protocol
2.3. Final Diagnosis and Histologic Confirmation
2.4. Outcome Measures
2.5. Statistical Analysis
3. Results
3.1. Patient Characteristics
3.2. Diagnostic Performance According to the Number of Passes
- •
- One pass: 72.1%;
- •
- Two passes: 82.9%;
- •
- Three passes: 90.7%.
3.3. Tissue Adequacy
- •
- One pass: 94.3%;
- •
- Two passes: 99%;
- •
- Three passes: 100%.
3.4. Yield Rate of Malignancy
- •
- One pass: 82.1%;
- •
- Two passes: 89.2%;
- •
- Three passes: 91.4%.
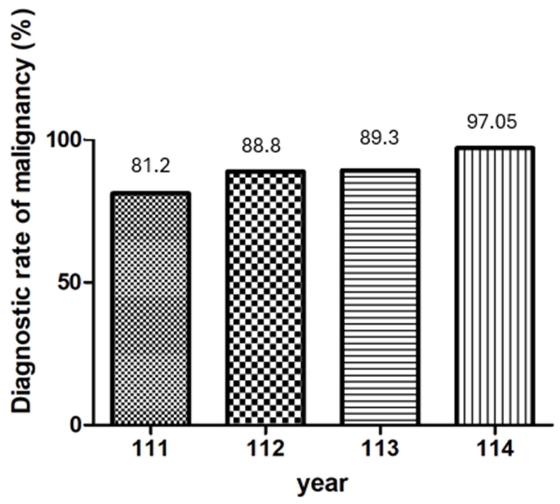
3.5. Annual Trends in the Diagnostic Rate of Malignancy of EUS-FNB According to the Number of Needle Passes
3.6. Univariable and Multivariable Analysis of Misdiagnosis at One Pass
3.7. Safety and Procedural Metrics
4. Discussion
5. Conclusions
Author Contributions
Funding
Institutional Review Board Statement
Informed Consent Statement
Data Availability Statement
Acknowledgments
Conflicts of Interest
Abbreviations
| EUS-FNB | Endoscopic ultrasound-guided fine-needle biopsy |
| SPMs | Solid pancreatic masses |
| ROSE | Rapid on-site cytopathologic evaluation |
| PDAC | Pancreatic ductal adenocarcinoma |
| MOSE | Macroscopic on-site evaluation |
| TIC | Touch imprint cytology |
References
- Dudley, B.; Brand, R.E. Pancreatic Cancer Surveillance and Novel Strategies for Screening. Gastrointest. Endosc. Clin. N. Am. 2022, 32, 13–25. [Google Scholar] [CrossRef]
- Paik, W.H.; Choi, J.H.; Park, Y.; Lee, J.B.; Park, D.H. Optimal techniques for EUS-guided fine-needle aspiration of pancreatic solid masses at facilities without on-site cytopathology: Results from two prospective randomized trials. J. Clin. Med. 2021, 10, 4662. [Google Scholar] [CrossRef] [PubMed]
- James, T.W.; Baron, T.H. A comprehensive review of endoscopic ultrasound core biopsy needles. Expert Rev. Med. Devices 2018, 15, 127–135. [Google Scholar] [CrossRef] [PubMed]
- Di Leo, M.; Crinò, S.F.; Bernardoni, L.; Rahal, D.; Auriemma, F.; Correale, L.; Donato, G.; Massidda, M.; Anderloni, A.; Manfrin, E.; et al. EUS-guided core biopsies of pancreatic solid masses using a new fork-tip needle: A multicenter prospective study. Dig. Liver Dis. 2019, 51, 1275–1280. [Google Scholar] [CrossRef] [PubMed]
- Polkowski, M. With or without ROSE: Does fine-needle biopsy settle the debate on rapid on-site evaluation? Endoscopy 2022, 54, 13–15. [Google Scholar] [CrossRef]
- Sundaram, S.; Chhanchure, U.; Patil, P.; Seth, V.; Mahajan, A.; Bal, M.; Kaushal, R.K.; Ramadwar, M.; Prabhudesai, N.; Bhandare, M.; et al. Rapid on-site evaluation (ROSE) versus macroscopic on-site evaluation (MOSE) for endoscopic ultrasound-guided sampling of solid pancreatic lesions: A paired comparative analysis using newer-generation fine needle biopsy needles. Ann. Gastroenterol. 2023, 36, 340–346. [Google Scholar] [CrossRef]
- Mohan, B.P.; Madhu, D.; Reddy, N.; Chara, B.S.; Khan, S.R.; Garg, G.; Kassab, L.L.; Muthusamy, A.K.; Singh, A.; Chandan, S.; et al. Diagnostic accuracy of EUS guided fine-needle biopsy sampling by macroscopic on-site evaluation: A systematic review and meta-analysis. Gastrointest. Endosc. 2022, 96, 909–917.e11. [Google Scholar] [CrossRef]
- Gkolfakis, P.; Crinò, S.F.; Tziatzios, G.; Ramai, D.; Papaefthymiou, A.; Papanikolaou, I.S.; Triantafyllou, K.; Arvanitakis, M.; Lisotti, A.; Fusaroli, P.; et al. Comparative diagnostic performance of end-cutting fine-needle biopsy needles for EUS tissue sampling of solid pancreatic masses: A network meta-analysis. Gastrointest. Endosc. 2022, 95, 1067–1077.e15. [Google Scholar] [CrossRef]
- Facciorusso, A.; Bajwa, H.S.; Menon, K.; Buccino, V.R.; Muscatiello, N. Comparison between 22G aspiration and 22G biopsy needles for EUS-guided sampling of pancreatic lesions: A meta-analysis. Endosc. Ultrasound 2020, 9, 167–174. [Google Scholar] [CrossRef]
- Chalhoub, J.M.; Hawa, F.; Grantham, T.; Lester, J.; Carpenter, E.S.; Mendoza-Ladd, A.; Wani, S.; Machicado, J.D. Effect of the number of passes on diagnostic performance of EUS fine-needle biopsy of solid pancreatic masses: A systematic review and meta-analysis. Gastrointest. Endosc. 2024, 100, 595–604.e8. [Google Scholar] [CrossRef]
- Wani, S.; Wallace, M.B.; Cohen, J.; Pike, I.M.; Adler, D.G.; Kochman, M.L.; Lieb, J.G.; Park, W.G.; Rizk, M.K.; Sawhney, M.S.; et al. Quality indicators for EUS. Gastrointest. Endosc. 2015, 81, 1. [Google Scholar]
- Facciorusso, A.; Arvanitakis, M.; Crinò, S.F.; Fabbri, C.; Fornelli, A.; Leeds, J.; Archibugi, L.; Carrara, S.; Dhar, J.; Gkolfakis, P.; et al. Endoscopic ultrasound-guided tissue sampling: European Society of Gastrointestinal Endoscopy (ESGE) Technical and Technology Review. Endoscopy 2025, 57, 390–418. [Google Scholar] [CrossRef]
- Ki, E.L.L.; Lemaistre, A.I.; Fumex, F.; Gincul, R.; Lefort, C.; Lepilliez, V.; Pujol, B.; Napoléon, B. Macroscopic onsite evaluation using endoscopic ultrasound fine needle biopsy as an alternative to rapid onsite evaluation. Endosc. Int. Open 2019, 7, E189–E194. [Google Scholar] [CrossRef]
- So, H.; Seo, D.W.; Hwang, J.S.; Ko, S.W.; Oh, D.; Song, T.J.; Park, D.H.; Lee, S.K.; Kim, M.H. Macroscopic on-site evaluation after EUS-guided fine needle biopsy may replace rapid on-site evaluation. Endosc. Ultrasound 2021, 10, 111–115. [Google Scholar] [CrossRef]
- Crinò, S.F.; Larghi, A.; Bernardoni, L.; Parisi, A.; Frulloni, L.; Gabbrielli, A.; Parcesepe, P.; Scarpa, A.; Manfrin, E. Touch imprint cytology on endoscopic ultrasound fine-needle biopsy provides comparable sample quality and diagnostic yield to standard endoscopic ultrasound fine-needle aspiration specimens in the evaluation of solid pancreatic lesions. Cytopathology 2019, 30, 179–186. [Google Scholar] [CrossRef]
- Nakatsubo, R.; Yamamoto, K.; Itoi, T.; Sofuni, A.; Tsuchiya, T.; Ishii, K.; Tanaka, R.; Tonozuka, R.; Mukai, S.; Nagai, K.; et al. Histopathological evaluation of needle tract seeding caused by EUS-fine-needle biopsy based on resected specimens from patients with solid pancreatic masses: An analysis of 73 consecutive cases. Endosc. Ultrasound 2021, 10, 207–213. [Google Scholar]
- Gao, R.Y.; Wu, B.H.; Shen, X.Y.; Peng, T.L.; Li, D.F.; Wei, C.; Yu, Z.C.; Luo, M.H.; Xiong, F.; Wang, L.S.; et al. Overlooked risk for needle tract seeding following endoscopic ultrasound-guided minimally invasive tissue acquisition. World J. Gastroenterol. 2020, 26, 6182–6194. [Google Scholar] [CrossRef]
- Minaga, K.; Takenaka, M.; Katanuma, A.; Kitano, M.; Yamashita, Y.; Kamata, K.; Yamao, K.; Watanabe, T.; Maguchi, H.; Kudo, M. Needle tract seeding: An overlooked rare complication of endoscopic ultrasound-guided fine needle aspiration. Oncology 2017, 93, 107–112. [Google Scholar] [CrossRef] [PubMed]
- Kuo, Y.T.; Chu, Y.L.; Wong, W.F.; Han, M.L.; Chen, C.C.; Jan, I.S.; Cheng, W.C.; Shun, C.T.; Tsai, M.C.; Cheng, T.Y.; et al. Randomized trial of contrast-enhanced harmonic guidance versus fanning technique for EUS-guided fine-needle biopsy sampling of solid pancreatic lesions. Gastrointest. Endosc. 2023, 97, 732–740. [Google Scholar] [CrossRef] [PubMed]
- Mangiavillano, B.; Facciorusso, A.; Di Matteo, F.M.; Barbera, C.; Larghi, A.; Rizzatti, G.; Carrara, S.; Lisotti, A.; Fusaroli, P.; De Luca, L.; et al. Establishing the optimal number of passes during EUS-FNB for diagnosis of pancreatic solid lesions: Prospective multicenter study. Endosc. Int. Open 2024, 12, E467–E473. [Google Scholar] [CrossRef] [PubMed]
- Crinò, S.F.; Di Mitri, R.; Nguyen, N.Q.; Tarantino, I.; de Nucci, G.; Deprez, P.H.; Carrara, S.; Kitano, M.; Shami, V.M.; Fernández-Esparrach, G.; et al. Endoscopic Ultrasound–guided Fine-needle Biopsy With or Without Rapid On-site Evaluation for Diagnosis of Solid Pancreatic Lesions: A Randomized Controlled Non-Inferiority Trial. Gastroenterology 2021, 161, 899–909.e5. [Google Scholar] [CrossRef] [PubMed]
- Bang, J.Y.; Magee, S.H.; Ramesh, J.; Trevino, J.M.; Varadarajulu, S. Randomized trial comparing fanning with standard technique for endoscopic ultrasound-guided fine-needle aspiration of solid pancreatic mass lesions. Endoscopy 2013, 45, 445–450. [Google Scholar] [CrossRef]
- Chong, C.C.; Lakhtakia, S.; Nguyen, N.; Hara, K.; Chan, W.K.; Puri, R.; Almadi, M.A.; Ang, T.L.; Kwek, A.; Yasuda, I.; et al. Endoscopic ultrasound guided tissue acquisition with or without macroscopic on-site evaluation: Randomized controlled trial. Endoscopy 2020, 52, 856–863. [Google Scholar] [CrossRef]
- Crinò, S.F.; Di Mitri, R.; Nguyen, N.Q.; Tarantino, I.; de Nucci, G.; Deprez, P.H.; Carrara, S.; Kitano, M.; Shami, V.M.; Fernández-Esparrach, G.; et al. Endoscopic ultrasound-guided fine-needle biopsy with or without macroscopic on-site evaluation: A randomized controlled noninferiority trial. Endoscopy 2023, 55, 129–137. [Google Scholar]
- Giri, S.; Afzalpurkar, S.; Angadi1, S.; Marikanty, A.; Sundaram, S. Comparison of suction techniques for EUS-guided tissue acquisition: Systematic review and network meta-analysis of randomized controlled trials. Endosc. Int. Open 2023, 11, E703–E711. [Google Scholar] [CrossRef] [PubMed]
- Fusaroli, P.; Napoleon, B.; Gincul, R.; Lefort, C.; Palazzo, L.; Palazzo, M.; Kitano, M.; Minaga, K.; Caletti, G.; Lisotti, A. The clinical impact of ultrasound contrast agents in EUS: A systematic review according to the levels of evidence. Gastrointest. Endosc. 2016, 84, 587–596. [Google Scholar] [CrossRef]
- Facciorusso, A.; Mohan, B.P.; Crinò, S.F.; Ofosu, A.; Ramai, D.; Lisotti, A.; Chandan, S.; Fusaroli, P. Contrast-enhanced harmonic endoscopic ultrasound-guided fine-needle aspiration versus standard fine-needle aspiration in pancreatic masses: A meta-analysis. Expert Rev. Gastroenterol. Hepatol. 2021, 15, 821–828. [Google Scholar] [CrossRef]
- Esposto, G.; Massimiani, G.; Galasso, L.; Santini, P.; Borriello, R.; Mignini, I.; Ainora, M.E.; Nicoletti, A.; Zileri Dal Verme, L.; Gasbarrini, A.; et al. Endoscopic contrast-enhanced ultrasound and fine-needle aspiration or biopsy for the diagnosis of pancreatic solid lesions: A systematic review and meta-analysis. Cancers 2024, 16, 1658. [Google Scholar] [CrossRef]
- Facciorusso, A.; Wani, S.; Triantafyllou, K.; Tziatzios, G.; Cannizzaro, R.; Muscatiello, N.; Singh, S. Comparative accuracy of needle sizes and designs for EUS tissue sampling of solid pancreatic masses: A network meta-analysis. Gastrointest. Endosc. 2019, 90, 893–903.e7. [Google Scholar] [CrossRef]
- Lin, M.Y.; Su, Y.Y.; Yu, Y.T.; Huang, C.J.; Sheu, B.S.; Chang, W.L. Investigation into the content of red material in EUS-guided pancreatic cancer biopsies. Gastrointest. Endosc. 2023, 97, 1083–1091.e1. [Google Scholar] [CrossRef] [PubMed]
- Kaneko, J.; Ishiwatari, H.; Sasaki, K.; Yasuda, I.; Takahashi, K.; Imura, J.; Iwashita, T.; Uemura, S.; Hatano, Y.; Miyazaki, T.; et al. Macroscopic visible core length can predict the histological sample quantity in endoscopic ultrasound-guided tissue acquisition: Multicenter prospective study. Dig. Endosc. 2022, 34, 622–631. [Google Scholar] [CrossRef] [PubMed]
- Stigliano, S.; Balassone, V.; Biasutto, D.; Covotta, F.; Signoretti, M.; Di Matteo, F.M. Accuracy of visual on-site evaluation (Vose) In predicting the adequacy of EUS-guided fine needle biopsy: A single center prospective study. Pancreatology 2021, 21, 312–317. [Google Scholar] [CrossRef] [PubMed]







| Characteristics | PDAC | Carcinoma | Neuroendocrine Tumor | Others |
|---|---|---|---|---|
| Patient number (%) | 114 (81.4) | 3 (2.1) | 14 (10) | 9 (6.4) |
| Patient age (yrs) | 69.0 ± 10.1 | 66.7 ± 14 | 55.4 ± 11.7 | 64.7 ± 14.6 |
| Gender (male) | 54 | 2 | 8 | 5 |
| Smoking, no. (%) | 22 (19.3) | 1 (33.3) | 2 (14.3) | 0 (0) |
| Alcohol, no. (%) | 17 (14.9) | 1 (33.3) | 0 (0) | 0 (0) |
| Diabetes mellitus, no. (%) | 54 (48.9) | 2 (66.7) | 2 (14.3) | 4 (44.4) |
| Family history, no. (%) | 3 (2.6) | 0 (0) | 0 (0) | 1 (11.1) |
| HBV, no. (%) | 40 (35.1) | 1 (33.3) | 6 (42.9) | 0 (0) |
| HCV, no. (%) | 5 (4.4) | 0 (0) | 0 (0) | 0 (0) |
| Tumor location | ||||
| Head | 57 | 0 | 5 | 6 |
| Neck | 5 | 0 | 0 | 2 |
| Uncinate process | 11 | 0 | 3 | 1 |
| Body | 22 | 1 | 5 | 0 |
| Tail | 19 | 2 | 1 | 0 |
| Disease stage | ||||
| Stage I | 17 | 0 | 3 | 2 |
| Stage II | 12 | 1 | 4 | 0 |
| Stage III | 18 | 0 | 0 | 1 |
| Stage IV | 67 | 2 | 7 | 6 |
| Tumor size | ||||
| ≥20 mm | 107 | 3 | 10 | 7 |
| <20 mm | 7 | 0 | 4 | 2 |
| Univariable Analysis | Multivariate Analysis | |||
|---|---|---|---|---|
| p-Value | p-Value | |||
| Location | Ph | 68 | 0.65 | 0.34 |
| Pbt | 72 | |||
| Size | ≥20 mm | 127 | 0.35 | 0.77 |
| <20 mm | 13 | |||
| Needle | 19G | 10 | 0.12 | 0.32 |
| 22G | 130 |
Disclaimer/Publisher’s Note: The statements, opinions and data contained in all publications are solely those of the individual author(s) and contributor(s) and not of MDPI and/or the editor(s). MDPI and/or the editor(s) disclaim responsibility for any injury to people or property resulting from any ideas, methods, instructions or products referred to in the content. |
© 2026 by the authors. Licensee MDPI, Basel, Switzerland. This article is an open access article distributed under the terms and conditions of the Creative Commons Attribution (CC BY) license.
Share and Cite
Chuang, T.-J.; Chen, P.-T.; Lin, J.-C.; Chen, H.-W. Optimal Puncture Number and Tissue Evaluation Method in Endoscopic Ultrasound-Guided Fine-Needle Biopsy for Patients with Malignant Neoplasm of Pancreas. Diagnostics 2026, 16, 397. https://doi.org/10.3390/diagnostics16030397
Chuang T-J, Chen P-T, Lin J-C, Chen H-W. Optimal Puncture Number and Tissue Evaluation Method in Endoscopic Ultrasound-Guided Fine-Needle Biopsy for Patients with Malignant Neoplasm of Pancreas. Diagnostics. 2026; 16(3):397. https://doi.org/10.3390/diagnostics16030397
Chicago/Turabian StyleChuang, Te-Jung, Pei-Tzu Chen, Jung-Chun Lin, and Hsuan-Wei Chen. 2026. "Optimal Puncture Number and Tissue Evaluation Method in Endoscopic Ultrasound-Guided Fine-Needle Biopsy for Patients with Malignant Neoplasm of Pancreas" Diagnostics 16, no. 3: 397. https://doi.org/10.3390/diagnostics16030397
APA StyleChuang, T.-J., Chen, P.-T., Lin, J.-C., & Chen, H.-W. (2026). Optimal Puncture Number and Tissue Evaluation Method in Endoscopic Ultrasound-Guided Fine-Needle Biopsy for Patients with Malignant Neoplasm of Pancreas. Diagnostics, 16(3), 397. https://doi.org/10.3390/diagnostics16030397

