Understanding the Drivers of Hypothyroidism in Patients Undergoing Chronic Hemodialysis
Abstract
1. Introduction
2. Materials and Methods
- (a)
- To evaluate the prevalence of hypothyroidism in patients undergoing HD in a geographic area with a high incidence of thyroid disorders due to autoimmune thyroiditis and endemic goiter;
- (b)
- To identify predictors of hypothyroidism in this population;
- (c)
- To assess the impact of hypothyroidism on morbidity and mortality.
2.1. Study Design
2.2. Inclusion Criteria
- (a)
- Age > 18 years;
- (b)
- On thrice-weekly maintenance HD for at least 1 year;
- (c)
- data supporting the diagnosis of hypothyroidism.
2.3. Exclusion Criteria
- (a)
- Missing key identifiers;
- (b)
- Follow-up under 3 months due to kidney transplant or transfer to peritoneal dialysis.
2.4. Definitions
2.5. Data Sources and Collection
- (a)
- Demographic and biometric data: age, sex, body mass index (BMI).
- (b)
- Dialysis data: dialysis vintage (years), dialysis adequacy (Kt/V), vascular access (arteriovenous fistula/central venous catheter). During the study period, HD was performed using Braun Dialog + (Melsungen, Germany) and Fresenius 4008S (Bad Homburg vor der Höhe, Germany) machines. Water for dialysis was supplied by purification systems ensuring a bacterial count below 0.1 CFU/mL. Polysulfone membrane dialyzers were used, including Elisio (Nipro, Osaka, Japan), FX (Fresenius, Bad Homburg, Germany), and Diacap Pro (Braun, Kronberg, Germany), with surface areas of 1.9–2.1 m2 and ultrafiltration coefficients (Kuf) of 75–82 mL/h/mmHg, sterilized by gamma irradiation, and Helix One dialyzers with surface areas of 1.8–2.2 m2, Kuf 53–68 mL/h/mmHg, sterilized by inline steam at 121 °C for 15 min. The recommended target Kt/V for patients on thrice-weekly HD was set between 1.2 and 1.4.
- (c)
- Underlying kidney disease: chronic glomerulonephritis (CGN), autosomal dominant polycystic kidney diseases (ADPKD), vascular nephropathies (VN), diabetic nephritis (DN).
- (d)
- Laboratory parameters: hemoglobin (Hb), albumin, total cholesterol, LDL-cholesterol, HDL-cholesterol, triglycerides, calcium, phosphate, magnesium, high specific C reactive protein (hs-CRP), intact parathyroid hormone (iPTH), NT-proBNP. Biochemical parameters were measured using the chemiluminescent microparticle immunoassay (CMIA) technique on the Abbott Alinity C (AC06028) analyzer, while hemoglobin levels were assessed using CMIA on the Abbott Alinity hq (HQ00687) analyzer; NT-proBNP (reference range: 10.5–125 pg/mL) was measured using a chemiluminescent microparticle immunoassay (CMIA) on the Abbott Alinity c analyzer (AC03837).
- (e)
- Thyroid function: TSH, fT3, fT4, anti-thyroid peroxidase antibodies (anti-TPO) were assessed using the CMIA technique on Alinity Ac03837 analyser, Abbott Park, IL, USA.
- (f)
- Comorbidities: arterial hypertension, diabetes mellitus, neoplastic diseases, stroke, coronary artery disease (CAD), myocardial infarction (MI), percutaneous coronary intervention (PCI), paroxysmal atrial fibrillation (AF), permanent AF, acute cardiac failure.
- (g)
- Medication use: amiodarone.
3. Results
3.1. Hypothyroidism
3.1.1. Clinical and Laboratory Characteristics of Patients with Hypothyroidism
3.1.2. Comorbidities and Mortality Causes in Hypothyroidism
| Parameter | Entire Cohort 282 M ± SD/% | Hypothyroidism 66 (23.4%) M ± SD/% | Euthyroidism 216 (76.55%) M ± SD/% | p |
|---|---|---|---|---|
| Hypertension | 265 (93.97%) | 60 (90.90%) | 205 (94.9%) | 0.083 |
| Diabetes | 89 (31.56%) | 17 (25.75%) | 72 (33.33%) | 0.220 |
| CAD | 91 (32.26%) | 21 (31.81%) | 70 (32.4%) | 0.874 |
| AHF | 131 (46.45%) | 25 (37.87%) | 106 (49.07%) | 0.150 |
| Stroke | 33 (11.7%) | 7 (10.6%) | 26 (12.03%) | 0.734 |
| Malignances | 43 (15.24%) | 17 (25.75%) | 26 (12.03) | 0.008 |
| ICADR | 33 (11.7%) | 12 (18.18%) | 21 (9.72%) | 0.047 |
| Paroxysmal AF | 97 (34.39%) | 17 (25.75%) | 80 (37.03%) | 0.091 |
| Permanent AF | 65 (23.04%) | 22 (33.33%) | 43 (19.9%) | 0.022 |
| CV death | 78 (27.65%) | 13 (19.69%) | 65 (30.09%) | 0.098 |
| Stroke death | 11 (3.9%) | 2 (3.03%) | 9 (4.1%) | 0.676 |
| Neoplastic death | 11 (3.9%) | 7 (10.6%) | 4 (1.85%) | 0.001 |
3.1.3. Autoimmune Thyroiditis in HD Patients
3.2. Subclinical Hypothyroidism in HD
3.3. Impact of Amiodarone on the Development of Hypothyroidism
4. Discussion
4.1. The Prevalence of Hypothyroidism in HD Patients
4.2. Characteristics of HD Patients with Hypothyroidism and Predictors of Hypothyroidism
4.3. Pathophysiological Links of Hypothyroidism in HD Patients
4.4. The Clinical Impact of Hypothyroidism in HD Patients
5. Conclusions
Author Contributions
Funding
Institutional Review Board Statement
Informed Consent Statement
Data Availability Statement
Acknowledgments
Conflicts of Interest
References
- Rhee, C.M.; Alexander, E.K.; Bhan, I.; Brunelli, S.M. Hypothyroidism and mortality among dialysis patients. Clin. J. Am. Soc. Nephrol. 2013, 8, 593–601. [Google Scholar] [CrossRef] [PubMed] [PubMed Central]
- Rhee, C.M.; Kim, S.; Gillen, D.L.; Oztan, T.; Wang, J.; Mehrotra, R.; Kuttykrishnan, S.; Nguyen, D.V.; Brunelli, S.M.; Kovesdy, C.P.; et al. Association of thyroid functional disease with mortality in a national cohort of incident hemodialysis patients. J. Clin. Endocrinol. Metab. 2015, 100, 1386–1395. [Google Scholar] [CrossRef]
- Ahmad, B.I.; Karmakar, A.S.; Imam Siddiqui, M.S. Prevalence of Hypothyroidism in Patient of Chronic Kidney Disease on Hemodialysis: A Tertiary Care Teaching Hospital Study. J. Datta Meghe Inst. Med. Sci. Univ. 2021, 16, 548–553. [Google Scholar] [CrossRef]
- Eldin, A.M.B.; Shafik, D.E.; Sabry, I.M.; Raafat, M.A.E.R.; Mahmoud, H.M.A. Evaluation of Thyroid Functions in Patients with End Stage Renal Disease in a Sample of Egyptian Populations. Egypt. J. Hosp. Med. 2023, 90, 1382–1386. [Google Scholar] [CrossRef]
- Adani, A.A.; Siyad, M.O.; Adan, A.M.; Jeele, M.O.O. Prevalence and Determinants of Hypothyroidism in Patients on Routine Hemodialysis in Somalia: A Cross-Sectional Study. Int. J. Gen. Med. 2023, 16, 905–913. [Google Scholar] [CrossRef] [PubMed] [PubMed Central]
- German, S.; Bhatti, S.; Waqar, T.; Lashari, S.; Mehmood, M.; Rizwan, A.; Ali, H.; Taha Yaseen, R. Thyroid Dysfunction in Patients with End-Stage Renal Disease: A Single-Centered Experience from Pakistan. Cureus 2025, 17, e76715. [Google Scholar] [CrossRef] [PubMed] [PubMed Central]
- Tototzintle, R.R.; Lara, J.J.H.A.; Jiménez, A.I.R.; Romero, J.L.G.; Farris, M.J.G.; Arteaga, K.M.H. WCN25-3716: Prevalence of hypothyroidism in hemodialysis and a specific cut-off point for its diagnosis. Kidney Int. Rep. 2025, 10, S437–S438. [Google Scholar] [CrossRef]
- Jameel Memon, H.; Das, B.; Naveed, A.N.; Memon, R.; Memon, S.; Kumar, S. Prevalence of Hypothyroidism in Esrd Patients with Maintenance Hemodialysis: Hypothyroidism in Esrd Patients with Maintenance Hemodialysis. Pak. BioMed. J. 2022, 5, 174–177. [Google Scholar] [CrossRef]
- Klein, I.; Ojamaa, K. Thyroid hormone and the cardiovascular system. N. Engl. J. Med. 2001, 344, 501–509. [Google Scholar] [CrossRef] [PubMed]
- Persani, L. Clinical review: Central hypothyroidism: Pathogenic, diagnostic, and therapeutic challenges. J. Clin. Endocrinol. Metab. 2012, 97, 3068–3078. [Google Scholar] [CrossRef] [PubMed]
- Cotoi, L.; Borcan, F.; Sporea, I.; Amzar, D.; Schiller, O.; Schiller, A.; Dehelean, C.A.; Pop, G.N.; Borlea, A.; Stoian, D. Thyroid Pathology in End-Stage Renal Disease Patients on Hemodialysis. Diagnostics 2020, 10, 245. [Google Scholar] [CrossRef] [PubMed] [PubMed Central]
- Gencer, B.; Collet, T.H.; Virgini, V.; Bauer, D.C.; Gussekloo, J.; Cappola, A.R.; Nanchen, D.; den Elzen, W.P.; Balmer, P.; Luben, R.N.; et al. Thyroid Studies Collaboration. Subclinical thyroid dysfunction and the risk of heart failure events: An individual participant data analysis from 6 prospective cohorts. Circulation 2012, 126, 1040–1049. [Google Scholar] [CrossRef] [PubMed] [PubMed Central]
- Rodondi, N.; den Elzen, W.P.; Bauer, D.C.; Cappola, A.R.; Razvi, S.; Walsh, J.P.; Asvold, B.O.; Iervasi, G.; Imaizumi, M.; Collet, T.H.; et al. Thyroid Studies Collaboration Subclinical hypothyroidism the risk of coronary heart disease mortality. JAMA 2010, 304, 1365–1374. [Google Scholar] [CrossRef] [PubMed] [PubMed Central]
- Shantha, G.P.; Kumar, A.A.; Bhise, V.; Khanna, R.; Sivagnanam, K.; Subramanian, K.K. Prevalence of Subclinical Hypothyroidism in Patients with End-Stage Renal Disease and the Role of Serum Albumin: A Cross-Sectional Study from South India. Cardiorenal Med. 2011, 1, 255–260. [Google Scholar] [CrossRef] [PubMed] [PubMed Central]
- Zhao, X.; Liu, F.; Yuan, S.; Wang, F.; Li, C.; Guo, C.; Zhao, J. Thyroid hormone replacement therapy in dialysis/renal insufficiency patients. Front. Endocrinol. 2025, 16, 1540802. [Google Scholar] [CrossRef]
- Rhee, C.M.; You, A.S.; Nguyen, D.V.; Brunelli, S.M.; Budoff, M.J.; Streja, E.; Nakata, T.; Kovesdy, C.P.; Brent, G.A.; Kalantar-Zadeh, K. Thyroid Status and Mortality in a Prospective Hemodialysis Cohort. J. Clin. Endocrinol. Metab. 2017, 102, 1568–1577. [Google Scholar] [CrossRef] [PubMed] [PubMed Central]
- Garber Jeffrey, R.; Cobin, R.H.; Gharib, H.; Hennessey, J.V.; Klein, I.; Mechanick, J.I.; Pessah-Pollack, R.; Singer, P.A.; Woeber, K.A.; American Association of Clinical Endocrinologists and American Thyroid Association Taskforce on Hypothyroidism in Adults. Clinical Practice Guidelines for Hypothyroidism in Adults: Cosponsored by the American Association of Clinical Endocrinologists and the American Thyroid Association. Endocr. Pract. 2012, 18, 988–1028. [Google Scholar] [PubMed]
- Zoccali, C.; Tripepi, G.; Cutrupi, S.; Pizzini, P.; Mallamaci, F. Low triiodothyronine: A new facet of inflammation in end-stage renal disease. J. Am. Soc. Nephrol. 2005, 16, 2789–2795. [Google Scholar] [CrossRef] [PubMed]
- Zoccali, C.; Mallamaci, F.; Tripepi, G.; Cutrupi, S.; Pizzini, P. Pizzini, Low triiodothyronine and survival in end-stage renal disease. Kidney Int. 2006, 70, 523–528. [Google Scholar] [CrossRef]
- Lim, V.S.T. function in patients with chronic renal failure. Am. J. Kidney Dis. 2001, 38, S80–S84. [Google Scholar] [CrossRef]
- Ko, M.; Barai, R.; Brent, G. Phosphate Binder Impairs Levothyroxine Absorption in a Hypothyroid Patient with End-Stage Renal Disease. Cureus 2024, 16, e71551. [Google Scholar] [CrossRef] [PubMed] [PubMed Central]
- Liu, H.; Lu, M.; Hu, J.; Fu, G.; Feng, Q.; Sun, S.; Chen, C. Medications and Food Interfering with the Bioavailability of Levothyroxine: A Systematic Review. Ther. Clin. Risk Manag. 2023, 19, 503–523. [Google Scholar] [CrossRef] [PubMed] [PubMed Central]
- Medić, F.; Bakula, M.; Alfirević, M.; Bakula, M.; Mucić, K.; Marić, N. Amiodarone and Thyroid Dysfunction. Acta Clin. Croat. 2022, 61, 327–341. [Google Scholar] [CrossRef] [PubMed] [PubMed Central]
- Garmendia Madariaga, A.; Santos Palacios, S.; Guillén-Grima, F.; Galofré, J.C. The incidence and prevalence of thyroid dysfunction in Europe: A meta-analysis. J. Clin. Endocrinol. Metab. 2014, 99, 923–931. [Google Scholar] [CrossRef] [PubMed]
- Shayanpour, S.; Hoseinynejad, K.; Halili, S.A.; Amiri, F.; Mirsalari, S.; Seyedtabib, M. Prevalence of hypothyroidism in patients undergoing hemodialysis at a general hospital in Ahvaz. Recenti Prog. Med. 2022, 113, 324–328. [Google Scholar] [CrossRef] [PubMed]
- Pakfetrat, M.; Dabbaghmanesh, M.H.; Karimi, Z.; Rasekhi, A.; Malekmakan, L.; Hossein Nikoo, M. Prevalence of hypothyroidism and thyroid nodule in chronic hemodialysis Iranian patients. Hemodial. Int. 2017, 21, 84–89. [Google Scholar] [CrossRef] [PubMed]
- Cuna, V.; Menghi, V.; Comai, G.; Cappuccilli, M.; Cianciolo, G.; Raimondi, C.; Grammatico, F.; Donati, G.; Baraldi, O.; Capelli, I.; et al. Functional Abnormalities and Thyroid Nodules in Patients with End-stage Renal Disease. In Vivo 2017, 31, 1203–1208. [Google Scholar] [CrossRef]
- Da Costa, A.B.; Pellizzari, C.; Carvalho, G.A.; Sant’Anna, B.C.; Montenegro, R.L.; Zammar Filho, R.G.; Mesa Junior, C.O.; Hauck Prante, P.R.; Olandoski, M.; Carvalho, M. High prevalence of subclinical hypothyroidism and nodular thyroid disease in patients on hemodialysis. Hemodial. Int. 2016, 20, 31–37. [Google Scholar] [CrossRef] [PubMed]
- Al Hussaini, H.A.; Al Sahlawi, M.A.; Alhussain, F.; Alja’afari, L.A.; Aljohar, H.I.; Al-Ramadhan, M.S.; Ibrahim Ali, S.; Al Jalal, B.; Alomair, O.; Almulhim, M. Prevalence of Hypothyroidism Among Dialysis Patients in Eastern Region, Saudi Arabia. Cureus 2023, 15, e33807. [Google Scholar] [CrossRef] [PubMed] [PubMed Central]
- Hollowell, J.G.; Staehling, N.W.; Flanders, W.D.; Hannon, W.H.; Gunter, E.W.; Spencer, C.A.; Braverman, L.E. Serum TSH, T(4), and thyroid antibodies in the United States population (1988 to 1994): National Health and Nutrition Examination Survey (NHANES III). J. Clin. Endocrinol. Metab. 2002, 87, 489–499. [Google Scholar] [CrossRef] [PubMed]
- van der Spoel, E.; Roelfsema, F.; van Heemst, D. Within-Person Variation in Serum Thyrotropin Concentrations: Main Sources, Potential Underlying Biological Mechanisms, and Clinical Implications. Front. Endocrinol. 2021, 12, 619568. [Google Scholar] [CrossRef] [PubMed] [PubMed Central]
- Yamazaki, Y.; Shoji, T.; Miyashima, M.; Nagata, Y.; Kakutani, Y.; Ochi, A.; Morioka, T.; Nakatani, S.; Mori, K.; Tsujimoto, Y.; et al. Low Free Triiodothyronine Level as a Predictor of Cardiovascular Events and All-Cause Mortality in Patients Undergoing Hemodialysis: The DREAM Cohort. J. Atheroscler. Thromb. 2021, 28, 1071–1082. [Google Scholar] [CrossRef] [PubMed] [PubMed Central]
- Xu, H.; Brusselaers, N.; Lindholm, B.; Zoccali, C.; Carrero, J.J. Thyroid Function Test Derangements and Mortality in Dialysis Patients: A Systematic Review and Meta-analysis. Am. J. Kidney Dis. 2016, 68, 923–932. [Google Scholar] [CrossRef] [PubMed]
- Pingitore, A.; Galli, E.; Barison, A.; Iervasi, A.; Scarlattini, M.; Nucci, D.; L’abbate, A.; Mariotti, R.; Iervasi, G. Acute effects of triiodothyronine (T3) replacement therapy in patients with chronic heart failure and low-T3 syndrome: A randomized, placebo-controlled study. J. Clin. Endocrinol. Metab. 2008, 93, 1351–1358. [Google Scholar] [CrossRef] [PubMed]
- Chaker, L.; Bianco, A.C.; Jonklaas, J.; Peeters, R.P. Hypothyroidism. Lancet 2017, 390, 1550–1562. [Google Scholar] [CrossRef] [PubMed] [PubMed Central]
- Aoki, Y.; Belin, R.M.; Clickner, R.; Jeffries, R.; Phillips, L.; Mahaffey, K.R. Serum TSH and total T4 in the United States population and their association with participant characteristics: National Health and Nutrition Examination Survey (NHANES 1999–2002). Thyroid 2007, 17, 1211–1223. [Google Scholar] [CrossRef] [PubMed]
- Kisova, S.Z.; Orbetzova, M.M.; Argirov, K.R. Thyroid dysfunction and metabolic syndrome: Age- and sex-related associations in hospitalized patients. Folia. Med. 2025, 67, e159172. [Google Scholar] [CrossRef] [PubMed]
- Alhajri, A.H.M.; Saleh Al Saad, A.M.S.; Idrees, H.; Hamednalla Mohamed, O.M.; Mohammednoor, M.; Ibrahim Ahmed, I.O.; Dawod Faky, F.S. Prevalence and Risk Factors of Subclinical and Overt Hypothyroidism in Saudi Arabia: A Systematic Review. Cureus 2025, 17, e86336. [Google Scholar] [CrossRef] [PubMed] [PubMed Central]
- Chisavu, L.; Mihaescu, A.; Bob, F.; Motofelea, A.; Schiller, O.; Marc, L.; Dragota-Pascota, R.; Chisavu, F.; Schiller, A. Trends in mortality and comorbidities in hemodialysis patients between 2012 and 2017 in an East-European Country: A retrospective study. Int. Urol. Nephrol. 2023, 55, 2579–2587. [Google Scholar] [CrossRef]
- Ratiu, I.A.; Mihaescu, A.; Olariu, N.; Ratiu, C.A.; Cristian, B.G.; Ratiu, A.; Indries, M.; Fratila, S.; Dejeu, D.; Teusdea, A.; et al. Hepatitis C Virus Infection in Hemodialysis Patients in the Era of Direct-Acting Antiviral Treatment: Observational Study and Narrative Review. Medicina 2024, 60, 2093. [Google Scholar] [CrossRef]
- Ratiu, I.A.; Moisa, C.F.; Țiburcă, L.; Hagi-Islai, E.; Ratiu, A.; Bako, G.C.; Ratiu, C.A.; Stefan, L. Antimicrobial Treatment Challenges in the Management of Infective Spondylodiscitis Associated with Hemodialysis: A Comprehensive Review of Literature and Case Series Analysis. Antibiotics 2024, 13, 284. [Google Scholar] [CrossRef] [PubMed] [PubMed Central]
- Ratiu, I.A.; Filip, L.; Moisa, C.; Ratiu, C.A.; Olariu, N.; Grosu, I.D.; Bako, G.C.; Ratiu, A.; Indries, M.; Fratila, S.; et al. The Impact of COVID-19 on Long-Term Mortality in Maintenance Hemodialysis: 5 Years Retrospective Cohort Study. J. Clin. Med. 2025, 14, 7081. [Google Scholar] [CrossRef] [PubMed] [PubMed Central]
- Meuwese, C.L.; Dekker, F.W.; Lindholm, B.; Qureshi, A.R.; Heimburger, O.; Barany, P.; Stenvinkel, P.; Carrero, J.J. Baseline levels and trimestral variation of triiodothyronine and thyroxine and their association with mortality in maintenance hemodialysis patients. Clin. J. Am. Soc. Nephrol. 2012, 7, 131–138. [Google Scholar] [CrossRef] [PubMed] [PubMed Central]
- Kahaly, G.J.; Liu, Y.; Persani, L. Hypothyroidism: Playing the cardiometabolic risk concerto. Thyroid Res. 2025, 18, 20. [Google Scholar] [CrossRef] [PubMed] [PubMed Central]
- Razvi, S.; Bhana, S.; Mrabeti, S. Challenges in Interpreting Thyroid Stimulating Hormone Results in the Diagnosis of Thyroid Dysfunction. J. Thyroid Res. 2019, 2019, 4106816. [Google Scholar] [CrossRef] [PubMed] [PubMed Central]
- Hashimoto, M.; Nagayama, Y.; Ichikura-Iida, A.; Inoue, T. Roxadustat-Induced Central Hypothyroidism Masked by Uremia at the Initiation of Hemodialysis: A Case Report. Cureus 2024, 16, e76499. [Google Scholar] [CrossRef] [PubMed] [PubMed Central]
- Otsuka, E.; Kitamura, M.; Funakoshi, S.; Mukae, H.; Nishino, T. Roxadustat has risks of reversible central hypothyroidism in patients undergoing hemodialysis: A single-center retrospective cohort study. Ren. Fail. 2024, 46, 2410375. [Google Scholar] [CrossRef] [PubMed] [PubMed Central]
- Antonescu, A.; Vicaș, S.; Teușdea, A.C.; Rațiu, I.A.; Antonescu, I.A.; Micle, O.; Vicaș, L.; Mureșan, M.; Gligor, F. The levels of serum biomarkers of inflammation in hemodialysis patient. Farmacia 2014, 62, 950–960. [Google Scholar]
- Raţiu, I.A.; Raţiu, C.A.; Miclăuş, V.; Boşca, A.B.; Turan Kazancioğlu, R.; Constantin, A.M.; Bako, G.C.; Şovrea, A.S. The pioneer use of a modified PRGF-Endoret® technique for wound healing in a hemodialyzed diabetic patient in a terminal stage of renal disease. Rom. J. Morphol. Embryol. 2021, 62, 465–473. [Google Scholar] [CrossRef]
- Micle, O.; Vicaş, S.; Ratiu, I.; Vicas, L.; Mureşan, M. Cystatin C, a low molecular weight protein in chronic renal failure. Farmacia 2015, 63, 872. [Google Scholar]
- Mahdavi, M.; Amouzegar, A.; Mehran, L.; Madreseh, E.; Tohidi, M.; Azizi, F. Investigating the prevalence of primary thyroid dysfunction in obese and overweight individuals: Tehran thyroid study. BMC Endocr. Disord. 2021, 21, 89. [Google Scholar] [CrossRef] [PubMed] [PubMed Central]
- You, A.S.; Budoff, M.; Zeb, I.; Ahmadi, N.; Novoa, A.; Flores, F.; Hamal, S.; Kinninger, A.; Dailing, C.; Nakata, T.; et al. Elevated serum thyrotropin levels and endothelial dysfunction in a prospective hemodialysis cohort. Hemodial. Int. 2022, 26, 57–65. [Google Scholar] [CrossRef] [PubMed] [PubMed Central]
- Rhee, C.M.; Budoff, M.; Brent, G.; You, A.S.; Stenvinkel, P.; Novoa, A.; Flores, F.; Hamal, S.; Dailing, C.; Kinninger, A.; et al. Serum Thyrotropin Elevation and Coronary Artery Calcification in Hemodialysis Patients. Cardiorenal Med. 2022, 12, 106–116. [Google Scholar] [CrossRef] [PubMed] [PubMed Central]
- Onan, E.; Yasar, M.; Soysal, B.; Paydas, S. The effect of subclinic thyroid pathologies on erythropoietine dose in hemodialysis patients. Ther. Apher. Dial. 2023, 27, 587–592. [Google Scholar] [CrossRef] [PubMed]
- Ratiu, I.A.; Babes, V.V.; Hocopan, O.; Ratiu, C.A.; Croitoru, C.A.; Moisa, C.; Blaj-Tunduc, I.P.; Marian, A.M.; Babeș, E.E. The Burden of Heart Failure in End-Stage Renal Disease: Insights from a Retrospective Cohort of Hemodialysis Patients. J. Clin. Med. 2025, 14, 8556. [Google Scholar] [CrossRef]





| Parameter | Entire Cohort 282 M ± SD/% | Hypothyroidism 66 (23.4%) M ± SD/% | Euthyroidism 216 (76.55%) M ± SD/% | p |
|---|---|---|---|---|
| Age | 64.273 ± 13.823 | 63.712 ± 14.103 | 64.444 ± 14.13 | 0.707 |
| HD vintage | 6.727 ± 5.748 | 6.985 ± 6.487 | 6.648 ± 5.717 | 0.678 |
| Sex F | 131 (46.45%) | 42 (63.63%) | 89 (41.2%) | <0.001 |
| AVF | 196 (69.5%) | 42 (63.63%) | 154 (71.29%) | 0.237 |
| BMI (kg/m2) | 26.292 ± 6.171 | 27.856 ± 6.216 | 25.759 ± 6.080 | 0.017 |
| CGN | 100 (35.46%) | 21 (301.81%) | 79 (36.57%) | 0.450 |
| VN | 62 (21.98%) | 15 (22.72%) | 47 (21.76%) | 0.896 |
| DN | 51 (18.08%) | 11 (16.66%) | 40 (18.51%) | 0.794 |
| PKD | 21 (7.45%) | 7 (10.66%) | 14 (6.48%) | 0.273 |
| PTx | 39 (13.83%) | 12 (18.18%) | 27 (12.5%) | 0.242 |
| TSH (μUI/mL) | 5.257 ± 13.819 | 10.267 ± 21.244 | 2.065 ± 1.209 | <0.001 |
| fT4 (ng/dL) | 0.982 ± 0.349 | 0.965 ± 0.267 | 1.009 ± 0.453 | 0.284 |
| fT3 (pg/mL) | 2.030 ± 0.713 | 1.877 ± 0.604 | 2.289 ± 0.814 | 0.0064 |
| Hb (g/dL) | 10.605 ± 1.451 | 10.439 ± 1.311 | 10.656 ± 1.490 | 0.228 |
| Albumin (g/dL) | 3.681 ± 0.496 | 3.534 ± 0.547 | 3.725 ± 0.471 | 0.006 |
| hs-CRP mg/dL | 29.041 ± 43.138 | 30.111 ± 38.465 | 28.688 ± 44.657 | 0.817 |
| T-Cholesterol (mg/dL) | 158.996 ± 47.265 | 167.5 ± 55.291 | 151.0 ± 43.848 | 0.042 |
| LDL-cholesterol (mg/dL) | 102.341 ± 39.561 | 114.375 ± 42.096 | 95.834 ± 36.697 | 0.002 |
| HDL-cholesterol (mg/dL) | 38.244 ± 16.033 | 36.402 ± 10.074 | 39.593 ± 19.214 | 0.231 |
| Triglycerides (mg/dL) | 143.007 ± 61.053 | 175.258 ± 53.984 | 133.061 ± 59.761 | <0.001 |
| iPTH (pg/mL) | 407.146 ± 435.548 | 412.07 ± 436.054 | 405.425 ± 436.702 | 0.921 |
| Calcium (mg/dL) | 8.836 ± 0.832 | 8.715 ± 0.871 | 8.873 ± 0.819 | 0.182 |
| Phosphate (mg/dL) | 4.849 ± 1.728 | 4.819 ± 1.522 | 4.795 ± 1.794 | 0.873 |
| Kt/V | 1.575 ± 0.308 | 1.512 ± 0.289 | 1.596 ± 0.312 | 0.053 |
| Epo dose | 88.005 ± 210.914 | 78.772 ± 115.44 | 89.667 ± 224.2 | 0.841 |
| Amiodarone use | 20 | 13 (19.69%) | 7 (3.24%) | <0.001 |
| Death | 160 | 38 (57.57%) | 122 (56.48%) | 0.875 |
| Predictors for Hypothyroidism | z | p | Odds Ratio | 95% Confidence Interval |
|---|---|---|---|---|
| gender | 3.242 | 0.001 | 3.848 | 1.704–8.693 |
| BMI (kg/m2) | 2.162 | 0.031 | 1.072 | 1.007–1.146 |
| albumin | −2.051 | 0.040 | 0.412 | 0.177–0.962 |
| LDL-cholesterol | 2.675 | 0.007 | 1.014 | 1.004–1.024 |
| triglycerides | 2.445 | 0.014 | 1.009 | 1.002–1.016 |
| amiodarone usage | 2.770 | 0.006 | 6.698 | 1.744–25.722 |
| Neoplastic-related death | 1.880 | 0.060 | 5.887 | 0.927–37.381 |
| Atrial fibrillation | 0.295 | 0.768 | 1.143 | 0.471–2.776 |
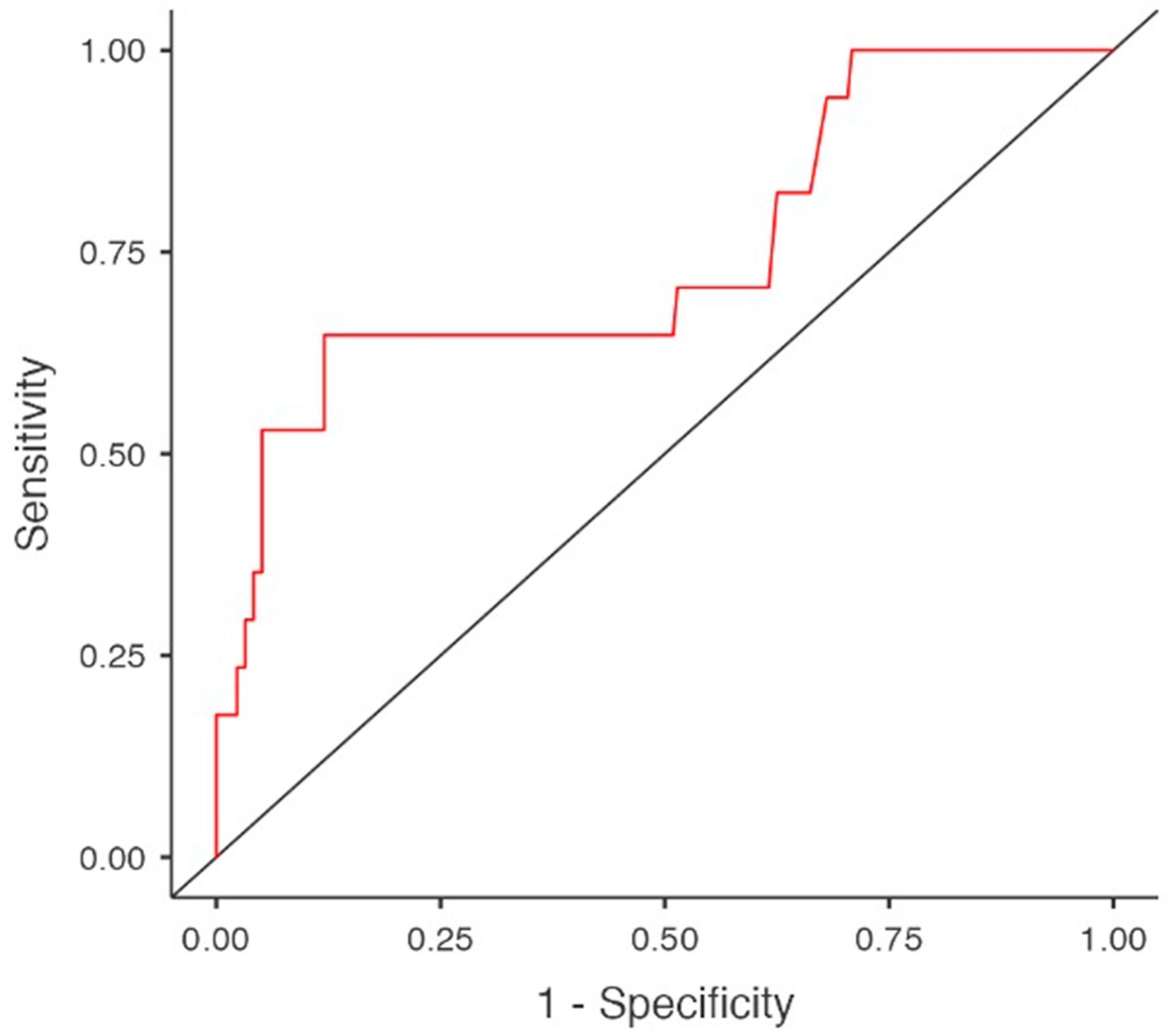
| Model | Deviance | AIC | R2McF | Specificity | Sensitivity | AUC |
| 154.800 | 172.800 | 0.271 | 0.857 | 0.603 | 0.829 |
| Parameter | Hypothyroidism 66 M ± SD/% | Autoimmune Thyroiditis 15 (22.72%) M ± SD/% | Non-Autoimmune Hypothyroidism 51 (77.27%) M ± SD/% | p |
|---|---|---|---|---|
| Age | 63.712 ± 14.103 | 64 ± 13.836 | 63.627 ± 12.826 | 0.923 |
| HD vintage | 6.985 ± 6.487 | 4.533 ± 2.949 | 7.706 ± 7.066 | 0.096 |
| Sex F | 42 (63.63%) | 9 (60%) | 33 (64.7%) | 0.739 |
| AVF | 42 (63.63%) | 10 (66.66%) | 32 (62.74%) | 0.781 |
| BMI (kg/m2) | 27.856 ± 6.216 | 31.067 ± 5.951 | 26.912 ± 6.026 | 0.022 |
| CGN | 21 (31.81%) | 7 (46.66%) | 14 (27.45%) | 1 |
| VN | 15 (22.72%) | 3 (20%) | 12 (23.52%) | 0.774 |
| DN | 11 (16.16%) | 3 (20%) | 8 (15.68%) | 0.694 |
| PKD | 7 (10.6%) | 0 | 7 (13.72%) | 0.129 |
| PTx | 12 (18.18%) | 1 (6.66%) | 11 (21.56%) | 0.188 |
| TSH (μUI/mL) | 10.267 ± 21.244 | 5.503 ± 4.472 | 11.696 ± 23.973 | 0.326 |
| Hb (g/dL) | 10.439 ± 1.311 | 10.207 ± 1.453 | 10.507 ± 1.274 | 0.439 |
| Albumin (g/dL) | 3.534 ± 0.547 | 3.433 ± 0.482 | 3.564 ± 0.566 | 0.417 |
| hs-CRP (mg/dL) | 30.111 ± 38.465 | 28.067 ± 39.834 | 30.712 ± 38.438 | 0.817 |
| T-Chol (mg/dL) | 167.5 ± 55.291 | 164.933 ± 43.051 | 170.735 ± 58.855 | 0.725 |
| LDL-chol (mg/dL) | 114.375 ± 42.096 | 121.133 ± 38.469 | 112.320 ± 43.283 | 0.481 |
| HDL-chol (mg/dL) | 36.402 ± 10.074 | 39.267 ± 10.292 | 35.506 ± 9.944 | 0.210 |
| Triglycerides (mg/dL) | 175.258 ± 53.984 | 163.53 ± 48.494 | 178.70 ± 55.469 | 0.343 |
| iPTH (pg/mL) | 412.07 ± 436.054 | 402.214 ± 207.58 | 415.279 ± 490.044 | 0.923 |
| Calcium (mg/dL) | 8.715 ± 0.871 | 8.939 ± 0.764 | 8.654 ± 0.895 | 0.281 |
| P (mg/dL) | 4.819 ± 1.522 | 4.566 ± 1.210 | 4.892 ± 1.603 | 0.484 |
| Kt/V | 1.512 ± 0.289 | 1.459 ± 0.253 | 1.527 ± 0.299 | 0.424 |
| Hypertension | 60 (90.90%) | 14 (93.33%) | 46 (90.19%) | 0.710 |
| Diabetes | 17 (25.75%) | 5 (33.33%) | 12 (23.52%) | 0.445 |
| CAD | 21 (31.81) | 4 (26.66%) | 17 (33.33%) | 1 |
| Malignancies | 17 (25.75%) | 4 (26.66%) | 13 (25.49%) | 0.927 |
| Amiodarone use | 13 (19.69%) | 2 (13.33%) | 11 (21.56%) | 0.465 |
| CADR | 12 (18.18%) | 3 (20%) | 9 (17.64%) | 0.823 |
| Paroxysmal AF | 17 (25.75%) | 5 (33.33%) | 12 (23.52%) | 0.497 |
| Permanent AF | 22 | 4 (26.66%) | 18 (35.29%) | 0.473 |
| Death | 38 (57.57%) | |||
| CV death | 13 (19.69%) | 1 (6.66%) | 12 (23.52%) | 0.149 |
| Neoplastic death | 7 (10.6%) | 0 | 7 (13.72%) | 0.129 |
| Parameter | Subclinical Hypothyroidism 21 (31.81%) M ± SD/% | Euthyroidism 216 (76.55%) M ± SD/% | p |
|---|---|---|---|
| Age | 63.286 ± 14.364 | 64.444 ± 14.13 | 0.360 |
| HD vintage (years) | 10.476 ± 7.910 | 6.648 ± 5.717 | <0.001 |
| Sex (F) | 13 (61.9%) | 89 (41.2%) | 0.109 |
| AVF | 15 (71.42%) | 154 (71.29%) | 0.810 |
| BMI (kg/m2) | 25.643 ± 5.325 | 25.759 ± 6.080 | 0.466 |
| CGN | 7 (33.33%) | 79(36.57%) | 0.954 |
| VN | 4 (19.04%) | 47 (21.75%) | 0.991 |
| DN | 2 (9.52%) | 40 (18.51%) | 0.464 |
| PKD | 3 (14.28%) | 14 (6.48%) | 0.378 |
| PTx | 5 (23.8%) | 27 (12.5%) | 0.265 |
| TSH (μUI/mL) | 4.647 ± 1.785 | 2.065 ± 1.209 | <0.00001 |
| Hb (g/dL) | 10.519 ± 1.086 | 10.656 ± 1.490 | 0.341 |
| Albumin (g/dL) | 3.51 ± 0.618 | 3.725 ± 0.471 | 0.026 |
| hs-CRP (mg/dL) | 28.076 ± 29.083 | 28.688 ± 44.657 | 0.475 |
| T-Chol (mg/dL) | 176.950 ± 67.966 | 151.0 ± 43.848 | 0.025 |
| LDL-chol (mg/dL) | 117.905 ± 51.103 | 95.834 ± 36.697 | 0.0091 |
| HDL-chol (mg/dL) | 35.465 ± 2.330 | 39.593 ± 19.214 | 0.177 |
| Triglycerides (mg/dL) | 178.048 ± 11.436 | 133.061 ± 59.761 | 0.0005 |
| iPTH (pg/mL) | 451.263 ± 116.71 | 405.425 ± 436.702 | 0.335 |
| Calcium (mg/dL) | 8.797 ± 0.179 | 8.873 ± 0.819 | 0.343 |
| P (mg/dL) | 5.143 ± 0.44 | 4.795 ± 1.794 | 0.248 |
| Kt/V | 1.61 ± 0.068 | 1.596 ± 0.312 | 0.424 |
| Mg (mg/dL) | 1.952 ± 0.745 | 2.133 ± 0.053 | 0.299 |
| Epo dose | 139.883 ± 74 | 89.667 ± 224.2 | 0.296 |
| Hypertension | 18 (85.71%) | 205 (94.9%) | 0.222 |
| Diabetes | 3 (14.28%) | 72 (33.33%) | 0.122 |
| CAD | 9 (42.85%) | 70 (32.4%) | 0.467 |
| Neoplastic diseases | 3 (14.28%) | 26 (12.03%) | 0.961 |
| Amiodarone use | 5 (23.8%) | 7 (3.24%) | 0.0003 |
| CADR | 3 (14.28%) | 21 (9.72%) | 0.777 |
| Paroxysmal AF | 5 (23.8%) | 80 (37.03%) | 0.332 |
| Permanent AF | 11 (52.38%) | 43 (19.90%) | 0.0018 |
| CV death | 8 (38.09%) | 65 (30.09%) | 0.609 |
| Neoplastic death | 3 (14.28%) | 4 (1.85%) | 0.011 |
| Predictor | p | Odds Ratio | 95% Confidence Interval |
|---|---|---|---|
| HD vintage | 0.017 | 1.093 | 1.016–1.175 |
| albumin | 0.06 | 0.380 | 0.139–1.041 |
| Amiodarone usage | <0.001 | 13.649 | 3.536–52.691 |
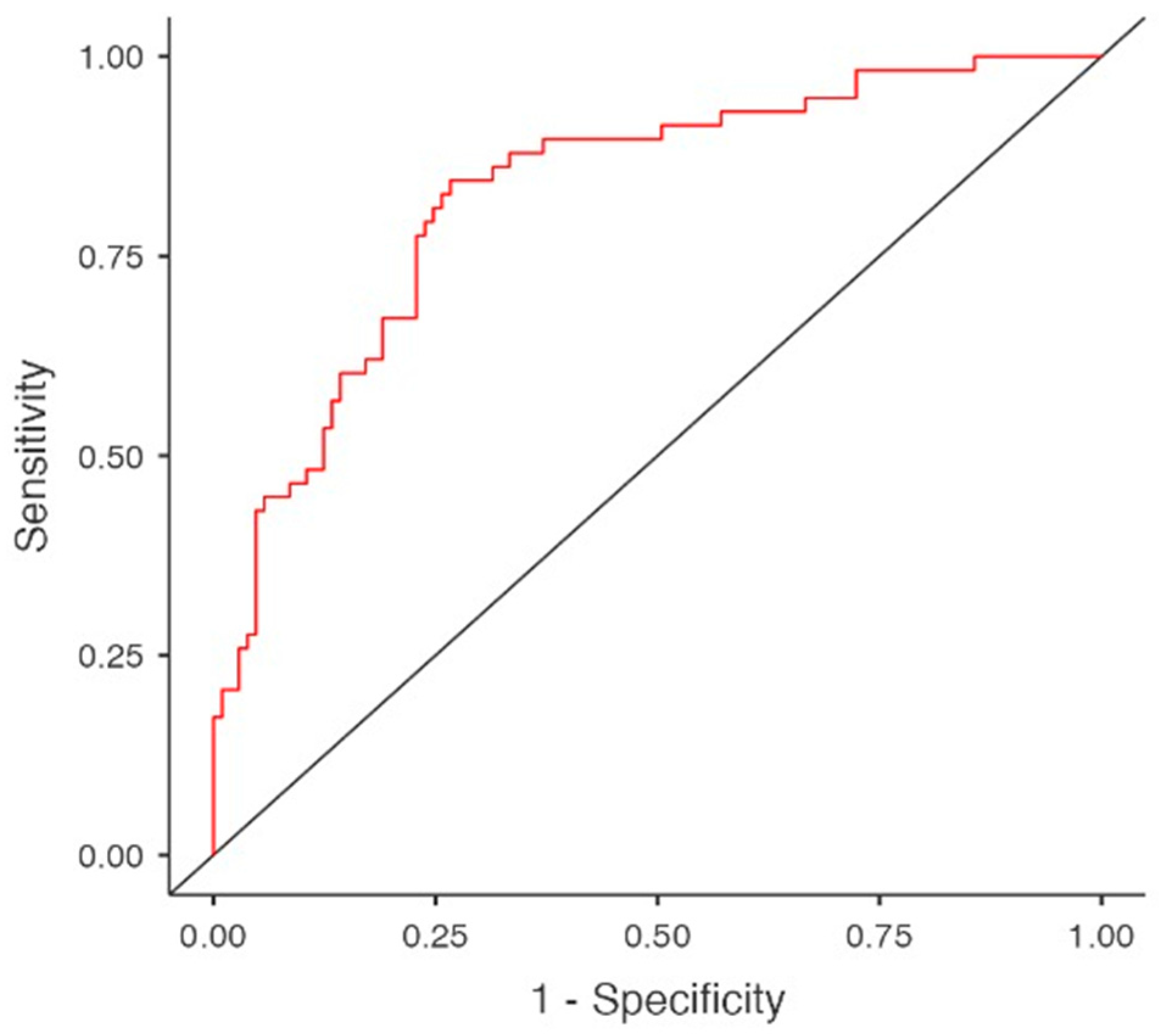
| Model | AIC | R2McF | Accuracy | Specificity | AUC |
| 108.768 | 0.172 | 0.936 | 0.995 | 0.748 |
| Parameter | Amiodarone Usage 20 | Non-Amiodarone Usage 257 | p-Value |
|---|---|---|---|
| Age | 68.200 ± 11.143 | 64.031 ± 13.875 | 0.191 |
| HD vintage | 7.2 ± 5.899 | 6.599 ± 5.598 | 0.645 |
| gender F | 9 (45%) | 120 | 0.884 |
| AVF | 16 (80%) | 176 | 0.282 |
| BMI (kg/m2) | 28.5 ± 5.066 | 26.056 ± 6.240 | 0.025 |
| Hypertension | 19 (95%) | 242 (94.16%) | 0.955 |
| Diabetes | 6 (30%) | 81 (31.51%) | 0.861 |
| CAD | 7 (35%) | 82 (31.0%) | 0.803 |
| Malignancies | 2 (10%) | 41 (15.95%) | 0.463 |
| CGN | 4 (20%) | 93 (36.18%) | 0.138 |
| VN | 8 (40%) | 54 (21.01%) | 0.052 |
| DN | 2 (10%) | 47 (18.28%) | 0.608 |
| PKD | 2 (10%) | 19 (7.39%) | 0.679 |
| PTx | 3 (15%) | 35 (13.61%) | 0.863 |
| TSH (μUI/mL) | 6.139 ± 4.919 | 5.129 ± 14.883 | 0.769 |
| Hb (g/dL) | 10.319 ± 1.031 | 10.642 ± 1.476 | 0.337 |
| Albumin (g/dL) | 3.526 ± 0.501 | 3.694 ± 0.498 | 0.147 |
| hs-CRP (mg/dL) | 24.725 ± 37.855 | 29.097 ± 43.293 | 0.662 |
| T-Chol (mg/dL) | 147.5 ± 40.433 | 152.0 ± 47.372 | 0.334 |
| LDL-chol (mg/dL) | 96.5 ± 41.458 | 102.6 ± 42.068 | 0.608 |
| HDL-chol (mg/dL) | 37.917 ± 10.022 | 40.199 ± 18.288 | 0.672 |
| Triglycerides (mg/dL) | 148.647 ± 87.491 | 149.265 ± 95.597 | 0.980 |
| iPTH (pg/mL) | 554.6 ± 637.28 | 397.141 ± 420.245 | 0.181 |
| Calcium (mg/dL) | 8.970 ± 0.952 | 8.822 ± 0.830 | 0.448 |
| P (mg/dL) | 5.170 ± 1.902 | 4.827 ± 1.726 | 0.398 |
| Kt/V | 1.516 ± 0.289 | 1.580 ± 0.312 | 0.398 |
| Hypothyroidism | 13 (65%) | 7 (2.72%) | <0.001 |
| Paroxysmal AF | 12 (60%) | 85 (33.07%) | 0.020 |
| Permanent AF | 8 (40%) | 54 (21.01%) | 0.061 |
| CV death | 7 (35%) | 69 (26.84%) | 0.431 |
| Neoplastic death | 0 | 11 (4.28%) | 0.345 |
Disclaimer/Publisher’s Note: The statements, opinions and data contained in all publications are solely those of the individual author(s) and contributor(s) and not of MDPI and/or the editor(s). MDPI and/or the editor(s) disclaim responsibility for any injury to people or property resulting from any ideas, methods, instructions or products referred to in the content. |
© 2026 by the authors. Licensee MDPI, Basel, Switzerland. This article is an open access article distributed under the terms and conditions of the Creative Commons Attribution (CC BY) license.
Share and Cite
Ratiu, I.A.; Babeș, E.E.; Georgescu, L.M.; Hocopan, O.; Dejeu, D.; Moisa, C.; Gavra, D.N.; Ratiu, C.A. Understanding the Drivers of Hypothyroidism in Patients Undergoing Chronic Hemodialysis. Diagnostics 2026, 16, 177. https://doi.org/10.3390/diagnostics16020177
Ratiu IA, Babeș EE, Georgescu LM, Hocopan O, Dejeu D, Moisa C, Gavra DN, Ratiu CA. Understanding the Drivers of Hypothyroidism in Patients Undergoing Chronic Hemodialysis. Diagnostics. 2026; 16(2):177. https://doi.org/10.3390/diagnostics16020177
Chicago/Turabian StyleRatiu, Ioana Adela, Elena Emilia Babeș, Laura Monica Georgescu, Ozana Hocopan, Danut Dejeu, Corina Moisa, Daria Nicoleta Gavra, and Cristian Adrian Ratiu. 2026. "Understanding the Drivers of Hypothyroidism in Patients Undergoing Chronic Hemodialysis" Diagnostics 16, no. 2: 177. https://doi.org/10.3390/diagnostics16020177
APA StyleRatiu, I. A., Babeș, E. E., Georgescu, L. M., Hocopan, O., Dejeu, D., Moisa, C., Gavra, D. N., & Ratiu, C. A. (2026). Understanding the Drivers of Hypothyroidism in Patients Undergoing Chronic Hemodialysis. Diagnostics, 16(2), 177. https://doi.org/10.3390/diagnostics16020177

