Total Intramuscular Fat Fraction of Thigh Muscles as a Predictor of Nusinersen Efficacy in Pediatric SMA Type II and III
Abstract
1. Introduction
2. Materials and Methods
2.1. Cases
2.2. Muscle MRI
2.3. Clinical Data
2.4. Statistics
2.5. Ethics
3. Results
3.1. Patients
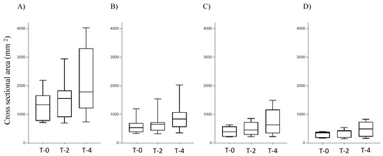
3.2. Changes in CSA of the Thigh Muscles
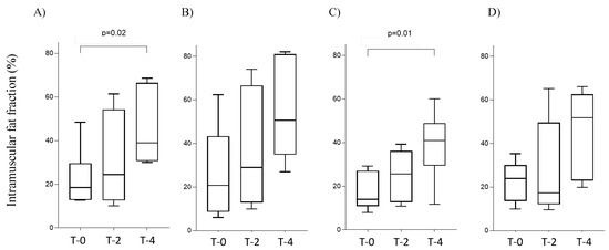
3.3. IMFF in Type II and III Patients
3.4. Motor Function Scores and IMFF
3.5. Lipid Metabolism
4. Discussion
4.1. Total IMFF of the Thigh as a Marker of Disease Progression
4.2. Baseline Total IMFF of the Thigh as a Predictor of Treatment Response
4.3. Does Metabolic Abnormality in SMA Relate to IMFF?
4.4. Mechanisms Behind IMFF in SMA
4.5. Study Limitations
5. Conclusions
Supplementary Materials
Author Contributions
Funding
Institutional Review Board Statement
Informed Consent Statement
Data Availability Statement
Conflicts of Interest
Abbreviations
| CHOP-INTEND | Children’s Hospital of Philadelphia Infant Test of Neuromuscular Disorders |
| CSA | cross-sectional area |
| HINE | Hammersmith Infant Neurological Examination |
| HSFME | Hammersmith Functional Motor Score Expanded |
| IMFF | intramuscular fat fraction |
| MRI | magnetic resonance imaging |
| NPPV | non-invasive positive pressure ventilation |
| ROI | regions of interest |
| SMA | spinal muscular atrophy |
References
- Nishio, H.; Niba, E.T.E.; Saito, T.; Okamoto, K.; Takeshima, Y.; Awano, H. Spinal Muscular Atrophy: The Past, Present, and Future of Diagnosis and Treatment. Int. J. Mol. Sci. 2023, 24, 11939. [Google Scholar] [CrossRef] [PubMed]
- Arnold, W.D.; Kassar, D.; Kissel, J.T. Spinal muscular atrophy: Diagnosis and management in a new therapeutic era. Muscle Nerve 2015, 51, 157–167. [Google Scholar] [CrossRef] [PubMed]
- Lefebvre, S.; Burglen, L.; Reboullet, S.; Clermont, O.; Burlet, P.; Viollet, L.; Benichou, B.; Cruaud, C.; Millasseau, P.; Zeviani, M.; et al. Identification and characterization of a spinal muscular atrophy-determining Gene. Cell 1995, 80, 155–165. [Google Scholar] [CrossRef] [PubMed]
- Lorson, C.L.; Hahnen, E.; Androphy, E.J.; Wirth, B. A single nucleotide in the SMN gene regulates splicing and is responsible for spinal muscular atrophy. Proc. Natl. Acad. Sci. USA 1999, 96, 6307–6311. [Google Scholar] [CrossRef]
- Crawford, T.O.; Paushkin, S.V.; Kobayashi, D.T.; Forrest, S.J.; Joyce, C.L.; Finkel, R.S.; Kaufmann, P.; Swoboda, K.J.; Tiziano, D.; Lomastro, R.; et al. Evaluation of SMN protein, transcript, and copy number in the biomarkers for spinal muscular atrophy (BforSMA) clinical study. PLoS ONE 2012, 7, e33572. [Google Scholar] [CrossRef]
- Finkel, R.S.; Mercuri, E.; Darras, B.T.; Connolly, A.M.; Kuntz, N.L.; Kirschner, J.; Chiriboga, C.A.; Saito, K.; Servais, L.; Tizzano, E.; et al. Nusinersen versus Sham Control in Infantile-Onset Spinal Muscular Atrophy. N. Engl. J. Med. 2017, 377, 1723–1732. [Google Scholar] [CrossRef]
- Mercuri, E.; Darras, B.T.; Chiriboga, C.A.; Day, J.W.; Campbell, C.; Connolly, A.M.; Iannaccone, S.T.; Kirschner, J.; Kuntz, N.L.; Saito, K.; et al. Nusinersen versus Sham Control in Later-Onset Spinal Muscular Atrophy. N. Engl. J. Med. 2018, 378, 625–635. [Google Scholar] [CrossRef]
- Albano, D.; Messina, C.; Vitale, J.; Sconfienza, L.M. Imaging of sarcopenia: Old evidence and new insights. Eur. Radiol. 2020, 30, 2199–2208. [Google Scholar] [CrossRef]
- Dahlqvist, J.R.; Widholm, P.; Leinhard, O.D.; Vissing, J. MRI in Neuromuscular Diseases: An Emerging Diagnostic Tool and Biomarker for Prognosis and Efficacy. Ann. Neurol. 2020, 88, 669–681. [Google Scholar] [CrossRef]
- Sawilowsky, S.S. New Effect Size Rules of Thumb. J. Mod. Appl. Stat. Methods 2009, 8, 597–599. [Google Scholar] [CrossRef]
- Expert Panel on Integrated Guidelines for Cardiovascular Health and Risk Reduction in Children and Adolescents; National Heart, Lung, and Blood Institute. Expert Panel on Integrated Guidelines for Cardiovascular Health and Risk Reduction in Children and Adolescents: Summary Report. Pediatrics 2011, 128 (Suppl. S5), S213–S256. [Google Scholar]
- Liu, G.C.; Jong, Y.J.; Chiang, C.H.; Yang, C.W. Spinal muscular atrophy: MR Evaluation. Pediatr. Radiol. 1992, 22, 584–586. [Google Scholar] [CrossRef]
- Durmus, H.; Yilmaz, R.; Gulsen-Parman, Y.; Oflazer-Serdaroglu, P.; Cuttini, M.; Dursun, M.; Deymeer, F. Muscle magnetic resonance imaging in spinal muscular atrophy type 3: Selective and progressive involvement. Muscle Nerve 2017, 55, 651–656. [Google Scholar] [CrossRef] [PubMed]
- Brogna, C.; Cristiano, L.; Verdolotti, T.; Pichiecchio, A.; Cinnante, C.; Sansone, V.; Sconfienza, L.M.; Berardinelli, A.; Garibaldi, M.; Antonini, G.; et al. MRI patterns of muscle involvement in type 2 and 3 spinal muscular atrophy patients. J. Neurol. 2020, 267, 898–912. [Google Scholar] [CrossRef]
- Sproule, D.M.; Punyanitya, M.; Shen, W.; Dashnaw, S.; Martens, B.; Montgomery, M.; Montes, J.; Battista, V.; Finkel, R.; Darras, B.; et al. Muscle volume estimation by magnetic resonance imaging in spinal muscular atrophy. J. Child Neurol. 2011, 26, 309–317. [Google Scholar] [CrossRef] [PubMed]
- Chabanon, A.; Seferian, A.M.; Daron, A.; Pereon, Y.; Cances, C.; Vuillerot, C.; De Waele, L.; Cuisset, J.M.; Laugel, V.; Schara, U.; et al. Prospective and longitudinal natural history study of patients with Type 2 and 3 spinal muscular atrophy: Baseline data NatHis-SMA study. PLoS ONE 2018, 13, e0201004. [Google Scholar] [CrossRef]
- Otto, L.A.M.; Froeling, M.; van Eijk, R.P.A.; Asselman, F.L.; Wadman, R.; Cuppen, I.; Hendrikse, J.; van der Pol, W.L. Quantification of Disease Progression in Spinal Muscular Atrophy with Muscle Mri—A Pilot Study. NMR Biomed. 2021, 34, e4473. [Google Scholar] [CrossRef]
- Crawford, T.O.; Darras, B.T.; Day, J.W.; Young, S.D.; Duong, T.; Nelson, L.L.; Barrett, D.; Song, G.; Bilic, S.; Cote, S.; et al. Safety and Efficacy of Apitegromab in Patients with Spinal Muscular Atrophy Types 2 and 3: The Phase 2 TOPAZ Study. Neurology 2024, 102, e209151. [Google Scholar] [CrossRef]
- Otto, L.A.M.; Froeling, M.; van Eijk, R.P.A.; Wadman, R.I.; Cuppen, I.; van der Woude, D.R.; Bartels, B.; Asselman, F.L.; Hendrikse, J.; van der Pol, W.L. Monitoring Nusinersen Treatment Effects in Children with Spinal Muscular Atrophy with Quantitative Muscle MRI. J. Neuromuscul. Dis. 2024, 11, 91–101. [Google Scholar] [CrossRef]
- Shimizu-Motohashi, Y.; Chiba, E.; Mizuno, K.; Yajima, H.; Ishiyama, A.; Takeshita, E.; Sato, N.; Oba, M.; Sasaki, M.; Ito, S.; et al. Muscle impairment in MRI affect variability in treatment response to nusinersen in patients with spinal muscular atrophy type 2 and 3: A retrospective cohort study. Brain Dev. 2023, 45, 161–170. [Google Scholar] [CrossRef]
- Pane, M.; Coratti, G.; Sansone, V.A.; Messina, S.; Catteruccia, M.; Bruno, C.; Sframeli, M.; Albamonte, E.; Pedemonte, M.; Brolatti, N.; et al. Type I spinal muscular atrophy patients treated with nusinersen: 4-year follow-up of motor, respiratory and bulbar function. Eur. J. Neurol. 2023, 30, 1755–1763. [Google Scholar] [CrossRef] [PubMed]
- Muller-Felber, W.; Blaschek, A.; Schwartz, O.; Glaser, D.; Nennstiel, U.; Brockow, I.; Wirth, B.; Burggraf, S.; Roschinger, W.; Becker, M.; et al. Newbornscreening SMA—From Pilot Project to Nationwide Screening in Germany. J. Neuromuscul. Dis. 2023, 10, 55–65. [Google Scholar] [CrossRef] [PubMed]
- Sonehara, S.; Bo, R.; Nambu, Y.; Iketani, K.; Lee, T.; Shimomura, H.; Ueda, M.; Takeshima, Y.; Iijima, K.; Nozu, K.; et al. Newborn Screening for Spinal Muscular Atrophy: A 2.5-Year Experience in Hyogo Prefecture, Japan. Genes 2023, 14, 2211. [Google Scholar] [CrossRef] [PubMed]
- Zaidman, C.M.; Crockett, C.D.; Wedge, E.; Tabatabai, G.; Goedeker, N. Newborn Screening for Spinal Muscular Atrophy: Variations in Practice and Early Management of Infants with Spinal Muscular Atrophy in the United States. Int. J. Neonatal Screen. 2024, 10, 58. [Google Scholar] [CrossRef]
- Crawford, T.O.; Swoboda, K.J.; De Vivo, D.C.; Bertini, E.; Hwu, W.L.; Finkel, R.S.; Kirschner, J.; Kuntz, N.L.; Nazario, A.N.; Parsons, J.A.; et al. Continued benefit of nusinersen initiated in the presymptomatic stage of spinal muscular atrophy: 5-year update of the NURTURE study. Muscle Nerve 2023, 68, 157–170. [Google Scholar] [CrossRef]
- Deguise, M.O.; Baranello, G.; Mastella, C.; Beauvais, A.; Michaud, J.; Leone, A.; De Amicis, R.; Battezzati, A.; Dunham, C.; Selby, K.; et al. Abnormal fatty acid metabolism is a core component of spinal muscular atrophy. Ann. Clin. Transl. Neurol. 2019, 6, 1519–1532. [Google Scholar] [CrossRef]
- Miletic, M.; Stevic, Z.; Vujovic, S.; Rakocevic, J.; Tomic, A.; Gajic, M.T.; Stojanovic, M.; Palibrk, A.; Zarkovic, M. Glucose and Lipid Metabolism Disorders in Adults with Spinal Muscular Atrophy Type 3. Diagnostics 2024, 14, 2078. [Google Scholar] [CrossRef]
- Deguise, M.O.; Pileggi, C.; De Repentigny, Y.; Beauvais, A.; Tierney, A.; Chehade, L.; Michaud, J.; Llavero-Hurtado, M.; Lamont, D.; Atrih, A.; et al. SMN Depleted Mice Offer a Robust and Rapid Onset Model of Nonalcoholic Fatty Liver Disease. Cell Mol. Gastroenterol. Hepatol. 2021, 12, 354–377.e3. [Google Scholar] [CrossRef]
- Marcus, R.L.; Addison, O.; Kidde, J.P.; Dibble, L.E.; Lastayo, P.C. Skeletal muscle fat infiltration: Impact of age, inactivity, and exercise. J. Nutr. Health Aging 2010, 14, 362–366. [Google Scholar] [CrossRef]
- Yoshiko, A.; Hioki, M.; Kanehira, N.; Shimaoka, K.; Koike, T.; Sakakibara, H.; Oshida, Y.; Akima, H. Three-Dimensional Comparison of Intramuscular Fat Content between Young and Old Adults. BMC Med. Imaging 2017, 17, 12. [Google Scholar] [CrossRef]
- Manini, T.M.; Clark, B.C.; Nalls, M.A.; Goodpaster, B.H.; Ploutz-Snyder, L.L.; Harris, T.B. Reduced Physical Activity Increases Intermuscular Adipose Tissue in Healthy Young Adults. Am. J. Clin. Nutr. 2007, 85, 377–384. [Google Scholar] [CrossRef] [PubMed]
- Wang, L.; Valencak, T.G.; Shan, T. Fat Infiltration in Skeletal muscle: Influential triggers and regulatory mechanism. iScience 2024, 27, 109221. [Google Scholar] [CrossRef] [PubMed]
- Bricceno, K.V.; Martinez, T.; Leikina, E.; Duguez, S.; Partridge, T.A.; Chernomordik, L.V.; Fischbeck, K.H.; Sumner, C.J.; Burnett, B.G. Survival motor neuron protein deficiency impairs myotube formation by altering myogenic gene expression and focal adhesion dynamics. Hum. Mol. Genet. 2014, 23, 4745–4757. [Google Scholar] [CrossRef] [PubMed]
- Hellbach, N.; Peterson, S.; Haehnke, D.; Shankar, A.; LaBarge, S.; Pivaroff, C.; Saenger, S.; Thomas, C.; McCarthy, K.; Ebeling, M.; et al. Impaired myogenic development, differentiation and function in hESC-derived SMA myoblasts and myotubes. PLoS ONE 2018, 13, e0205589. [Google Scholar] [CrossRef]





| Case | 1 | 2 | 3 | 4 | 5 | 6 | 7 |
|---|---|---|---|---|---|---|---|
| Type | II | II | II | II | II | III | III |
| Sex | Female | Male | Male | Male | Male | Female | Female |
| SMN2 copy number | 3 | 3 | 3 | 3 | 3 | 3 | 3 |
| Age at onset | 2 y 0 m | 9 m | 1 y 8 m | 9 m | 10 m | 1 y 10 m | 1 y 3 m |
| Nutritional support | None | None | None | Gastrostomy tube | None | None | None |
| NPPV | None | None | None | Nighttime only | None | None | None |
| Age at initiation of nusinersen | 9y8m | 6y3m | 3y1m | 6y2m | 4y6m | 3y4m | 4y11m |
| Number of nusinersen treatment | 12 | 12 | 12 | 12 | 11 | 10 | 11 |
| BMI (SDS) | |||||||
| T0 | 12.8 (−2.5) | 12.4 (−3.0) | 15.8 (0.3) | 9.0 (−6.6) | 11.3 (−3.5) | 14.4 (−1.0) | 15.5 (−1.7) |
| T4 | 17.1 (−1.1) | 13.3 (−2.4) | 17.7 (0.4) | 8.3 (−9.6) | 13.1 (−2.3) | 21.4 (1.7) | 15.8 (−1.5) |
Disclaimer/Publisher’s Note: The statements, opinions and data contained in all publications are solely those of the individual author(s) and contributor(s) and not of MDPI and/or the editor(s). MDPI and/or the editor(s) disclaim responsibility for any injury to people or property resulting from any ideas, methods, instructions or products referred to in the content. |
© 2025 by the authors. Licensee MDPI, Basel, Switzerland. This article is an open access article distributed under the terms and conditions of the Creative Commons Attribution (CC BY) license (https://creativecommons.org/licenses/by/4.0/).
Share and Cite
Iketani, K.; Awano, H.; Hashimura, H.; Sonehara, S.; Hanafusa, H.; Nambu, Y.; Nishio, H.; Nozu, K.; Bo, R. Total Intramuscular Fat Fraction of Thigh Muscles as a Predictor of Nusinersen Efficacy in Pediatric SMA Type II and III. Diagnostics 2025, 15, 753. https://doi.org/10.3390/diagnostics15060753
Iketani K, Awano H, Hashimura H, Sonehara S, Hanafusa H, Nambu Y, Nishio H, Nozu K, Bo R. Total Intramuscular Fat Fraction of Thigh Muscles as a Predictor of Nusinersen Efficacy in Pediatric SMA Type II and III. Diagnostics. 2025; 15(6):753. https://doi.org/10.3390/diagnostics15060753
Chicago/Turabian StyleIketani, Kiiko, Hiroyuki Awano, Hiromi Hashimura, Shoko Sonehara, Hiroaki Hanafusa, Yoshinori Nambu, Hisahide Nishio, Kandai Nozu, and Ryosuke Bo. 2025. "Total Intramuscular Fat Fraction of Thigh Muscles as a Predictor of Nusinersen Efficacy in Pediatric SMA Type II and III" Diagnostics 15, no. 6: 753. https://doi.org/10.3390/diagnostics15060753
APA StyleIketani, K., Awano, H., Hashimura, H., Sonehara, S., Hanafusa, H., Nambu, Y., Nishio, H., Nozu, K., & Bo, R. (2025). Total Intramuscular Fat Fraction of Thigh Muscles as a Predictor of Nusinersen Efficacy in Pediatric SMA Type II and III. Diagnostics, 15(6), 753. https://doi.org/10.3390/diagnostics15060753

