Exosomal microRNA Panels for Detecting Early-Stage Non-Small Cell Lung Cancer
Abstract
1. Introduction
2. Materials and Methods
2.1. Study Design
- UDR: up-down ratio
- UE: expression level of up-regulated miRNAs
- N: number of up-regulated miRNAs
- DE: expression level of down-regulated miRNAs
- M: number of down-regulated miRNAs
2.2. Patient Cohorts and Sample Collection
2.3. Sample Preparation
2.4. Exosome Isolation
2.5. RNA Extraction
2.6. RNA Quality Check
2.7. NGS Analysis of miRNAs
2.8. qPCR Analysis of miRNAs
2.9. Statistical Analysis
2.10. Bioinformatics
3. Results
3.1. Participants’ Clinical Characteristics
3.2. Discovery of Differentially Expressed miRNAs Using NGS
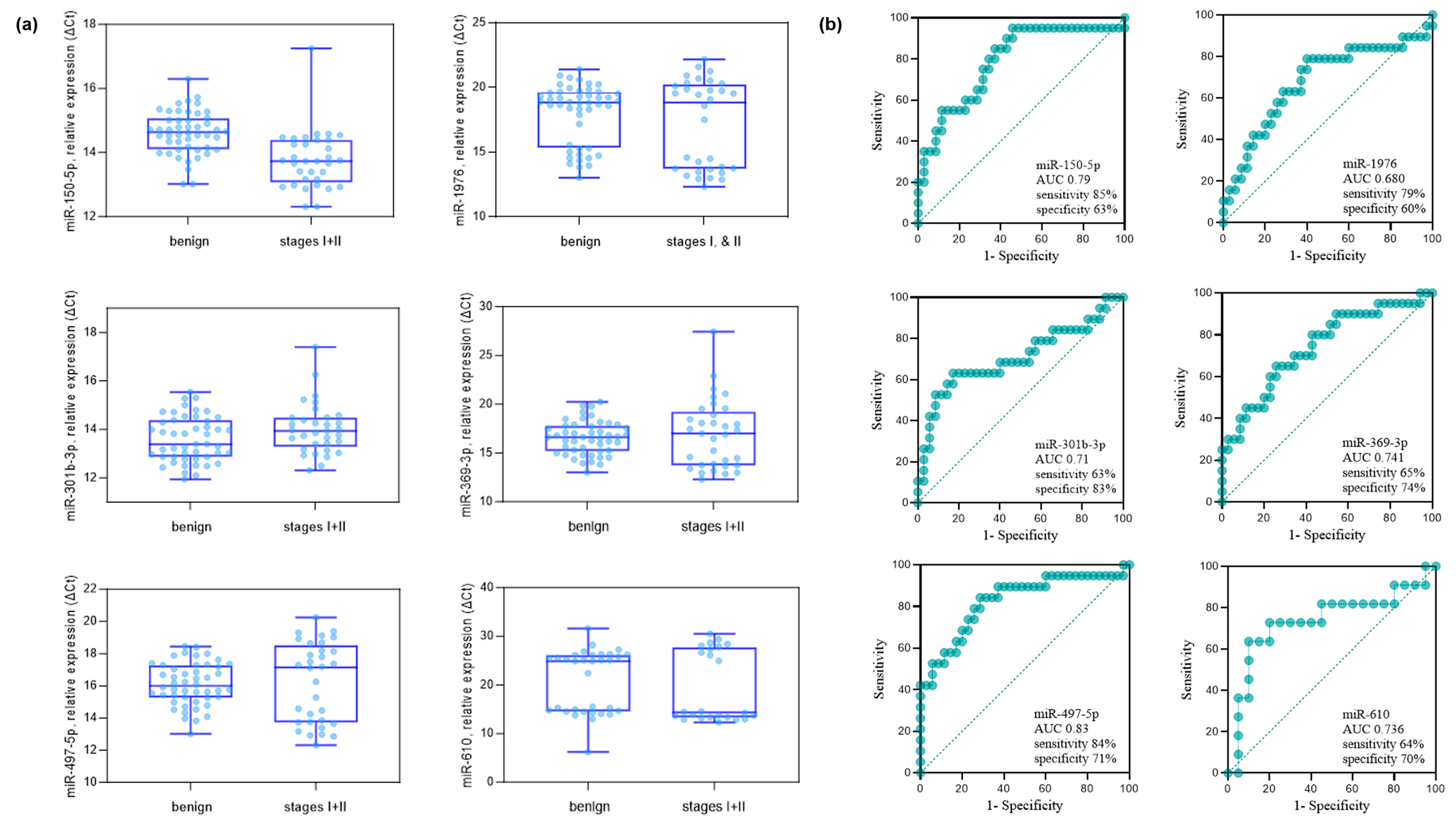
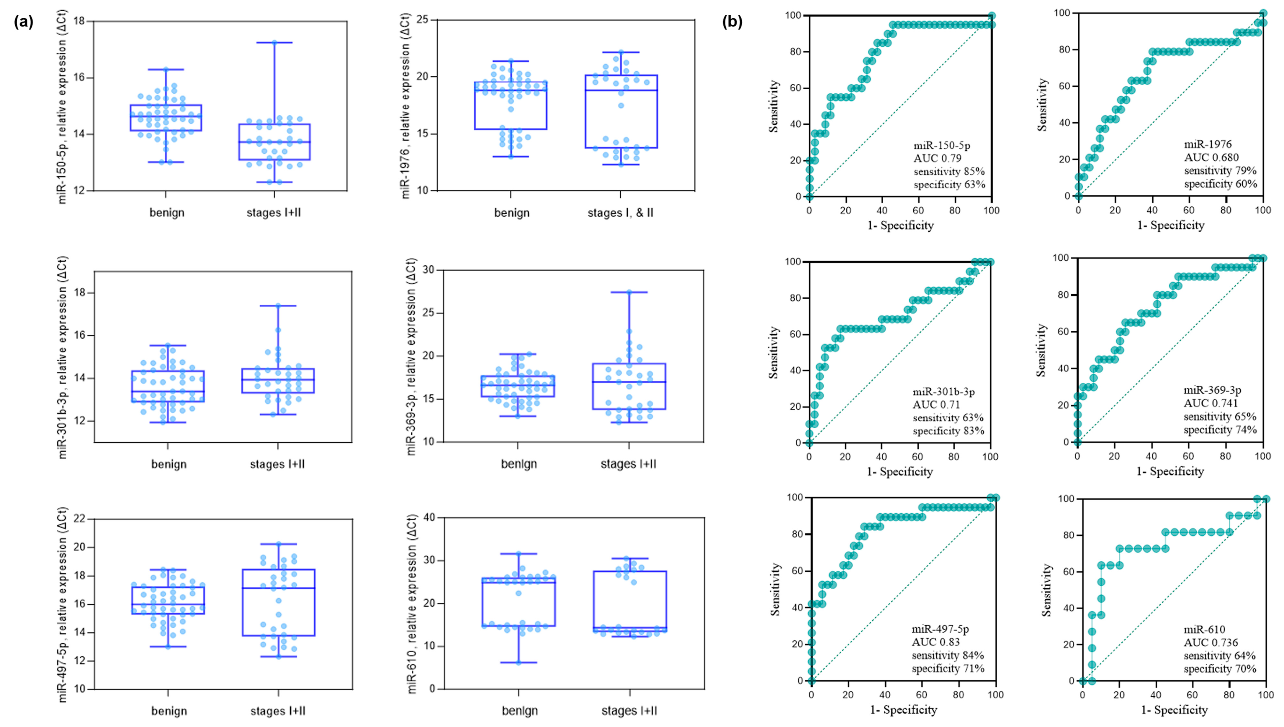
3.3. Validation of miRNAs Using qPCR
3.4. Optimization for miRNA Panels
3.5. Bioinformatics Confirmation of the Identified miRNAs
4. Discussion
Supplementary Materials
Author Contributions
Funding
Institutional Review Board Statement
Informed Consent Statement
Data Availability Statement
Acknowledgments
Conflicts of Interest
Abbreviations
| LC | lung cancer |
| NSCLC | non-small cell lung cancer |
| LDCT | low-dose computed tomography |
| miRNAs | MicroRNAs |
| qPCR | quantitative polymerase chain reactions |
| NGS | next-generation sequencing |
| QC | quality control |
| UDR | up-down ratio |
| cDNA | complementary DNA |
| AUC | area under the receiver operating characteristic curve |
References
- Reck, M.; Popat, S.; Reinmuth, N.; De Ruysscher, D.; Kerr, K.M.; Peters, S.; Group, E.G.W. Metastatic non-small-cell lung cancer (NSCLC): ESMO Clinical Practice Guidelines for diagnosis, treatment and follow-up. Ann. Oncol. 2014, 25 (Suppl. 3), iii27–iii39. [Google Scholar] [CrossRef] [PubMed]
- National Cancer Institute. Cancer Stat Facts: Lung and Bronchus Cancer. Available online: https://seer.cancer.gov/statfacts/html/lungb.html (accessed on 13 September 2025).
- Chansky, K.; Detterbeck, F.C.; Nicholson, A.G.; Rusch, V.W.; Vallieres, E.; Groome, P.; Kennedy, C.; Krasnik, M.; Peake, M.; Shemanski, L.; et al. The IASLC Lung Cancer Staging Project: External Validation of the Revision of the TNM Stage Groupings in the Eighth Edition of the TNM Classification of Lung Cancer. J. Thorac. Oncol. 2017, 12, 1109–1121. [Google Scholar] [CrossRef]
- The National Lung Screening Trial Research Team. Reduced lung-cancer mortality with low-dose computed tomographic screening. N. Engl. J. Med. 2011, 365, 395–409. [Google Scholar] [CrossRef]
- Ahmedin Jemal, D.; Stacey, A.; Fedewa, M. Lung Cancer Screening with LDCT in the US-2000 to 2015. JAMA Oncol. 2017, 3, 1278–1281. [Google Scholar]
- Heerink, W.J.; de Bock, G.H.; de Jonge, G.J.; Groen, H.J.; Vliegenthart, R.; Oudkerk, M. Complication rates of CT-guided transthoracic lung biopsy: Meta-analysis. Eur. Radiol. 2017, 27, 138–148. [Google Scholar] [CrossRef] [PubMed]
- Tukey, M.H.; Wiener, R.S. Population-based estimates of transbronchial lung biopsy utilization and complications. Respir. Med. 2012, 106, 1559–1565. [Google Scholar] [CrossRef]
- Winokur, R.S.; Pua, B.B.; Sullivan, B.W.; Madoff, D.C. Percutaneous lung biopsy: Technique, efficacy, and complications. Semin. Interv. Radiol. 2013, 30, 121–127. [Google Scholar] [CrossRef]
- Galle, P.R.; Foerster, F.; Kudo, M.; Chan, S.L.; Llovet, J.M.; Qin, S.; Schelman, W.R.; Chintharlapalli, S.; Abada, P.B.; Sherman, M.; et al. Biology and significance of alpha-fetoprotein in hepatocellular carcinoma. Liver Int. 2019, 39, 2214–2229. [Google Scholar] [CrossRef]
- Guo, N.; Peng, Z. Does serum CA125 have clinical value for follow-up monitoring of postoperative patients with epithelial ovarian cancer? Results of a 12-year study. J. Ovarian Res. 2017, 10, 14. [Google Scholar] [CrossRef]
- Luo, G.; Jin, K.; Deng, S.; Cheng, H.; Fan, Z.; Gong, Y.; Qian, Y.; Huang, Q.; Ni, Q.; Liu, C.; et al. Roles of CA19-9 in pancreatic cancer: Biomarker, predictor and promoter. Biochim. Biophys. Acta Rev. Cancer 2021, 1875, 188409. [Google Scholar] [CrossRef] [PubMed]
- Nikolaou, S.; Qiu, S.; Fiorentino, F.; Rasheed, S.; Tekkis, P.; Kontovounisios, C. Systematic review of blood diagnostic markers in colorectal cancer. Tech. Coloproctol. 2018, 22, 481–498. [Google Scholar] [CrossRef] [PubMed]
- Duffy, M.J. Biomarkers for prostate cancer: Prostate-specific antigen and beyond. Clin. Chem. Lab. Med. 2020, 58, 326–339. [Google Scholar] [CrossRef]
- Bottani, M.; Banfi, G.; Lombardi, G. Circulating miRNAs as Diagnostic and Prognostic Biomarkers in Common Solid Tumors: Focus on Lung, Breast, Prostate Cancers, and Osteosarcoma. J. Clin. Med. 2019, 8, 1661. [Google Scholar] [CrossRef]
- Hussen, B.M.; Hidayat, H.J.; Salihi, A.; Sabir, D.K.; Taheri, M.; Ghafouri-Fard, S. MicroRNA: A signature for cancer progression. Biomed. Pharmacother. 2021, 138, 111528. [Google Scholar] [CrossRef]
- Sohel, M.M.H. Circulating microRNAs as biomarkers in cancer diagnosis. Life Sci. 2020, 248, 117473. [Google Scholar] [CrossRef] [PubMed]
- Arroyo, J.D.; Chevillet, J.R.; Kroh, E.M.; Ruf, I.K.; Pritchard, C.C.; Gibson, D.F.; Mitchell, P.S.; Bennett, C.F.; Pogosova-Agadjanyan, E.L.; Stirewalt, D.L.; et al. Argonaute2 complexes carry a population of circulating microRNAs independent of vesicles in human plasma. Proc. Natl. Acad. Sci. USA 2011, 108, 5003–5008. [Google Scholar] [CrossRef]
- Li, L.; Zhu, D.; Huang, L.; Zhang, J.; Bian, Z.; Chen, X.; Liu, Y.; Zhang, C.Y.; Zen, K. Argonaute 2 complexes selectively protect the circulating microRNAs in cell-secreted microvesicles. PLoS ONE 2012, 7, e46957. [Google Scholar] [CrossRef]
- Zou, R.; Loke, S.Y.; Tang, Y.C.; Too, H.P.; Zhou, L.; Lee, A.S.G.; Hartman, M. Development and validation of a circulating microRNA panel for the early detection of breast cancer. Br. J. Cancer 2022, 126, 472–481. [Google Scholar] [CrossRef]
- Ying, L.; Du, L.; Zou, R.; Shi, L.; Zhang, N.; Jin, J.; Xu, C.; Zhang, F.; Zhu, C.; Wu, J.; et al. Development of a serum miRNA panel for detection of early stage non-small cell lung cancer. Proc. Natl. Acad. Sci. USA 2020, 117, 25036–25042. [Google Scholar] [CrossRef]
- So, J.B.Y.; Kapoor, R.; Zhu, F.; Koh, C.; Zhou, L.; Zou, R.; Tang, Y.C.; Goo, P.C.K.; Rha, S.Y.; Chung, H.C.; et al. Development and validation of a serum microRNA biomarker panel for detecting gastric cancer in a high-risk population. Gut 2021, 70, 829–837. [Google Scholar] [CrossRef] [PubMed]
- Koberle, V.; Pleli, T.; Schmithals, C.; Augusto Alonso, E.; Haupenthal, J.; Bonig, H.; Peveling-Oberhag, J.; Biondi, R.M.; Zeuzem, S.; Kronenberger, B.; et al. Differential stability of cell-free circulating microRNAs: Implications for their utilization as biomarkers. PLoS ONE 2013, 8, e75184. [Google Scholar] [CrossRef]
- Nik Mohamed Kamal, N.; Shahidan, W.N.S. Non-Exosomal and Exosomal Circulatory MicroRNAs: Which Are More Valid as Biomarkers? Front. Pharmacol. 2019, 10, 1500. [Google Scholar] [CrossRef]
- Makler, A.; Asghar, W. Exosomal miRNA Biomarker Panel for Pancreatic Ductal Adenocarcinoma Detection in Patient Plasma: A Pilot Study. Int. J. Mol. Sci. 2023, 24, 5081. [Google Scholar] [CrossRef] [PubMed]
- Zhou, Q.; Li, M.; Wang, X.; Li, Q.; Wang, T.; Zhu, Q.; Zhou, X.; Wang, X.; Gao, X.; Li, X. Immune-related MicroRNAs are Abundant in Breast Milk Exosomes. Int. J. Biol. Sci. 2012, 8, 118–123. [Google Scholar] [CrossRef]
- Xiong, M.; Fang, X.; Zhao, J. Biomarker identification by feature wrappers. Genome Res. 2001, 11, 1878–1887. [Google Scholar] [CrossRef] [PubMed]
- Kern, F.; Aparicio-Puerta, E.; Li, Y.; Fehlmann, T.; Kehl, T.; Wagner, V.; Ray, K.; Ludwig, N.; Lenhof, H.-P.; Meese, E.; et al. miRTargetLink 2.0—Interactive miRNA target gene and target pathway networks. Nucleic Acids Res. 2021, 49, W409–W416. [Google Scholar] [CrossRef] [PubMed]
- Kern, F.; Fehlmann, T.; Solomon, J.; Schwed, L.; Grammes, N.; Backes, C.; Van Keuren-Jensen, K.; Craig, D.W.; Meese, E.; Keller, A. miEAA 2.0: Integrating multi-species microRNA enrichment analysis and workflow management systems. Nucleic Acids Res. 2020, 48, W521–W528. [Google Scholar] [CrossRef]
- Zhao, Y.L.; Zhang, J.X.; Yang, J.J.; Wei, Y.B.; Peng, J.F.; Fu, C.J.; Huang, M.H.; Wang, R.; Wang, P.Y.; Sun, G.B.; et al. MiR-205-5p promotes lung cancer progression and is valuable for the diagnosis of lung cancer. Thorac. Cancer 2022, 13, 832–843. [Google Scholar] [CrossRef]
- Pop-Bica, C.; Pintea, S.; Magdo, L.; Cojocneanu, R.; Gulei, D.; Ferracin, M.; Berindan-Neagoe, I. The Clinical Utility of miR-21 and let-7 in Non-small Cell Lung Cancer (NSCLC). A Systematic Review and Meta-Analysis. Front. Oncol. 2020, 10, 516850. [Google Scholar] [CrossRef]
- Li, G.; Wang, K.; Wang, J.; Qin, S.; Sun, X.; Ren, H. miR-497-5p inhibits tumor cell growth and invasion by targeting SOX5 in non-small-cell lung cancer. J. Cell Biochem. 2019, 120, 10587–10595. [Google Scholar] [CrossRef]
- Bica-Pop, C.; Cojocneanu-Petric, R.; Magdo, L.; Raduly, L.; Gulei, D.; Berindan-Neagoe, I. Overview upon miR-21 in lung cancer: Focus on NSCLC. Cell Mol. Life Sci. 2018, 75, 3539–3551. [Google Scholar] [CrossRef]
- Jiang, M.; Zhang, P.; Hu, G.; Xiao, Z.; Xu, F.; Zhong, T.; Huang, F.; Kuang, H.; Zhang, W. Relative expressions of miR-205-5p, miR-205-3p, and miR-21 in tissues and serum of non-small cell lung cancer patients. Mol. Cell Biochem. 2013, 383, 67–75. [Google Scholar] [CrossRef] [PubMed]
- Zhao, W.Y.; Wang, Y.; An, Z.J.; Shi, C.G.; Zhu, G.A.; Wang, B.; Lu, M.Y.; Pan, C.K.; Chen, P. Downregulation of miR-497 promotes tumor growth and angiogenesis by targeting HDGF in non-small cell lung cancer. Biochem. Biophys. Res. Commun. 2013, 435, 466–471. [Google Scholar] [CrossRef] [PubMed]
- Xu, L.F.; Wu, Z.P.; Chen, Y.; Zhu, Q.S.; Hamidi, S.; Navab, R. MicroRNA-21 (miR-21) regulates cellular proliferation, invasion, migration, and apoptosis by targeting PTEN, RECK and Bcl-2 in lung squamous carcinoma, Gejiu City, China. PLoS ONE 2014, 9, e103698. [Google Scholar] [CrossRef]
- Sun, P.L.; Sasano, H.; Gao, H. Bcl-2 family in non-small cell lung cancer: Its prognostic and therapeutic implications. Pathol. Int. 2017, 67, 121–130. [Google Scholar] [CrossRef] [PubMed]
- Lv, D.; Bi, Q.; Li, Y.; Deng, J.; Wu, N.; Hao, S.; Zhao, M. Long non-coding RNA MEG3 inhibits cell migration and invasion of non-small cell lung cancer cells by regulating the miR-21-5p/PTEN axis. Mol. Med. Rep. 2021, 23, 191. [Google Scholar] [CrossRef]
- Gu, A.; Lu, J.; Wang, W.; Shi, C.; Han, B.; Yao, M. Role of miR-497 in VEGF-A-mediated cancer cell growth and invasion in non-small cell lung cancer. Int. J. Biochem. Cell Biol. 2016, 70, 118–125. [Google Scholar] [CrossRef]
- Frezzetti, D.; Gallo, M.; Maiello, M.R.; D’Alessio, A.; Esposito, C.; Chicchinelli, N.; Normanno, N.; De Luca, A. VEGF as a potential target in lung cancer. Expert. Opin. Ther. Targets 2017, 21, 959–966. [Google Scholar] [CrossRef]
- Guo, J.; Liu, Y.; Lv, J.; Zou, B.; Chen, Z.; Li, K.; Feng, J.; Cai, Z.; Wei, L.; Liu, M.; et al. BCL6 confers KRAS-mutant non-small-cell lung cancer resistance to BET inhibitors. J. Clin. Investig. 2021, 131, e133090. [Google Scholar] [CrossRef]
- Ma, T.; Gu, J.; Wen, H.; Xu, F.; Ge, D. BIRC5 Modulates PD-L1 Expression and Immune Infiltration in Lung Adenocarcinoma. J. Cancer 2022, 13, 3140–3150. [Google Scholar] [CrossRef]
- Zhang, X.; Tian, T.; Sun, W.; Liu, C.; Fang, X. Bmi-1 overexpression as an efficient prognostic marker in patients with nonsmall cell lung cancer. Medicine 2017, 96, e7346. [Google Scholar] [CrossRef]
- Koh, H.; Park, H.; Chandimali, N.; Huynh, D.L.; Zhang, J.J.; Ghosh, M.; Gera, M.; Kim, N.; Bak, Y.; Yoon, D.Y.; et al. MicroRNA-128 suppresses paclitaxel-resistant lung cancer by inhibiting MUC1-C and BMI-1 in cancer stem cells. Oncotarget 2017, 8, 110540–110551. [Google Scholar] [CrossRef]
- Qian, Q.; Ma, Q.; Wang, B.; Qian, Q.; Zhao, C.; Feng, F.; Dong, X. MicroRNA-205-5p targets E2F1 to promote autophagy and inhibit pulmonary fibrosis in silicosis through impairing SKP2-mediated Beclin1 ubiquitination. J. Cell Mol. Med. 2021, 25, 9214–9227. [Google Scholar] [CrossRef]
- Han, Z.; Zhang, Y.; Yang, Q.; Liu, B.; Wu, J.; Zhang, Y.; Yang, C.; Jiang, Y. miR-497 and miR-34a retard lung cancer growth by co-inhibiting cyclin E1 (CCNE1). Oncotarget 2015, 6, 13149–13163. [Google Scholar] [CrossRef]
- Wu, L.; Wan, S.; Li, J.; Xu, Y.; Lou, X.; Sun, M.; Wang, S. Expression and prognostic value of E2F3 transcription factor in non-small cell lung cancer. Oncol. Lett. 2021, 21, 411. [Google Scholar] [CrossRef]
- Wang, X.H.; Zhang, S.Y.; Shi, M.; Xu, X.P. HMGB1 Promotes the Proliferation and Metastasis of Lung Cancer by Activating the Wnt/β-Catenin Pathway. Technol. Cancer Res. Treat. 2020, 19, 1533033820948054. [Google Scholar] [CrossRef]
- Hsu, X.R.; Wu, J.E.; Wu, Y.Y.; Hsiao, S.Y.; Liang, J.L.; Wu, Y.J.; Tung, C.H.; Huang, M.F.; Lin, M.S.; Yang, P.C.; et al. Exosomal long noncoding RNA MLETA1 promotes tumor progression and metastasis by regulating the miR-186-5p/EGFR and miR-497-5p/IGF1R axes in non-small cell lung cancer. J. Exp. Clin. Cancer Res. 2023, 42, 283. [Google Scholar] [CrossRef] [PubMed]
- Han, X.; Dong, Q.; Wu, J.; Luo, Y.; Rong, X.; Han, Q.; Zheng, X.; Wang, E. RASSF10 suppresses lung cancer proliferation and invasion by decreasing the level of phosphorylated LRP6. Mol. Carcinog. 2019, 58, 1168–1180. [Google Scholar] [CrossRef] [PubMed]
- Ding, Y.; Hou, Y.; Liu, Y.; Xie, X.; Cui, Y.; Nie, H. Prospects for miR-21 as a Target in the Treatment of Lung Diseases. Curr. Pharm. Des. 2021, 27, 415–422. [Google Scholar] [CrossRef] [PubMed]
- Herreño, A.M.; Ramírez, A.C.; Chaparro, V.P.; Fernandez, M.J.; Cañas, A.; Morantes, C.F.; Moreno, O.M.; Brugés, R.E.; Mejía, J.A.; Bustos, F.J.; et al. Role of RUNX2 transcription factor in epithelial mesenchymal transition in non-small cell lung cancer lung cancer: Epigenetic control of the RUNX2 P1 promoter. Tumour Biol. 2019, 41, 1010428319851014. [Google Scholar] [CrossRef]
- Lin, L.; Tu, H.B.; Wu, L.; Liu, M.; Jiang, G.N. MicroRNA-21 Regulates Non-Small Cell Lung Cancer Cell Invasion and Chemo-Sensitivity through SMAD7. Cell Physiol. Biochem. 2016, 38, 2152–2162. [Google Scholar] [CrossRef]
- Hirono, T.; Jingushi, K.; Kitae, K.; Nagata, T.; Sato, M.; Minami, K.; Aoki, M.; Takeda, A.; Umehara, T.; Egawa, H. MiR-301a/b function as oncomiRs in non-small-cell lung cancer. Integr. Mol. Med. 2018, 5, 1–6. [Google Scholar] [CrossRef]
- Lin, T.-C.; Lin, P.-L.; Cheng, Y.-W.; Wu, T.-C.; Chou, M.-C.; Chen, C.-Y.; Lee, H. MicroRNA-184 deregulated by the MicroRNA-21 promotes tumor malignancy and poor outcomes in non-small cell lung cancer via targeting CDC25A and c-Myc. Ann. Surg. Oncol. 2015, 22, 1532–1539. [Google Scholar] [CrossRef] [PubMed]
- Venturutti, L.; Romero, L.V.; Urtreger, A.J.; Chervo, M.F.; Cordo Russo, R.I.; Mercogliano, M.F.; Inurrigarro, G.; Pereyra, M.G.; Proietti, C.J.; Izzo, F.; et al. Stat3 regulates ErbB-2 expression and co-opts ErbB-2 nuclear function to induce miR-21 expression, PDCD4 downregulation and breast cancer metastasis. Oncogene 2016, 35, 2208–2222. [Google Scholar] [CrossRef] [PubMed]
- De Cola, A.; Volpe, S.; Budani, M.C.; Ferracin, M.; Lattanzio, R.; Turdo, A.; D’Agostino, D.; Capone, E.; Stassi, G.; Todaro, M.; et al. miR-205-5p-mediated downregulation of ErbB/HER receptors in breast cancer stem cells results in targeted therapy resistance. Cell Death Dis. 2015, 6, e1823. [Google Scholar] [CrossRef]
- Chen, X.; Zeng, K.; Xu, M.; Hu, X.; Liu, X.; Xu, T.; He, B.; Pan, Y.; Sun, H.; Wang, S. SP1-induced lncRNA-ZFAS1 contributes to colorectal cancer progression via the miR-150-5p/VEGFA axis. Cell Death Dis. 2018, 9, 982. [Google Scholar] [CrossRef]
- Jin, H.; Jin, X.; Chai, W.; Yin, Z.; Li, Y.; Dong, F.; Wang, W. Long non-coding RNA MIAT competitively binds miR-150-5p to regulate ZEB1 expression in osteosarcoma. Oncol. Lett. 2019, 17, 1229–1236. [Google Scholar] [CrossRef]
- Zheng, D.; Huo, M.; Li, B.; Wang, W.; Piao, H.; Wang, Y.; Zhu, Z.; Li, D.; Wang, T.; Liu, K. The Role of Exosomes and Exosomal MicroRNA in Cardiovascular Disease. Front. Cell Dev. Biol. 2020, 8, 616161. [Google Scholar] [CrossRef]
- Smolarz, M.; Widlak, P. Serum exosomes and their miRNA load—A potential biomarker of lung cancer. Cancers 2021, 13, 1373. [Google Scholar] [CrossRef] [PubMed]
- Sozzi, G.; Boeri, M.; Rossi, M.; Verri, C.; Suatoni, P.; Bravi, F.; Roz, L.; Conte, D.; Grassi, M.; Sverzellati, N. Clinical utility of a plasma-based miRNA signature classifier within computed tomography lung cancer screening: A correlative MILD trial study. J. Clin. Oncol. 2014, 32, 768. [Google Scholar] [CrossRef]
- Pastorino, U.; Boeri, M.; Sestini, S.; Sabia, F.; Milanese, G.; Silva, M.; Suatoni, P.; Verri, C.; Cantarutti, A.; Sverzellati, N. Baseline computed tomography screening and blood microRNA predict lung cancer risk and define adequate intervals in the BioMILD trial. Ann. Oncol. 2022, 33, 395–405. [Google Scholar] [CrossRef] [PubMed]
- Arab, A.; Karimipoor, M.; Irani, S.; Kiani, A.; Zeinali, S.; Tafsiri, E.; Sheikhy, K. Potential circulating miRNA signature for early detection of NSCLC. Cancer Genet. 2017, 216, 150–158. [Google Scholar] [CrossRef] [PubMed]
- Dama, E.; Colangelo, T.; Cuttano, R.; Dziadziuszko, R.; Dandekar, T.; Widlak, P.; Rzyman, W.; Veronesi, G.; Bianchi, F. A plasma 9-microRNA signature for lung cancer early detection: A multicenter analysis. Biomark. Res. 2025, 13, 74. [Google Scholar] [CrossRef] [PubMed]
- Gao, S.; Guo, W.; Liu, T.; Liang, N.; Ma, Q.; Gao, Y.; Tan, F.; Xue, Q.; He, J. Plasma extracellular vesicle microRNA profiling and the identification of a diagnostic signature for stage I lung adenocarcinoma. Cancer Sci. 2022, 113, 648–659. [Google Scholar] [CrossRef]
- Wang, F.; Ren, X.; Zhang, X. Role of microRNA-150 in solid tumors. Oncol. Lett. 2015, 10, 11–16. [Google Scholar] [CrossRef]
- Yin, Q.W.; Sun, X.F.; Yang, G.T.; Li, X.B.; Wu, M.S.; Zhao, J. Increased expression of microRNA-150 is associated with poor prognosis in non-small cell lung cancer. Int. J. Clin. Exp. Pathol. 2015, 8, 842–846. [Google Scholar]
- Dong, X.; Chang, M.; Song, X.; Ding, S.; Xie, L.; Song, X. Plasma miR-1247-5p, miR-301b-3p and miR-105-5p as potential biomarkers for early diagnosis of non-small cell lung cancer. Thorac. Cancer 2021, 12, 539–548. [Google Scholar] [CrossRef]
- Silva, J.; Garcia, V.; Zaballos, A.; Provencio, M.; Lombardia, L.; Almonacid, L.; Garcia, J.M.; Dominguez, G.; Pena, C.; Diaz, R.; et al. Vesicle-related microRNAs in plasma of nonsmall cell lung cancer patients and correlation with survival. Eur. Respir. J. 2011, 37, 617–623. [Google Scholar] [CrossRef]
- Liu, H.; Ma, X.; Niu, N.; Zhao, J.; Lu, C.; Yang, F.; Qi, W. MIR-301b-3p promotes lung adenocarcinoma cell proliferation, migration and invasion by targeting DLC1. Technol. Cancer Res. Treat. 2021, 20, 1533033821990036. [Google Scholar] [CrossRef]
- Guo, L.; Li, B.; Yang, J.; Shen, J.; Ji, J.; Miao, M. Fibroblast-derived exosomal microRNA-369 potentiates migration and invasion of lung squamous cell carcinoma cells via NF1-mediated MAPK signaling pathway. Int. J. Mol. Med. 2020, 46, 595–608. [Google Scholar] [CrossRef]
- Hao, G.-J.; Ding, Y.-H.; Wen, H.; Li, X.-F.; Zhang, W.; Su, H.-Y.; Liu, D.-M.; Xie, N.-L. Attenuation of deregulated miR-369-3p expression sensitizes non-small cell lung cancer cells to cisplatin via modulation of the nucleotide sugar transporter SLC35F5. Biochem. Biophys. Res. Commun. 2017, 488, 501–508. [Google Scholar] [CrossRef]
- Wang, Y.; Wang, X.; Xu, J.; Zhang, D.; Cao, Y. miR-369-3p regulates the drug resistance of lung cancer cells by targeting PTPN12. Pharmacogenomics 2025, 26, 165–170. [Google Scholar] [CrossRef] [PubMed]
- Wang, L.; Ji, X.-B.; Wang, L.-H.; Qiu, J.-G.; Zhou, F.-M.; Liu, W.-J.; Wan, D.-D.; Lin, M.C.-M.; Liu, L.-Z.; Zhang, J.-Y. Regulation of microRNA-497-targeting AKT2 influences tumor growth and chemoresistance to cisplatin in lung cancer. Front. Cell Dev. Biol. 2020, 8, 840. [Google Scholar] [CrossRef] [PubMed]
- Brennan, P.; Davey-Smith, G. Identifying Novel Causes of Cancers to Enhance Cancer Prevention: New Strategies Are Needed. JNCI J. Natl. Cancer Inst. 2021, 114, 353–360. [Google Scholar] [CrossRef] [PubMed]
- Imodoye, S.O.; Adedokun, K.A.; Muhammed, A.O.; Bello, I.O.; Muhibi, M.A.; Oduola, T.; Oyenike, M.A. Understanding the Complex Milieu of Epithelial-Mesenchymal Transition in Cancer Metastasis: New Insight into the Roles of Transcription Factors. Front. Oncol. 2021, 11, 762817. [Google Scholar] [CrossRef]




| Discovery Set (N = 76) | |||||
| Variable | Number of Patients (%) | Whole Group | Benign (N = 16) | NSCLC (N = 60) | p-Value |
| Age | mean ± SD | 73.7 ± 10.2 | 72.8 ± 9.7 | 74.0 ± 10.5 | 0.680 |
| Sex | Male | 52 (68.4) | 10 (62.5) | 42 (70.0) | 0.560 |
| Female | 24 (31.6) | 6 (37.5) | 18 (30.0) | ||
| Smoking history | No | 26 (34.2) | 8 (50.0) | 18 (30.0) | 0.150 |
| Yes | 50 (65.8) | 8 (50.0) | 42 (70.0) | ||
| Pulmonary comorbidities | No | 67 (88.2) | 13 (81.3) | 54 (90.0) | 0.387 |
| Yes | 9 (11.8) | 3 (18.8) | 6 (10.0) | ||
| Stage | I | N/A | N/A | 19 (31.7) | N/A |
| II | 8 (13.3) | ||||
| III | 12 (20.0) | ||||
| IV | 21 (35.0) | ||||
| Histology | Adeno | N/A | N/A | 28 (46.7) | N/A |
| SqCC | 31 (51.7) | ||||
| NSCLC NOS | 1 (1.6) | ||||
| Validation Set (N = 75) | |||||
| Variable | Number of Patients (%) | Whole Group | Benign (N = 35) | NSCLC (N = 40) | p-Value |
| Age | mean ± SD | 73.0 ± 11.6 | 70.5 ± 12.2 | 75.3 ± 10.8 | 0.078 |
| Sex | Male | 52 (69.3) | 23 (65.7) | 29 (72.5) | 0.618 |
| Female | 23 (30.7) | 12 (34.3) | 11 (27.5) | ||
| Smoking history | No | 24 (32.0) | 13 (37.1) | 11 (27.5) | 0.459 |
| Yes | 51 (68.0) | 22 (62.9) | 29 (72.5) | ||
| Pulmonary comorbidities | No | 67 (89.3) | 31 (88.6) | 36 (90.0) | 0.842 |
| Yes | 8 (10.7) | 4 (11.4) | 4 (10.0) | ||
| Stage | I | N/A | N/A | 10 (25.0) | N/A |
| II | 10 (25.0) | ||||
| III | 10 (25.0) | ||||
| IV | 10 (25.0) | ||||
| Histology | Adeno | N/A | N/A | 22 (55.0) | N/A |
| SqCC | 18 (45.0) | ||||
| NSCLC NOS | 0 (0.0) | ||||
| NGS miRNAs Stages I, II vs. Benign | Edge-R | NGS miRNAs Stages I, II vs. Benign | Edge-R | ||
|---|---|---|---|---|---|
| Fold Change | p Value | Fold Change | p Value | ||
| hsa-miR-128-1-5p | 3.1 | 0.0198 | hsa-miR-3605-3p | 2.6 | 0.0126 |
| hsa-miR-150-5p | 2.0 | 0.0029 | hsa-miR-369-3p | 2.6 | 0.0338 |
| hsa-miR-190a-5p | 2.1 | 0.0123 | hsa-miR-4444 | 3.9 | 0.0081 |
| hsa-miR-193b-3p | 2.4 | 0.0398 | hsa-miR-4732-3p | 2.0 | 0.0366 |
| hsa-miR-1972 | 2.4 | 0.0085 | hsa-miR-5585-3p | 3.0 | 0.0071 |
| hsa-miR-1976 | 3.0 | 0.0004 | hsa-miR-610 | 2.5 | 0.0234 |
| hsa-miR-202-3p | 4.3 | 0.0010 | hsa-miR-6807-5p | 2.8 | 0.0057 |
| hsa-miR-20a-3p | 2.4 | 0.0462 | hsa-miR-6873-3p | 2.1 | 0.0431 |
| hsa-miR-2355-5p | 2.0 | 0.0214 | hsa-miR-769-3p | 2.8 | 0.0098 |
| hsa-miR-301a-3p | 2.1 | 0.0086 | hsa-miR-874-5p | 2.0 | 0.0234 |
| hsa-miR-301b-3p | 3.9 | 0.0001 | |||
| qPCR | Stages I, II vs. Benign | qPCR | Stages I, II vs. Benign | ||
|---|---|---|---|---|---|
| FC | p Value | FC | p Value | ||
| hsa-miR-497-5p * | 2.5 | 0.00004 | hsa-miR-21-5p * | 1.2 | 0.00015 |
| hsa-miR-369-3p | 3.2 | 0.00266 | hsa-miR-150-5p | 1.6 | 0.00027 |
| hsa-miR-301b-3p | 1.9 | 0.01149 | hsa-miR-5585-3p | 197.7 | 0.40000 |
| hsa-miR-1976 | 1.5 | 0.02746 | hsa-miR-202-3p | 480.1 | 0.70000 |
| hsa-miR-610 | 3.4 | 0.03188 | hsa-miR-205-5p * | 1.3 | 0.80148 |
| hsa-miR-190a-5p | 1.5 | 0.06202 | hsa-miR-3605-3p | 1.3 | 1.00000 |
| hsa-miR-769-3p | 3.5 | 0.26385 | hsa-miR-128-1-5p | - | - |
| hsa-miR-6873-3p | 1.3 | 0.43047 | |||
| Target Genes | Functions | Associated microRNA | References |
|---|---|---|---|
| BCL2 and PTEN | Cellular proliferation, invasion, migration, and apoptosis in lung squamous carcinoma are regulated by miR-21 via targeting PTEN, RECK and Bcl-2. | miR-21-5p | [35] |
| BCL2 | Reviews prognostic and predictive effect of Bcl-2 family in NSCLC. | · | [36] |
| PTEN | Cell migration and invasion of NSCLC cells is inhibited by lncRNA MEG3 by regulating miR-21-5p/PTEN axis. | miR-21-5p | [37] |
| VEGFA | miR-497 binds to 3′-UTR of VEGFA mRNA in NSCLC to suppress translation. | miR-497-5p | [38] |
| VEGFA | VEGFA mediates angiogenesis and contributes to cancer growth and metastasis targeting tumor cells including LC. | · | [39] |
| BCL6 | BET inhibition upregulates BCL6 in KRAS-mutant cancers, including NSCLC. | · | [40] |
| BIRC5 | BIRC5 is substantially overexpressed in lung adenocarcinoma. | · | [41] |
| BMI1 | Overexpression of BMI1 is associated with tumor size, poor differentiation, distant metastasis and poor overall survival in NSCLC. | · | [42] |
| BMI1 | miR-128 lowers β-catenin and intracellular signaling pathway-related factors in cancer stem cells, and decreases BMI1. | miR-128 | [43] |
| E2F1 | miR-205-5p targets E2F1 to impair SKP2-mediated Beclin1 ubiquitination, promote autophagy and inhibit pulmonary fibrosis in silicosis | miR-205-5p | [44] |
| E2F3 | miR-497 and miR-34a cooperatively facilitate growth of LC cells via downregulation of E2F3. | miR-497-5p | [45] |
| E2F3 | E2F3 overexpression upregulates anti-apoptotic factor, Bcl-2, contributing to uncontrolled tumor growth in NSCLC. | · | [46] |
| HDGF | Down regulation of miR-497-5p overexpresses HDGF, which is associated with NSCLC tumors and cell lines. | miR-497-5p | [34] |
| HMGB1 | HMGB1 is upregulated in LC by activating Wnt/β-catenin pathway. | · | [47] |
| IGF1R | In NSCLC, the expression of IGF1R is regulated by MLETA1 and cell mobility is promoted by sponging miR-497-5p. | miR-497-5p | [48] |
| LRP6 | RASSF 10, which is under-expressed in LC, binds to LRP 6 through the coiled-coil domains. | · | [49] |
| PDCD4 and PTEN | miR-21 mitigates lung injury by reducing PTEN/Foxo-1-TLR4/NF-KB signaling cascade. | miR-21-5p | [50] |
| RUNX2 | Overexpression of RUNX2/p57 in NSCLC and metastatic LC is associated with H3K27Ac at PI gene promoter region. | · | [51] |
| SMAD7 | Carboplatin suppresses miR-21 to inhibit TGFβ receptor signaling mediated NSCLC cell invasion resulting in upregulation of SMAD7. | miR-21-5p | [52] |
| TP63 | Transactivation domain containing p63 is a target gene of miR-301b, which suggests miR-301b may target TAp63 in NSCLC as a oncomir. | miR-301b | [53] |
| CDC25A | miR-21 deregulates miR-184 and associated with tumor malignancy in NSCLC. | miR-21-5p | [54] |
| ERBB2 * (HER2) | Stat3 leads to miR-21 expression and breast cancer metastasis via ERBB2 regulation. | miR-21-5p | [55] |
| ERBB2 * (HER2) | miR-205-5p is significantly downregulated in breast tumors by targeting ERBB3 and ZEB1 oncogenes. | miR-205-5p | [56] |
| SP1 * | SP1-induced ZFAS1 binds to miR-150-5p, which suppresses colorectal cancer by targeting VEGFA, and causes colorectal cancer progression by upregulating VEGFA. | miR-150-5p | [57] |
| ZEB1 * | ZEB1 is a master regulator of the EMT phenotype in cancer progression. In osteosarcoma cells, MIAT may induce EMT via miR-150/ZEB1 pathway. | miR-150-5p | [58] |
Disclaimer/Publisher’s Note: The statements, opinions and data contained in all publications are solely those of the individual author(s) and contributor(s) and not of MDPI and/or the editor(s). MDPI and/or the editor(s) disclaim responsibility for any injury to people or property resulting from any ideas, methods, instructions or products referred to in the content. |
© 2025 by the authors. Licensee MDPI, Basel, Switzerland. This article is an open access article distributed under the terms and conditions of the Creative Commons Attribution (CC BY) license (https://creativecommons.org/licenses/by/4.0/).
Share and Cite
Kim, Y.J.; Kang, D.H.; Cho, H.; Chung, C.; Lee, J.E.; Shin, Y.-B. Exosomal microRNA Panels for Detecting Early-Stage Non-Small Cell Lung Cancer. Diagnostics 2025, 15, 2735. https://doi.org/10.3390/diagnostics15212735
Kim YJ, Kang DH, Cho H, Chung C, Lee JE, Shin Y-B. Exosomal microRNA Panels for Detecting Early-Stage Non-Small Cell Lung Cancer. Diagnostics. 2025; 15(21):2735. https://doi.org/10.3390/diagnostics15212735
Chicago/Turabian StyleKim, Young Jun, Da Hyun Kang, Hyunmin Cho, Chaeuk Chung, Jeong Eun Lee, and Yong-Beom Shin. 2025. "Exosomal microRNA Panels for Detecting Early-Stage Non-Small Cell Lung Cancer" Diagnostics 15, no. 21: 2735. https://doi.org/10.3390/diagnostics15212735
APA StyleKim, Y. J., Kang, D. H., Cho, H., Chung, C., Lee, J. E., & Shin, Y.-B. (2025). Exosomal microRNA Panels for Detecting Early-Stage Non-Small Cell Lung Cancer. Diagnostics, 15(21), 2735. https://doi.org/10.3390/diagnostics15212735

