Outcomes of Transobturator Tape Surgery for Stress and Mixed Urinary Incontinence: A 12-Year Retrospective Review
Abstract
1. Introduction
2. Materials and Methods
2.1. Study Design and Population
2.2. Follow-Up and Assessments
2.3. Procedural Details of TVT-O Surgery
2.4. Outcomes Measures
2.5. Statistical Analysis
3. Results
3.1. Study Design and Subject Characteristics
3.2. Changes in Symptom Scores and Urodynamic Parameters
3.3. Predictors of Postoperative Pad Usage
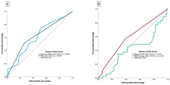
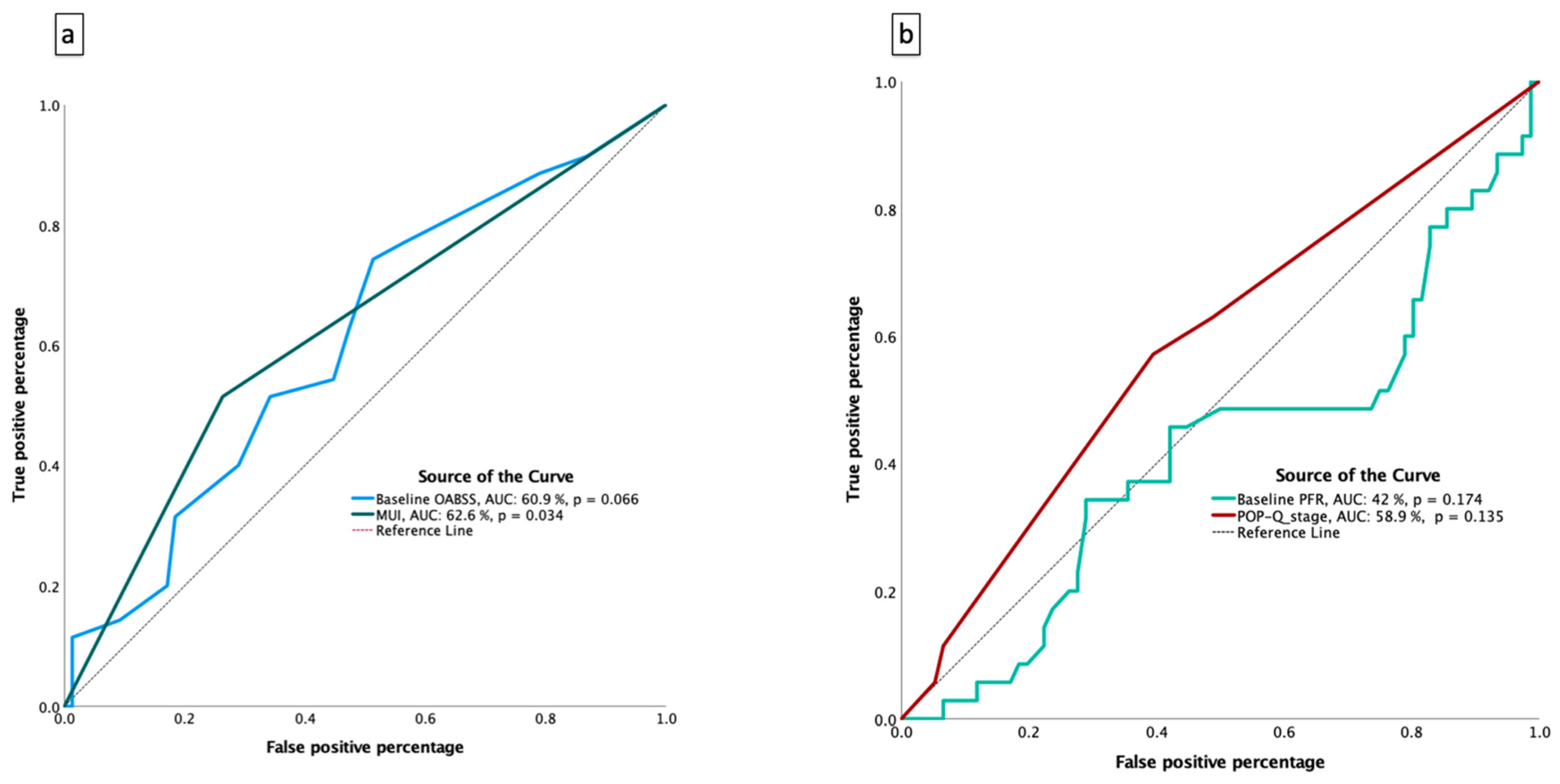
3.4. Baseline Factors Associated with Symptom Response
3.5. Multivariable Analysis of Treatment Response
3.6. Perioperative and Postoperative Complications
4. Discussion
5. Conclusions
Author Contributions
Funding
Institutional Review Board Statement
Informed Consent Statement
Data Availability Statement
Acknowledgments
Conflicts of Interest
References
- Game, X.; Phe, V. Non-neurological overactive bladder and pelvic-perineal pathology in women. Prog. Urol. 2020, 30, 887–894. [Google Scholar] [CrossRef]
- Stivalet-Schoentgen, N.; Perrouin Verbe, M.A.; Campagne-Loiseau, S.; Donon, L.; Levesque, A.; Rigaud, J.; Venara, A.; Thubert, T.; Vidart, A.; Bosset, P.O.; et al. Management of Complications of Prosthetic Mid-urethral Tape Surgery for Stress Urinary Incontinence in Women. Urology 2024, 194, 43–51. [Google Scholar] [CrossRef]
- Liu, H.M.; Lin, H.H.; Hsiao, S.M. Predictors of cure and overactive bladder syndrome after a mid-urethral sling procedure in women with stress urinary incontinence. Maturitas 2022, 156, 18–24. [Google Scholar] [CrossRef]
- Iacovelli, V.; Serati, M.; Bianchi, D.; Braga, A.; Turbanti, A.; Agro, E.F. Preoperative abdominal straining in uncomplicated stress urinary incontinence: Is there a correlation with voiding dysfunction and de novo overactive bladder after mid-urethral sling procedures? Ther. Adv. Urol. 2021, 13, 17562872211058243. [Google Scholar] [CrossRef]
- Pergialiotis, V.; Mudiaga, Z.; Perrea, D.N.; Doumouchtsis, S.K. De novo overactive bladder following midurethral sling procedures: A systematic review of the literature and meta-analysis. Int. Urogynecol. J. 2017, 28, 1631–1638. [Google Scholar] [CrossRef]
- Rubilotta, E.; Ditonno, F.; Gubbiotti, M.; Antonelli, A.; Balzarro, M. Detrusor underactivity and complicated stress urinary incontinence: A cross-data study. Cent. Eur. J. Urol. 2024, 77, 58–63. [Google Scholar] [CrossRef]
- Morsy, S.M.; Farouk, D.; Hassan, S.; Abdelaziz, A.Y.; Hussein, H.A. Does local vaginal estrogen after tension-free transobturator vaginal tape reduce overactive bladder symptoms in postmenopausal women? A prospective randomized, controlled study. Asian J. Urol. 2024, 11, 86–92. [Google Scholar] [CrossRef]
- Hijazi, S.; Karapanos, L.; Halbe, L.; Heidenreich, A.; Hasselhof, V.; Barakat, B.; Synoverskyy, P. Efficacy of botulinum toxin in the management of refractory de novo overactive bladder symptoms in women after midurethral sling placement: Retrospective, single center study. Cent. Eur. J. Urol. 2024, 77, 213–217. [Google Scholar] [CrossRef]
- Braga, A.; Papadia, A.; Gamarra, E.; Caccia, G.; Campitiello, M.R.; Torella, M.; Mesiano, G.; Fiorani, M.; Scancarello, C.; Cimmino, C.; et al. Long-Term Outcomes of Tension-Free Vaginal Tape Obturator: Efficacy and Safety at Long-Term Follow-Up. J. Clin. Med. 2024, 13, 5699. [Google Scholar] [CrossRef]
- Huang, Z.M.; Xiao, H.; Ji, Z.G.; Yan, W.G.; Zhang, Y.S. TVT versus TOT in the treatment of female stress urinary incontinence: A systematic review and meta-analysis. Ther. Clin. Risk Manag. 2018, 14, 2293–2303. [Google Scholar] [CrossRef] [PubMed]
- Abdel-Fattah, M.; Hopper, L.R.; Mostafa, A. Evaluation of transobturator tension-free vaginal tapes in the surgical management of mixed urinary incontinence: 3-year outcomes of a randomized controlled trial. J. Urol. 2014, 191, 114–119. [Google Scholar] [CrossRef]
- Abdel-Fattah, M.; Cao, G.; Mostafa, A. Long-term outcomes for transobturator tension-free vaginal tapes in women with urodynamic mixed urinary incontinence. Neurourol. Urodyn. 2017, 36, 902–908. [Google Scholar] [CrossRef]
- Salo, H.; Sova, H.; Laru, J.; Talvensaari-Mattila, A.; Nyyssonen, V.; Santala, M.; Piltonen, T.; Koivurova, S.; Rossi, H.R. Long-term results of a prospective randomized trial comparing tension-free vaginal tape versus transobturator tape in stress urinary incontinence. Int. Urogynecol. J. 2023, 34, 2249–2256. [Google Scholar] [CrossRef]
- Kobashi, K.C.; Vasavada, S.; Bloschichak, A.; Hermanson, L.; Kaczmarek, J.; Kim, S.K.; Kirkby, E.; Malik, R. Updates to Surgical Treatment of Female Stress Urinary Incontinence (SUI): AUA/SUFU Guideline (2023). J. Urol. 2023, 209, 1091–1098. [Google Scholar] [CrossRef]
- Liu, X.H.; Hu, H.; Zhang, W.Y.; Wang, H.R.; Wang, Q.; Xu, K.X. Repeat mid-urethral sling in management of recurrent or persistent stress urinary incontinence. Chin. Med. J. 2020, 133, 367–368. [Google Scholar] [CrossRef]
- Valadez, L.; Frilot, C.F.; Gomelsky, A. Long-term outcomes of transobturator midurethral slings: A critical evaluation of a real-world population. Neurourol. Urodyn. 2020, 39, 2463–2470. [Google Scholar] [CrossRef] [PubMed]
- Nian, S.; Wang, X.; Lu, Y. Long-Term Subjective Efficacy of Female Stress Urinary Incontinence with Tension-Free Vaginal Tape-Obturator Technique. Int. Urogynecol. J. 2025, 36, 551–556. [Google Scholar] [CrossRef] [PubMed]
- Leone Roberti Maggiore, U.; Finazzi Agro, E.; Soligo, M.; Li Marzi, V.; Digesu, A.; Serati, M. Long-term outcomes of TOT and TVT procedures for the treatment of female stress urinary incontinence: A systematic review and meta-analysis. Int. Urogynecol. J. 2017, 28, 1119–1130. [Google Scholar] [CrossRef]
- Gleason, J.L.; Parden, A.M.; Jauk, V.; Ballard, A.; Sung, V.; Richter, H.E. Outcomes of midurethral sling procedures in women with mixed urinary incontinence. Int. Urogynecol. J. 2015, 26, 715–720. [Google Scholar] [CrossRef] [PubMed]
- Ozkurkcugil, C.; Avci, I.E. Factors predicting treatment success in mixed urinary incontinence treated with midurethral sling. Low. Urin. Tract. Symptoms 2023, 15, 50–56. [Google Scholar] [CrossRef]
- Lee, J.K.; Dwyer, P.L.; Rosamilia, A.; Lim, Y.N.; Polyakov, A.; Stav, K. Persistence of urgency and urge urinary incontinence in women with mixed urinary symptoms after midurethral slings: A multivariate analysis. BJOG 2011, 118, 798–805. [Google Scholar] [CrossRef] [PubMed]
- Tharwat, M.; Ramadan, R.; Abd-ElGawad, M.; Hashem, A.; Taha, D.E. Outcomes of concomitant midurethral sling and anterior colporrhaphy in managing stress urinary incontinence associated with cystocele: A systematic review and single-arm analysis. World J. Urol. 2025, 43, 464. [Google Scholar] [CrossRef] [PubMed]
- Baessler, K.; Christmann-Schmid, C.; Maher, C.; Haya, N.; Crawford, T.J.; Brown, J. Surgery for women with pelvic organ prolapse with or without stress urinary incontinence. Cochrane Database Syst. Rev. 2018, 8, CD013108. [Google Scholar] [CrossRef]
- Chughtai, B.; Laor, L.; Dunphy, C.; Lee, R.; Te, A.; Kaplan, S. Diagnosis, Evaluation, and Treatment of Mixed Urinary Incontinence in Women. Rev. Urol. 2015, 17, 78–83. [Google Scholar] [CrossRef] [PubMed]
- Kwon, J.; Kim, D.Y.; Cho, K.J.; Hashimoto, M.; Matsuoka, K.; Kamijo, T.; Wang, Z.; Karnup, S.; Robertson, A.M.; Tyagi, P.; et al. Pathophysiology of Overactive Bladder and Pharmacologic Treatments Including beta3-Adrenoceptor Agonists-Basic Research Perspectives. Int. Neurourol. J. 2024, 28, 12–33. [Google Scholar] [CrossRef]
- Fowler, C.J. Bladder afferents and their role in the overactive bladder. Urology 2002, 59, 37–42. [Google Scholar] [CrossRef]
- Zyczynski, H.M.; Albo, M.E.; Goldman, H.B.; Wai, C.Y.; Sirls, L.T.; Brubaker, L.; Norton, P.; Varner, R.E.; Carmel, M.; Kim, H.Y.; et al. Change in Overactive Bladder Symptoms After Surgery for Stress Urinary Incontinence in Women. Obstet. Gynecol. 2015, 126, 423–430. [Google Scholar] [CrossRef]
- Zalewski, M.; Kolodynska, G.; Fink-Lwow, F.; Mucha, A.; Andrzejewski, W. The Relationship between Anxiety and Depression Levels and General Health Status before and 12 Months after SUI Treatment in Postmenopausal Women from the Lower Silesian Population. Int. J. Environ. Res. Public Health 2022, 19, 5156. [Google Scholar] [CrossRef]
- Yeni, S.; Jakal, A. Factors associated with increased risk of urge incontinence after trans-obturator tape. Arch. Gynecol. Obstet. 2025, 312, 1345–1352. [Google Scholar] [CrossRef]
- Lo, T.S.; Tan, Y.L.; Pue, L.B.; Chua, S.; Wu, M.P.; Hsieh, W.C. Outcomes of urodynamic mixed urinary incontinence and urodynamic stress incontinence with urgency after mid-urethral sling surgery. Int. Urogynecol. J. 2020, 31, 1949–1957. [Google Scholar] [CrossRef]
- Lo, T.S.; Ng, K.L.; Lin, Y.H.; Hsieh, W.C.; Huang, T.X.; Shen, Y.H. De novo detrusor overactivity and urgency after mid-urethral slings for urodynamic stress incontinence. Int. Urogynecol. J. 2021, 32, 2737–2745. [Google Scholar] [CrossRef] [PubMed]
- McFadden, E.; Lay-Flurrie, S.; Koshiaris, C.; Richards, G.C.; Heneghan, C. The Long-Term Impact of Vaginal Surgical Mesh Devices in UK Primary Care: A Cohort Study in the Clinical Practice Research Datalink. Clin. Epidemiol. 2021, 13, 1167–1180. [Google Scholar] [CrossRef] [PubMed]
- Kirby, A.C.; Nager, C.W. Indications, contraindications, and complications of mesh in the surgical treatment of urinary incontinence. Clin. Obstet. Gynecol. 2013, 56, 257–275. [Google Scholar] [CrossRef] [PubMed]
- Ford, A.A.; Rogerson, L.; Cody, J.D.; Ogah, J. Mid-urethral sling operations for stress urinary incontinence in women. Cochrane Database Syst. Rev. 2015, 1, CD006375. [Google Scholar] [CrossRef]




| Overall (n = 111) | MUI Group (n = 38) | SUI Group (n = 73) | p Value | |
|---|---|---|---|---|
| Age, years | 60.50 ± 10.86 | 62.92 ± 10.99 | 59.25 ± 10.65 | 0.091 |
| Diabetes, n (%) | 22 (19.8) | 5 (13.2) | 17 (23.3) | 0.204 |
| Chronic kidney disease, n (%) | 27 (24.3) | 10 (26.3) | 17 (23.3) | 0.724 |
| Pelvic radiotherapy, n (%) | 3 (2.7) | 1 (2.6) | 2 (2.7) | 1.000 |
| Heart failure | 9 (8.1) | 4 (10.5) | 5 (6.8) | 0.501 |
| Bladder trabeculation, n (%) | 19 (17.3) | 9 (24.3) | 10 (13.7) | 0.164 |
| History of hysterectomy, n (%) | 30 (27.0) | 12 (31.6) | 18 (24.7) | 0.436 |
| Parity, n (%) | 0.537 | |||
| 1 delivery | 10 (9.0) | 4 (10.5) | 6 (8.2) | |
| 2 deliveries | 42 (37.8) | 13 (34.2) | 29 (39.7) | |
| ≥3 deliveries | 59 (53.2) | 21 (55.3) | 38 (52.1) | |
| Body mass index, kg/m2 | 25.14 ± 4.04 | 24.63 ± 3.69 | 25.41 ± 4.21 | 0.346 |
| Pad used before surgery, n (%) | 0.784 | |||
| 0 pads/day | 5 (4.5) | 2 (5.4) | 3 (4.1) | |
| 1 pad/day | 62 (56.4) | 22 (59.5) | 40 (54.8) | |
| ≥2 pads/day | 43 (39.1) | 13 (35.1) | 30 (41.1) | |
| Pad used after surgery, n (%) | 24 (21.8) | 14 (36.8) | 10 (13.9) | 0.006 * |
| Severity of bladder prolapse (POP-Q stage), n (%) | 0.246 | |||
| Stage < 3 | 61 (55.0) | 18 (47.4) | 43 (58.9) | |
| Stage ≥ 3 | 50 (45.0) | 20 (52.6) | 30 (41.1) | |
| Duration of urinary incontinence before surgery, n (%) | 0.572 | |||
| <12 months | 37 (33.3) | 14 (36.8) | 23 (31.5) | |
| ≥12 months | 74 (66.7) | 24 (63.2) | 50 (68.5) | |
| Repeat TVT-O | 6 (5.4) | 2 (5.3) | 4 (5.5) | 0.962 |
| Preoperative anti-incontinence medications, n (%) | 0.366 | |||
| 0–1 medication | 79 (71.2) | 25 (65.8) | 54 (74.0) | |
| ≥2 medications | 32 (28.8) | 13 (34.2) | 19 (26.0) | |
| Preoperative detrusor contraction pressure, cmH2O | 48.36 ± 31.78 | 44.27 ± 31.97 | 50.43 ± 31.70 | 0.339 |
| Preoperative MUCP, cmH2O | 58.47 ± 19.47 | 56.13 ± 19.93 | 59.71 ± 19.23 | 0.362 |
| Variable | Group | Baseline (Pre-op) | 1 Month | 3 Months | 6 Months | p (Time) | p (Group) | p (Interaction) |
|---|---|---|---|---|---|---|---|---|
| RU, mL | SUI | 19.32 ± 22.90 | 18.94 ± 28.36 | — | 13.55 ± 26.97 | 0.029 * | 0.727 | 0.020 * (1M), 0.624 (6M) |
| MUI | 21.84 ± 28.32 | 43.42 ± 76.96 | — | 20.68 ± 29.61 | 0.444 | |||
| PFR, mL/s | SUI | 20.68 ± 29.61 | 20.53 ± 8.20 | — | 22.82 ± 8.15 | 0.001 * | 0.051 | ns |
| MUI | 22.05 ± 8.11 | 19.18 ± 11.89 | — | 19.97 ± 9.32 | 0.250 | |||
| Voiding volume, mL | SUI | 299.70 ± 110.95 | 269.36 ± 128.24 | — | 283.80 ± 108.99 | 0.147 | 0.129 | 0.061 (1M), 0.097 (6M) |
| MUI | 283.97 ± 103.95 | 233.48 ± 126.93 | — | 293.99 ± 127.76 | 0.009 * | |||
| OABSS | SUI | 6.84 ± 3.62 | — | 7.52 ± 3.91 | — | <0.001 * | 0.233 | ns |
| MUI | 7.92 ± 4.04 | — | 7.18 ± 3.70 | — | 0.001 * |
| Univariate, Crude | Multivariable, Model 1 | Multivariable, Model 2 | |||||||
|---|---|---|---|---|---|---|---|---|---|
| OR | 95% CI | p Value | OR | 95% CI | p Value | OR | 95% CI | p Value | |
| Age | 1.025 | 0.983–1.069 | 0.249 | — | — | — | 1.004 | 0.956–1.056 | 0.864 |
| BMI | 1.070 | 0.958–1.195 | 0.233 | — | — | — | 1.100 | 0.967–1.250 | 0.149 |
| Diabetes | 1.578 | 0.536–4.641 | 0.407 | — | — | — | — | — | — |
| Heart failure | 1.905 | 0.439–8.258 | 0.389 | — | — | — | — | — | — |
| Parity | 1.552 | 1.014–2.376 | 0.043 * | 1.454 | 0.919–2.300 | 0.110 | 1.478 | 0.906–2.411 | 0.118 |
| Pre-op pad usage | 1.098 | 0.795–1.515 | 0.571 | — | — | — | — | — | — |
| POP-Q stage | 0.925 | 0.700–1.222 | 0.583 | — | — | — | — | — | — |
| Residual urine | 1.014 | 0.998–1.031 | 0.086 | 1.011 | 0.993–1.029 | 0.228 | 1.008 | 0.990–1.026 | 0.379 |
| Voiding volume | 0.998 | 0.993–1.002 | 0.356 | — | — | — | — | — | — |
| Peak flow rate | 0.956 | 0.902–1.012 | 0.123 | — | — | — | 0.951 | 0.889–1.017 | 0.140 |
| MUI | 3.617 | 1.415–9.244 | 0.007 * | 3.570 | 1.357–9.393 | 0.010 * | 3.855 | 1.379–10.778 | 0.010 * |
| Responder (ΔOABSS ≤ −1, n = 35) | Non-Responder (ΔOABSS > −1, n = 76) | p Value | |
|---|---|---|---|
| Age, years (mean ± SD) | 62.94 ± 10.70 | 59.38 ± 10.81 | 0.109 |
| BMI, kg/m2 (mean ± SD) | 25.25 ± 3.73 | 25.09 ± 4.20 | 0.836 |
| Parity, n (mean ± SD/median) | 2.83 ± 1.10/3 | 2.57 ± 0.99/2 | 0.279 |
| MUI, n (%) | 18 (51.4) | 20 (26.3%) | 0.018 * |
| Baseline OABSS (mean ± SD) | 8.17 ± 3.75 | 6.76 ± 3.75 | 0.070 |
| Diabetes, n (%) | 4 (11.4) | 18 (23.7%) | 0.212 |
| Heart failure, n (%) | 2 (5.7) | 7 (9.2%) | 0.800 |
| POP-Q stage ≥ 3, n (%) | 20 (57.1) | 30 (39.5%) | 0.125 |
| Residual urine (mean ± SD) | 25.83 ± 31.00 | 17.58 ± 21.07 | 0.159 |
| Voiding volume (mean ± SD) | 277.99 ± 127.72 | 301.83 ± 98.26 | 0.332 |
| Peak flow rate (mean ± SD) | 21.31 ± 8.29 | 24.33 ± 8.95 | 0.086 |
| No. of anti-incontinence meds | 1.09 ± 0.98 | 0.89 ± 0.83 | 0.322 |
| Simple Linear Regression | Multiple Regression Analysis, Model 1 | Multiple Regression Analysis, Model 2 | ||||
|---|---|---|---|---|---|---|
| β ± SE | p Value | β ± SE | p Value | β ± SE | p Value | |
| Age | −0.009 ± 0.013 | 0.505 | — | — | 0.008 ± 0.013 | 0.509 |
| BMI | 0.015 ± 0.035 | 0.677 | — | — | 0.010 ± 0.033 | 0.756 |
| Diabetes | 0.887 ± 0.341 | 0.011 * | — | — | — | — |
| Heart failure | −0.578 ± 0.510 | 0.260 | — | — | — | — |
| Parity | −0.159 ± 0.134 | 0.238 | — | — | −0.108 ± 0.134 | 0.422 |
| Baseline OABSS | −0.065 ± 0.037 | 0.079 | −0.041 ± 0.033 | 0.216 | −0.093 ± 0.047 | 0.049 * |
| POP-Q stage | −0.014 ± 0.085 | 0.868 | — | — | — | — |
| Residual urine | −0.006 ± 0.006 | 0.265 | — | — | −0.001 ± 0.006 | 0.905 |
| Voiding volume | 0.001 ± 0.001 | 0.384 | — | — | — | — |
| Peak flow rate | 0.018 ± 0.016 | 0.248 | — | — | 0.005 ± 0.017 | 0.773 |
| MUI | −1.422 ± 0.262 | <0.001 * | −1.377 ± 0.264 | <0.001 * | −1.391 ± 0.275 | <0.001 * |
| No. of anti-incontinence medications | 0.012 ± 0.160 | 0.942 | — | — | 0.316 ± 0.191 | 0.101 |
| Complication | No. of Participants (%) |
|---|---|
| Bladder perforation | 0 (0) |
| Hematoma/bleeding | 0 (0) |
| Urinary retention | 5 (4.5) |
| Groin or thigh pain | 0 (0) |
| Urinary tract infection | 1 (0.9) |
| Sling exposure/erosion | 0 (0) |
Disclaimer/Publisher’s Note: The statements, opinions and data contained in all publications are solely those of the individual author(s) and contributor(s) and not of MDPI and/or the editor(s). MDPI and/or the editor(s) disclaim responsibility for any injury to people or property resulting from any ideas, methods, instructions or products referred to in the content. |
© 2025 by the authors. Licensee MDPI, Basel, Switzerland. This article is an open access article distributed under the terms and conditions of the Creative Commons Attribution (CC BY) license (https://creativecommons.org/licenses/by/4.0/).
Share and Cite
Lin, C.-F.; Chen, H.-Y.; Wu, C.-T.; Liu, K.-L.; Lin, C.-C.; Hsu, H.-J.; Lee, C.-C.; Chen, C.-Y. Outcomes of Transobturator Tape Surgery for Stress and Mixed Urinary Incontinence: A 12-Year Retrospective Review. Diagnostics 2025, 15, 2611. https://doi.org/10.3390/diagnostics15202611
Lin C-F, Chen H-Y, Wu C-T, Liu K-L, Lin C-C, Hsu H-J, Lee C-C, Chen C-Y. Outcomes of Transobturator Tape Surgery for Stress and Mixed Urinary Incontinence: A 12-Year Retrospective Review. Diagnostics. 2025; 15(20):2611. https://doi.org/10.3390/diagnostics15202611
Chicago/Turabian StyleLin, Cheng-Feng, Hung-Yi Chen, Chun-Te Wu, Kuan-Lin Liu, Cheng-Chia Lin, Heng-Jung Hsu, Chin-Chan Lee, and Chun-Yu Chen. 2025. "Outcomes of Transobturator Tape Surgery for Stress and Mixed Urinary Incontinence: A 12-Year Retrospective Review" Diagnostics 15, no. 20: 2611. https://doi.org/10.3390/diagnostics15202611
APA StyleLin, C.-F., Chen, H.-Y., Wu, C.-T., Liu, K.-L., Lin, C.-C., Hsu, H.-J., Lee, C.-C., & Chen, C.-Y. (2025). Outcomes of Transobturator Tape Surgery for Stress and Mixed Urinary Incontinence: A 12-Year Retrospective Review. Diagnostics, 15(20), 2611. https://doi.org/10.3390/diagnostics15202611

