Demographic, Morphological, and Histopathological Characteristics of Melanoma and Nevi: Insights from Statistical Analysis and Machine Learning Models
Abstract
1. Introduction
2. Materials and Methods
2.1. Data Collection
- Cytological Changes (CC)—including features such as clear cell cytoplasm (CCCy), oncocytic transformation, granular cell transformation, and eosinophilic cytoplasmic inclusion bodies.
- Architectural Changes (A)—comprising suprabasal melanocytes, pseudogranulomatous structures, plexiform arrangements, and angioadnexocentric patterns (AA).
- Changes in the Extracellular Matrix (CEM)—including increased elastic fiber prominence (CEM—BL at the base of a lesion, CEM—TL intratumorally), osseous metaplasia (Osteonevus of Nanta), and mucin deposition (CEM-S).
- Changes Imitating Non-Melanocytic Components (CINC)—such as pseudolacunae (CINC-L), Pseudo Dabska-like patterns, neurotization (C-cell and pseudomeissnerian types), lipidization, and glandular/tubular-like formations (CINC-T).
- Interactions with Adjacent Structures (IAS)—including epidermal interactions (IAS-E), folliculitis, and cystic formations (epidermal, dermal, or trichilemmal—IAS-T).
2.2. Data Analysis
3. Results
3.1. Univariate Analysis
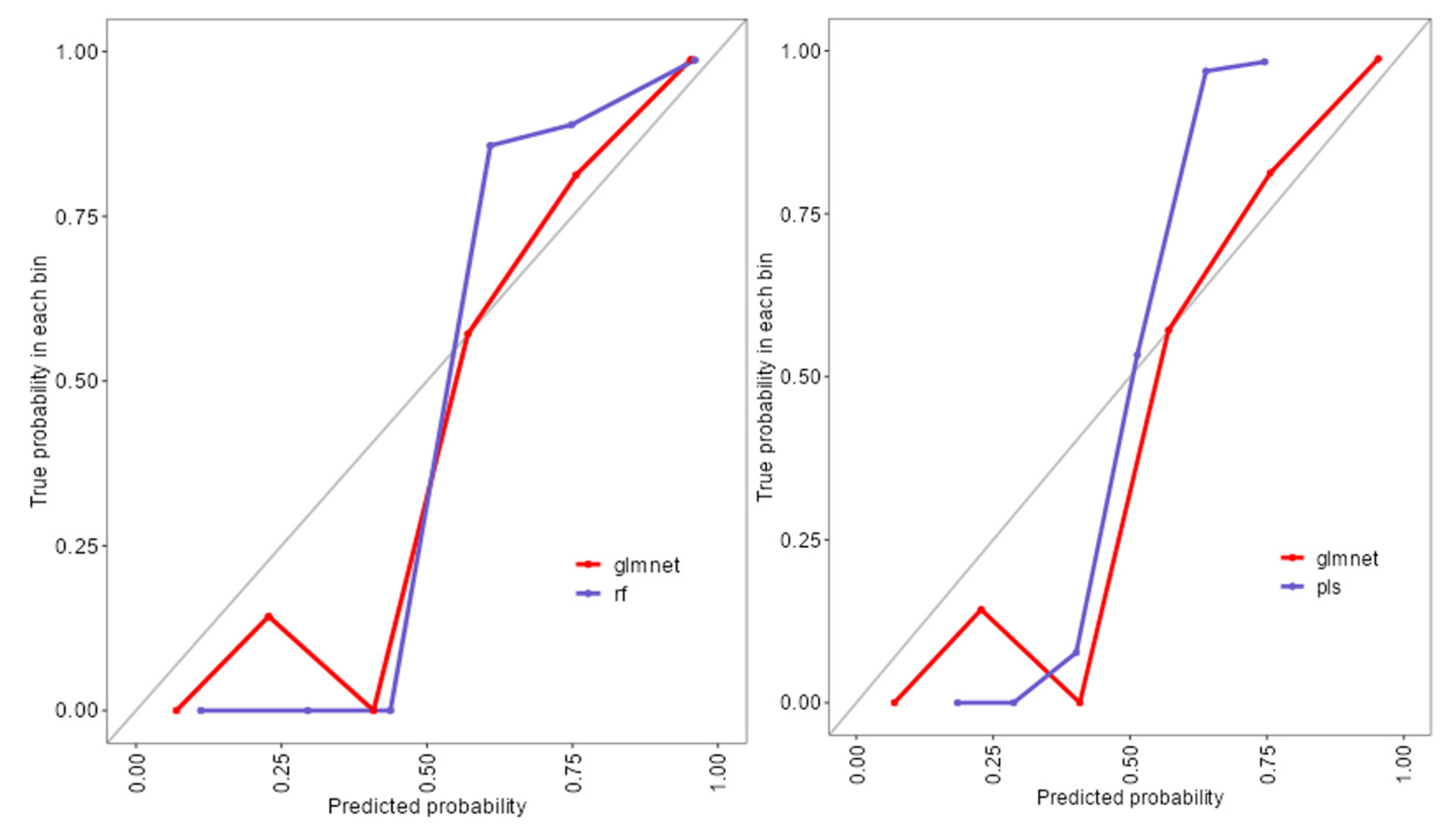
3.2. Machine Learning Models
4. Discussion
5. Conclusions
Author Contributions
Funding
Institutional Review Board Statement
Informed Consent Statement
Data Availability Statement
Conflicts of Interest
Abbreviations
| ML | Machine Learning |
| Glmnet | Elastic Net Regression |
| Rf | Random Forest |
| Pls | Partial Least Squares |
| Knn | k-Nearest Neighbors |
| Ctree | Conditional Inference Trees |
| AUC | Area Under the Receiver Operating Characteristic Curve |
| OR | Odds Ratio |
| CC | Cytological Changes |
| AA | Architectural Changes |
| CEM | Changes in the Extracellular Matrix |
| CINC | Changes Imitating Non-Melanocytic Components |
| IAS | Interactions with Adjacent Structures |
| PIT | Pityrosporum |
References
- Siegel, R.L.; Miller, K.D.; Fuchs, H.E.; Jemal, A. Cancer statistics. CA Cancer J. Clin. 2023, 73, 17–48. [Google Scholar] [CrossRef] [PubMed]
- Leiter, U.; Keim, U.; Eigentler, T.; Katalinic, A.; Holleczek, B.; Martus, P.; Garbe, C. Incidence, Mortality, and Trends of Nonmelanoma Skin Cancer in Germany. J. Investig. Dermatol. 2017, 137, 1860–1867. [Google Scholar] [CrossRef] [PubMed]
- Leiter, U.; Keim, U.; Garbe, C. Epidemiology of Skin Cancer: Update 2019. Adv. Exp. Med. Biol. 2020, 1268, 123–139. [Google Scholar] [CrossRef] [PubMed]
- Marchetti, M.A.; Liopyris, K.; Dusza, S.W.; Codella, N.C.F.; Gutman, D.A.; Helba, B.; Kalloo, A.; Halpern, A.C.; International Skin Imaging Collaboration. Computer algorithms show potential for improving dermatologists’ accuracy to diagnose cutaneous melanoma: Results of the International Skin Imaging Collaboration 2017. J. Am. Acad. Dermatol. 2020, 82, 622–627. [Google Scholar] [CrossRef] [PubMed] [PubMed Central]
- Waqar, S.; George, S.; Jean-Baptiste, W.; Yusuf Ali, A.; Inyang, B.; Koshy, F.S.; George, K.; Poudel, P.; Chalasani, R.; Goonathilake, M.R.; et al. Recognizing Histopathological Simulators of Melanoma to Avoid Misdiagnosis. Cureus 2022, 14, e26127. [Google Scholar] [CrossRef] [PubMed] [PubMed Central]
- Alsayyah, A. Differentiating between early melanomas and melanocytic nevi: A state-of-the-art review. Pathol. Res. Pract. 2023, 249, 154734. [Google Scholar] [CrossRef] [PubMed]
- Kassem, M.A.; Hosny, K.M.; Damaševičius, R.; Eltoukhy, M.M. Machine Learning and Deep Learning Methods for Skin Lesion Classification and Diagnosis: A Systematic Review. Diagnostics 2021, 11, 1390. [Google Scholar] [CrossRef] [PubMed]
- Brinker, T.J.; Hekler, A.; Enk, A.H.; Klode, J.; Hauschild, A.; Berking, C.; Schilling, B.; Haferkamp, S.; Schadendorf, D.; Holland-Letz, T.; et al. Deep learning outperformed 136 of 157 dermatologists in a head-to-head dermoscopic melanoma image classification task. Eur. J. Cancer 2019, 113, 47–54. [Google Scholar] [CrossRef] [PubMed]
- Tschandl, P.; Rinner, C.; Apalla, Z.; Argenziano, G.; Codella, N.; Halpern, A.; Janda, M.; Lallas, A.; Longo, C.; Malvehy, J.; et al. Human–computer collaboration for skin cancer recognition. Nat. Med. 2020, 26, 1229–1234. [Google Scholar] [CrossRef] [PubMed]
- Bancroft, J.D.; Gamble, M. Theory and Practice of Histological Techniques, 6th ed.; Churchill Livingstone: Philadelphia, PA, USA, 2008. [Google Scholar]
- Suvarna, S.K.; Layton, C.; Bancroft, J.D. Bancroft’s Theory and Practice of Histological Techniques, 8th ed.; Elsevier: Amsterdam, The Netherlands, 2019. [Google Scholar]
- Addinsoft. XLSTAT Statistical and Data Analysis Solution, version 2024.1 Computer Software; Addinsoft: Paris, France, 2024. Available online: https://www.xlstat.com (accessed on 24 September 2025).
- Jamovi, version 2.4; The Jamovi Project. Computer Software, 2023. Available online: https://www.jamovi.org (accessed on 24 September 2025).
- Ratner, B.; SnowCluster: Machine Learning Module for Jamovi. Computer Software. 2023. Available online: https://www.jamovi.org (accessed on 24 September 2025).
- Wold, S.; Sjöström, M.; Eriksson, L. PLS-regression: A basic tool of chemometrics. Chemom. Intell. Lab. Syst. 2001, 58, 109–130. [Google Scholar] [CrossRef]
- Hothorn, T.; Hornik, K.; Zeileis, A. Unbiased recursive partitioning: A conditional inference framework. J. Comput. Graph. Stat. 2006, 15, 651–674. [Google Scholar] [CrossRef]
- Breiman, L. Random forests. Mach. Learn. 2001, 45, 5–32. [Google Scholar] [CrossRef]
- Zou, H.; Hastie, T. Regularization and variable selection via the elastic net. J. R. Stat. Soc. Ser. B (Stat. Methodol.) 2005, 67, 301–320. [Google Scholar] [CrossRef]
- Cover, T.; Hart, P. Nearest neighbor pattern classification. IEEE Trans. Inf. Theory 1967, 13, 21–27. [Google Scholar] [CrossRef]
- James, G.; Witten, D.; Hastie, T.; Tibshirani, R. An Introduction to Statistical Learning: With Applications in R; Springer: Berlin/Heidelberg, Germany, 2013. [Google Scholar] [CrossRef]
- Kuhn, M.; Johnson, K. Applied Predictive Modeling; Springer: Berlin/Heidelberg, Germany, 2013. [Google Scholar] [CrossRef]
- Waseh, S.; Lee, J.B. Advances in melanoma: Epidemiology, diagnosis, and prognosis. Front. Med. 2023, 10, 1268479. [Google Scholar] [CrossRef] [PubMed]
- Yuan, Z.; Li, Y.; Zhang, S.; Wang, X.; Dou, H.; Yu, X.; Zhang, Z.; Yang, S.; Xiao, M. Extracellular matrix remodeling in tumor progression and immune escape: From mechanisms to treatments. Mol. Cancer. 2023, 22, 48. [Google Scholar] [CrossRef] [PubMed] [PubMed Central]
- Mooi, W.; Krausz, T. Pathology of Melanocytic Disorders, 2nd ed.; CRC Press: Boca Raton, FL, USA, 2007. [Google Scholar] [CrossRef]
- Esteva, A.; Chou, K.; Yeung, S.; Naik, N.; Madani, A.; Mottaghi, A.; Liu, Y.; Topol, E.; Dean, J.; Socher, R. Deep learning-enabled medical computer vision. NPJ Digit. Med. 2021, 4, 5. [Google Scholar] [CrossRef] [PubMed] [PubMed Central]
- Bechelli, S.; Delhommelle, J. Machine Learning and Deep Learning Algorithms for Skin Cancer Classification from Dermoscopic Images. Bioengineering 2022, 9, 97. [Google Scholar] [CrossRef] [PubMed] [PubMed Central]





| Predictor | Melanocytic Lesion | N | Q1/Med/Q3 | AM ± SD | MW, p-Value | Squared Correlation Ratio |
|---|---|---|---|---|---|---|
| Age | 182 | 33.00/42.00/58.00 | 45.51 ± 18.10 | |||
| M | 42 | 55.75/66.50/74.75 | 66.48 ± 12.41 | <0.0001 | 0.4048 | |
| N | 140 | 30.00/37.00/48.00 | 39.21 ± 14.44 | |||
| dH (cm) | 182 | 0.50/0.80/1.20 | 1.00 ± 0.73 | |||
| M | 42 | 1.20/1.55/2.45 | 1.80 ± 0.85 | <0.0001 | 0.3554 | |
| N | 140 | 0.40/0.70/1.00 | 0.76 ± 0.49 | |||
| dV (cm) | 182 | 0.20/0.40/0.58 | 0.42 ± 0.27 | |||
| M | 42 | 0.30/0.50/0.60 | 0.51 ± 0.30 | 0.0171 | 0.0306 | |
| N | 140 | 0.20/0.35/0.50 | 0.39 ± 0.26 | |||
| Predictor | Melanocytic Lesion | Significance by Cell (Fisher’s Exact Test) | χ2 Test | Association Coefficients | |||
|---|---|---|---|---|---|---|---|
| Melanoma (M) | Nevi (N) | ||||||
| Frequency (Proportion) | Frequency (Proportion) | M | N | p-Value | |||
| Gender | Female | 17 (0.093) | 109 (0.599) | < | > | <0.0001 | Odds Ratio 0.193 [0.094;0.400] |
| Male | 25 (0.137) | 31 (0.170) | > | < | |||
| Location | 0 | 3 (0.016) | 24 (0.132) | < | 0.0030 | Cramer’s V 0.2967 | |
| 1 | 10 (0.055) | 55 (0.302) | < | ||||
| 2 | 3 (0.016) | 5 (0.027) | |||||
| 3 | 19 (0.104) | 52 (0.286) | |||||
| 4 | 7 (0.038) | 4 (0.022) | > | < | |||
| Predictor | Category | Melanocytic Lesion | Significance by Cell (Fisher’s Exact Test) | χ2 Test | Odds Ratio [95% CI] | ||
|---|---|---|---|---|---|---|---|
| Melanoma (M) | Nevi (N) | ||||||
| Frequency (Proportion) | Frequency (Proportion) | M | N | p-Value | |||
| CCCy | 0 | 24 (0.132) | 132 (0.725) | < | > | <0.0001 | 0.081 [0.032;0.203] |
| 1 | 18 (0.099) | 8 (0.044) | > | < | |||
| AA | 0 | 27 (0.148) | 78 (0.429) | 0.3241 | 1.431 [0.707;2.898] | ||
| 1 | 15 (0.082) | 62 (0.341) | |||||
| CINC-L | 0 | 42 (0.231) | 116 (0.637) | > | < | 0.0040 | |
| 1 | 0 (0.000) | 24 (0.132) | < | > | |||
| CINC-T | 0 | 42 (0.231) | 110 (0.604) | > | < | 0.0010 | |
| 1 | 0 (0.000) | 30 (0.165) | < | > | |||
| CEM-BL | 0 | 17 (0.093) | 11 (0.060) | > | < | <0.0001 | 7.975 [3.386;18.782] |
| 1 | 25 (0.137) | 129 (0.709) | < | > | |||
| CEM-TL | 0 | 27 (0.148) | 26 (0.143) | > | < | <0.0001 | 7.892 [3.719;16.747] |
| 1 | 15 (0.082) | 114 (0.626) | < | > | |||
| CEM-S | 0 | 23 (0.126) | 28 (0.154) | > | < | <0.0001 | 4.842 [2.339;10.024] |
| 1 | 19 (0.104) | 112 (0.615) | < | > | |||
| IAS-F | 0 | 31 (0.170) | 113 (0.621) | 0.3342 | 0.673 [0.305;1.489] | ||
| 1 | 11 (0.060) | 27 (0.148) | |||||
| IAS-T | 0 | 38 (0.209) | 134 (0.736) | 0.1914 | 0.425 [0.121;1.491] | ||
| 1 | 4 (0.022) | 6 (0.033) | |||||
| IAS-E | 0 | 39 (0.214) | 69 (0.379) | > | < | <0.0001 | 13.377 [4.270;41.903] |
| 1 | 3 (0.016) | 71 (0.390) | < | > | |||
| PIT | 0 | 40 (0.220) | 102 (0.560) | > | < | 0.0021 | 7.451 [1.971;28.170] |
| 1 | 2 (0.011) | 38 (0.209) | < | > | |||
| Metric | Training Set | Test Set |
|---|---|---|
| Accuracy | 0.953 (CI: 0.901–0.983) | 0.926 (CI: 0.821–0.979) |
| Kappa | 0.863 | 0.772 |
| Sensitivity | 0.833 | 0.750 |
| Specificity | 0.990 | 0.976 |
| F1 Score | 0.893 | 0.893 |
| Balanced Accuracy | 0.912 | 0.863 |
| Predicted | |||
|---|---|---|---|
| M | N | ||
| Training set | M | 25 | 1 |
| N | 5 | 97 | |
| Test set | M | 9 | 1 |
| N | 3 | 41 | |
Disclaimer/Publisher’s Note: The statements, opinions and data contained in all publications are solely those of the individual author(s) and contributor(s) and not of MDPI and/or the editor(s). MDPI and/or the editor(s) disclaim responsibility for any injury to people or property resulting from any ideas, methods, instructions or products referred to in the content. |
© 2025 by the authors. Licensee MDPI, Basel, Switzerland. This article is an open access article distributed under the terms and conditions of the Creative Commons Attribution (CC BY) license (https://creativecommons.org/licenses/by/4.0/).
Share and Cite
Lazarova, B.; Petrushevska, G.; Stojanovska, Z.; Mullins, S.C. Demographic, Morphological, and Histopathological Characteristics of Melanoma and Nevi: Insights from Statistical Analysis and Machine Learning Models. Diagnostics 2025, 15, 2499. https://doi.org/10.3390/diagnostics15192499
Lazarova B, Petrushevska G, Stojanovska Z, Mullins SC. Demographic, Morphological, and Histopathological Characteristics of Melanoma and Nevi: Insights from Statistical Analysis and Machine Learning Models. Diagnostics. 2025; 15(19):2499. https://doi.org/10.3390/diagnostics15192499
Chicago/Turabian StyleLazarova, Blagjica, Gordana Petrushevska, Zdenka Stojanovska, and Stephen C. Mullins. 2025. "Demographic, Morphological, and Histopathological Characteristics of Melanoma and Nevi: Insights from Statistical Analysis and Machine Learning Models" Diagnostics 15, no. 19: 2499. https://doi.org/10.3390/diagnostics15192499
APA StyleLazarova, B., Petrushevska, G., Stojanovska, Z., & Mullins, S. C. (2025). Demographic, Morphological, and Histopathological Characteristics of Melanoma and Nevi: Insights from Statistical Analysis and Machine Learning Models. Diagnostics, 15(19), 2499. https://doi.org/10.3390/diagnostics15192499

