The Relationship Between Non-Invasive Tests and Digital Pathology for Quantifying Liver Fibrosis in MASLD
Abstract
1. Introduction
2. Methods
2.1. Study Population
2.2. MRI Measurements
2.3. Vibration-Controlled Transient Elastography (VCTE) Measurements
2.4. Clinical and Laboratory Data
2.5. Sample Preparation
2.6. Liver Biopsy
2.7. Two-Photon Microscopy/Second-Harmonic Generation
2.8. Image Analysis
2.9. Statistical Analysis
3. Results
3.1. Basic Characteristics of the Study Population
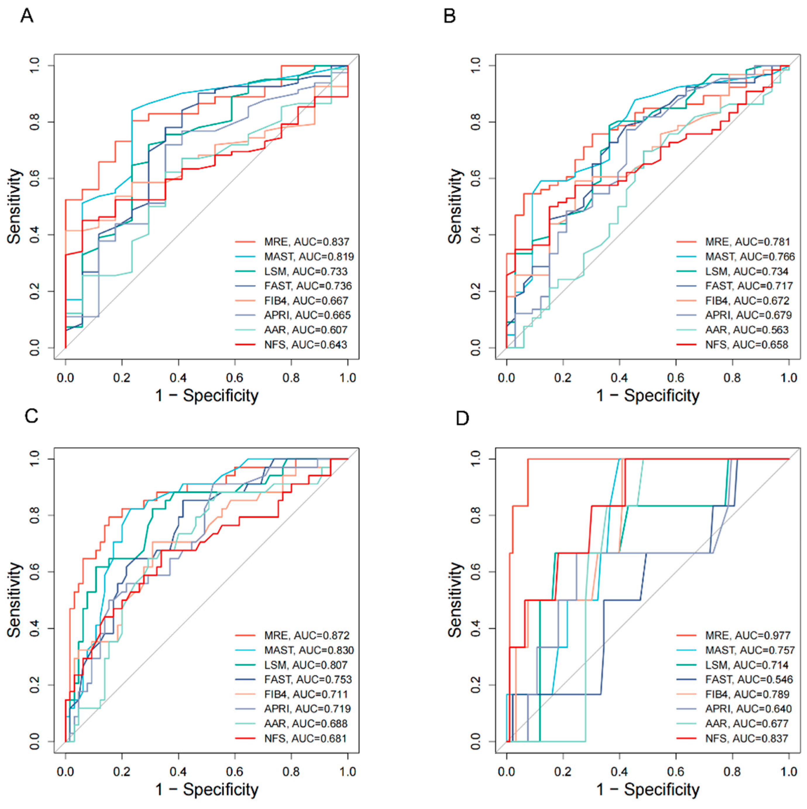
3.2. Accuracy of q-FPs and NITs in the Diagnosis of Liver Fibrosis
3.3. Correlation Between q-FPs Parameters and Liver Fibrosis Stages
3.4. Correlation Between q-FPs Parameters and Non-Invasive Testings
4. Discussion
Supplementary Materials
Author Contributions
Funding
Institutional Review Board Statement
Informed Consent Statement
Data Availability Statement
Conflicts of Interest
Abbreviations
References
- Younossi, Z.M.; Golabi, P.; Paik, J.M.; Henry, A.; Van Dongen, C.; Henry, L. The global epidemiology of nonalcoholic fatty liver disease (NAFLD) and nonalcoholic steatohepatitis (NASH): A systematic review. Hepatology 2023, 77, 1335–1347. [Google Scholar] [CrossRef] [PubMed]
- Miao, L.; Targher, G.; Byrne, C.D.; Cao, Y.Y.; Zheng, M.H. Current status and future trends of the global burden of MASLD. Trends Endocrinol. Metab. 2024, 35, 697–707. [Google Scholar] [CrossRef]
- Kleiner, D.E.; Brunt, E.M.; Van Natta, M.; Behling, C.; Contos, M.J.; Cummings, O.W.; Ferrell, L.D.; Liu, Y.C.; Torbenson, M.S.; Unalp-Arida, A.; et al. Design and validation of a histological scoring system for nonalcoholic fatty liver disease. Hepatology 2005, 41, 1313–1321. [Google Scholar] [CrossRef]
- Hagström, H.; Shang, Y.; Hegmar, H.; Nasr, P. Natural history and progression of metabolic dysfunction-associated steatotic liver disease. Lancet Gastroenterol. Hepatol. 2024, 9, 944–956. [Google Scholar] [CrossRef]
- Hagström, H.; Nasr, P.; Ekstedt, M.; Hammar, U.; Stål, P.; Hultcrantz, R.; Kechagias, S. Fibrosis stage but not NASH predicts mortality and time to development of severe liver disease in biopsy-proven NAFLD. J. Hepatol. 2017, 67, 1265–1273. [Google Scholar] [CrossRef]
- Ekstedt, M.; Hagström, H.; Nasr, P.; Fredrikson, M.; Stål, P.; Kechagias, S.; Hultcrantz, R. Fibrosis stage is the strongest predictor for disease-specific mortality in NAFLD after up to 33 years of follow-up. Hepatology 2015, 61, 1547–1554. [Google Scholar] [CrossRef]
- Nalbantoglu, I.L.; Brunt, E.M. Role of liver biopsy in nonalcoholic fatty liver disease. World J. Gastroenterol. 2014, 20, 9026–9037. [Google Scholar] [CrossRef]
- Pavlides, M.; Birks, J.; Fryer, E.; Delaney, D.; Sarania, N.; Banerjee, R.; Neubauer, S.; Barnes, E.; Fleming, K.A.; Wang, L.M. Interobserver Variability in Histologic Evaluation of Liver Fibrosis Using Categorical and Quantitative Scores. Am. J. Clin. Pathol. 2017, 147, 364–369. [Google Scholar] [CrossRef] [PubMed]
- Kostadinova, R.; Ströbel, S.; Chen, L.; Fiaschetti-Egli, K.; Gadient, J.; Pawlowska, A.; Petitjean, L.; Bieri, M.; Thoma, E.; Petitjean, M. Digital pathology with artificial intelligence analysis provides insight to the efficacy of anti-fibrotic compounds in human 3D MASH model. Sci. Rep. 2024, 14, 5885. [Google Scholar] [CrossRef] [PubMed]
- De Rudder, M.; Bouzin, C.; Nachit, M.; Louvegny, H.; Vande Velde, G.; Julé, Y.; Leclercq, I.A. Automated computerized image analysis for the user-independent evaluation of disease severity in preclinical models of NAFLD/NASH. Lab. Investig. 2020, 100, 147–160. [Google Scholar] [CrossRef]
- Iyer, J.S.; Pokkalla, H.; Biddle-Snead, C.; Carrasco-Zevallos, O.; Lin, M.; Shanis, Z.; Le, Q.; Juyal, D.; Pouryahya, M.; Pedawi, A.; et al. AI-based histologic scoring enables automated and reproducible assessment of enrollment criteria and endpoints in NASH clinical trials. medRxiv 2023. [Google Scholar] [CrossRef] [PubMed]
- Wang, Y.; Wong, G.L.; He, F.P.; Sun, J.; Chan, A.W.; Yang, J.; Shu, S.S.; Liang, X.; Tse, Y.K.; Fan, X.T.; et al. Quantifying and monitoring fibrosis in non-alcoholic fatty liver disease using dual-photon microscopy. Gut 2020, 69, 1116–1126. [Google Scholar] [CrossRef]
- Xu, S.; Wang, Y.; Tai, D.C.S.; Wang, S.; Cheng, C.L.; Peng, Q.; Yan, J.; Chen, Y.; Sun, J.; Liang, X.; et al. qFibrosis: A fully-quantitative innovative method incorporating histological features to facilitate accurate fibrosis scoring in animal model and chronic hepatitis B patients. J. Hepatol. 2014, 61, 260–269. [Google Scholar] [CrossRef] [PubMed]
- Gailhouste, L.; Le Grand, Y.; Odin, C.; Guyader, D.; Turlin, B.; Ezan, F.; Désille, Y.; Guilbert, T.; Bessard, A.; Frémin, C.; et al. Fibrillar collagen scoring by second harmonic microscopy: A new tool in the assessment of liver fibrosis. J. Hepatol. 2010, 52, 398–406. [Google Scholar] [CrossRef]
- Sun, W.; Chang, S.; Tai, D.C.; Tan, N.; Xiao, G.; Tang, H.; Yu, H. Nonlinear optical microscopy: Use of second harmonic generation and two-photon microscopy for automated quantitative liver fibrosis studies. J. Biomed. Opt. 2008, 13, 064010. [Google Scholar] [CrossRef]
- Tang, A.; Cloutier, G.; Szeverenyi, N.M.; Sirlin, C.B. Ultrasound Elastography and MR Elastography for Assessing Liver Fibrosis: Part 1, Principles and Techniques. AJR Am. J. Roentgenol. 2015, 205, 22–32. [Google Scholar] [CrossRef] [PubMed]
- Tincopa, M.A.; Loomba, R. Noninvasive Tests to Assess Fibrosis and Disease Severity in Metabolic Dysfunction-Associated Steatotic Liver Disease. Semin. Liver Dis. 2024, 44, 287–299. [Google Scholar] [CrossRef]
- Castera, L.; Friedrich-Rust, M.; Loomba, R. Noninvasive Assessment of Liver Disease in Patients With Nonalcoholic Fatty Liver Disease. Gastroenterology 2019, 156, 1264–1281.e1264. [Google Scholar] [CrossRef]
- Rinella, M.E.; Lazarus, J.V.; Ratziu, V.; Francque, S.M.; Sanyal, A.J.; Kanwal, F.; Romero, D.; Abdelmalek, M.F.; Anstee, Q.M.; Arab, J.P.; et al. A multisociety Delphi consensus statement on new fatty liver disease nomenclature. J. Hepatol. 2023, 79, 1542–1556. [Google Scholar] [CrossRef]
- Jung, K.S.; Kim, S.U. Clinical applications of transient elastography. Clin. Mol. Hepatol. 2012, 18, 163–173. [Google Scholar] [CrossRef]
- Noureddin, M.; Truong, E.; Gornbein, J.A.; Saouaf, R.; Guindi, M.; Todo, T.; Noureddin, N.; Yang, J.D.; Harrison, S.A.; Alkhouri, N. MRI-based (MAST) score accurately identifies patients with NASH and significant fibrosis. J. Hepatol. 2022, 76, 781–787. [Google Scholar] [CrossRef]
- Newsome, P.N.; Sasso, M.; Deeks, J.J.; Paredes, A.; Boursier, J.; Chan, W.K.; Yilmaz, Y.; Czernichow, S.; Zheng, M.H.; Wong, V.W.; et al. FibroScan-AST (FAST) score for the non-invasive identification of patients with non-alcoholic steatohepatitis with significant activity and fibrosis: A prospective derivation and global validation study. Lancet Gastroenterol. Hepatol. 2020, 5, 362–373. [Google Scholar] [CrossRef] [PubMed]
- Sterling, R.K.; Lissen, E.; Clumeck, N.; Sola, R.; Correa, M.C.; Montaner, J.; Sulkowski, S.M.; Torriani, F.J.; Dieterich, D.T.; Thomas, D.L.; et al. Development of a simple noninvasive index to predict significant fibrosis in patients with HIV/HCV coinfection. Hepatology 2006, 43, 1317–1325. [Google Scholar] [CrossRef] [PubMed]
- Angulo, P.; Hui, J.M.; Marchesini, G.; Bugianesi, E.; George, J.; Farrell, G.C.; Enders, F.; Saksena, S.; Burt, A.D.; Bida, J.P.; et al. The NAFLD fibrosis score: A noninvasive system that identifies liver fibrosis in patients with NAFLD. Hepatology 2007, 45, 846–854. [Google Scholar] [CrossRef]
- Wai, C.T.; Greenson, J.K.; Fontana, R.J.; Kalbfleisch, J.D.; Marrero, J.A.; Conjeevaram, H.S.; Lok, A.S. A simple noninvasive index can predict both significant fibrosis and cirrhosis in patients with chronic hepatitis C. Hepatology 2003, 38, 518–526. [Google Scholar] [CrossRef]
- Liang, J.-X.; Ampuero, J.; Niu, H.; Imajo, K.; Noureddin, M.; Behari, J.; Lee, D.H.; Ehman, R.L.; Rorsman, F.; Vessby, J.; et al. An individual patient data meta-analysis to determine cut-offs for and confounders of NAFLD-fibrosis staging with magnetic resonance elastography. J. Hepatol. 2023, 79, 592–604. [Google Scholar] [CrossRef]
- European Association for the Study of the Liver (EASL); European Association for the Study of Diabetes (EASD); European Association for the Study of Obesity (EASO). EASL-EASD-EASO Clinical Practice Guidelines on the management of metabolic dysfunction-associated steatotic liver disease (MASLD). J. Hepatol. 2024, 81, 492–542. [Google Scholar] [CrossRef]
- Wang, Y.; Vincent, R.; Zhang, J.; Yang, J.; Mirshahi, F.; Sanyal, A. Dual-photon microscopy-based quantitation of fibrosis-related parameters (q-FP) to model disease progression in steatohepatitis. J. Hepatol. 2017, 65, 1891–1903. [Google Scholar] [CrossRef]
- Chang, P.E.; Goh, G.B.B.; Leow, W.Q.; Shen, L.; Lim, K.H.; Tan, C.K. Second harmonic generation microscopy provides accurate automated staging of liver fibrosis in patients with non-alcoholic fatty liver disease. PLoS ONE 2018, 13, e0199166. [Google Scholar] [CrossRef] [PubMed]
- Liu, F.; Zhao, J.M.; Rao, H.Y.; Yu, W.M.; Zhang, W.; Theise, N.D.; Wee, A.; Wei, L. Second Harmonic Generation Reveals Subtle Fibrosis Differences in Adult and Pediatric Nonalcoholic Fatty Liver Disease. Am. J. Clin. Pathol. 2017, 148, 502–512. [Google Scholar] [CrossRef]
- Liu, F.; Goh, G.B.; Tiniakos, D.; Wee, A.; Leow, W.; Zhao, J.; Rao, H.; Wang, X.; Wang, Q.; Wan, W.; et al. qFIBS: An Automated Technique for Quantitative Evaluation of Fibrosis, Inflammation, Ballooning, and Steatosis in Patients with Nonalcoholic Steatohepatitis. Hepatology 2020, 71, 1953–1966. [Google Scholar] [CrossRef] [PubMed]
- Harrison, S.A.; Taub, R.; Neff, G.W.; Lucas, K.J.; Labriola, D.; Moussa, S.E.; Alkhouri, N.; Bashir, M.R. Resmetirom for nonalcoholic fatty liver disease: A randomized, double-blind, placebo-controlled phase 3 trial. Nat. Med. 2023, 29, 2919–2928. [Google Scholar] [CrossRef]
- Harrison, S.A.; Bedossa, P.; Guy, C.D.; Schattenberg, J.M.; Loomba, R.; Taub, R.; Labriola, D.; Moussa, S.E.; Neff, G.W.; Rinella, M.E.; et al. A Phase 3, Randomized, Controlled Trial of Resmetirom in NASH with Liver Fibrosis. N. Engl. J. Med. 2024, 390, 497–509. [Google Scholar] [CrossRef]
- Naoumov, N.V.; Kleiner, D.E.; Chng, E.; Brees, D.; Saravanan, C.; Ren, Y.; Tai, D.; Sanyal, A.J. Digital quantitation of bridging fibrosis and septa reveals changes in natural history and treatment not seen with conventional histology. Liver Int. 2024, 44, 3214–3228. [Google Scholar] [CrossRef]
- Ratziu, V.; Charlotte, F.; Heurtier, A.; Gombert, S.; Giral, P.; Bruckert, E.; Grimaldi, A.; Capron, F.; Poynard, T.; LIDO Study Group. Sampling variability of liver biopsy in nonalcoholic fatty liver disease. Gastroenterology 2005, 128, 1898–1906. [Google Scholar] [CrossRef] [PubMed]
- Kostallari, E.; Wei, B.; Sicard, D.; Li, J.; Cooper, S.A.; Gao, J.; Dehankar, M.; Li, Y.; Cao, S.; Yin, M.; et al. Stiffness is associated with hepatic stellate cell heterogeneity during liver fibrosis. Am. J. Physiol. Liver Physiol. 2022, 322, G234–G246. [Google Scholar] [CrossRef] [PubMed]





| Variable | Total (n = 99) | F0 (n = 17) | F1 (n = 16) | F2 (n = 32) | F3 (n = 28) | F4 (n = 6) | p Value |
|---|---|---|---|---|---|---|---|
| Clinical characteristics | |||||||
| Male, n (%) | 59 (59.60) | 14 (82.35) | 10 (62.50) | 17 (53.12) | 14 (50.00) | 4 (66.67) | 0.243 |
| Age, years | 39 (32, 51) | 38 (32, 42) | 37 (29, 44) | 46 (33, 55) | 38 (32, 59) | 56 (40, 63) | 0.136 |
| BMI, kg/m2 | 27.9(26.1, 30.2) | 28.8 (25.4, 30.1) | 27.1 (25.8, 29.6) | 27.7 (26.3, 29.3) | 28.1 (26.0, 33.8) | 28.5(27.4,29.8) | 0.835 |
| HT, n (%) | 28 (28.28) | 4 (23.53) | 2 (12.50) | 7 (21.88) | 11 (39.29) | 4 (66.67) | 0.075 |
| Diabetes, n (%) | 28 (28.28) | 3 (17.65) | 4 (25.00) | 10 (31.25) | 7 (25.00) | 4 (66.67) | 0.266 |
| Laboratory tests | |||||||
| ALT, U/L | 81 (57, 123) | 67 (53, 98) | 73 (44, 116) | 89 (65, 126) | 99 (71, 125) | 59 (51, 67) | 0.238 |
| AST, U/L | 53 (40, 88) | 39 (33, 46) | 58 (37, 72) | 50 (42, 89) | 68 (53, 107) a* | 51 (41, 58) | 0.006 |
| TBIL, µmol/L | 17.42 (6.35) | 19.20 (6.01) | 18.29 (7.88) | 16.17 (5.80) | 17.02 (6.69) | 18.62 (3.63) | 0.532 |
| ALB, g/L | 47 (44, 49) | 48 (46, 49) | 48 (44, 50) | 47 (45, 49) | 45 (44, 48) | 45 (41, 49) | 0.485 |
| GGT, U/L | 56 (34, 91) | 38 (31, 56) | 49 (34, 78) | 40 (31, 69) | 72 (55, 97) | 96 (70, 135) | 0.030 |
| HB, g/L | 149 (13) | 155 (9) | 150 (12) | 148 (14) | 148 (12) | 143 (18) | 0.259 |
| PLT, 109/L | 241 (67) | 247 (52) | 281 (69) | 244 (53) | 226 (76) | 167 (68) a$ | 0.005 |
| Glucose, mmol/L | 5.5 (5.0, 6.4) | 5.2 (4.9, 5.8) | 5.0 (4.5, 5.6) | 6.0 (5.3, 6.5) b# | 5.5 (5.0, 6.8) | 6.6 (6.0, 6.7) b$ | 0.007 |
| HbA1c, % | 5.9 (5.6, 6.6) | 5.7 (5.5, 6.1) | 5.8 (5.3, 5.9) | 6.2 (5.8, 6.9) | 6.0 (5.7, 6.8) | 6.7 (6.2, 6.9) | 0.021 |
| TC, mmol/L | 5.10 (1.01) | 5.32 (0.70) | 5.41 (1.17) | 4.96 (0.96) | 5.14 (1.07) | 4.28 (1.03) | 0.143 |
| TG, mmol/L | 1.63 (1.13, 2.38) | 1.76 (1.20, 1.92) | 1.55 (1.07, 2.27) | 1.73 (1.16, 2.77) | 1.60 (1.15, 2.38) | 1.08(0.92, 1.39) | 0.410 |
| HDL-C, mmol/L | 1.02 (0.86, 1.21) | 0.98 (0.86, 1.20) | 0.94 (0.90, 1.01) | 1.07 (0.91, 1.23) | 1.03 (0.77, 1.20) | 1.26 (1.15, 1.40) | 0.049 |
| LDL-C, mmol/L | 3.36 (1.02) | 3.41 (0.69) | 3.76 (0.93) | 3.12 (1.05) | 3.56 (1.11) | 2.52 (0.92) | 0.051 |
| Imaging examinations | |||||||
| PDFF, % | 14.5 (8.8, 20.6) | 12.4 (6.0, 19.3) | 14.1 (10.6, 16.8) | 16.6(10.4, 21.4) | 15.0 (8.9, 20.7) | 6.9 (6.4, 11.9) | 0.219 |
| MRE-LSM, kPa | 2.99 (2.51, 3.94) | 2.44 (2.17, 2.55) | 2.77 (2.52, 3.15) | 2.89 (2.47, 3.26) | 3.98 (3.23, 4.27) abc* | 5.13 (4.88, 5.31) abc$ | <0.001 |
| CAP, dB/m | 327 (40) | 320 (44) | 328 (38) | 327 (46) | 332 (31) | 324 (40) | 0.904 |
| VCTE-LSM, kPa | 9.6 (7.3, 11.9) | 7.4 (5.7, 8.4) | 7.7(6.3, 10.1) | 8.5(7.5, 10.1) | 12.0(9.9,17.8)abc* | 14.6(10.6,16.5) a$ | <0.001 |
| Non-invasive tests | |||||||
| MAST | 0.13 (0.05, 0.29) | 0.03 (0.02, 0.05) | 0.10 (0.05, 0.16) | 0.10 (0.06, 0.22) | 0.29 (0.18,0.46) abc* | 0.27 (0.19, 0.38) a$ | <0.001 |
| FAST | 0.63 (0.43, 0.77) | 0.39 (0.30, 0.64) | 0.55 (0.42, 0.66) | 0.60 (0.50, 0.72) | 0.77 (0.63, 0.86) abc* | 0.67 (0.50, 0.72) | <0.001 |
| FIB-4 | 1.02 (0.63, 1.88) | 0.77 (0.62, 0.94) | 0.92 (0.43, 2.05) | 0.94 (0.61, 1.51) | 1.43 (0.80, 2.86) | 2.27 (1.24, 3.62) a$ | 0.005 |
| APRI | 0.61 (0.42, 1.10) | 0.43 (0.35, 0.69) | 0.53 (0.33, 0.76) | 0.58 (0.42, 0.88) | 0.95 (0.56, 1.29) a* | 1.13 (0.58, 1.39) | 0.006 |
| NFS | −2.46 (1.66) | −3.13 (0.74) | −3.08 (1.49) | −2.60 (1.61) | −1.94 (1.82) | −0.45 (1.62) abc$ | 0.001 |
| AAR | 0.66 (0.53, 0.90) | 0.57 (0.52, 0.78) | 0.70 (0.51, 1.07) | 0.60 (0.52, 0.73) | 0.82 (0.61, 1.10) | 0.86 (0.80, 0.87) | 0.028 |
| qF Value | 2.12 (0.95) | 0.94 (0.38) | 1.42 (0.45) | 2.14 (0.47) ab# | 2.86 (0.63) abc* | 3.78 (0.60) abc$ | <0.001 |
| Liver histology | |||||||
| Steatosis grade, n (%) | 0.496 | ||||||
| 1 | 26 (26.26) | 8 (47.06) | 5 (31.25) | 7 (21.88) | 4 (14.29) | 2 (33.33) | |
| 2 | 38 (38.38) | 5 (29.41) | 6 (37.50) | 12 (37.50) | 12 (42.86) | 3 (50.00) | |
| 3 | 35 (35.35) | 4 (23.53) | 5 (31.25) | 13 (40.62) | 12 (42.86) | 1 (16.67) | |
| Lobular inflammation, n (%) | <0.001 | ||||||
| 1 | 47 (47.47) | 17 (100.00) | 12 (75.00) | 12 (37.50) | 4 (14.29) | 2 (33.33) | |
| 2 | 43 (43.43) | 0 (0.00) | 4 (25.00) | 17 (53.12) | 18 (64.29) | 4 (66.67) | |
| 3 | 9 (9.09) | 0 (0.00) | 0 (0.00) | 3 (9.38) | 6 (21.43) | 0 (0.00) | |
| Hepatocyte ballooning, n (%) | <0.001 | ||||||
| 0 | 20 (20.20) | 12 (70.59) | 3 (18.75) | 4 (12.50) | 0 (0.00) | 1 (16.67) | |
| 1 | 59 (59.60) | 5 (29.41) | 11 (68.75) | 20 (62.50) | 21 (75.00) | 2 (33.33) | |
| 2 | 20 (20.20) | 0 (0.00) | 2 (12.50) | 8 (25.00) | 7 (25.00) | 3 (50.00) | |
| Fibrosis Stage | qFibrosis | MRE | MAST | VCTE | FAST | FIB4 | APRI | AAR | NFS | |
|---|---|---|---|---|---|---|---|---|---|---|
| F0 VS. F1–4 | AUC (95%CI) | 0.961 (0.925–0.996) | 0.837 (0.750–0.925) | 0.819 (0.702–0.936) | 0.733 (0.594–0.871) | 0.736 (0.592–0.880) | 0.667 (0.558–0.777) | 0.665 (0.519–0.812) | 0.607 (0.465–0.748) | 0.643 (0.532–0.755) |
| Cutoff (Youden) | 1.46 | 2.57 | 0.06 | 7.85 | 0.40 | 1.40 | 0.52 | 0.62 | −2.155 | |
| Se (%) | 89 | 81 | 84 | 72 | 90 | 41 | 72 | 62 | 45 | |
| Sp (%) | 100 | 77 | 77 | 71 | 53 | 100 | 65 | 65 | 94 | |
| NPV (%) | 65 | 45 | 50 | 34 | 53 | 26 | 32 | 26 | 26 | |
| PPV (%) | 100 | 94 | 94 | 92 | 90 | 100 | 91 | 90 | 97 | |
| Cutoff (90%Se) | 1.42 | 2.23 | 0.04 | 6.05 | 0.38 | 0.48 | 0.34 | 0.44 | −4.54 | |
| Sp (%) | 88 | 29 | 59 | 35 | 47 | 12 | 18 | 6 | 0 | |
| NPV (%) | 65 | 94 | 97 | 95 | 96 | 85 | 90 | 72 | 0 | |
| PPV (%) | 97 | 21 | 31 | 22 | 26 | 17 | 19 | 16 | 16 | |
| Cutoff (90%Sp) | 1.30 | 2.88 | 0.16 | 10.5 | 0.69 | 1.35 | 0.90 | 0.93 | −2.31 | |
| Se (%) | 95 | 66 | 54 | 39 | 40 | 45 | 38 | 26 | 46 | |
| NPV (%) | 79 | 93 | 90 | 87 | 88 | 89 | 87 | 85 | 89 | |
| PPV (%) | 98 | 54 | 49 | 41 | 41 | 44 | 40 | 31 | 45 | |
| F0–1 VS. F2–4 | AUC (95%CI) | 0.967 (0.937–0.997) | 0.781 (0.691–0.871) | 0.766 (0.665–0.868) | 0.734 (0.629–0.839) | 0.717 (0.607–0.826) | 0.672 (0.562–0.781) | 0.679 (0.560–0.798) | 0.563 (0.438–0.689) | 0.658 (0.552–0.764) |
| Cutoff | 1.74 | 3.20 | 0.17 | 7.85 | 0.54 | 1.08 | 0.52 | 0.59 | −2.155 | |
| Se (%) | 94 | 55 | 59 | 79 | 79 | 59 | 77 | 70 | 50 | |
| Sp (%) | 88 | 94 | 88 | 64 | 58 | 76 | 58 | 52 | 85 | |
| NPV (%) | 88 | 51 | 52 | 60 | 58 | 48 | 56 | 46 | 46 | |
| PPV (%) | 94 | 95 | 91 | 81 | 79 | 83 | 79 | 74 | 87 | |
| Cutoff (90%Se) | 1.80 | 2.29 | 0.04 | 6.35 | 0.41 | 0.54 | 0.40 | 0.44 | −4.26 | |
| Sp (%) | 91 | 21 | 48 | 33 | 36 | 21 | 36 | 9 | 15 | |
| NPV (%) | 64 | 91 | 96 | 95 | 94 | 91 | 94 | 81 | 87 | |
| PPV (%) | 98 | 19 | 26 | 22 | 23 | 19 | 23 | 17 | 18 | |
| Cutoff (90%Sp) | 1.78 | 3.17 | 0.17 | 11.05 | 0.80 | 2.12 | 1.42 | 1.24 | −1.62 | |
| Se (%) | 91 | 55 | 55 | 38 | 29 | 26 | 14 | 11 | 36 | |
| NPV (%) | 67 | 91 | 91 | 88 | 86 | 86 | 84 | 83 | 87 | |
| PPV (%) | 98 | 55 | 55 | 46 | 40 | 37 | 24 | 19 | 45 | |
| F0–2 VS. F3–4 | AUC (95%CI) | 0.924 (0.875–0.973) | 0.872 (0.796–0.949) | 0.830 (0.749–0.911) | 0.807 (0.714–0.899) | 0.753 (0.656–0.851) | 0.711 (0.601–0.820) | 0.719 (0.615–0.822) | 0.688 (0.578–0.798) | 0.681 (0.563–0.799) |
| Cutoff | 2.21 | 3.24 | 0.17 | 9.65 | 0.59 | 1.18 | 0.52 | 0.76 | −2.585 | |
| Se (%) | 97 | 79 | 82 | 82 | 85 | 71 | 91 | 65 | 68 | |
| Sp (%) | 78 | 85 | 77 | 69 | 58 | 69 | 48 | 71 | 66 | |
| NPV (%) | 98 | 89 | 89 | 88 | 88 | 82 | 91 | 79 | 80 | |
| PPV (%) | 70 | 73 | 65 | 58 | 52 | 55 | 48 | 54 | 51 | |
| Cutoff (90%Se) | 2.22 | 2.64 | 0.08 | 6.90 | 0.42 | 0.60 | 0.42 | 0.44 | −4.260 | |
| Sp (%) | 78 | 43 | 48 | 29 | 31 | 23 | 37 | 11 | 14 | |
| NPV (%) | 65 | 96 | 96 | 94 | 94 | 90 | 95 | 85 | 88 | |
| PPV (%) | 95 | 25 | 27 | 21 | 21 | 19 | 23 | 17 | 18 | |
| Cutoff (90%Sp) | 2.52 | 3.62 | 0.32 | 11.05 | 0.82 | 2.21 | 1.24 | 1.21 | −0.760 | |
| Se (%) | 68 | 68 | 41 | 62 | 32 | 35 | 29 | 12 | 35 | |
| NPV (%) | 36 | 93 | 88 | 92 | 87 | 87 | 86 | 83 | 87 | |
| PPV (%) | 97 | 57 | 44 | 54 | 42 | 40 | 36 | 18 | 40 | |
| F0–3 VS. F4 | AUC (95%CI) | 0.955 (0.903–1.000) | 0.977 (0.946–1.000) | 0.757 (0.623–0.892) | 0.714 (0.492–0.937) | 0.546 (0.306–0.785) | 0.789 (0.632–0.947) | 0.640 (0.373–0.907) | 0.677 (0.569–0.784) | 0.837 (0.695–0.979) |
| Cutoff | 2.8 | 4.31 | 0.17 | 12.75 | 0.4 | 1.18 | 1.04 | 0.66 | −2.585 | |
| Se (%) | 100 | 100 | 100 | 67 | 100 | 100 | 67 | 100 | 100 | |
| Sp (%) | 85 | 93 | 60 | 83 | 18 | 59 | 75 | 52 | 58 | |
| NPV (%) | 100 | 100 | 100 | 98 | 100 | 100 | 97 | 100 | 100 | |
| PPV (%) | 30 | 46 | 14 | 20 | 7 | 14 | 15 | 12 | 13 | |
| Cutoff (90%Se) | 2.82 | 4.35 | 0.17 | 6.90 | 0.41 | 1.19 | 0.42 | 0.67 | −2.540 | |
| Sp (%) | 85 | 92 | 63 | 23 | 19 | 59 | 22 | 54 | 58 | |
| NPV (%) | 51 | 96 | 95 | 87 | 85 | 95 | 86 | 94 | 94 | |
| PPV (%) | 96 | 70 | 32 | 18 | 18 | 30 | 18 | 27 | 29 | |
| Cutoff (90%Sp) | 3.17 | 4.23 | 0.51 | 18.50 | 0.86 | 2.88 | 1.58 | 1.29 | −0.160 | |
| Se (%) | 83 | 100 | 17 | 0 | 17 | 50 | 17 | 0 | 50 | |
| NPV (%) | 53 | 100 | 84 | 81 | 84 | 90 | 84 | 81 | 90 | |
| PPV (%) | 98 | 68 | 26 | 0 | 31 | 52 | 26 | 0 | 52 | |
| Parameter | Correlation Coefficient (rhρ) | p Value |
|---|---|---|
| qFibrosis Value | 0.836 | <0.001 |
| StrWidthPT | 0.828 | <0.001 |
| StrLengthPT | 0.817 | <0.001 |
| %PeriPortal | 0.814 | <0.001 |
| StrAreaPeriPortal | 0.814 | <0.001 |
| StrWidthPeriPortal | 0.814 | <0.001 |
| StrLengthPeriPortal | 0.811 | <0.001 |
| %PeriPortalAgg | 0.808 | <0.001 |
| #StrPeriPortal | 0.804 | <0.001 |
| #ThickStrPeriPortal | 0.800 | <0.001 |
| #LongStrPeriPortal | 0.799 | <0.001 |
| #ShortStrPeriPortal | 0.785 | <0.001 |
| #LongStrPT | 0.784 | <0.001 |
| #ThinStrPeriPortal | 0.784 | <0.001 |
| %PeriPortalDis | 0.784 | <0.001 |
| #ThickStrPT | 0.761 | <0.001 |
| #StrPT | 0.761 | <0.001 |
| #ShortStrPT | 0.729 | <0.001 |
| %PTDis | 0.721 | <0.001 |
| #ThinStrPT | 0.681 | <0.001 |
| %Agg | 0.677 | <0.001 |
| %SHG | 0.653 | <0.001 |
| StrArea | 0.653 | <0.001 |
| %PT | 0.642 | <0.001 |
| StrAreaPT | 0.642 | <0.001 |
| %PTAgg | 0.639 | <0.001 |
| %ChickenWireAgg | 0.502 | <0.001 |
| %ChickenWire | 0.493 | <0.001 |
| StrAreaChickenWire | 0.493 | <0.001 |
| StrLengthChickenWire | 0.442 | <0.001 |
| #ThinStrChickenWire | 0.428 | <0.001 |
| StrLengthZone2 | −0.502 | <0.001 |
| #ThinStrZone2 | −0.536 | <0.001 |
| #ThickStrZone2 | −0.564 | <0.001 |
| #StrZone2 | −0.566 | <0.001 |
| #StrZone2Agg | −0.588 | <0.001 |
| #ShortStrZone2 | −0.591 | <0.001 |
Disclaimer/Publisher’s Note: The statements, opinions and data contained in all publications are solely those of the individual author(s) and contributor(s) and not of MDPI and/or the editor(s). MDPI and/or the editor(s) disclaim responsibility for any injury to people or property resulting from any ideas, methods, instructions or products referred to in the content. |
© 2025 by the authors. Licensee MDPI, Basel, Switzerland. This article is an open access article distributed under the terms and conditions of the Creative Commons Attribution (CC BY) license (https://creativecommons.org/licenses/by/4.0/).
Share and Cite
Wei, X.; Qiu, L.; Wang, X.; Shao, C.; Zhao, J.; Yang, Q.; Chen, J.; Yin, M.; Ehman, R.L.; Zhang, J. The Relationship Between Non-Invasive Tests and Digital Pathology for Quantifying Liver Fibrosis in MASLD. Diagnostics 2025, 15, 2475. https://doi.org/10.3390/diagnostics15192475
Wei X, Qiu L, Wang X, Shao C, Zhao J, Yang Q, Chen J, Yin M, Ehman RL, Zhang J. The Relationship Between Non-Invasive Tests and Digital Pathology for Quantifying Liver Fibrosis in MASLD. Diagnostics. 2025; 15(19):2475. https://doi.org/10.3390/diagnostics15192475
Chicago/Turabian StyleWei, Xiaodie, Lixia Qiu, Xinxin Wang, Chen Shao, Jing Zhao, Qiang Yang, Jun Chen, Meng Yin, Richard L. Ehman, and Jing Zhang. 2025. "The Relationship Between Non-Invasive Tests and Digital Pathology for Quantifying Liver Fibrosis in MASLD" Diagnostics 15, no. 19: 2475. https://doi.org/10.3390/diagnostics15192475
APA StyleWei, X., Qiu, L., Wang, X., Shao, C., Zhao, J., Yang, Q., Chen, J., Yin, M., Ehman, R. L., & Zhang, J. (2025). The Relationship Between Non-Invasive Tests and Digital Pathology for Quantifying Liver Fibrosis in MASLD. Diagnostics, 15(19), 2475. https://doi.org/10.3390/diagnostics15192475

