Artificial Intelligence-Based MRI Segmentation for the Differential Diagnosis of Single Brain Metastasis and Glioblastoma
Abstract
1. Introduction
2. Materials and Methods
2.1. Patient Selection
- Adult patients (more than or equal to 18 years old in age);
- Those diagnosed with a unique brain lesion;
- Those with a histopathological positive diagnosis of GBM or BM;
- Those who underwent MRI examination with a protocol consisting at minimum of 3D T2-weighted Fluid-Attenuated Inversion Recovery (T2W FLAIR) and contrast-enhanced T1-weighted (CE T1W) effectuated prior to any local treatment.
- Had more than one lesion in the brain parenchyma, active or not, for example, with stroke sequelae;
- Did not have any histopathological confirmation;
- Underwent MRI investigation after local treatment or biopsy.
2.2. MRI Protocols
2.3. Manual Calculation of Tumoral Volume
2.4. Automated Segmentation
2.5. Database Creation
- R AI/M—the ratio between the volumes obtained using the DL tool (AI) and the ellipsoidal method (the manual method—M), respectively;
- R E/T—the ratio between the volumes of the edema (E) and the lesion (T) calculated using the DL software;
- R N/T—the ratio between the volumes of the necrosis (N) and the entire lesion (T) calculated using the Dl software;
- R E/N—the ratio between the volumes of the edema (E) and the central necrosis (N) calculated using the DL software;
- Diff AI-M—the difference between the volumes obtained by the AI software and the manual method (M).
2.6. Statistical Analysis
2.6.1. Univariate Analysis
2.6.2. Bivariate Analysis
2.6.3. Multivariate Analysis
2.7. Processing Environment
3. Results
3.1. Cohort Description
3.1.1. Glioblastoma Patients
3.1.2. Single Brain Metastasis Patients
3.2. Primary Results
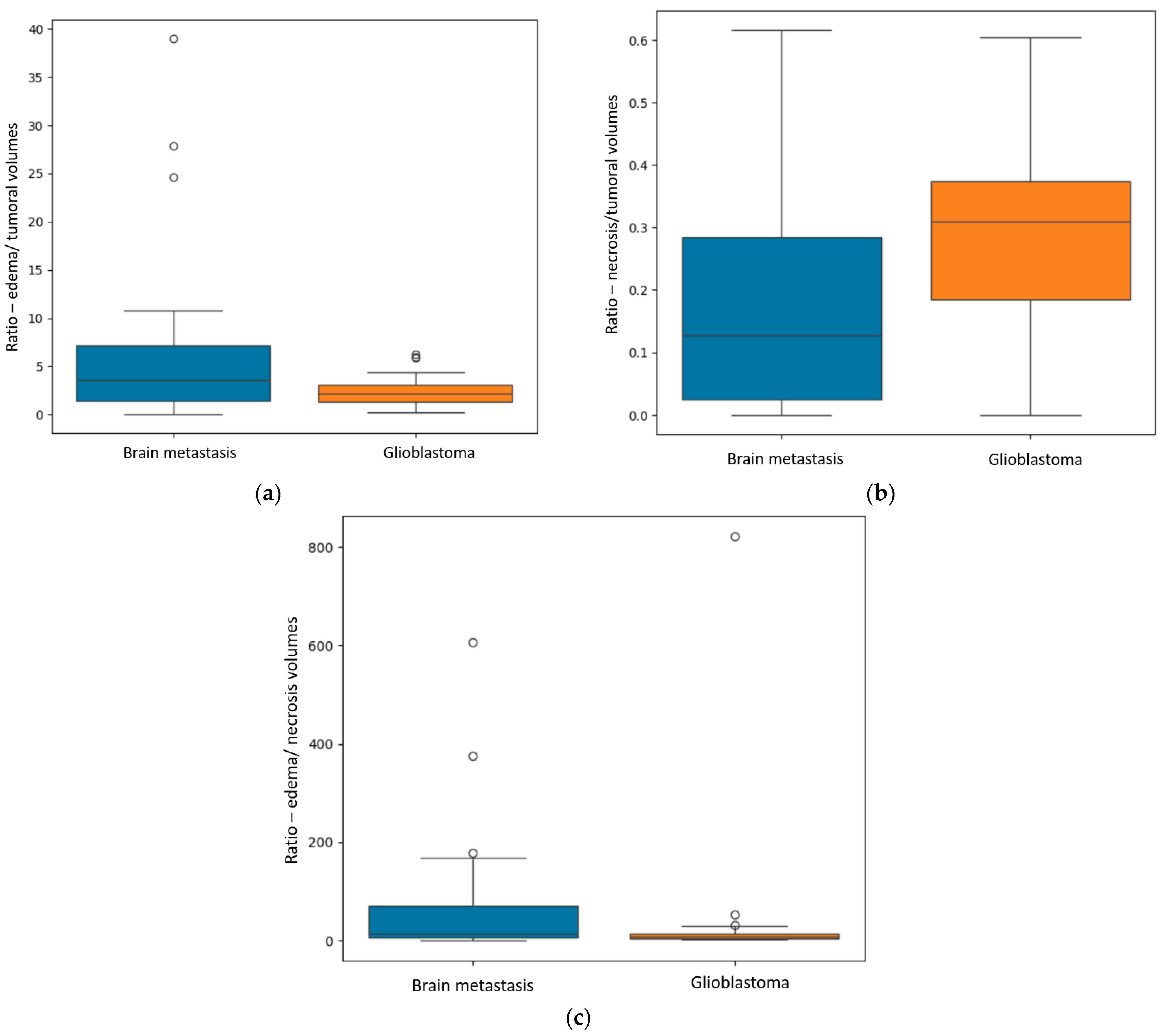
3.3. Secondary Results
4. Discussion
5. Conclusions
Author Contributions
Funding
Institutional Review Board Statement
Informed Consent Statement
Data Availability Statement
Acknowledgments
Conflicts of Interest
Abbreviations
| GBM | Glioblastoma |
| BM | Brain Metastasis |
| CT | Computed Tomography |
| MRI | Magnetic Resonance Imaging |
| ML | Machine Learning |
| DL | Deep Learning |
| AI | Artificial Intelligence |
| T2W FLAIR | T2-Weighted Fluid-Attenuated Inversion Recovery |
| CE T1W | Contrast-Enhanced T1-Weighted |
| FSPGR | Fast Spoiled Gradient Echo |
| DICOM | Digital Imaging and Communication in Medicine |
| NSCLC | Non-Small-Cell Lung Carcinoma |
| SCLC | Small Cell Lung Carcinoma |
| LC | Lung Cancer |
| DWI | Diffusion-Weighted Imaging |
| ADC | Apparent Diffusion Coefficient |
| DTI | Diffusion Tensor Imaging |
| CNS | Central Nervous System |
References
- Pellerino, A.; Caccese, M.; Padovan, M.; Cerretti, G.; Lombardi, G. Epidemiology, risk factors, and prognostic factors of gliomas. Clin. Transl. Imaging 2022, 10, 467–475. [Google Scholar] [CrossRef]
- Zoghbi, M.; Moussa, M.J.; Dagher, J.; Haroun, E.; Qdaisat, A.; Singer, E.D.; Karam, Y.E.; Yeung, S.-C.J.; Chaftari, P. Brain Metastasis in the Emergency Department: Epidemiology, Presentation, Investigations, and Management. Cancers 2024, 16, 2583. [Google Scholar] [CrossRef]
- McNamara, C.; Mankad, K.; Thust, S.; Dixon, L.; Limback-Stanic, C.; D’Arco, F.; Jacques, T.S.; Löbel, U. 2021 WHO classification of tumours of the central nervous system: A review for the neuroradiologist. Neuroradiology 2022, 64, 1919–1950. [Google Scholar] [CrossRef]
- Gliomas—StatPearls—NCBI Bookshelf. Available online: https://www.ncbi.nlm.nih.gov/books/NBK441874/#article-18547.s4 (accessed on 24 July 2025).
- Habibi, M.A.; Omid, R.; Asgarzade, S.; Derakhshandeh, S.; Soltani Farsani, A.; Tajabadi, Z. Distinguishing glioblastoma from brain metastasis; a systematic review and meta-analysis on the performance of machine learning. Egypt. J. Neurosurg. 2025, 40, 26. [Google Scholar] [CrossRef]
- Skogen, K.; Schulz, A.; Helseth, E.; Ganeshan, B.; Dormagen, J.B.; Server, A. Texture analysis on diffusion tensor imaging: Discriminating glioblastoma from single brain metastasis. Acta Radiol. 2019, 60, 356–366. [Google Scholar] [CrossRef]
- Jekel, L.; Brim, W.R.; von Reppert, M.; Staib, L.; Cassinelli Petersen, G.; Merkaj, S.; Subramanian, H.; Zeevi, T.; Payabvash, S.; Bousabarah, K.; et al. Machine Learning Applications for Differentiation of Glioma from Brain Metastasis—A Systematic Review. Cancers 2022, 14, 1369. [Google Scholar] [CrossRef]
- Artzi, M.; Bressler, I.; Ben Bashat, D. Differentiation between glioblastoma, brain metastasis and subtypes using radiomics analysis. J. Magn. Reson. Imaging 2019, 50, 519–528. [Google Scholar] [CrossRef] [PubMed]
- Azab, M.A.; El-Gohary, N.; Atallah, O.; Shama, M.; Ibrahim, I.A. Perfusion-MRI for differentiating cerebral metastatic lesions and gliomas: An evidence-based review. J. Clin. Neurosci. 2025, 133, 111036. [Google Scholar] [CrossRef] [PubMed]
- Qian, Z.; Li, Y.; Wang, Y.; Li, L.; Li, R.; Wang, K.; Li, S.; Tang, K.; Zhang, C.; Fan, X.; et al. Differentiation of glioblastoma from solitary brain metastases using radiomic machine-learning classifiers. Cancer Lett. 2019, 451, 128–135. [Google Scholar] [CrossRef] [PubMed]
- Board WHOC of TE. Central Nervous System Tumours; World Health Organization: Geneva, Switzerland, 2022; 584p, Available online: https://www.amazon.com/Central-Nervous-System-Tumours-Classification/dp/9283245083 (accessed on 24 July 2025).
- Dong, F.; Li, Q.; Jiang, B.; Zhu, X.; Zeng, Q.; Huang, P.; Chen, S.; Zhang, M. Differentiation of supratentorial single brain metastasis and glioblastoma by using peri-enhancing oedema region–derived radiomic features and multiple classifiers. Eur Radiol. 2020, 30, 3015–3022. [Google Scholar] [CrossRef]
- Smirniotopoulos, J.G.; Jäger, H.R. Differential Diagnosis of Intracranial Masses; Springer: Berlin/Heidelberg, Germany, 2022; pp. 93–104. [Google Scholar] [CrossRef]
- Osborn, A.G.; Hedlung, G.L.; Salzman, K.L. Osborn’s Brain Imaging, Pathology, and Anatomy, 2nd ed.; Elsevier: Amsterdam, The Netherlands, 2018; Volume I, pp. 497–867. ISBN 978-0-323-47776-5. [Google Scholar]
- Razek, A.A.K.A.; Talaat, M.; El-Serougy, L.; Abdelsalam, M.; Gaballa, G. Differentiating Glioblastomas from Solitary Brain Metastases Using Arterial Spin Labeling Perfusion– and Diffusion Tensor Imaging–Derived Metrics. World Neurosurg. 2019, 127, e593–e598. [Google Scholar] [CrossRef]
- Samani, Z.R.; Parker, D.; Wolf, R.; Hodges, W.; Brem, S.; Verma, R. Distinct tumor signatures using deep learning-based characterization of the peritumoral microenvironment in glioblastomas and brain metastases. Sci. Rep. 2021, 11, 14469. [Google Scholar] [CrossRef]
- Askaner, K.; Rydelius, A.; Engelholm, S.; Knutsson, L.; Lätt, J.; Abul-Kasim, K.; Sundgren, P.C. Differentiation between glioblastomas and brain metastases and regarding their primary site of malignancy using dynamic susceptibility contrast MRI at 3T. J. Neuroradiol. 2019, 46, 367–372. [Google Scholar] [CrossRef]
- Shin, I.; Kim, H.; Ahn, S.S.; Sohn, B.; Bae, S.; Park, J.E.; Kim, H.S.; Lee, S.-K. Development and validation of a deep learning-based model to distinguish glioblastoma from solitary brain metastasis using conventional MR images. AJNR Am. J. Neuroradiol. 2021, 42, 838–844. [Google Scholar] [CrossRef]
- Le Fèvre, C.; Sun, R.; Cebula, H.; Thiery, A.; Antoni, D.; Schott, R.; Proust, F.; Constans, J.-M.; Noël, G. Ellipsoid calculations versus manual tumor delineations for glioblastoma tumor volume evaluation. Sci. Rep. 2022, 12, 10502. [Google Scholar] [CrossRef] [PubMed]
- Dolgushin, M.; Kornienko, V.; Pronin, I. Brain Metastases; Springer: Berlin/Heidelberg, Germany, 2018; pp. 52–58. [Google Scholar] [CrossRef]
- Ronneberger, O.; Fischer, P.; Brox, T. U-net: Convolutional Networks for Biomedical Image Segmentation; Lecture Notes in Computer Science (Including Subseries Lecture Notes in Artificial Intelligence and Lecture Notes in Bioinformatics); Springer: Berlin/Heidelberg, Germany, 2015; pp. 234–241. [Google Scholar] [CrossRef]
- Ramakrishnan, D.; Jekel, L.; Chadha, S.; Janas, A.; Moy, H.; Maleki, N.; Sala, M.; Kaur, M.; Petersen, G.C.; Merkaj, S.; et al. A large open access dataset of brain metastasis 3D segmentations on MRI with clinical and imaging information. Sci. Data 2024, 11, 254. [Google Scholar] [CrossRef]
- Krithikadatta, J. Normal Distribution. J. Conserv. Dent. 2014, 17, 96. [Google Scholar] [CrossRef]
- Sedgwick, P. Parametric v non-parametric statistical tests. BMJ 2012, 344, e1753. [Google Scholar] [CrossRef]
- Schober, P.; Vetter, T.R. Statistical Minute Nonparametric Statistical Methods in Medical Research. Anesth. Analg. 2020, 131, 1862–1863. [Google Scholar] [CrossRef] [PubMed]
- Qin, X.; Liu, R.; Akter, F.; Qin, L.; Xie, Q.; Li, Y.; Qiao, H.; Zhao, W.; Jian, Z.; Liu, R.; et al. Peri-tumoral brain edema associated with glioblastoma correlates with tumor recurrence. J. Cancer 2021, 12, 2073–2082. [Google Scholar] [CrossRef] [PubMed]
- Vollmann-Zwerenz, A.; Leidgens, V.; Feliciello, G.; Klein, C.A.; Hau, P. Tumor cell invasion in glioblastoma. Int. J. Mol. Sci. 2020, 21, 1932. [Google Scholar] [CrossRef] [PubMed]
- Doroszko, M.; Stockgard, R.; Uppman, I.; Heinold, J.; Voukelatou, F.; Mangukiya, H.B.; Millner, T.O.; Skeppås, M.; Bravo, M.B.; Elgendy, R.; et al. The invasion phenotypes of glioblastoma depend on plastic and reprogrammable cell states. Nat. Commun. 2025, 16, 6662. [Google Scholar] [CrossRef]
- Lamba, N.; Wen, P.Y.; Aizer, A.A. Epidemiology of brain metastases and leptomeningeal disease. Neuro-Oncology 2021, 23, 1447–1456. [Google Scholar] [CrossRef]
- Feng, R.; Loewenstern, J.; Aggarwal, A.; Pawha, P.; Gilani, A.; Iloreta, A.M.; Bakst, R.; Miles, B.; Bederson, J.; Costa, A.; et al. Cerebral Radiation Necrosis: An Analysis of Clinical and Quantitative Imaging and Volumetric Features. World Neurosurg. 2018, 111, e485–e494. [Google Scholar] [CrossRef] [PubMed]
- Ocaña-Tienda, B.; Pérez-Beteta, J.; de Mendivil, A.O.; Asenjo, B.; Albillo, D.; Pérez-Romasanta, L.A.; Llorente, M.; Carballo, N.; Arana, E.; Pérez-García, V.M. Morphological MRI features as prognostic indicators in brain metastases. Cancer Imaging 2024, 24, 111. [Google Scholar] [CrossRef] [PubMed]











| Diagnosis | Women | Men |
|---|---|---|
| Glioblastoma | 11 | 28 |
| Brain metastasis | 13 | 26 |
| Primary Tumor | Number (%) |
|---|---|
| Lung cancer (61.53%) | 21 (NSCLC *) (53.85%) |
| 1 (SCLC **) (2.56%) | |
| 2 (anaplastic) (5.13%) | |
| Breast cancer | 7 (17.95%) |
| Melanoma | 3 (7.69%) |
| Colorectal | 2 (5.13%) |
| Digestive (other sites) | 2 (5.13%) |
| Renal | 1 (2.56%) |
Disclaimer/Publisher’s Note: The statements, opinions and data contained in all publications are solely those of the individual author(s) and contributor(s) and not of MDPI and/or the editor(s). MDPI and/or the editor(s) disclaim responsibility for any injury to people or property resulting from any ideas, methods, instructions or products referred to in the content. |
© 2025 by the authors. Licensee MDPI, Basel, Switzerland. This article is an open access article distributed under the terms and conditions of the Creative Commons Attribution (CC BY) license (https://creativecommons.org/licenses/by/4.0/).
Share and Cite
Pomohaci, D.; Marciuc, E.-A.; Dobrovăț, B.-I.; Popescu, M.-R.; Istrate, A.-C.; Onicescu, O.-M.; Chirica, S.-I.; Chirica, C.; Haba, D. Artificial Intelligence-Based MRI Segmentation for the Differential Diagnosis of Single Brain Metastasis and Glioblastoma. Diagnostics 2025, 15, 2248. https://doi.org/10.3390/diagnostics15172248
Pomohaci D, Marciuc E-A, Dobrovăț B-I, Popescu M-R, Istrate A-C, Onicescu O-M, Chirica S-I, Chirica C, Haba D. Artificial Intelligence-Based MRI Segmentation for the Differential Diagnosis of Single Brain Metastasis and Glioblastoma. Diagnostics. 2025; 15(17):2248. https://doi.org/10.3390/diagnostics15172248
Chicago/Turabian StylePomohaci, Daniela, Emilia-Adriana Marciuc, Bogdan-Ionuț Dobrovăț, Mihaela-Roxana Popescu, Ana-Cristina Istrate, Oriana-Maria Onicescu (Oniciuc), Sabina-Ioana Chirica, Costin Chirica, and Danisia Haba. 2025. "Artificial Intelligence-Based MRI Segmentation for the Differential Diagnosis of Single Brain Metastasis and Glioblastoma" Diagnostics 15, no. 17: 2248. https://doi.org/10.3390/diagnostics15172248
APA StylePomohaci, D., Marciuc, E.-A., Dobrovăț, B.-I., Popescu, M.-R., Istrate, A.-C., Onicescu, O.-M., Chirica, S.-I., Chirica, C., & Haba, D. (2025). Artificial Intelligence-Based MRI Segmentation for the Differential Diagnosis of Single Brain Metastasis and Glioblastoma. Diagnostics, 15(17), 2248. https://doi.org/10.3390/diagnostics15172248

