Improvement of Colonoscopic Image Quality Using a New LED Endoscopic System with Specialized Noise Reduction
Abstract
1. Introduction
2. Materials and Methods
3. Outcomes
4. LED Endoscopes
5. Statistical Analysis
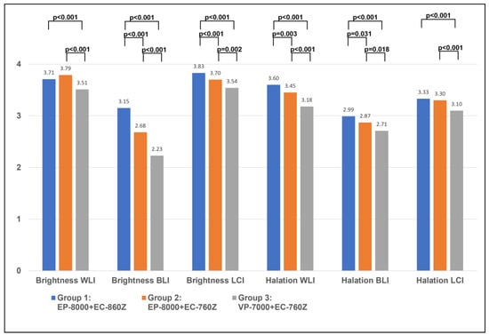
6. Results
7. Discussion
8. Conclusions
Supplementary Materials
Author Contributions
Funding
Institutional Review Board Statement
Informed Consent Statement
Data Availability Statement
Acknowledgments
Conflicts of Interest
Abbreviations
References
- Yoshida, N.; Hisabe, T.; Inada, Y.; Kugai, M.; Yagi, N.; Hirai, F. The ability of a novel blue laser imaging system for the diagnosis of invasion depth of colorectal neoplasms. J. Gastroenterol. 2014, 49, 73–80. [Google Scholar] [CrossRef] [PubMed]
- Osawa, H.; Yamamoto, H. Present and future status of flexible spectral imaging color enhancement and blue laser imaging technology. Dig. Endosc. 2014, 26, 105–115. [Google Scholar] [CrossRef] [PubMed]
- Nakano, A.; Hirooka, Y.; Yamamura, T.; Watanabe, O.; Nakamura, M.; Funasaka, K.; Ohno, E.; Kawashima, H.; Miyahara, R.; Goto, H. Comparison of the diagnostic ability of blue laser imaging magnification versus pit pattern analysis for colorectal polyps. Endosc. Int. Open 2017, 5, E224–E231. [Google Scholar] [CrossRef] [PubMed]
- Shimoda, R.; Sakata, Y.; Fujise, T.; Yamanouchi, K.; Tsuruoka, N.; Hara, M.; Nakayama, A.; Yamaguchi, D.; Akutagawa, T.; Fujimoto, K.; et al. The adenoma miss rate of blue-laser imaging vs. white-light imaging during colonoscopy: A randomized tandem trial. Endoscopy 2017, 49, 186–190. [Google Scholar] [CrossRef]
- Togashi, K.; Nemoto, D.; Utano, K.; Isohata, N.; Kumamoto, K.; Endo, S.; Lefor, A.K. Blue laser imaging endoscopy system for the early detection and characterization of colorectal lesions: A guide for the endoscopist. Ther. Adv. Gastroenterol. 2016, 9, 50–56. [Google Scholar] [CrossRef]
- Ikematsu, H.; Sakamoto, T.; Togashi, K.; Yoshida, N.; Hisabe, T.; Kiriyama, S.; Matsuda, K.; Hayashi, Y.; Matsuda, T.; Osera, S.; et al. Detectability of colorectal neoplastic lesions using a novel endoscopic system with blue laser imaging: A multicenter randomized controlled trial. Gastointest. Endosc. 2017, 86, 386–394. [Google Scholar] [CrossRef]
- Ono, S.; Kawada, K.; Dohi, O.; Kitamura, S.; Koike, T.; Hori, S. Linked Color Imaging Focused on Neoplasm Detection in the Upper Gastrointestinal Tract: A Randomized Trial. Ann. Intern. Med. 2021, 174, 18–24. [Google Scholar] [CrossRef]
- Suzuki, T.; Hara, T.; Kitagawa, Y.; Takashiro, H.; Nankinzan, R.; Sugita, O.; Yamaguchi, T. Linked-color imaging improves endoscopic visibility of colorectal nongranular flat lesions. Gastrointest. Endosc. 2017, 86, 692–697. [Google Scholar] [CrossRef]
- Yamasaki, Y.; Harada, K.; Yamamoto, S. Blue laser imaging and linked color imaging improve the color difference value and visibility of colorectal polyps in underwater conditions. Dig. Endosc. 2020, 32, 791–800. [Google Scholar] [CrossRef]
- Min, M.; Deng, P.; Zhang, W.; Sun, X.; Liu, Y.; Nong, B. Comparison of linked color imaging and white-light colonoscopy for detection of colorectal polyps: A multicenter, randomized, crossover trial. Gastrointest. Endosc. 2017, 86, 724–730. [Google Scholar] [CrossRef]
- Fujimoto, D.; Muguruma, N.; Okamoto, K.; Fujino, Y.; Kagemoto, K.; Okada, Y. Linked color imaging enhances endoscopic detection of sessile serrated adenoma/polyps. Endosc. Int. Open 2018, 6, E322–E334. [Google Scholar] [CrossRef] [PubMed]
- Dos Santos, C.E.O.; Malaman, D.; Pereira-Lima, J.C.; de Quadros Onófrio, F.; Ribas Filho, J.M. Impact of linked-color imaging on colorectal adenoma detection. Gastrointest. Endosc. 2019, 90, 826–834. [Google Scholar] [CrossRef] [PubMed]
- Yoshida, N.; Hisabe, T.; Ikematsu, H.; Ishihara, H.; Terasawa, M.; Inaba, A.; Sato, D.; Cho, H.; Ego, M.; Tanaka, Y.; et al. Comparison between linked color imaging and blue laser imaging for improving the visibility of flat colorectal polyps—A multicenter pilot study. Dig. Dis. Sci. 2020, 65, 2054–2062. [Google Scholar] [CrossRef] [PubMed]
- Sakamoto, T.; Cho, H.; Saito, Y. Clinical Applications of Linked Color Imaging and Blue Laser/Light Imaging in the Screening, Diagnosis, and Treatment of Superficial Colorectal Tumors. Clin. Endosc. 2021, 54, 488–493. [Google Scholar] [CrossRef]
- Yoshida, N.; Naito, Y.; Yasuda, R.; Murakami, T.; Hirose, R.; Ogiso, K.; Inada, Y.; Dohi, O.; Kamada, K.; Uchiyama, K.; et al. Linked color imaging improves the visibility of various featured colorectal polyps in an endoscopist’s visibility and color difference value. Int. J. Color. Dis. 2017, 32, 1253–1260. [Google Scholar] [CrossRef]
- Bisschops, R.; Hassan, C.; Bhandari, P.; Coron, E.; Neumann, H.; Pech, O.; Correale, L.; Repici, A. BASIC (BLI Adenoma Serrated International Classification) classification for colorectal polyp characterization with blue light imaging. Endoscopy 2018, 50, 211–220. [Google Scholar] [CrossRef]
- Neumann, H.; Sen, H.N.; Vieth, M.; Bisschops, R.; Thieringer, F.; Rahman, K.F.; Gamstätter, T.; Tontini, G.E.; Galle, P.R. Leaving colorectal polyps in place can be achieved with high accuracy using blue light imaging (BLI). United Eur. Gastroenterol. J. 2018, 6, 1099–1105. [Google Scholar] [CrossRef]
- Desai, M.; Kennedy, K.; Aihara, H.; Van Dam, J.; Gross, S.; Haber, G.; Pohl, H.; Rex, D.; Saltzman, J.; Sethi, A.; et al. External validation of blue light imaging (BLI) criteria for the optical characterization of colorectal polyps by endoscopy experts. J. Gastroenterol. Hepatol. 2021, 36, 2728–2734. [Google Scholar] [CrossRef]
- Paggi, S.; Mogavero, G.; Amato, A.; Rondonotti, E.; Andrealli, A.; Imperiali, G.; Lenoci, N.; Mandelli, G.; Terreni, N.; Conforti, F.S.; et al. Linked color imaging reduces the miss rate of neoplastic lesions in the right colon: A randomized tandem colonoscopy study. Endoscopy 2018, 50, 396–402. [Google Scholar]
- Suzuki, S.; Aniwan, S.; Chiu, H.-M.; Laohavichitra, K.; Chirapongsathorn, S.; Yamamura, T.; Kuo, C.-Y.; Yoshida, N.; Ang, T.L.; Takezawa, T.; et al. Linked-Color Imaging Detects More Colorectal Adenoma and Serrated Lesions: An International Randomized Controlled Trial. Clin. Gastroenterol. Hepatol. 2023, 21, 1493–1502.e4. [Google Scholar] [CrossRef]
- Li, J.; Zhang, D.; Wei, Y.; Chen, K.; Wu, R.; Peng, K.; Hou, X.; Li, L.; Huang, C.; Wang, Y.; et al. Colorectal Sessile Serrated Lesion Detection Using Linked Color Imaging: A Multicenter, Parallel Randomized Controlled Trial. Clin. Gastroenterol. Hepatol. 2023, 21, 328–336. [Google Scholar] [CrossRef] [PubMed]
- Dos Santos, C.E.; Malaman, D.; Sanmartin, I.D.A.; Onófrio, F.; Pereira-Lima, J.C. Effect of Linked-color Imaging on the Detection of Adenomas in Screening Colonoscopies. J. Clin. Gastroenterol. 2022, 56, e268–e272. [Google Scholar] [CrossRef] [PubMed]
- Miyaguchi, K.; Takabayashi, K.; Saito, D.; Tsuzuki, Y.; Hirooka, N.; Hosoe, N.; Ohgo, H.; Ashitani, K.; Soma, H.; Miyanaga, R.; et al. Linked color imaging versus white light imaging colonoscopy for colorectal adenoma detection: A randomized controlled trial. J. Gastroenterol. Hepatol. 2021, 36, 2778–2784. [Google Scholar] [CrossRef] [PubMed]
- Wang, J.; Ye, C.; Wu, K.; Fei, S. The effect of linked color imaging for adenoma detection. a meta-analysis of randomized controlled studies. J. Gastrointest. Liver Dis. 2022, 31, 67–73. [Google Scholar] [CrossRef]
- Yoshida, N.; Hayashi, Y.; Kashida, H.; Tomita, Y.; Dohi, O.; Inoue, K.; Hirose, R.; Itoh, Y.; Okada, M.; Yoshimoto, S.; et al. Images of laser and light-emitting diode colonoscopy for comparing large colorectal lesion visibility with linked color imaging and white-light imaging. Dig. Endosc. 2022, 34, 1413–1421. [Google Scholar] [CrossRef]
- Sano, Y.; Tanaka, S.; Kudo, S.; Saito, S.; Matsuda, T.; Wada, Y.; Fujii, T.; Ikematsu, H.; Uraoka, T.; Kobayashi, N.; et al. Narrow-band imaging (NBI) magnifying endoscopic classification of colorectal tumors proposed by the Japan NBI Expert Team. Dig. Endosc. 2016, 28, 526–533. [Google Scholar] [CrossRef]
- Aronchick, C.A. Bowel preparation scale. Gastrointest. Endosc. 2014, 60, 1037–1038. [Google Scholar] [CrossRef]
- Participants in the Paris workshop. The Paris endoscopic classification of superficial neoplastic lesions: Esophagus, stomach, and colon: November 30 to December 1, 2002. Gastrointest. Endosc. 2003, 58, S3–S43. [Google Scholar] [CrossRef]
- The WHO Classification of Tumours Editorial Board. World Health Organization Classification of Tumors. In Digestive System Tumours, 5th ed.; IARC Press: Lyon, France, 2019. [Google Scholar]
- Japanese society for cancer of the colon and rectum. Japanese Classification of Colorectal Carcinoma, 8th ed.; Kanehara Shuppan Press: Tokyo, Japan, 2009. [Google Scholar]
- Sano, Y.; Muto, M.; Tajiri, H.; Ohtsu, A.; Yoshida, S. Optical/digital chromoendoscopy during colonoscopy using narrow-band image system. Dig. Endosc. 2005, 17, S43–S48. [Google Scholar] [CrossRef]
- Tamai, N.; Horiuchi, H.; Matsui, H.; Furuhashi, H.; Kamba, S.; Dobashi, A.; Sumiyama, K. Visibility evaluation of colorectal lesion using texture and color enhancement imaging with video. DEN Open 2022, 2, e90. [Google Scholar] [CrossRef]
- Antonelli, G.; Bevivino, G.; Pecere, S.; Ebigbo, A.; Cereatti, F.; Akizue, N.; Di Fonzo, M.; Coppola, M.; Barbaro, F.; Walter, B.M.; et al. Texture and color enhancement imaging versus high definition white-light endoscopy for detection of colorectal neoplasia: A randomized trial. Endoscopy 2023, 55, 1072–1080. [Google Scholar] [CrossRef] [PubMed]
- Toyoshima, N.; Mizuguchi, Y.; Takamaru, H.; Nakamura, K.; Kakugawa, Y.; Sakamoto, T.; Shiroyama, M.; Kawagoe, R.; Tsuchiya, K.; Shinmura, K.; et al. The Efficacy of Texture and Color Enhancement Imaging Observation in the Detection of Colorectal Lesions: A Multicenter, Randomized Controlled Trial (deTXIon Study). Gastroenterology 2025. [Google Scholar] [CrossRef] [PubMed]
- Yoshida, N.; Inagaki, Y.; Inada, Y.; Kobayashi, R.; Tomita, Y.; Hashimoto, H.; Dohi, O.; Hirose, R.; Inoue, K.; Murakami, T.; et al. Additional 30-Second Observation of the Right-Sided Colon for Missed Polyp Detection with Texture and Color Enhancement Imaging Compared with Narrow Band Imaging: A Randomized Trial. Am. J. Gastroenterol. 2024, 119, 539–546. [Google Scholar] [CrossRef] [PubMed]
- Atkinson, N.S.; Ket, S.; Bassett, P.; Aponte, D.; De Aguiar, S.; Gupta, N.; Horimatsu, T.; Ikematsu, H.; Inoue, T.; Kaltenbach, T.; et al. Narrow-band imaging for detection of neoplasia at colonoscopy: A meta-analysis of data from individual patients in randomized controlled trials. Gastroenterology 2019, 157, 462–471. [Google Scholar] [CrossRef]
- Nishizawa, T.; Toyoshima, O.; Yoshida, S.; Uekura, C.; Kurokawa, K.; Munkhjargal, M.; Obata, M.; Yamada, T.; Fujishiro, M.; Ebinuma, H.; et al. TXI (Texture and Color Enhancement Imaging) for Serrated Colorectal Lesions. J. Clin. Med. 2021, 11, 119. [Google Scholar] [CrossRef]
- Okumura, T.; Hotta, K.; Imai, K.; Ito, S.; Kishida, Y.; Takada, K.; Kawaguchi, D.; Mori, Y.; Tanaka, Y.; Tsushima, T.; et al. Efficacy of texture and color enhancement imaging for the visibility and diagnostic accuracy of non-polypoid colorectal lesions. DEN Open 2024, 5, e380. [Google Scholar] [CrossRef]
- Aniwan, S.; Vanduangden, K.; Kerr, S.J.; Piyachaturawat, P.; Jangsirikul, S.; Luangsukrerk, T.; Kulpatcharapong, S.; Tiankanon, K.; Kongtab, N.; Wisedopas, N.; et al. Linked color imaging, mucosal exposure device, their combination, and standard colonoscopy for adenoma detection: A randomized trial. Gastrointest. Endosc. 2021, 94, 969–977. [Google Scholar] [CrossRef]







| Lesion Number | Group 1 EP-8000+EC-860ZP | Group 2 EP-8000+EC-760ZP | Group 3 VP-7000+EC-760ZP | p-Value |
|---|---|---|---|---|
| Patient number | 50 | 50 | 50 | |
| Age, mean ± SD (range) | 68.2 ± 10.4 (34–86) | 66.0 ± 14.4 (20–83) | 66.8 ± 11.6 (30–83) | 0.706 |
| Sex, male/female, n (%) | 25/25 (50.0/50.0) | 27/23 (54.0/46.0) | 32/18 (64.0/36.0) | 0.348 |
| Bowel preparation (good/bad) | 41/9 (82.0/18.0) | 39/11 (78.0/22.0) | 43/7 (86.0/14.0) | 0.581 |
| Polyp number | 56 | 62 | 52 | |
| Tumor location, right-sided/left-sided/rectum, n (%) | 39/11/6 (63.9/14.8/21.3) | 49/10/3 (79.0/16.1/4.8) | 35/12/5 (67.3/23.1/9.6) | 0.603 |
| Morphology type, polypoid/nonpolypoid, n (%) | 28/28 (50.0/50.0) | 23/39 (37.1/62.9) | 23/29 (44.2/55.8) | 0.366 |
| Tumor size, mm, mean ± SD (range) | 4.1 ± 3.5 (2–20) | 4.1 ± 3.2 (1–20) | 4.5 ± 3.3 (2–18) | 0.753 |
| Histopathological diagnosis, SSL/LGA/HGD + T1a, n (%) | 16/38/2 (28.6/67.9/3.6) | 17/43/2 (27.4/69.4/3.2) | 13/35/4 (25.0/67.3/7.7) | 0.812 |
| Group 1 EP-8000+EC-860ZP | Group 2 EP-8000+EC-760ZP | Group 3 VP-7000+EC-760ZP | p-Value Group 1 vs. 3 | p-Value Group 2 vs. 3 | p-Value Group 1 vs. 2 | ||
|---|---|---|---|---|---|---|---|
| Brightness Overall, mean ± SD | WLI | 3.72 ± 0.50 | 3.70 ± 0.48 | 3.51 ± 0.57 | <0.001 | <0.001 | 0.336 |
| BLI | 3.51 ± 0.67 | 3.38 ± 0.71 | 3.01 ± 0.71 | <0.001 | <0.001 | 0.017 | |
| LCI | 3.89 ± 0.32 | 3.79 ± 0.43 | 3.60 ± 0.56 | <0.001 | <0.001 | 0.001 | |
| Brightness Experts, mean ± SD | WLI | 3.85 ± 0.35 | 3.82 ± 0.40 | 3.59 ± 0.56 | <0.001 | <0.001 | 0.243 |
| BLI | 3.63 ± 0.60 | 3.44 ± 0.60 | 2.99 ± 0.59 | <0.001 | <0.001 | 0.007 | |
| LCI | 3.94 ± 0.18 | 3.86 ± 0.33 | 3.62 ± 0.59 | <0.001 | <0.001 | 0.004 | |
| Brightness Non-experts, mean ± SD | WLI | 3.59 ± 0.59 | 3.59 ± 0.52 | 3.44 ± 0.57 | 0.025 | 0.019 | 0.474 |
| BLI | 3.44 ± 0.70 | 3.38 ± 0.71 | 3.02 ± 0.80 | <0.001 | <0.001 | 0.279 | |
| LCI | 3.82 ± 0.40 | 3.72 ± 0.46 | 3.62 ± 0.59 | <0.001 | 0.004 | 0.055 | |
| Halation Overall, mean ± SD | WLI | 3.42 ± 0.59 | 3.19 ± 0.71 | 3.12 ± 0.73 | <0.001 | 0.137 | <0.001 |
| BLI | 3.19 ± 0.64 | 3.03 ± 0.68 | 2.86 ± 0.73 | <0.001 | 0.004 | 0.003 | |
| LCI | 3.29 ± 0.61 | 3.12 ± 0.63 | 3.00 ± 0.65 | <0.001 | 0.026 | <0.001 | |
| Halation Experts, mean ± SD | WLI | 3.58 ± 0.56 | 3.25 ± 0.75 | 3.20 ± 0.78 | <0.001 | 0.290 | <0.001 |
| BLI | 3.41 ± 0.54 | 3.21 ± 0.65 | 2.98 ± 0.76 | <0.001 | 0.006 | 0.005 | |
| LCI | 3.47 ± 0.55 | 3.17 ± 0.55 | 3.02 ± 0.70 | <0.001 | 0.052 | <0.001 | |
| Halation Non-experts, mean ± SD | WLI | 3.25 ± 0.58 | 3.12 ± 0.65 | 3.02 ± 0.67 | 0.003 | 0.149 | 0.045 |
| BLI | 2.96 ± 0.64 | 2.83 ± 0.64 | 2.73 ± 0.68 | 0.005 | 0.114 | 0.068 | |
| LCI | 3.12 ± 0.61 | 3.05 ± 0.57 | 2.97 ± 0.59 | 0.032 | 0.137 | 0.188 | |
| Visibility Overall, mean ± SD | WLI | 3.28 ± 0.73 | 3.01 ± 0.87 | 3.09 ± 0.82 | 0.005 | 0.172 | <0.001 |
| BLI | 3.69 ± 0.54 | 3.46 ± 0.68 | 3.36 ± 0.69 | <0.001 | 0.069 | <0.001 | |
| LCI | 3.63 ± 0.59 | 3.40 ± 0.70 | 3.31 ± 0.71 | <0.001 | 0.119 | <0.001 | |
| Visibility Experts, mean ± SD | WLI | 3.50 ± 0.65 | 3.10 ± 0.90 | 3.08 ± 0.83 | <0.001 | 0.437 | <0.001 |
| BLI | 3.83 ± 0.42 | 3.54 ± 0.62 | 3.37 ± 0.68 | <0.001 | 0.023 | <0.001 | |
| LCI | 3.84 ± 0.40 | 3.52 ± 0.68 | 3.35 ± 0.65 | <0.001 | 0.029 | <0.001 | |
| Visibility Non-experts, mean ± SD | WLI | 3.05 ± 0.73 | 2.92 ± 0.81 | 3.09 ± 0.80 | 0.684 | 0.059 | 0.107 |
| BLI | 3.55 ± 0.61 | 3.36 ± 0.71 | 3.34 ± 0.69 | 0.010 | 0.429 | 0.014 | |
| LCI | 3.41 ± 0.66 | 2.26 ± 0.69 | 3.27 ± 0.75 | 0.073 | 0.447 | 0.043 |
Disclaimer/Publisher’s Note: The statements, opinions and data contained in all publications are solely those of the individual author(s) and contributor(s) and not of MDPI and/or the editor(s). MDPI and/or the editor(s) disclaim responsibility for any injury to people or property resulting from any ideas, methods, instructions or products referred to in the content. |
© 2025 by the authors. Licensee MDPI, Basel, Switzerland. This article is an open access article distributed under the terms and conditions of the Creative Commons Attribution (CC BY) license (https://creativecommons.org/licenses/by/4.0/).
Share and Cite
Yoshida, N.; Okada, M.; Hayashi, Y.; Kobayashi, R.; Inoue, K.; Dohi, O.; Itoh, Y.; Hirose, R.; Cardoso, L.; Suzuki, K.; et al. Improvement of Colonoscopic Image Quality Using a New LED Endoscopic System with Specialized Noise Reduction. Diagnostics 2025, 15, 1569. https://doi.org/10.3390/diagnostics15121569
Yoshida N, Okada M, Hayashi Y, Kobayashi R, Inoue K, Dohi O, Itoh Y, Hirose R, Cardoso L, Suzuki K, et al. Improvement of Colonoscopic Image Quality Using a New LED Endoscopic System with Specialized Noise Reduction. Diagnostics. 2025; 15(12):1569. https://doi.org/10.3390/diagnostics15121569
Chicago/Turabian StyleYoshida, Naohisa, Masahiro Okada, Yoshikazu Hayashi, Reo Kobayashi, Ken Inoue, Osamu Dohi, Yoshito Itoh, Ryohei Hirose, Lucas Cardoso, Kohei Suzuki, and et al. 2025. "Improvement of Colonoscopic Image Quality Using a New LED Endoscopic System with Specialized Noise Reduction" Diagnostics 15, no. 12: 1569. https://doi.org/10.3390/diagnostics15121569
APA StyleYoshida, N., Okada, M., Hayashi, Y., Kobayashi, R., Inoue, K., Dohi, O., Itoh, Y., Hirose, R., Cardoso, L., Suzuki, K., Yano, T., & Yamamoto, H. (2025). Improvement of Colonoscopic Image Quality Using a New LED Endoscopic System with Specialized Noise Reduction. Diagnostics, 15(12), 1569. https://doi.org/10.3390/diagnostics15121569

