Next Article in Journal
Comparison of Bone Mineral Density and Trabecular Bone Score in Patients with and without Vertebral Fractures and Differentiated Thyroid Cancer with Long-Term Serum Thyrotrophin-Suppressed Therapy
Previous Article in Journal
Artificial Intelligence Provides Accurate Quantification of Thoracic Aortic Enlargement and Dissection in Chest CT
 
 
Font Type:
Arial Georgia Verdana
Font Size:
Aa Aa Aa
Line Spacing:
Column Width:
Background:
Article

New Radiological Corticalization Index as an Indicator of Implant Success Rate Depending on Prosthetic Restoration—5 Years of Follow-Up

1
Department of Maxillofacial Surgery, Medical University of Lodz, 113 Żeromskiego Str., 90-549 Lodz, Poland
2
Department of Oral Surgery, Pomeranian Medical University in Szczecin, 70-111 Szczecin, Poland
3
4th Military Clinical Hospital in Wroclaw, ul. Rudolfa Weigla 5, 50-981 Wroclaw, Poland
4
Department of Maxillofacial Surgery, Medical University of Gdansk, Mariana Smoluchowskiego 17, 80-214 Gdansk, Poland
*
Author to whom correspondence should be addressed.
Diagnostics 2024, 14(9), 867; https://doi.org/10.3390/diagnostics14090867
Submission received: 9 March 2024 / Revised: 17 April 2024 / Accepted: 19 April 2024 / Published: 23 April 2024
(This article belongs to the Section Medical Imaging and Theranostics)

Abstract

The new Radiological Corticalization Index (CI) is an indicator that describes bone remodeling near the dental implant’s neck at the pixel level and is not visible to the naked eye. The aim of this research was to evaluate the correlation between the CI and bone remodeling using only radiographic (RTG) images. RTG samples were divided into groups depending on prosthetic restoration; the implant neck area around dental implants was examined, and texture features of the RTG images were analyzed. The study also investigated the type of prosthetic restoration and its influence as a factor on bone structure. The statistical analysis included evaluating feature distribution, comparing means (t-test) or medians (W-test), and performing a regression analysis and one-way analysis of variance or the Kruskal–Wallis test, as no normal distribution or between-group variance was indicated for the significant differences in the investigated groups. Differences or relationships were considered statistically significant at p < 0.05. The research revealed correlations between single crowns, overdenture restoration, bridge restoration, platform switching, prosthetic fracture, CI, and also marginal bone loss where p was lower than 0.05. However, the corticalization phenomenon itself has not yet been fully explored. The findings suggest that, depending on the type of prosthetic restoration, the corticalization index may correlate with marginal bone loss or not. Further research is necessary, as the index is suspected to not be homogeneous.

1. Introduction

The placement of dental implants and their successful healing after a few months do not mark the end of treatment. A subsequent and equally critical step is the prosthetic restoration of the dental implant. Given the options, treatments can range from single crowns and splinted crowns to dental bridges and overdentures, depending on the patient’s needs. However, this step might not be the last if post-restoration complications arise, potentially leading to periimplantitis and marginal bone loss near the implants, which can ultimately result in implant loss [1,2].
Currently, the condition of periimplantitis, characterized by both radiological and clinical symptoms, is the primary method for detecting marginal bone loss and predicting implant failure. Unfortunately, some symptoms manifest too late, making it impossible to save the implant. Both surgical and non-surgical treatments may prove ineffective if symptoms are identified too late [3]. Radiological examinations, such as single radiographic (RTG) images, offer a minimally invasive method that can provide extensive data for dental surgeons [4]. Sometimes, changes are detectable on RTG images before clinical symptoms become apparent.
Utilizing dental RTG images allows for the calculation of texture features that can describe the image at the pixel level. These texture features can be employed to distinguish between types of bones (cortical or trabecular). The same features were used to develop the Corticalization Index, which quantifies how bone changes or rebuilds throughout the healing period [5,6,7,8]. The corticalization phenomenon is still not well understood and requires further research.
Before implant loss or failure, certain symptoms manifest. What if there were an index that could predict failure before clinical signs appeared? The aim of this study is to present, analyze, and evaluate a new bone index that could potentially forecast dental implant failure following dental implant restoration.

2. Materials and Methods

2.1. Inclusion Criteria

Participants were included based on the following criteria: presence of osseointegrated implants after 3 months of healing with prosthetic restoration, age of at least 18 years, bleeding on gingival probing below 20%, probing depth of 3 mm or less, good oral hygiene, regular follow-ups, and two-dimensional radiographs taken during routine checks. Laboratory tests included vitamin levels, ion levels, and hormone levels: parathormone (PTH, normal range 10 to 60 pg/mL), thyrotropin (TSH, normal range 0.23–4.0 µU/mL), calcium in serum (Ca2+, normal range 9–11 mg/dL), glycated hemoglobin (HbA1c, normal range below 5%), and vitamin 25(OH)D3 (D3, normal range 31–50 ng/mL). Spine densitometry was also considered, where a T-score indicates bone mineral density (BMD). A normal bone score is greater than −1.0; osteopenia is indicated by values between −1.0 and −2.5; and scores below −2.5 indicate osteoporosis (Table 1).

2.2. Exclusion Criteria

Exclusion criteria included: loss of implant after the initial 3-month healing period, absence of X-rays, defective X-ray images upon visual assessment, absence of laboratory tests, uncontrolled internal comorbidities (such as diabetes mellitus, thyroid dishormonoses, rheumatoid disease, and other immunodeficiencies), a history of oral radiation therapy, past or current use of cytostatic drugs, soft and bone tissue augmentation, and low quality or lack of follow-up radiographs (Table 2).

2.3. Treatment Procedure

All surgeries and prosthetic treatments were performed by a single dentist (M.K.), adhering to all guidelines and protocols. After the initial 3-month healing period, the implant was uncovered under local anesthesia with Articaine + Adrenaline 1:100,000. Standard healing screws were inserted. Impressions were taken two weeks later, following soft tissue healing, and prosthetic restorations were applied, consisting of titanium abutments and crowns made of ceramic and CrCo alloy. The observation period lasted for 5 years.

2.4. Data Acquisition

Standardized intraoral radiographs were taken immediately after the surgery (0 M) and after 5 years of observation (5 y). Radiographs were captured using the DIGORA OPTIME radiography system (TYPE DXR-50, SOREDEX, Helsinki, Finland). The RTG images were taken in a standardized manner with the following settings: 7 mA, 70 mV, and 0.1 s. The focus apparatus was provided by Instrumentarium Dental, Tuusula, Finland. Positioners ensured that images were taken repeatedly with a 90° angle of the X-ray beam to the surface of the phosphor plate.
Radiologically recorded peri-implant bone structure was studied through digital texture analysis using the previously proposed version 1 of the Corticalization Index (CI) [9,10]. It consists of the product of a measure that evaluates the number of long series of pixels of similar optical density with the mean optical density of the studied site (in the numerator) and the magnitude of the chaotic arrangement of the texture pattern, i.e., differential entropy (in the denominator).
A total of 2196 samples were divided into groups based on the type of prosthetic restoration: single crowns, splinted crowns, bridges, and overdentures, also considering periodic control. The corticalization index and marginal bone loss were measured and compared near the implant neck on the day of surgery and after five years for single crowns, splinted crowns, bridges, and overdentures. These parameters were also measured and compared in cases of platform switching (PS) and varying bridge lengths. Methods of crown fixation (cementation and screwing) were also considered. The retention loss and multiple instances of retention loss in prosthetic restorations were calculated depending on the corticalization and marginal bone loss near the implant neck. Additionally, fractures in prosthetic restorations were analyzed.
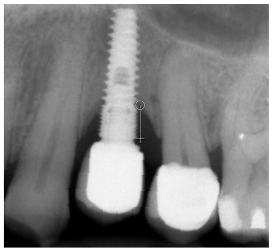
Marginal bone loss (MBL) was measured on radiological images [11] (Figure 1). The texture of X-ray images was analyzed using MaZda 4.6 freeware developed by the University of Technology in Lodz [6,12] to assess measures of corticalization in the peri-implant environment of trabecular bone (representing original bone before implant-related alterations) and soft tissue (indicative of marginal bone loss). MaZda provides both first-order (Mean Optical Density) and second-order (Differential Entropy: DifEntr; Long-Run Emphasis Moment: LngREmph) data. As the second-order data are provided for four directions in the image and the present study did not focus on directional features, the arithmetic mean of these four primary data points was used for further analysis. Regions of interest (ROIs) were marked near the neck area (Figure 2) and normalized (μ ± 3σ) to have the same mean (μ) and standard deviation (σ) of optical density within the ROI. To further reduce noise, data were limited to 6 bits. For analysis in a co-occurrence matrix, a spacing of 5 pixels was chosen. In the formulas that follow, p(i) is a normalized histogram vector (i.e., histogram entries divided by the total number of pixels in the ROI), i = 1, 2, …, and Ng denotes the number of optical density levels. The Mean Optical Density feature (a first-order feature) was calculated as follows:
M e a n   O p t i c a l   D e n s i t y = i = 1 N g i p ( i )
Second order features:
D i f E n t r = i = 1 N g p x y i l o g ( p x y ( i ) )
where Σ is the sum, Ng is the number of levels of optical density in the radiograph, i and j are the optical density of pixels that are 5 pixels distant from one another, p is the probability, and log is the common logarithm [13]. The differential entropy calculated in this way is a measure of the overall scatter of bone structure elements in a radiograph. Its high values are typical for cancellous bone. Next, the last primary texture feature was calculated:
L n g R E m p h = i = 1 N g k = 1 N r k 2 p ( i , k ) i = 1 N g k = 1 N r p ( i , k )
where Σ is the sum, Nr is the number of series of pixels with density level i and length k, Ng is the number of levels for image optical density, Nr is the number of pixels in the series, and p is the probability [14,15]. This texture feature describes thick, uniformly dense, radio-opaque bone structures in intra-oral radiograph images.
C I = L n g R E m p h · M e a n   O p t i c a l   D e n s i t y D i f E n t r
Statistical analysis included feature distribution evaluation, mean (t-test) or median (W-test) comparison, regression analysis, and a one-way analysis of variance or the Kruskal–Wallis test as indicated by non-normal distribution or between-group variance on significant differences in the investigated groups. Differences or relationships were assumed to be statistically significant at p < 0.05. Statgraphics Centurion version 18.1.12 (StatPoint Technologies, Warrenton, VA, USA) was used for statistical analyses.
The limitation of the study is that the laboratory tests were not carried out during the observation period.

3. Results

3.1. Single Crowns

The study revealed that the initial corticalization index was higher in the cases of 1 and 3 neighboring single crown restorations, respectively 149.55 ± 88.62 and 261.41 ± 47.52, where p was lower than 0.05. After 5 years of observation, the corticalization index was significantly higher for 1 single crown, at 194.70 ± 189.08, where p was lower than 0.05. In the case of 3 single crowns, the CI was 239.73 ± 70.87, and p > 0.05. Marginal bone loss correlated with single crowns only initially (mean 0 ± 1.03 mm), where p was lower than 0.05, and disappeared after 5 years (mean 0 ± 1.22 mm) of observation, p > 0.05. The study revealed a statistically significant difference between 1 and 3 single crowns in the case of corticalization in the initial period, between 0 and 1 single crown in the case of corticalization after 5 years, and between 0 and 1 single crown in the case of marginal bone loss in the initial period (Table 3) (Figure 3).

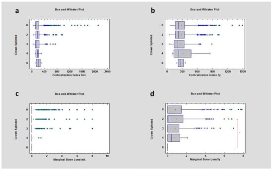
3.2. Splinted Crowns

In the case of splinted crowns, there was no statistical significance initially or after 5 years of observation concerning the corticalization index. However, a relationship was noted between marginal bone loss after 5 years in 2 and 6 splinted crowns, respectively 0.14 ± 1.26 mm and 0.00 ± 0.00 mm (Table 4) (Figure 4).

3.3. Overdenture Restoration

The corticalization index was initially higher in the case of overdenture restorations compared to non-overdentures and remained higher 5 years after observation, at 185.46 ± 162.46 and 359.91 ± 248.70, respectively, where p was lower than 0.05. After 5 years, marginal bone loss was lower in cases of non-overdenture restorations compared to overdentures, respectively 0 ± 1.24 mm and 0.5 ± 1.47 mm, which was statistically significant (Table 5) (Figure 5).

3.4. Bridge Restoration

The corticalization index increased in cases where bridges were used compared to non-bridge restorations. Initially, the CI for bridges and non-bridges was, respectively, 172.03 ± 208.84 and 163.41 ± 112.99. After 5 years of observation, it was, respectively, 250.96 ± 165.89 and 210.88 ± 187.64, with p values lower than 0.05 in both cases. Marginal bone loss after 5 years was higher in cases with bridge restorations compared to non-bridges, respectively 0.00 ± 1.3 mm and 0.00 ± 1.24 mm, with a p value lower than 0.05 (Table 6) (Figure 6).

3.5. Presence of Platform Switching (PS)

This study also revealed that the CI in cases of platform switching presence or absence, after 5 years of observation, was higher and changed from the initial values, respectively, from 155.50 ± 95.73 to 196.50 ± 139.84 (PS) and from 170.65 ± 157.85 to 227.23 ± 190.46 (non-PS), indicating that the increase in the CI was statistically significant when the p value was lower than 0.05. Marginal bone loss after the observation period was higher in the cases of non-platform switching implants compared to implants with PS, respectively 0 ± 1.29 mm and 0 ± 1.10 mm, but this was not statistically significant, p > 0.05 (Table 7) (Figure 7).

3.6. Cemented vs. Screwed Prosthetic Restoration

An increase in the CI was observed in cases of prosthetic restorations that were cemented compared to screwed ones, from 162.74 ± 147.50 at baseline to 218.57 ± 179.20 at 5 years and from 168.99 ± 96.99 at baseline to 194.14 ± 71.81 at 5 years, respectively. After 5 years of observation, there was a weak but statistically significant difference in crown fixation methods, where the p value was 0.05; however, no statistical difference was found between them. MBL after 5 years of observation for cemented crowns was 0.00 ± 1.26 mm and for screwed crowns was 0.00 ± 1.29 mm, which was not statistically significant, p > 0.05 (Table 8) (Figure 8).

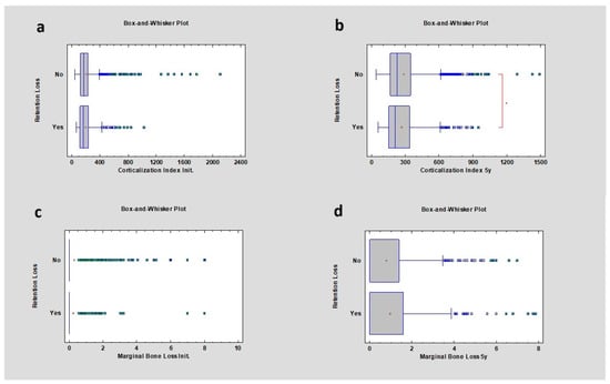
3.7. Presence of Retention Loss in Prosthetic Restoration

In this study, the corticalization index (CI) increased in both cases, with and without retention loss of prosthetic restoration, from 163.75 ± 127.30 to 206.92 ± 169.88 where retention loss was present and from 167.51 ± 150.67 to 224.91 ± 186.13 where retention loss was not observed. After 5 years of observation, the study revealed a statistically significant change in the CI between these two groups, where the p value was lower than 0.05. Marginal bone loss after 5 years was 0.00 ± 1.5 mm where retention loss occurred at least once, and 0.00 ± 1.16 mm where retention loss was not recorded, with no statistical significance (p > 0.05) (Table 9) (Figure 9).

3.8. Bridge Length

The study also analyzed the length of bridge restorations and their effects on the corticalization index and marginal bone loss. There was a correlation between the corticalization index value and bridge length. After 5 years of observation, the p value was lower than 0.05, with the most significant difference observed between single crowns and 3-point bridges, with CI values of 211.14 ± 189.14 and 282.20 ± 170.30, respectively. Initially, the CI was lower, at 164.23 ± 113.02 for single crowns and 183.00 ± 153.16 for 3-point bridges. The correlation between marginal bone loss (MBL) and bridge length was also analyzed and showed statistically significant changes after 5 years, with the greatest differences observed in groups with 0–3, 3–6, 4–6, 6–7, 6–9, and 6–10 point bridges. MBL values for these groups were: single crowns—0 ± 1.24 mm; 3-point bridges—0 ± 0.91 mm; 4-point bridges—0 ± 1.00 mm; 6-point bridges—1.5 ± 2.54 mm; 7-point bridges—0 ± 0.00 mm; 9-point bridges—0 ± 0.00 mm; and 10-point bridges—0 ± 0.94 mm (Figure 10).

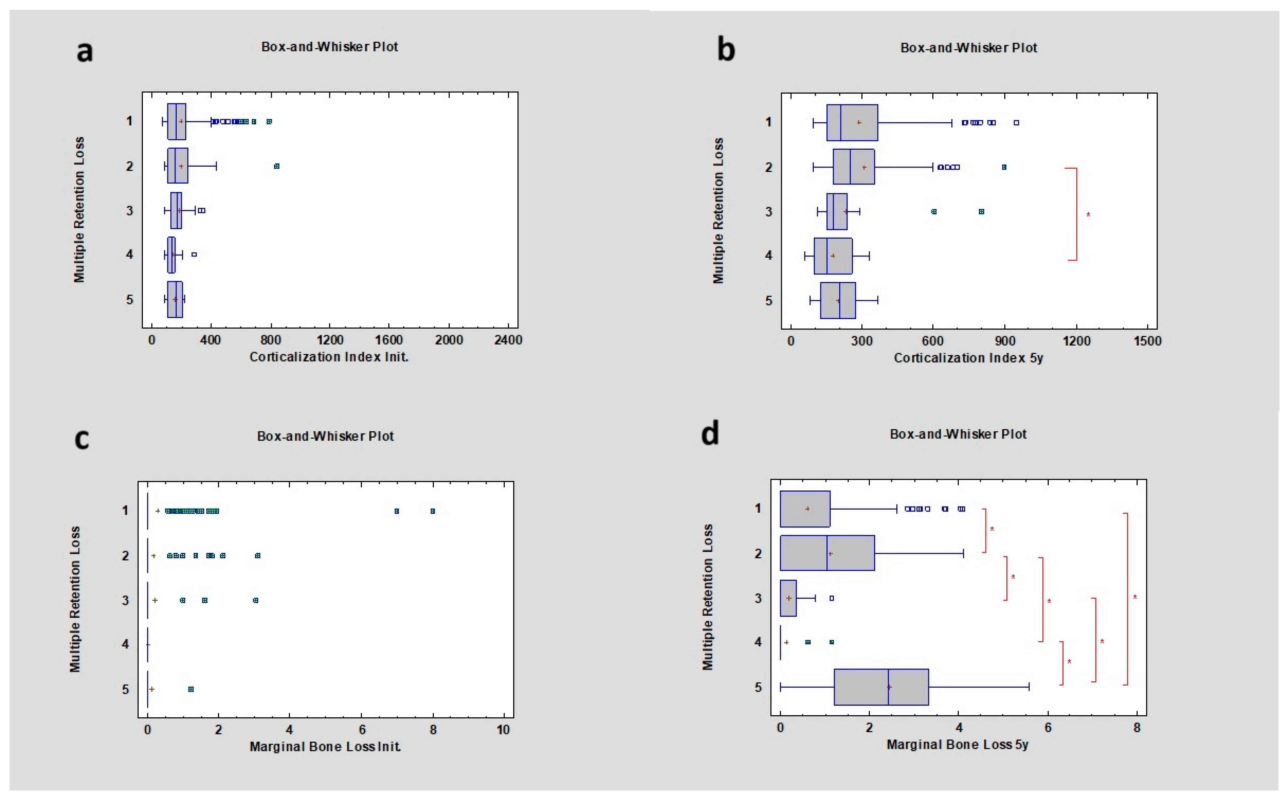
3.9. Multiple Retention Losses

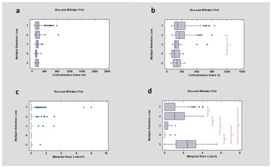
Research also investigated the correlation between multiple retention losses of prosthetic restorations and the corticalization phenomenon, as well as marginal bone loss. Statistical analysis revealed no correlation between multiple retention losses and the corticalization index in the initial period. Additionally, there was no correlation between multiple retention losses and the appearance of marginal bone loss in both cases, with no statistical significance (p > 0.05) (Figure 11 and Table 8).

3.10. Multiple Retention Losses after 5 Years

After 5 years of observation, research showed that a correlation had appeared between multiple retention losses and the corticalization index, with greater differences observed between instances of 2 and 4 times prosthetic retention loss. The CI was 247.73 ± 185.04 and 152.86 ± 93.65, respectively, with a p value lower than 0.05, which was statistically significant. There was also a statistically significant difference between multiple retention losses and marginal bone loss after 5 years. The greatest differences were between single retention loss and 2 and 5 times retention loss, with additional differences observed between double retention loss and 3 and 4 times retention loss (Figure 9 and Table 10).

3.11. Prosthetic Fracture

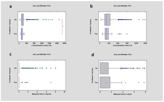
The study revealed that the CI in cases where prosthetic fracture was detected was lower compared to no fracture cases, respectively 146.73 ± 47.89 and 167.76 ± 147.47 (p < 0.05). After 5 years, in both cases, the CI increased to 209.19 ± 170.13 and 221.68 ± 182.87, respectively. There was no statistical significance, and the p value was higher than 0.05. The study also showed that there was no relation between prosthetic fracture and marginal bone loss initially or after 5 years of observation, with a p value higher than 0.05 (Table 11) (Figure 12).

4. Discussion

The corticalization phenomenon, or corticalization index, is still not well explored in science. The literature reveals only a few studies that describe this phenomenon in dental/implant surgery [8,9,10,16]. Considering the presented research, this phenomenon may reflect various changes in the alveolar bone, both positive and negative, depending on multiple factors.
Studies from 1980 indicated that a marginal bone loss (MBL) of 1–1.5 mm around dental implants in the first year and less than 0.2 mm in subsequent years was acceptable. Is this standard still valid in this century? Recent studies have shown that marginal bone loss depends on factors such as tobacco smoking, the presence or absence of platform switching, cement remnants, overloading in occlusion, poor oral hygiene, and the type of prosthetic restoration [17,18,19,20,21].
The presented research demonstrated that single crown restorations led to lower MBL compared to three single crowns. Additionally, the CI increased in cases of single crowns after 5 years of observation. In cases of splinted crowns, the impact of this type of restoration on bone corticalization was not observed, likely due to the different distribution of masticatory forces transmitted to the bone surrounding the implant [22,23]. If corticalization has a negative effect, then splinted crowns are a beneficial prosthetic solution. This is evidenced by the lack of bone atrophy in the implant neck area despite an increase in the CI. This further indicates that the corticalization phenomenon is not homogeneous. Single crowns remain one of the most popular prosthetic restorations and typically result in less MBL compared to implant-supported prostheses. Splinted crowns also tend to preserve marginal bone around dental implants [24,25].
In the case of implant-based removable prosthetic restorations, such as overdentures, MBL was observed, which was also associated with an increasing corticalization index. Removable implant restorations lead to higher marginal bone loss compared to fixed ones [26], likely due to axial forces during mastication. Therefore, the type of prosthetic restoration, such as overdentures, impacts bone changes such as corticalization and, subsequently, marginal bone loss around the implant neck. At times, the appearance of corticalization may signal impending bone atrophy [27,28].
Bridges with varying lengths were also correlated with changes in the corticalization index and MBL. This restoration type showed an impact on bone rebuilding near the dental implant neck. Bridges with six points exhibited the least favorable mechanical properties compared to shorter or longer ones. Bridge restorations generally revealed better marginal bone preservation compared to overdentures, which is also confirmed in the literature [21].
The presence of platform switching (PS) was also evaluated in this study. The presence or absence of PS did not impact MBL around dental implants. However, an increase in the CI was observed in cases without PS. The occurrence of PS seems to mitigate the adverse effects of increasing corticalization over time. The construction of dental implants may influence bone remodeling near the implants, with studies showing that PS is associated with bone preservation near the implants [27,29,30,31,32]. Given that the CI increased with the presence of PS, it can be inferred that this phenomenon positively impacts bone remodeling.
Cement-retained versus screw-retained prosthetic restorations were also evaluated, comparing MBL and changes in the CI. Some publications indicate that cemented restorations had better outcomes post-observation period [33,34,35] compared to screw-retained ones regarding MBL. No study has focused on the corticalization phenomenon itself. Research shows that the CI increased where a cemented solution was chosen. There was no correlation between MBL in both fixation solutions and corticalization. This suggests that the phenomenon is heterogeneous and may depend on many factors still under investigation.
During the observation period, loosening of retention in prosthetic restorations is possible and is often reported as the most common complication [36,37,38,39]. In both scenarios—whether retention loss was observed or not—the CI increased, but it was higher in cases where no retention loss was indicated. Research also showed that MBL was higher where retention loss occurred. Notably, cases without loosening retention led to a higher CI value and a marginally smaller MBL compared to cases where retention loss occurred. In cases with multiple retention losses, changes in the CI were observed; however, the CI was lower where retention losses occurred more frequently, which correlated with a smaller observed MBL. Does this mean that the CI has a positive relationship with bone remodeling around dental implants and can preserve marginal bone? Generally, if a restoration is losing retention, it suggests negative forces are at play, highlighting the heterogeneity of this phenomenon.
The final complication evaluated in this study was prosthetic/abutment fracture, a rare occurrence in clinical practice [1,40]. No correlation was found between prosthetic fractures and marginal bone loss around dental implants. Research also did not reveal any correlation between fractures and the corticalization phenomenon after 5 years. Nevertheless, higher values of the corticalization index were observed in cases where prosthetic fractures were not present. Did the intact reconstructions transmit greater forces into the bone, thereby remodeling it? What effect does bone remodeling/corticalization around the dental implant neck have on the surrounding bone tissue?

5. Conclusions

The corticalization phenomenon could serve as a novel, specific indicator and predictor of bone loss. This research has once again demonstrated that this phenomenon is heterogeneous, manifesting in various forms. Significant correlations were observed between different types of prosthetic restorations and changes in bone structure, including corticalization. Further investigation and detailed descriptions of the corticalization phenomenon are necessary to fully understand its implications.

Author Contributions

Conceptualization, T.W. and M.K.; data curation, T.W. and J.O.; formal analysis, T.W.; funding acquisition, M.K.; investigation, T.W. and R.Z.; methodology, T.W.; resources, T.W.; software, T.W.; supervision, M.K.; validation, M.K.; visualization, T.W. and A.M.; writing-original draft, T.W.; writing-review and editing, T.W., M.K. and G.T. All authors have read and agreed to the published version of the manuscript.

Funding

This research was funded by the Medical University of Lodz (grant numbers 503/5-061-02/503-51-001-18, 503/5-061-02/503-51-001-17, and 503/5-061-02/503-51-002-18).

Institutional Review Board Statement

The study was conducted according to the guidelines of the Declaration of Helsinki and approved by the Institutional Ethics Committee of the Medical University of Lodz, PL (protocol no. RNN 485/11/KB and date of approval: 14 June 2011).

Informed Consent Statement

Informed consent was obtained from all subjects involved in the study.

Data Availability Statement

The data on which this study is based will be made available upon request at https://www.researchgate.net/profile/Tomasz-Wach, access date: 14 April 2024.

Conflicts of Interest

The authors declare no conflicts of interest.

References

  1. Sailer, I.; Karasan, D.; Todorovic, A.; Ligoutsikou, M.; Pjetursson, B.E. Prosthetic failures in dental implant therapy. Periodontology 2000 2022, 88, 130–144. [Google Scholar] [CrossRef] [PubMed]
  2. Rammelsberg, P.; Lorenzo-Bermejo, J.; Kappel, S. Effect of prosthetic restoration on implant survival and success. Clin. Oral. Implants Res. 2017, 28, 1296–1302. [Google Scholar] [CrossRef] [PubMed]
  3. Ramanauskaite, A.; Cafferata, E.A.; Begic, A.; Schwarz, F. Surgical interventions for the treatment of peri-implantitis. Clin. Implant. Dent. Relat. Res. 2023, 25, 682–695. [Google Scholar] [CrossRef] [PubMed]
  4. Ravikanth, R. Effective radiological imaging for the good of patients: Weighing benefits and risks. World J. Nucl. Med. 2017, 16, 85–87. [Google Scholar] [CrossRef] [PubMed]
  5. Haralick, R.M.; Shanmugam, K.; Dinstein, I.H. Haralick Textural Features for Image Classification. IEEE Trans. Syst. Man Cybern. 1973, SMC-3, 610–621. [Google Scholar] [CrossRef]
  6. Szczypiński, P.M.; Strzelecki, M.; Materka, A.; Klepaczko, A. MaZda—The Software Package for Textural Analysis of Biomedical Images. In Computers in Medical Activity; Kącki, E., Rudnicki, M., Stempczyńska, J., Eds.; Advances in Intelligent and Soft Computing; Springer: Berlin/Heidelberg, Germany, 2009; Volume 65. [Google Scholar] [CrossRef]
  7. Szczypiński, P.; Strzelecki, M.M.A. MaZda—A Software for Texture Analysis. In Proceedings of the ISITC, Jeonju, Republic of Korea, 23–24 November 2007; pp. 245–249. [Google Scholar]
  8. Wach, T.; Hadrowicz, P.; Trybek, G.; Michcik, A.; Kozakiewicz, M. Is Corticalization in Radiographs Related to a Higher Risk of Bone Loss around Dental Implants in Smoking Patients? A 5-Year Observation of Radiograph Bone-Texture Changes. J. Clin. Med. 2023, 12, 5351. [Google Scholar] [CrossRef] [PubMed]
  9. Kozakiewicz, M.; Skorupska, M.; Wach, T. What Does Bone Corticalization around Dental Implants Mean in Light of Ten Years of Follow-Up? J. Clin. Med. 2022, 11, 3545. [Google Scholar] [CrossRef]
  10. Kozakiewicz, M. Measures of Corticalization. J. Clin. Med. 2022, 11, 5463. [Google Scholar] [CrossRef] [PubMed]
  11. Kwiatek, J.; Jaroń, A.; Trybek, G. Impact of the 25-Hydroxycholecalciferol Concentration and Vitamin D Deficiency Treatment on Changes in the Bone Level at the Implant Site during the Process of Osseointegration: A Prospective, Randomized, Controlled Clinical Trial. J. Clin. Med. 2021, 10, 526. [Google Scholar] [CrossRef]
  12. Szczypiński, P.M.; Strzelecki, M.; Materka, A.; Klepaczko, A. MaZda—A software package for image texture analysis. Comput. Methods Prog. Biomed. 2009, 94, 66–76. [Google Scholar] [CrossRef]
  13. Linkevicius, T.; Puisys, A.; Linkevicius, R.; Alkimavicius, J.; Gineviciute, E.; Linkeviciene, L. The influence of submerged healing abutment or subcrestal implant placement on soft tissue thickness and crestal bone stability. A 2-year randomized clinical trial. Clin. Implant. Dent. Relat. Res. 2020, 22, 497–506. [Google Scholar] [CrossRef] [PubMed]
  14. Haralick, R.M. Statistical and structural approaches to texture. Proc. IEEE 1979, 67, 786–804. [Google Scholar] [CrossRef]
  15. Materka, A.; Strzelecki, M. Texture analysis methods—A review. In Proceedings of the MC Meeting and Workshop; COST B11 report, Brussels; Institute of Electronics, Technical University of Lodz: Lodz, Poland, 1998. [Google Scholar]
  16. Kozakiewicz, M.; Wach, T. Exploring the Importance of Corticalization Occurring in Alveolar Bone Surrounding a Dental Implant. J. Clin. Med. 2022, 11, 7189. [Google Scholar] [CrossRef]
  17. Di Domênico, M.B.; Collares, K.F.; Bergoli, C.D.; Dos Santos, M.B.F.; Corazza, P.H.; Özcan, M. Factors related to early marginal bone loss in dental implants—A multicentre observational clinical study. Appl. Sci. 2021, 11, 11197. [Google Scholar] [CrossRef]
  18. Galindo-Moreno, P.; Catena, A.; Pérez-Sayáns, M.; Fernández-Barbero, J.E.; O’Valle, F.; Padial-Molina, M. Early marginal bone loss around dental implants to define success in implant dentistry: A retrospective study. Clin. Implant. Dent. Relat. Res. 2022, 24, 630–642. [Google Scholar] [CrossRef] [PubMed]
  19. Smith, D.E.; Zarb, G.A. Criteria for success of osseointegrated endosseous implants. J. Prosthet. Dent. 1989, 62, 567–572. [Google Scholar] [CrossRef] [PubMed]
  20. Misch, C.E.; Perel, M.L.; Wang, H.L.; Sammartino, G.; Galindo-Moreno, P.; Trisi, P.; Steigmann, M.; Rebaudi, A.; Palti, A.; Pikos, M.A.; et al. Implant success, survival, and failure: The International Congress of Oral Implantologists (ICOI) pisa consensus conference. Implant. Dent. 2008, 17, 5–15. [Google Scholar] [CrossRef] [PubMed]
  21. Szpak, P.; Szymanska, J. The relationship between marginal bone loss around dental implants and the specific characteristics of implant-prosthetic treatment. Curr. Issues Pharm. Med. Sci. 2018, 31, 97–100. [Google Scholar] [CrossRef]
  22. Larsson, A.; Ramos Chrcanovic, B. medicina Risk Factors Associated with Failure and Technical Complications of Implant-Supported Single Crowns: A Retrospective Study. Medicina 2023, 59, 1603. [Google Scholar] [CrossRef]
  23. Bredberg, C.; Vu, C.; Häggman-Henrikson, B.; Ramos Chrcanovic, B. Marginal bone loss around dental implants: Comparison between matched groups of bruxer and non-bruxer patients: A retrospective case-control study. Clin. Implant. Dent. Relat. Res. 2023, 25, 124–132. [Google Scholar] [CrossRef]
  24. Alhammadi, S.H.; Burnside, G.; Milosevic, A. Clinical outcomes of single implant supported crowns versus 3-unit implant-supported fixed dental prostheses in Dubai Health Authority: A retrospective study. BMC Oral. Health 2021, 21, 171. [Google Scholar] [CrossRef] [PubMed]
  25. Di Fiore, A.; Maniero, F.; Stellini, E. The Influence of Crown-To-Implant Ratio on Marginal Bone Loss: A Narrative Review. Front. Oral Maxillofac. Med. 2020, 2, 29. [Google Scholar] [CrossRef]
  26. Kesar, N.; Weigl, P.; Nentwig, G.H.; Krebs, M. Prevalence and risk of peri-implant diseases based on the type of prosthetic restoration: A retrospective study after 17 to 23 years. J. Prosthet. Dent. 2023, 130, 690–697. [Google Scholar] [CrossRef] [PubMed]
  27. Pardal-Peláez, B.; Dib, A.; Guadilla, Y.; Flores-Fraile, J.; Quispe-López, N.; Montero, J. Marginal Bone Loss and Treatment Complications with Mandibular Overdentures Retained by Two Immediate or Conventionally Loaded Implants—A Randomized Clinical Trial. Prosthesis 2023, 5, 295–309. [Google Scholar] [CrossRef]
  28. Viscioni, A.; Rigo, L.; Franco, M.; Brunelli, G.; Avantaggiato, A.; Sollazzo, V.; Carinci, F. Reconstruction of Severely Atrophic Jaws Using Homografts and Simultaneous Implant Placement: A Retrospective Study. J. Oral Implantol. 2010, 36, 131–139. [Google Scholar] [CrossRef]
  29. Canullo, L.; Fedele, G.R.; Iannello, G.; Jepsen, S. Platform switching and marginal bone-level alterations: The results of a randomized-controlled trial. Clin. Oral. Implants Res. 2010, 21, 115–121. [Google Scholar] [CrossRef]
  30. Atieh, M.A.; Ibrahim, H.M.; Atieh, A.H. Platform Switching for Marginal Bone Preservation Around Dental Implants: A Systematic Review and Meta-Analysis; Platform Switching for Marginal Bone Preservation Around Dental Implants: A Systematic Review and Meta-Analysis. J. Periodontol. 2010, 81, 1350–1366. [Google Scholar] [CrossRef]
  31. Strietzel, F.P.; Neumann, K.; Hertel, M. Impact of Platform Switching on Mar-Ginal Peri-Implant Bone-Level Changes. A Systematic Review and Meta-Analysis. Oral. Implants Res. 2015, 26, 342–358. [Google Scholar] [CrossRef]
  32. Herekar, M.; Sethi, M.; Mulani, S.; Fernandes, A.; Kulkarni, H. Influence of platform switching on periimplant bone loss: A systematic review and meta-analysis. Implant. Dent. 2014, 23, 439–450. [Google Scholar] [CrossRef]
  33. Aparecido, C.; Lemos, A.; De Souza Batista, V.E.; Augusto De Faria Almeida, D.; Ferreira, J.; Júnior, S.; Verri, F.R.; Pellizzer, E.P. Evaluation of Cement-Retained Versus Screw-Retained Implant-Supported Restorations for Marginal Bone Loss: A Systematic Review and Meta-Analysis. J. Prosthet. Dent. 2016, 115, 419–427. [Google Scholar]
  34. Hameed, M.H.; Khan, F.R.; Ghafoor, R.; Azam, S.I. Marginal bone loss around cement and screw-retained fixed implant prosthesis. J. Clin. Exp. Dent. 2018, 10, 949–954. [Google Scholar] [CrossRef] [PubMed]
  35. Kowalski, J.; Lapinska, B.; Nissan, J.; Lukomska-Szymanska, M.; Velasco-Ortega, E. Factors Influencing Marginal Bone Loss around Dental Implants: A Narrative Review. Coatings 2021, 11, 865. [Google Scholar] [CrossRef]
  36. Brägger, U.; Karoussis, I.; Persson, R.; Pjetursson, B.; Salvi, G.; Lang, N. Technical and Biological Complications/Failures with Single Crowns and Fixed Partial Dentures on Implants: A 10-Year Prospective Cohort Study. Clin. Oral. Implants Res. 2005, 16, 326–334. [Google Scholar] [CrossRef]
  37. De Boever, J.A. Prosthetic Complications in Fixed Endosseous Implant-Borne Reconstructions after an Observations Period of at Least 40 Months. J. Oral. Rehabil. 2006, 33, 833–839. [Google Scholar] [CrossRef] [PubMed]
  38. Palmer, R.M.; Smith, B.J.; Palmer, P.J.; Floyd, P.D. A prospective study of Astra single tooth implants. Clin. Oral. Implants Res. 1997, 8, 173–179. [Google Scholar] [CrossRef] [PubMed]
  39. Chaar, M.S.; Att, W.; Strub, J.R. Prosthetic Outcome of Cement-Retained Implant-Supported Fixed Dental Restorations: A Systematic Review. Oral. Rehabil. 2011, 38, 697–711. [Google Scholar] [CrossRef]
  40. Jung, R.E.; Zembic, A.; Pjetursson, B.E.; Zwahlen, M.; Thoma, D.S.; Dentistry, R. Systematic Review of the Survival Rate and the Incidence of Bio-Logical, Technical, and Aesthetic Complications of Single Crowns on Implants Reported in Longitudinal Studies with a Mean Follow-Up of 5 Years. Clin. Oral. Implants Res. 2012, 23 (Suppl. 6), 2–21. [Google Scholar] [CrossRef]
Figure 1. Measurement of marginal bone loss on the radiographic images 5 years after functional loading with a single crown. The white line indicates the implant platform and the circle at the bottom of the bone loss cavity [8].
Figure 1. Measurement of marginal bone loss on the radiographic images 5 years after functional loading with a single crown. The white line indicates the implant platform and the circle at the bottom of the bone loss cavity [8].
Diagnostics 14 00867 g001
Figure 2. Marking an ROI. ROIs were marked near the implant neck area. Green area—mesial implant neck area; red area—distal implant neck area. Abbreviations: ROI—region of interest.
Figure 2. Marking an ROI. ROIs were marked near the implant neck area. Green area—mesial implant neck area; red area—distal implant neck area. Abbreviations: ROI—region of interest.
Diagnostics 14 00867 g002
Figure 3. Dependencies for all samples: (a) dependence of the number of single crowns on the corticalization index in the initial period; (b) dependence of the number of single crowns on the corticalization index after 5 years of observation; (c) dependence of the number of single crowns on marginal bone loss in the initial period; (d) dependence of the number of single crowns on marginal bone loss after 5 years of observation. The red asterisk describes statistically significant differences.
Figure 3. Dependencies for all samples: (a) dependence of the number of single crowns on the corticalization index in the initial period; (b) dependence of the number of single crowns on the corticalization index after 5 years of observation; (c) dependence of the number of single crowns on marginal bone loss in the initial period; (d) dependence of the number of single crowns on marginal bone loss after 5 years of observation. The red asterisk describes statistically significant differences.
Diagnostics 14 00867 g003
Figure 4. Dependencies for all samples: (a) dependence of the number of splinted crowns on the corticalization index in the initial period; (b) dependence of the number of splinted crowns on the corticalization index after 5 years of observation; (c) dependence of the number of splinted crowns on marginal bone loss in the initial period; (d) dependence of the number of splinted crowns on marginal bone loss after 5 years of observation. The red asterisk describes statistically significant differences.
Figure 4. Dependencies for all samples: (a) dependence of the number of splinted crowns on the corticalization index in the initial period; (b) dependence of the number of splinted crowns on the corticalization index after 5 years of observation; (c) dependence of the number of splinted crowns on marginal bone loss in the initial period; (d) dependence of the number of splinted crowns on marginal bone loss after 5 years of observation. The red asterisk describes statistically significant differences.
Diagnostics 14 00867 g004
Figure 5. Dependencies for all samples: (a) dependence of overdenture or non-overdenture prosthetic restoration on the corticalization index in the initial period; (b) dependence of overdenture or non-overdenture prosthetic restoration on the corticalization index after 5 years of observation; (c) dependence of overdenture or non-overdenture prosthetic restoration on marginal bone loss in the initial period; (d) dependence of overdenture or non-overdenture prosthetic restoration on marginal bone loss after 5 years of observation. The red asterisk describes statistically significant differences.
Figure 5. Dependencies for all samples: (a) dependence of overdenture or non-overdenture prosthetic restoration on the corticalization index in the initial period; (b) dependence of overdenture or non-overdenture prosthetic restoration on the corticalization index after 5 years of observation; (c) dependence of overdenture or non-overdenture prosthetic restoration on marginal bone loss in the initial period; (d) dependence of overdenture or non-overdenture prosthetic restoration on marginal bone loss after 5 years of observation. The red asterisk describes statistically significant differences.
Diagnostics 14 00867 g005
Figure 6. Dependencies for all samples: (a) dependence of the presence of a prosthetic bridge or not on the corticalization index in the initial period; (b) dependence of the presence of a prosthetic bridge or not on the corticalization index after 5 years of observation; (c) dependence of the presence of a prosthetic bridge or not on marginal bone loss in the initial period; (d) dependence of the presence of a prosthetic bridge or not on marginal bone loss after 5 years of observation. The red asterisk describes statistically significant differences.
Figure 6. Dependencies for all samples: (a) dependence of the presence of a prosthetic bridge or not on the corticalization index in the initial period; (b) dependence of the presence of a prosthetic bridge or not on the corticalization index after 5 years of observation; (c) dependence of the presence of a prosthetic bridge or not on marginal bone loss in the initial period; (d) dependence of the presence of a prosthetic bridge or not on marginal bone loss after 5 years of observation. The red asterisk describes statistically significant differences.
Diagnostics 14 00867 g006
Figure 7. Dependencies for all samples: (a) dependence of the presence of platform switching or not on the corticalization index in the initial period; (b) dependence of the presence of platform switching or not on the corticalization index after 5 years of observation; (c) dependence of the presence of platform switching or not on marginal bone loss in the initial period; (d) dependence of the presence of platform switching or not on marginal bone loss after 5 years of observation. The red asterisk describes statistically significant differences.
Figure 7. Dependencies for all samples: (a) dependence of the presence of platform switching or not on the corticalization index in the initial period; (b) dependence of the presence of platform switching or not on the corticalization index after 5 years of observation; (c) dependence of the presence of platform switching or not on marginal bone loss in the initial period; (d) dependence of the presence of platform switching or not on marginal bone loss after 5 years of observation. The red asterisk describes statistically significant differences.
Diagnostics 14 00867 g007
Figure 8. Dependencies for all samples: (a) dependence of crown fixing (cemented vs screwed) on the corticalization index in the initial period; (b) dependence of crown fixing (cemented vs screwed) on the corticalization index after 5 years of observation; (c) dependence of crown fixing (cemented vs screwed) on marginal bone loss in the initial period; (d) dependence of crown fixing (cemented vs screwed) on marginal bone loss after 5 years of observation.
Figure 8. Dependencies for all samples: (a) dependence of crown fixing (cemented vs screwed) on the corticalization index in the initial period; (b) dependence of crown fixing (cemented vs screwed) on the corticalization index after 5 years of observation; (c) dependence of crown fixing (cemented vs screwed) on marginal bone loss in the initial period; (d) dependence of crown fixing (cemented vs screwed) on marginal bone loss after 5 years of observation.
Diagnostics 14 00867 g008
Figure 9. Dependencies for all samples: (a) dependence of prosthetic retention loss on the corticalization index in the initial period; (b) dependence of prosthetic retention loss on the corticalization index after 5 years of observation; (c) dependence of prosthetic retention loss on marginal bone loss in the initial period; (d) dependence of prosthetic retention loss on marginal bone loss after 5 years of observation. The red asterisk describes statistically significant differences.
Figure 9. Dependencies for all samples: (a) dependence of prosthetic retention loss on the corticalization index in the initial period; (b) dependence of prosthetic retention loss on the corticalization index after 5 years of observation; (c) dependence of prosthetic retention loss on marginal bone loss in the initial period; (d) dependence of prosthetic retention loss on marginal bone loss after 5 years of observation. The red asterisk describes statistically significant differences.
Diagnostics 14 00867 g009
Figure 10. Dependencies for all samples: (a) dependence of bridge length on the corticalization index in the initial period; (b) dependence of bridge length on the corticalization index after 5 years of observation; (c) dependence of bridge length on marginal bone loss in the initial period; (d) dependence of bridge length on marginal bone loss after 5 years of observation.
Figure 10. Dependencies for all samples: (a) dependence of bridge length on the corticalization index in the initial period; (b) dependence of bridge length on the corticalization index after 5 years of observation; (c) dependence of bridge length on marginal bone loss in the initial period; (d) dependence of bridge length on marginal bone loss after 5 years of observation.
Diagnostics 14 00867 g010
Figure 11. Dependencies for all samples: (a) dependence of multiple retention losses on the corticalization index in the initial period; (b) dependence of multiple retention losses on the corticalization index after 5 years of observation; (c) dependence of multiple retention losses on marginal bone loss in the initial period; (d) dependence of multiple retention losses on marginal bone loss after 5 years of observation. The red asterisk describes statistically significant differences.
Figure 11. Dependencies for all samples: (a) dependence of multiple retention losses on the corticalization index in the initial period; (b) dependence of multiple retention losses on the corticalization index after 5 years of observation; (c) dependence of multiple retention losses on marginal bone loss in the initial period; (d) dependence of multiple retention losses on marginal bone loss after 5 years of observation. The red asterisk describes statistically significant differences.
Diagnostics 14 00867 g011
Figure 12. Dependencies for all samples: (a) dependence of prosthetic fractures on the corticalization index in the initial period; (b) dependence of prosthetic fractures on the corticalization index after 5 years of observation; (c) dependence of prosthetic fractures on marginal bone loss in the initial period; (d) dependence of prosthetic fractures on marginal bone loss after 5 years of observation. The red asterisk describes statistically significant differences.
Figure 12. Dependencies for all samples: (a) dependence of prosthetic fractures on the corticalization index in the initial period; (b) dependence of prosthetic fractures on the corticalization index after 5 years of observation; (c) dependence of prosthetic fractures on marginal bone loss in the initial period; (d) dependence of prosthetic fractures on marginal bone loss after 5 years of observation. The red asterisk describes statistically significant differences.
Diagnostics 14 00867 g012
Table 1. Inclusion criteria for the research.
Table 1. Inclusion criteria for the research.
Inclusion Criteria
18 years of age
Bleeding on gingival probing < 20%
Probing depth ≤ 3 mm
Good oral hygiene
Regular follow ups
Two dimensional radiographs taken during the regular check
Laboratory test:
  • PTH, where norm is 10–60 pg/mL;
  • TSH, where norm is 0.23–4.0 µU/mL;
  • Calcium in serum (Ca2+), where norm is 9–11 mg/dL;
  • HbA1c, where norm is <5%;
  • Vitamin 25(OH)D3 (D3), where norm is 31–50 ng/mL
Spine densitometry
Smoking 1 or more cigarettes per day
Table 2. Exclusion criteria for the research.
Table 2. Exclusion criteria for the research.
Exclusion Criteria
Lack of X-rays
Defective X-ray images in the visual assessment
Lack of laboratory tests
Uncontrolled internal co-morbidity:
  • Diabetes mellitus
  • Thyroid dishormonoses
  • Rheumatoid disease
  • Other immunodeficiencies
A history of oral radiation therapy
Past or current use of cytostatic drugs
Soft and bone tissue augmentation
Low quality or lack of follow-up radiographs
Table 3. Values for marginal bone loss and the corticalization index in the case of single crowns as prosthetic restoration. Values were calculated for all the implantations. 00 M—the observation period immediately after the implantation; 5 y—the observation period 5 years after the implantation.
Table 3. Values for marginal bone loss and the corticalization index in the case of single crowns as prosthetic restoration. Values were calculated for all the implantations. 00 M—the observation period immediately after the implantation; 5 y—the observation period 5 years after the implantation.
Observation PeriodCorticalizationp ValueMarginal Bone Lossp Value
1 single crown00 M149.55 ± 88.62p < 0.050 ± 1.03 mmp < 0.05
5 y194.70 ± 189.08p < 0.050 ± 1.22 mmp = 0.20
3 single crowns00 M261.41 ± 47.52p < 0.050 ± 0.58 mmp = 0.39
5 y239.73 ± 70.87p = 0.201 ± 0.57 mmp = 0.32
Table 4. Values for marginal bone loss in the case of splinted crowns as prosthetic restoration. Values were calculated for all the implantations. 00 M—the observation period immediately after the implantation; 5 y—the observation period 5 years after the implantation.
Table 4. Values for marginal bone loss in the case of splinted crowns as prosthetic restoration. Values were calculated for all the implantations. 00 M—the observation period immediately after the implantation; 5 y—the observation period 5 years after the implantation.
Observation PeriodMarginal Bone Lossp Value
2 splinted crowns00 M0 ± 0.97 mmp = 0.14
5 y0 ± 1.31 mmp < 0.05
6 splinted crowns00 M0.00 ± 0.00 mmp = 0.14
5 y0.00 ± 0.00 mmp < 0.05
Table 5. Values for marginal bone loss and the corticalization index in the case of overdenture and non-overdenture restorations. Values were calculated for all the implantations. 00 M—the observation period immediately after the implantation; 5 y—the observation period 5 years after the implantation.
Table 5. Values for marginal bone loss and the corticalization index in the case of overdenture and non-overdenture restorations. Values were calculated for all the implantations. 00 M—the observation period immediately after the implantation; 5 y—the observation period 5 years after the implantation.
Observation PeriodCorticalizationp ValueMarginal Bone Lossp Value
Overdenture00 M185.46 ± 162.46p < 0.050 ± 0.7 mmp = 0.44
5 y359.91 ± 248.70p < 0.050.49 ± 1.47 mmp < 0.05
Non-overdenture00 M164.05 ± 144.87p < 0.050 ± 0.96 mmp = 0.44
5 y218.57 ± 175.17p < 0.050 ± 1.23 mmp < 0.05
Table 6. Values for marginal bone loss and the corticalization index in the case of bridge restorations compared to non-bridge restorations. Values were calculated for all the implantations. 00 M—the observation period immediately after the implantation; 5 y—the observation period 5 years after the implantation.
Table 6. Values for marginal bone loss and the corticalization index in the case of bridge restorations compared to non-bridge restorations. Values were calculated for all the implantations. 00 M—the observation period immediately after the implantation; 5 y—the observation period 5 years after the implantation.
Observation PeriodCorticalizationp ValueMarginal Bone Lossp Value
Non-bridge00 M163.41 ± 112.99p < 0.050 ± 0.95 mmp < 0.05
5 y210.88 ± 187.64p < 0.050 ± 1.24 mmp < 0.05
Bridge00 M172.03 ± 208.84p < 0.050 ± 0.91 mmp < 0.05
5 y250.96 ± 165.89p < 0.050 ± 1.30 mmp < 0.05
Table 7. Values for marginal bone loss and the corticalization index in the case of platform switching presence or absence. Values were calculated for all the implantations. 00 M—the observation period immediately after the implantation; 5 y—the observation period 5 years after the implantation; PS—platform switching; no PS—no platform switching.
Table 7. Values for marginal bone loss and the corticalization index in the case of platform switching presence or absence. Values were calculated for all the implantations. 00 M—the observation period immediately after the implantation; 5 y—the observation period 5 years after the implantation; PS—platform switching; no PS—no platform switching.
Observation PeriodCorticalizationp ValueMarginal Bone Lossp Value
No PS00 M170.65 ± 157.85p < 0.050 ± 0.96 mmp = 0.26
5 y227.23 ± 190.46p < 0.050 ± 1.29 mmp = 0.15
PS00 M155.50 ± 95.73p < 0.050 ± 0.86 mmp = 0.26
5 y196.50 ± 139.84p < 0.050 ± 1.10 mmp = 0.15
Table 8. Values for marginal bone loss and the corticalization index in the case of the crown fixation method. Values were calculated for all the implantations. 00 M—the observation period immediately after the implantation; 5 y—the observation period 5 years after the implantation.
Table 8. Values for marginal bone loss and the corticalization index in the case of the crown fixation method. Values were calculated for all the implantations. 00 M—the observation period immediately after the implantation; 5 y—the observation period 5 years after the implantation.
Observation PeriodCorticalizationp ValueMarginal Bone Lossp Value
Cemented00 M162.74 ± 147.50p = 0.260 ± 0.98 mmp = 0.63
5 y218.57 ± 179.20p = 0.050 ± 1.26 mmp = 0.52
Screwed00 M168.99 ± 96.99p = 0.060 ± 0.46 mmp = 0.63
5 y194.14 ± 71.81p = 0.050 ± 1.29 mmp = 0.52
Table 9. Values for marginal bone loss and the corticalization index in the case of the presence or absence of prosthetic restoration retention loss. Values were calculated for all the implantations. 00 M—the observation period immediately after the implantation; 5 y—the observation period 5 years after the implantation.
Table 9. Values for marginal bone loss and the corticalization index in the case of the presence or absence of prosthetic restoration retention loss. Values were calculated for all the implantations. 00 M—the observation period immediately after the implantation; 5 y—the observation period 5 years after the implantation.
Observation PeriodCorticalizationp ValueMarginal Bone Lossp Value
No retention loss00 M167.51 ± 150.67p = 0.440 ± 0.96 mmp = 0.63
5 y224.91 ± 186.13p < 0.050 ± 1.16 mmp = 0.52
Retention loss00 M163.75 ± 127.30p = 0.440 ± 0.86 mmp = 0.63
5 y206.92 ± 169.88p < 0.050 ± 1.5 mmp = 0.52
Table 10. Values for marginal bone loss and the corticalization index in the case of the presence of multiple retention and multiple retention losses after 5 years. Values were calculated for all the implantations. 00 M—the observation period immediately after the implantation; 5 y—the observation period 5 years after the implantation.
Table 10. Values for marginal bone loss and the corticalization index in the case of the presence of multiple retention and multiple retention losses after 5 years. Values were calculated for all the implantations. 00 M—the observation period immediately after the implantation; 5 y—the observation period 5 years after the implantation.
Retention Loss Times Observation PeriodCorticalizationp ValueMarginal Bone Lossp Value
100 M160.64 ± 123.28p = 0.560 ± 1.06p = 0.53
5 y205.265 ± 191.77p < 0.050 ± 1.00p < 0.05
200 M153.92 ± 124.62p = 0.560 ± 0.52p = 0.53
5 y247.73 ± 185.04p < 0.051.03 ± 1.15p < 0.05
300 M170.04 ± 74.92p = 0.560 ± 0.65p = 0.53
5 y174.35 ± 162.25p < 0.050 ± 0.32p < 0.05
400 M130.33 ± 47.44p = 0.560 ± 0p = 0.53
5 y152.86 ± 93.645p < 0.050 ± 0.33p < 0.05
500 M157.35 ± 51.78 p = 0.560 ± 0.35p = 0.53
5 y199.91 ± 88.29p < 0.052.42 ± 1.72p < 0.05
Table 11. Values for marginal bone loss and the corticalization index in the case of the presence or absence of prosthetic fracture. Values were calculated for all the implantations. 00 M—the observation period immediately after the implantation; 5 y—the observation period 5 years after the implantation; No PF—no prosthetic fracture; PF—prosthetic fracture.
Table 11. Values for marginal bone loss and the corticalization index in the case of the presence or absence of prosthetic fracture. Values were calculated for all the implantations. 00 M—the observation period immediately after the implantation; 5 y—the observation period 5 years after the implantation; No PF—no prosthetic fracture; PF—prosthetic fracture.
Observation PeriodCorticalizationp ValueMarginal Bone Lossp Value
No PF00 M167.76 ± 147.47p < 0.050 ± 0.94 mmp = 0.51
5 y221.68 ± 182.87p = 0.730 ± 1.24 mmp = 0.38
PF00 M146.73 ± 47.89p < 0.050 ± 1.16 mmp = 0.51
5 y209.19 ± 170.13p = 0.730 ± 1.8 mmp = 0.38
Disclaimer/Publisher’s Note: The statements, opinions and data contained in all publications are solely those of the individual author(s) and contributor(s) and not of MDPI and/or the editor(s). MDPI and/or the editor(s) disclaim responsibility for any injury to people or property resulting from any ideas, methods, instructions or products referred to in the content.

Share and Cite

MDPI and ACS Style

Wach, T.; Okulski, J.; Zieliński, R.; Trybek, G.; Michcik, A.; Kozakiewicz, M. New Radiological Corticalization Index as an Indicator of Implant Success Rate Depending on Prosthetic Restoration—5 Years of Follow-Up. Diagnostics 2024, 14, 867. https://doi.org/10.3390/diagnostics14090867

AMA Style

Wach T, Okulski J, Zieliński R, Trybek G, Michcik A, Kozakiewicz M. New Radiological Corticalization Index as an Indicator of Implant Success Rate Depending on Prosthetic Restoration—5 Years of Follow-Up. Diagnostics. 2024; 14(9):867. https://doi.org/10.3390/diagnostics14090867

Chicago/Turabian Style

Wach, Tomasz, Jakub Okulski, Rafał Zieliński, Grzegorz Trybek, Adam Michcik, and Marcin Kozakiewicz. 2024. "New Radiological Corticalization Index as an Indicator of Implant Success Rate Depending on Prosthetic Restoration—5 Years of Follow-Up" Diagnostics 14, no. 9: 867. https://doi.org/10.3390/diagnostics14090867

APA Style

Wach, T., Okulski, J., Zieliński, R., Trybek, G., Michcik, A., & Kozakiewicz, M. (2024). New Radiological Corticalization Index as an Indicator of Implant Success Rate Depending on Prosthetic Restoration—5 Years of Follow-Up. Diagnostics, 14(9), 867. https://doi.org/10.3390/diagnostics14090867

Note that from the first issue of 2016, this journal uses article numbers instead of page numbers. See further details here.

Article Metrics

Back to TopTop