Evaluating Mortality Predictors in COVID-19 Intensive Care Unit Patients: Insights into Age, Procalcitonin, Neutrophil-to-Lymphocyte Ratio, Platelet-to-Lymphocyte Ratio, and Ferritin Lactate Index
Abstract
1. Introduction
2. Materials and Methods
2.1. Patients and Design
2.2. Data Collection
2.3. Definition of Indexes
2.4. Statistical Analysis
3. Results
4. Discussion
5. Conclusions
Author Contributions
Funding
Institutional Review Board Statement
Informed Consent Statement
Data Availability Statement
Conflicts of Interest
References
- Ochani, R.; Asad, A.; Yasmin, F.; Shaikh, S.; Khalid, H.; Batra, S.; Sohail, M.R.; Mahmood, S.F.; Ochani, R.; Hussham Arshad, M.; et al. COVID-19 Pandemic: From Origins to Outcomes. A Comprehensive Review of Viral Pathogenesis, Clinical Manifestations, Diagnostic Evaluation, and Management. Infez. Med. 2021, 29, 20–36. [Google Scholar]
- Majumder, J.; Minko, T. Recent Developments on Therapeutic and Diagnostic Approaches for COVID-19. AAPS J. 2021, 23, 14. [Google Scholar] [CrossRef] [PubMed]
- Yüce, M.; Filiztekin, E.; Özkaya, K.G. COVID-19 Diagnosis -A Review of Current Methods. Biosens. Bioelectron. 2021, 172, 112752. [Google Scholar] [CrossRef] [PubMed]
- Taşkin, A.K.; Akar, M.; Üstüner, M.A.; Büyükavcı, M.H.; Özçetin, B. Evaluation of the Possible Effects of the COVID-19 Period on the Clinical Outcomes of Acute Mesenteric Ischemia. Cir. Cir. 2023, 92, 20–27. [Google Scholar] [CrossRef]
- Cárdenas-Hernández, G.A. Post-COVID-19 Sequelae: An Imbricate Network between Neuroinflammation and Dysbiosis. Cir. Cir. 2023, 91, 723–724. [Google Scholar] [CrossRef]
- Garzón, B.A.C.; Salcedo, D.R.N.; Falcón, V.V. La Pandemia COVID-19 y Los Factores de Riesgo Psicosociales En Personal de Cuidados Intensivos. Acad. J. Health Sci. Med. Balear. 2022, 37, 38–47. [Google Scholar]
- Celer, A.M.; Tumen, E.C. Investigation of the Clinical Behaviors of Pediatric Dentists Working in Turkey during the Normalization Period of the COVID-19 Pandemic. J. Clin. Trials Exp. Investig. 2023, 2, 130–137. [Google Scholar] [CrossRef]
- Yönden, Z.; Shabestari, A.M.; Ghayourvahdat, A.; Azimizonuzi, H.; Hosseini, S.T.; Daemi, A. How Anti-Inflammatory and Antioxidant Dietary Supplements Are Effective in Undermining COVID-19 Pathogenesis: The Role of Vitamin C and D. Acad. J. Health Sci. Med. Balear. 2022, 37, 158–164. [Google Scholar]
- Zhang, F.; Zhang, M.; Niu, Z.; Sun, L.; Kang, X.; Qu, Y. Prognostic Value of Lactic Dehydrogenase-to-Albumin Ratio in Critically Ill Patients with Acute Respiratory Distress Syndrome: A Retrospective Cohort Study. J. Thorac. Dis. 2024, 16, 81–90. [Google Scholar] [CrossRef]
- Liang, W.; Liang, H.; Ou, L.; Chen, B.; Chen, A.; Li, C.; Li, Y.; Guan, W.; Sang, L.; Lu, J.; et al. Development and Validation of a Clinical Risk Score to Predict the Occurrence of Critical Illness in Hospitalized Patients With COVID-19. JAMA Intern. Med. 2020, 180, 1081–1089. [Google Scholar] [CrossRef]
- Tian, W.; Jiang, W.; Yao, J.; Nicholson, C.J.; Li, R.H.; Sigurslid, H.H.; Wooster, L.; Rotter, J.I.; Guo, X.; Malhotra, R. Predictors of Mortality in Hospitalized COVID-19 Patients: A Systematic Review and Meta-Analysis. J. Med. Virol. 2020, 92, 1875–1883. [Google Scholar] [CrossRef]
- Imam, Z.; Odish, F.; Gill, I.; O’Connor, D.; Armstrong, J.; Vanood, A.; Ibironke, O.; Hanna, A.; Ranski, A.; Halalau, A. Older Age and Comorbidity Are Independent Mortality Predictors in a Large Cohort of 1305 COVID-19 Patients in Michigan, United States. J. Intern. Med. 2020, 288, 469–476. [Google Scholar] [CrossRef]
- Bhargava, A.; Fukushima, E.A.; Levine, M.; Zhao, W.; Tanveer, F.; Szpunar, S.M.; Saravolatz, L. Predictors for Severe COVID-19 Infection. Clin. Infect. Dis. Off. Publ. Infect. Dis. Soc. Am. 2020, 71, 1962–1968. [Google Scholar] [CrossRef] [PubMed]
- Li, J.; He, X.; Yuan, Y.; Zhang, W.; Li, X.; Zhang, Y.; Li, S.; Guan, C.; Gao, Z.; Dong, G. Meta-Analysis Investigating the Relationship between Clinical Features, Outcomes, and Severity of Severe Acute Respiratory Syndrome Coronavirus 2 (SARS-CoV-2) Pneumonia. Am. J. Infect. Control 2021, 49, 82–89. [Google Scholar] [CrossRef] [PubMed]
- Armstrong, R.A.; Kane, A.D.; Kursumovic, E.; Oglesby, F.C.; Cook, T.M. Mortality in Patients Admitted to Intensive Care with COVID-19: An Updated Systematic Review and Meta-analysis of Observational Studies. Anaesthesia 2021, 76, 537–548. [Google Scholar] [CrossRef]
- Gray, W.K.; Navaratnam, A.V.; Day, J.; Babu, P.; Mackinnon, S.; Adelaja, I.; Bartlett-Pestell, S.; Moulton, C.; Mann, C.; Batchelor, A.; et al. Variability in COVID-19 in-Hospital Mortality Rates between National Health Service Trusts and Regions in England: A National Observational Study for the Getting It Right First Time Programme. eClinicalMedicine 2021, 35, 100859. [Google Scholar] [CrossRef]
- Richardson, S.; Hirsch, J.S.; Narasimhan, M.; Crawford, J.M.; McGinn, T.; Davidson, K.W.; Barnaby, D.P.; Becker, L.B.; Chelico, J.D.; Cohen, S.L.; et al. Presenting Characteristics, Comorbidities, and Outcomes Among 5700 Patients Hospitalized with COVID-19 in the New York City Area. JAMA 2020, 323, 2052–2059. [Google Scholar] [CrossRef]
- Yu, Y.; Xu, D.; Fu, S.; Zhang, J.; Yang, X.; Xu, L.; Xu, J.; Wu, Y.; Huang, C.; Ouyang, Y.; et al. Patients with COVID-19 in 19 ICUs in Wuhan, China: A Cross-Sectional Study. Crit. Care 2020, 24, 219. [Google Scholar] [CrossRef]
- Arentz, M.; Yim, E.; Klaff, L.; Lokhandwala, S.; Riedo, F.X.; Chong, M.; Lee, M. Characteristics and Outcomes of 21 Critically Ill Patients With COVID-19 in Washington State. JAMA 2020, 323, 1612–1614. [Google Scholar] [CrossRef] [PubMed]
- Yang, X.; Yu, Y.; Xu, J.; Shu, H.; Xia, J.; Liu, H.; Wu, Y.; Zhang, L.; Yu, Z.; Fang, M.; et al. Clinical Course and Outcomes of Critically Ill Patients with SARS-CoV-2 Pneumonia in Wuhan, China: A Single-Centered, Retrospective, Observational Study. Lancet Respir. Med. 2020, 8, 475–481. [Google Scholar] [CrossRef]
- Demass, T.B.; Guadie, A.G.; Mengistu, T.B.; Belay, Z.A.; Melese, A.A.; Berneh, A.A.; Mihret, L.G.; Wagaye, F.E.; Bantie, G.M. The Magnitude of Mortality and Its Predictors among Adult Patients Admitted to the Intensive Care Unit in Amhara Regional State, Northwest Ethiopia. Sci. Rep. 2023, 13, 12010. [Google Scholar] [CrossRef]
- Fried, S.; Bar-Shai, A.; Frydman, S.; Freund, O. Transition of Care Interventions to Manage Severe COVID-19 in the Ambulatory Setting: A Systematic Review. Intern. Emerg. Med. 2023. [Google Scholar] [CrossRef]
- Lisman, D.; Zielińska, G.; Drath, J.; Łaszczewska, A.; Savochka, I.; Parafiniuk, M.; Ossowski, A. Molecular Diagnosis of COVID-19 Sudden and Unexplained Deaths: The Insidious Face of the Pandemic. Diagnostics 2023, 13, 2980. [Google Scholar] [CrossRef] [PubMed]
- D’Agostini, C.; Legramante, J.M.; Minieri, M.; Di Lecce, V.N.; Lia, M.S.; Maurici, M.; Simonelli, I.; Ciotti, M.; Paganelli, C.; Terrinoni, A.; et al. Correlation between Chest Computed Tomography Score and Laboratory Biomarkers in the Risk Stratification of COVID-19 Patients Admitted to the Emergency Department. Diagnostics 2023, 13, 2829. [Google Scholar] [CrossRef]
- Wynants, L.; Van Calster, B.; Collins, G.S.; Riley, R.D.; Heinze, G.; Schuit, E.; Bonten, M.M.J.; Dahly, D.L.; Damen, J.A.A.; Debray, T.P.A.; et al. Prediction Models for Diagnosis and Prognosis of Covid-19: Systematic Review and Critical Appraisal. BMJ 2020, 369, m1328. [Google Scholar] [CrossRef]
- Wang, D.; Hu, B.; Hu, C.; Zhu, F.; Liu, X.; Zhang, J.; Wang, B.; Xiang, H.; Cheng, Z.; Xiong, Y.; et al. Clinical Characteristics of 138 Hospitalized Patients With 2019 Novel Coronavirus-Infected Pneumonia in Wuhan, China. JAMA 2020, 323, 1061–1069. [Google Scholar] [CrossRef] [PubMed]
- Zhu, N.; Zhang, D.; Wang, W.; Li, X.; Yang, B.; Song, J.; Zhao, X.; Huang, B.; Shi, W.; Lu, R.; et al. A Novel Coronavirus from Patients with Pneumonia in China, 2019. N. Engl. J. Med. 2020, 382, 727–733. [Google Scholar] [CrossRef]
- Wang, G.; Wu, C.; Zhang, Q.; Wu, F.; Yu, B.; Lv, J.; Li, Y.; Li, T.; Zhang, S.; Wu, C.; et al. C-Reactive Protein Level May Predict the Risk of COVID-19 Aggravation. Open Forum Infect. Dis. 2020, 7, ofaa153. [Google Scholar] [CrossRef] [PubMed]
- Lagunas-Rangel, F.A. Neutrophil-to-Lymphocyte Ratio and Lymphocyte-to-C-Reactive Protein Ratio in Patients with Severe Coronavirus Disease 2019 (COVID-19): A Meta-Analysis. J. Med. Virol. 2020, 92, 1733–1734. [Google Scholar] [CrossRef]
- Song, H.; Kim, H.J.; Park, K.N.; Kim, S.H.; Oh, S.H.; Youn, C.S. Neutrophil to Lymphocyte Ratio Is Associated with In-Hospital Mortality in Older Adults Admitted to the Emergency Department. Am. J. Emerg. Med. 2021, 40, 133–137. [Google Scholar] [CrossRef]
- Vincent, J.-L.; Quintairos e Silva, A.; Couto, L.; Taccone, F.S. The Value of Blood Lactate Kinetics in Critically Ill Patients: A Systematic Review. Crit. Care 2016, 20, 257. [Google Scholar] [CrossRef]
- Carcillo, J.A.; Sward, K.; Halstead, E.S.; Telford, R.; Jimenez-Bacardi, A.; Shakoory, B.; Simon, D.; Hall, M. A Systemic Inflammation Mortality Risk Assessment Contingency Table for Severe Sepsis. Pediatr. Crit. Care Med. J. Soc. Crit. Care Med. World Fed. Pediatr. Intensive Crit. Care Soc. 2017, 18, 143–150. [Google Scholar] [CrossRef] [PubMed]
- Shoji, T.; Niihata, K.; Fukuma, S.; Fukuhara, S.; Akizawa, T.; Inaba, M. Both Low and High Serum Ferritin Levels Predict Mortality Risk in Hemodialysis Patients without Inflammation. Clin. Exp. Nephrol. 2017, 21, 685–693. [Google Scholar] [CrossRef] [PubMed]
- Henry, B.M.; de Oliveira, M.H.S.; Benoit, S.; Plebani, M.; Lippi, G. Hematologic, Biochemical and Immune Biomarker Abnormalities Associated with Severe Illness and Mortality in Coronavirus Disease 2019 (COVID-19): A Meta-Analysis. Clin. Chem. Lab. Med. 2020, 58, 1021–1028. [Google Scholar] [CrossRef]
- Liu, A.; Hammond, R.; Chan, K.; Chukwuenweniwe, C.; Johnson, R.; Khair, D.; Duck, E.; Olubodun, O.; Barwick, K.; Banya, W.; et al. Characterisation of Ferritin-Lymphocyte Ratio in COVID-19. Biomedicines 2023, 11, 2819. [Google Scholar] [CrossRef] [PubMed]
- Wu, C.; Chen, X.; Cai, Y.; Xia, J.; Zhou, X.; Xu, S.; Huang, H.; Zhang, L.; Zhou, X.; Du, C.; et al. Risk Factors Associated With Acute Respiratory Distress Syndrome and Death in Patients With Coronavirus Disease 2019 Pneumonia in Wuhan, China. JAMA Intern. Med. 2020, 180, 934–943. [Google Scholar] [CrossRef] [PubMed]
- Grasselli, G.; Greco, M.; Zanella, A.; Albano, G.; Antonelli, M.; Bellani, G.; Bonanomi, E.; Cabrini, L.; Carlesso, E.; Castelli, G.; et al. Risk Factors Associated With Mortality Among Patients With COVID-19 in Intensive Care Units in Lombardy, Italy. JAMA Intern. Med. 2020, 180, 1345–1355. [Google Scholar] [CrossRef] [PubMed]
- Hao, W.; Liu, M.; Bai, C.; Liu, X.; Niu, S.; Chen, X. Increased Inflammatory Mediators Levels Are Associated with Clinical Outcomes and Prolonged Illness in Severe COVID-19 Patients. Int. Immunopharmacol. 2023, 123, 110762. [Google Scholar] [CrossRef] [PubMed]
- Zhao, Z.; Chen, A.; Hou, W.; Graham, J.M.; Li, H.; Richman, P.S.; Thode, H.C.; Singer, A.J.; Duong, T.Q. Prediction Model and Risk Scores of ICU Admission and Mortality in COVID-19. PLoS ONE 2020, 15, e0236618. [Google Scholar] [CrossRef]
- Nie, L.; Liu, Y.; Weng, Y.; Zheng, Y.; Cai, L.; Kou, G.; Xiong, Z.; Liu, L. Lymphocytes Screening on Admission Is Essential for Predicting In-Hospital Clinical Outcome in COVID-19 Patients: A Retrospective Cohort Study. Int. J. Lab. Hematol. 2021, 43, 1302–1308. [Google Scholar] [CrossRef]
- Saeed, K.; Dale, A.P.; Leung, E.; Cusack, T.; Mohamed, F.; Lockyer, G.; Arnaudov, S.; Wade, A.; Moran, B.; Lewis, G.; et al. Procalcitonin Levels Predict Infectious Complications and Response to Treatment in Patients Undergoing Cytoreductive Surgery for Peritoneal Malignancy. Eur. J. Surg. Oncol. J. Eur. Soc. Surg. Oncol. Br. Assoc. Surg. Oncol. 2016, 42, 234–243. [Google Scholar] [CrossRef] [PubMed]
- Rodríguez, A.; Reyes, L.F.; Monclou, J.; Suberviola, B.; Bodí, M.; Sirgo, G.; Solé-Violán, J.; Guardiola, J.; Barahona, D.; Díaz, E.; et al. Relationship between Acute Kidney Injury and Serum Procalcitonin (PCT) Concentration in Critically Ill Patients with Influenza Infection. Med. Intensiva 2018, 42, 399–408. [Google Scholar] [CrossRef] [PubMed]
- Liu, F.; Li, L.; Xu, M.; Wu, J.; Luo, D.; Zhu, Y.; Li, B.; Song, X.; Zhou, X. Prognostic Value of Interleukin-6, C-Reactive Protein, and Procalcitonin in Patients with COVID-19. J. Clin. Virol. 2020, 127, 104370. [Google Scholar] [CrossRef] [PubMed]




| Characteristics | Group 1 (n = 130) | Group 2 (n = 74) | p-Value |
|---|---|---|---|
| Age (year) | 66 ± 15 | 76 ± 11 | <0.001 |
| Gender | 0.396 | ||
| Male | 64 (49.2%) | 41 (55.4%) | |
| Female | 66 (50.8%) | 33 (44.6%) | |
| Comorbidity | |||
| HT | 44 (38.8%) | 28 (37.8%) | 0.566 |
| Diabetes | 36 (27.7%) | 13 (17.6%) | 0.104 |
| CHD | 25 (19.2%) | 16 (21.6%) | 0.682 |
| CPD | 7 (5.4%) | 4 (5.4%) | 0.995 |
| CKD | 2 (1.5%) | 1 (1.4%) | 0.915 |
| Group 1 (n = 130) | Group 2 (n = 74) | ||
|---|---|---|---|
| Median (Q1–Q3) | Median (Q1–Q3) | p-Value | |
| WBC | 6.89 (5.2–10.2) | 8.59 (5.7–12.3) | 0.111 |
| NEU | 5.20 (3.6–8.2) | 6.84 (4.1) | 0.038 |
| LYM | 1.31 (0.9–1.6) | 0.97 (0.7–1.4) | <0.001 |
| EOS | 0.01 (0–0.03) | 0.01 (0–0.02) | 0.201 |
| BAS | 0.02 (0.01–0.03) | 0.02 (0.01–0.03) | 0.505 |
| MO | 0.39 (0.28–0.6) | 0.44 (0.3–0.6) | 0.581 |
| PLT | 217 (169–269) | 197 (156–245) | 0.163 |
| RBC | 4.69 (4.4–5.1) | 4.60 (4.1–5.2) | 0.324 |
| HGB | 13.45 (12.5–14.8) | 13.60 (12.1–15.2) | 0.938 |
| HCT | 41.60 (38.2–44.8) | 41.75 (37.5–46.9) | 0.627 |
| BUN * | 19.10 (13.5–26.9) | 27.05 (20.1–37.7) | <0.001 |
| Creatinine * | 1.00 (0.83–1.31) | 1.28 (0.9–1.7) | <0.001 |
| Albumin * | 34.50 (31–38) | 31 (28–35) | <0.001 |
| Globulin * | 35 (32–40) | 38 (34.3–41.2) | 0.001 |
| Lactate | 1.75 (1.4–2.3) | 2.1 (1.6–3.3) | <0.001 |
| CRP | 69.8 (27.5–112.4) | 70.2 (33.9–148.1) | 0.220 |
| Procalcitonin | 0.14 (0.07–0.31) | 0.95 (0.16–4.8) | <0.001 |
| D-dimer * | 1040 (683–1492) | 1355 (846–3355) | 0.005 |
| Ferritin | 458 (254–875) | 729 (355–1520) | 0.002 |
| Na * | 139 (135–143) | 140 (136–144) | 0.138 |
| K * | 4.2 (3.8–4.6) | 4.3 (3.9–4.7) | 0.712 |
| Ca * | 1.15 (1.1–1.2) | 1.16 (1.1–1.2) | 0.475 |
| Cl * | 102 (99–106) | 103 (99–107) | 0.304 |
| AST * | 39 (26.2–51) | 37 (28.3–52.8) | 0.864 |
| ALT * | 24 (16.2–34.8) | 19.5 (14–31.8) | 0.108 |
| TB * | 0.51 (0.4–0.8) | 0.64 (0.5–1) | 0.018 |
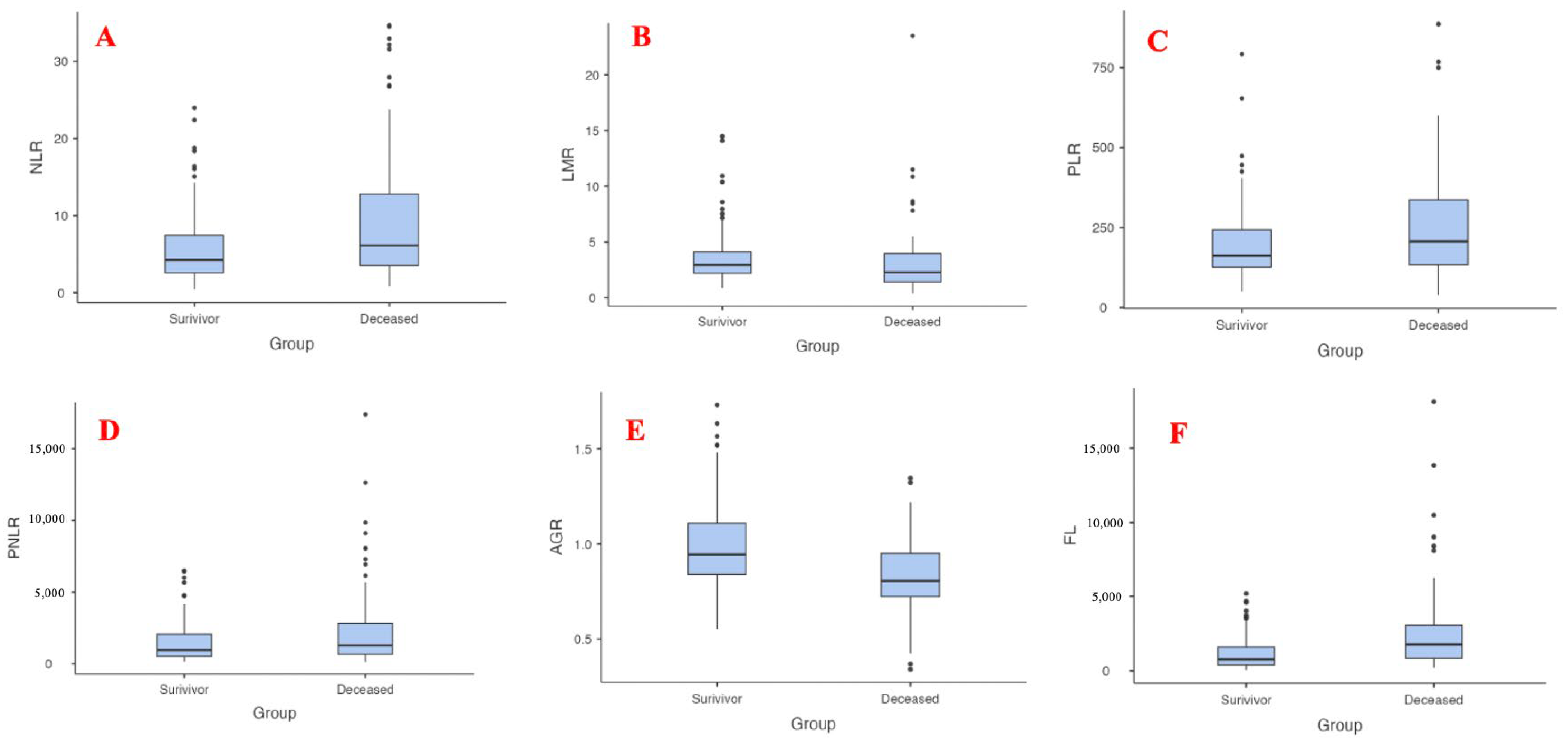
| NLR | 4.28 (2.6–7.5) | 6.13 (3.5–12.8) | <0.001 |
| PLR | 161 (126–242) | 206 (133–336) | 0.006 |
| LMR | 2.94 (2.2–4.1) | 2.28 (1.4–3.9) | 0.013 |
| PNLR | 934 (502–2052) | 1272 (660–2792) | 0.001 |
| AGR * | 0.94 (0.8–1.1) | 0.80 (0.7–0.9) | <0.001 |
| FL | 756 (385–1593) | 1769 (830–3066) | <0.001 |
| Cut-Off | Sensitivity (%) | Specificity (%) | PPV (%) | NPV (%) | AUC | |
|---|---|---|---|---|---|---|
| Age | 73 | 74% | 60% | 50% | 80% | 0.701 |
| Procalcitonin | 0.35 | 67% | 77% | 60% | 82% | 0.752 |
| FL | 1228 | 68% | 65% | 54% | 77% | 0.707 |
| NLR | 5.8 | 55% | 63% | 46% | 71% | 0.640 |
| PLR | 212 | 48% | 69% | 48% | 70% | 0.582 |
| PNLR | 1195 | 52% | 61% | 44% | 69% | 0.579 |
| LMR | 4.42 | 18% | 79% | 35% | 62% | 0.395 |
| 95% Confidence Interval | ||||||
|---|---|---|---|---|---|---|
| Predictor | Estimate | SE | p | Odds Ratio | Lower | Upper |
| Intercept | −2.4912 | 0.595 | <0.001 | 0.08 | 0.03 | 0.26 |
| Age > 73 | 0.7401 | 0.401 | 0.05 | 2.1 | 1.1 | 4.6 |
| Procalcitonin > 0.35 | 1.7195 | 0.436 | <0.001 | 5.6 | 2.37 | 13.1 |
| FL > 1228 | 1.2601 | 0.423 | 0.003 | 3.5 | 1.5 | 8.1 |
| NLR > 5.8 | 0.586 | 0.303 | 0.043 | 1.6 | 1.06 | 2.5 |
| PLR > 212 | 1.2556 | 0.540 | 0.020 | 3.5 | 1.2 | 10.1 |
| PNLR > 1195 | −0.1949 | 0.743 | 0.793 | 0.8 | 0.12 | 3.5 |
| LMR < 4.42 | −0.0504 | 0.558 | 0.928 | 0.9 | 0.32 | 2.8 |
| Accuracy | Specificity | Sensitivity |
|---|---|---|
| 0.712 | 0.823 | 0.526 |
Disclaimer/Publisher’s Note: The statements, opinions and data contained in all publications are solely those of the individual author(s) and contributor(s) and not of MDPI and/or the editor(s). MDPI and/or the editor(s) disclaim responsibility for any injury to people or property resulting from any ideas, methods, instructions or products referred to in the content. |
© 2024 by the authors. Licensee MDPI, Basel, Switzerland. This article is an open access article distributed under the terms and conditions of the Creative Commons Attribution (CC BY) license (https://creativecommons.org/licenses/by/4.0/).
Share and Cite
Ince, F.M.; Alkan Bilik, O.; Ince, H. Evaluating Mortality Predictors in COVID-19 Intensive Care Unit Patients: Insights into Age, Procalcitonin, Neutrophil-to-Lymphocyte Ratio, Platelet-to-Lymphocyte Ratio, and Ferritin Lactate Index. Diagnostics 2024, 14, 684. https://doi.org/10.3390/diagnostics14070684
Ince FM, Alkan Bilik O, Ince H. Evaluating Mortality Predictors in COVID-19 Intensive Care Unit Patients: Insights into Age, Procalcitonin, Neutrophil-to-Lymphocyte Ratio, Platelet-to-Lymphocyte Ratio, and Ferritin Lactate Index. Diagnostics. 2024; 14(7):684. https://doi.org/10.3390/diagnostics14070684
Chicago/Turabian StyleInce, Fatma Meral, Ozge Alkan Bilik, and Hasan Ince. 2024. "Evaluating Mortality Predictors in COVID-19 Intensive Care Unit Patients: Insights into Age, Procalcitonin, Neutrophil-to-Lymphocyte Ratio, Platelet-to-Lymphocyte Ratio, and Ferritin Lactate Index" Diagnostics 14, no. 7: 684. https://doi.org/10.3390/diagnostics14070684
APA StyleInce, F. M., Alkan Bilik, O., & Ince, H. (2024). Evaluating Mortality Predictors in COVID-19 Intensive Care Unit Patients: Insights into Age, Procalcitonin, Neutrophil-to-Lymphocyte Ratio, Platelet-to-Lymphocyte Ratio, and Ferritin Lactate Index. Diagnostics, 14(7), 684. https://doi.org/10.3390/diagnostics14070684
