Diet and Lifestyle Intervention-Induced Pattern of Weight Loss Related to Reduction in Low-Attenuation Coronary Plaque Burden
Abstract
1. Introduction
2. Materials and Methods
2.1. Study Population
2.2. Body Composition and Coronary Plaque Measurements
2.3. Statistical Analysis
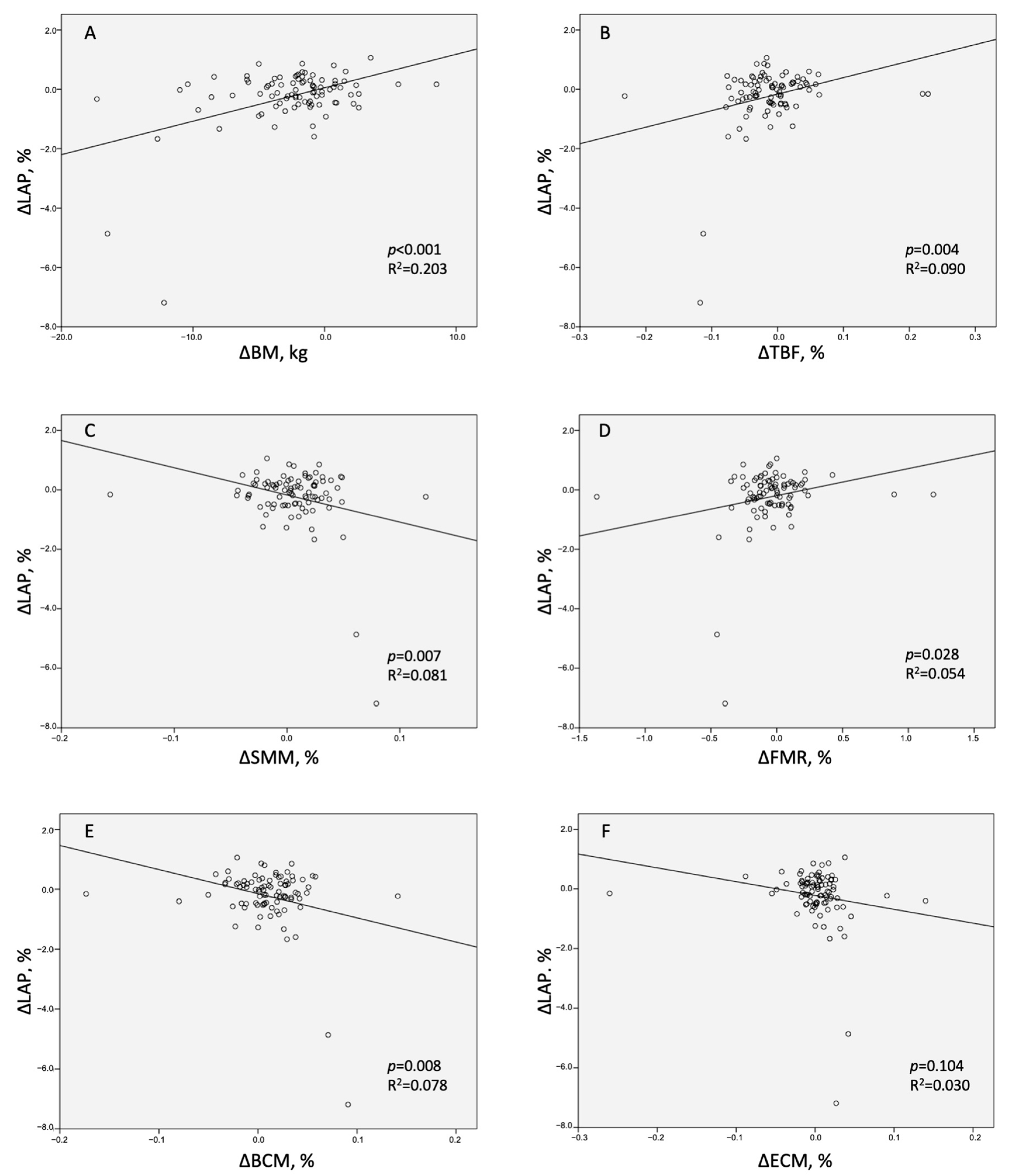
3. Results
3.1. Baseline Characteristics
3.2. Body Mass and Composition Profile
3.3. Weight Loss Patterns
3.4. LAP Burden Dynamics
3.5. LAP Burden Reduction Predictors
4. Discussion
5. Conclusions
Author Contributions
Funding
Institutional Review Board Statement
Informed Consent Statement
Data Availability Statement
Conflicts of Interest
Appendix A
| Inclusion Criteria |
|---|
| Coronary atherosclerosis lesions confirmed in the CCTA defined as maximum luminal stenosis < 70% in at least 2 coronary artery segments (according to ACC/AHA classification) |
| No indications for coronary angiography/revascularization (no documented significant ischemia of the myocardium) |
| Age > 18 years |
| Informed consent to participate in the study |
| Declaration and willingness to cooperate throughout the study |
| Coronary atherosclerosis lesions confirmed in the CCTA defined as maximum luminal stenosis < 70% in at least 2 coronary artery segments (according to ACC/AHA classification) |
| Exclusion Criteria |
| Valvular heart disease or other known condition requiring cardiac surgery (or expected cardiac surgery intervention) within 12 months |
| Dilated or hypertrophic cardiomyopathy |
| Diabetes mellitus type 2 |
| Past CABG procedure |
| Known genetic disorders affecting the development of atherosclerotic lesions (e.g., familial hyperlipidemia, congenital metabolic disorders) |
| Factors that may affect the quality and safety of CCTA examination (e.g., atrial fibrillation, significant ventricular arrhythmias, poor patient cooperation, renal insufficiency, women at childbearing age) or low quality of data obtained from CCTA |
Appendix B

References
- Visseren, F.L.J.; Mach, F.; Smulders, Y.M.; Carballo, D.; Koskinas, K.C.; Bäck, M.; Benetos, A.; Biffi, A.; ESC National Cardiac Societies; ESC Scientific Document Group; et al. 2021 ESC Guidelines on cardiovascular disease prevention in clinical practice. Eur. Heart J. 2021, 42, 3227–3337. [Google Scholar] [CrossRef]
- Arnett, D.K.; Blumenthal, R.S.; Albert, M.A.; Buroker, A.B.; Goldberger, Z.D.; Hahn, E.J.; Himmelfarb, C.D.; Khera, A.; Lloyd-Jones, D.; McEvoy, J.W.; et al. 2019 ACC/AHA Guideline on the Primary Prevention of Cardiovascular Disease: Executive Summary: A Report of the American College of Cardiology/American Heart Association Task Force on Clinical Practice Guidelines. J. Am. Coll. Cardiol. 2019, 74, 1376–1414. [Google Scholar] [CrossRef] [PubMed]
- Ahima, R.S. Adipose tissue as an endocrine organ. Obesity 2006, 14 (Suppl. S5), 242S–249S. [Google Scholar] [CrossRef] [PubMed]
- Kershaw, E.E.; Flier, J.S. Adipose tissue as an endocrine organ. J. Clin. Endocrinol. Metab. 2004, 89, 2548–2556. [Google Scholar] [CrossRef] [PubMed]
- Rocha, V.Z.; Libby, P. Obesity, inflammation, and atherosclerosis. Nat. Rev. Cardiol. 2009, 6, 399–409. [Google Scholar] [CrossRef] [PubMed]
- Lovren, F.; Teoh, H.; Verma, S. Obesity and Atherosclerosis: Mechanistic Insights. Can. J. Cardiol. 2014, 31, 177–183. [Google Scholar] [CrossRef] [PubMed]
- Sharma, R.; Anker, S.D. Cytokines, apoptosis and cachexia: The potential for TNF antagonism. Int. J. Cardiol. 2002, 85, 161–171. [Google Scholar] [CrossRef] [PubMed]
- Prado, C.M.; Gonzalez, M.C.; Heymsfield, S.B. Body composition phenotypes and obesity paradox. Curr. Opin. Clin. Nutr. Metab. Care. 2015, 18, 535–551. [Google Scholar] [CrossRef] [PubMed]
- Papakonstantinou, E.; Lambadiari, V.; Dimitriadis, G.; Zampelas, A. Metabolic syndrome and cardiometabolic risk factors. Curr. Vasc. Pharmacol. 2013, 11, 858–879. [Google Scholar] [CrossRef]
- Srikanthan, P.; Karlamangla, A.S. Muscle mass Index as a predictor of longevity in older adults. Am. J. Med. 2014, 127, 547–553. [Google Scholar] [CrossRef]
- Pedersen, B.; Febbraio, M. Muscles, exercise and obesity: Skeletal muscle as a secretory organ. Nat. Rev. Endocrinol. 2012, 8, 457–465. [Google Scholar] [CrossRef]
- Patel, K.V.; Bahnson, J.L.; Gaussoin, S.A.; Johnson, K.C.; Pi-Sunyer, X.; White, U.; Look AHEAD Research Group; Olson, K.L.; Bertoni, A.G.; Kitzman, D.W.; et al. Association of baseline and longitudinal changes in body composition measures with risk of heart failure and myocardial infarction in type 2 diabetes: Findings from the look AHEAD trial. Circulation 2020, 142, 2420–2430. [Google Scholar] [CrossRef]
- Kim, S.R.; Lee, G.; Choi, S.; Oh, Y.H.; Son, J.S.; Park, M.; Park, S.M. Changes in predicted lean body mass, appendicular skeletal muscle mass, and body fat mass and cardiovascular disease. J. Cachexia Sarcopenia Muscle 2022, 13, 1113–1123. [Google Scholar] [CrossRef]
- Hu, T.; Shen, Y.; Cao, W.; Xu, Y.; Wang, Y.; Ma, X.; Bao, Y. Two-year changes in body composition and future cardiovascular events: A longitudinal community-based study. Nutr. Metab. 2023, 20, 4. [Google Scholar] [CrossRef]
- Medina-Inojosa, J.R.; Somers, V.K.; Thomas, R.J.; Jean, N.; Jenkins, S.M.; Gomez-Ibarra, M.A.; Supervia, M.; Lopez-Jimenez, F. Association between Adiposity and Lean Mass with Long-Term Cardiovascular Events in Patients with Coronary Artery Disease: No Paradox. J. Am. Heart Assoc. 2018, 8, e007505. [Google Scholar] [CrossRef]
- Allison, D.B.; Zannolli, R.; Faith, M.S.; Heo, M.; Pietrobelli, A.; Vanltallie, T.B.; Pi-Sunyer, F.; Heymsfield, S. Weight loss increases and fat loss decreases all-cause mortality rate: Results from two independent cohort studies. Int. J. Obes. Relat. Metab. Disord. 1999, 23, 603–611. [Google Scholar] [CrossRef] [PubMed]
- Heitmann, B.L.; Erikson, H.; Ellsinger, B.M.; Larsson, B. Mortality associated with body fat, fat-free mass and body mass index among 60-year-old Swedish men-a 22-year follow-up. The study of men born in 1913. Int. J. Obes. Relat. Metab. Disord. 2000, 24, 33–37. [Google Scholar] [CrossRef]
- Lee, D.H.; Giovannucci, E.L. Body composition and mortality in the general population: A review of epidemiologic studies. Exp. Biol. Med. 2018, 243, 1275–1285. [Google Scholar] [CrossRef] [PubMed]
- Williams, M.C.; Kwiecinski, J.; Doris, M.; McElhinney, P.; D’Souza, M.S.; Cadet, S.; Adamson, P.D.; Moss, A.J.; Alam, S.; Hunter, A.; et al. Low-Attenuation Noncalcified Plaque on Coronary Computed Tomography Angiography Predicts Myocardial Infarction: Results from the Multicenter SCOT-HEART Trial (Scottish Computed Tomography of the HEART). Circulation 2020, 141, 1452–1462. [Google Scholar] [CrossRef] [PubMed]
- Wang, G.X.; Yang, L.; Yang, Y.; Zhang, D.; Yu, J.; Wen, L. Low attenuation plaque volume on coronary computed tomography an-giography is associated with plaque progression. Coron. Artery Dis. 2022, 33, 176–181. [Google Scholar] [CrossRef] [PubMed]
- Henzel, J.; Kępka, C.; Kruk, M.; Makarewicz-Wujec, M.; Wardziak, Ł.; Trochimiuk, P.; Dzielińska, Z.; Demkow, M. High-Risk Coronary Plaque Regres-sion After Intensive Lifestyle Intervention in Nonobstructive Coronary Disease: A Randomized Study. JACC Cardiovasc. Imaging 2021, 14, 1192–1202. [Google Scholar] [CrossRef]
- Jayanama, K.; Putadechakun, S.; Srisuwarn, P.; Vallibhakara, S.A.; Chattranukulchai Shantavasinkul, P.; Sritara, C.; Kantachuvesiri, S.; Komindr, S. Evaluation of Body Composition in Hemodialysis Thai Patients: Comparison between Two Models of Bioelectrical Impedance Analyzer and Dual-Energy X-Ray Absorptiometry. J. Nutr. Metab. 2018, 8, 4537623. [Google Scholar] [CrossRef]
- Castoldi, A.; Naffah de Souza, C.; Câmara, N.O.; Moraes-Vieira, P.M. The macrophage switch in obesity development. Front. Immunol. 2016, 6, 637. [Google Scholar] [CrossRef]
- Di Pino, A.; DeFronzo, R.A. Insulin resistance and atherosclerosis: Implications for insulin-sensitizing agents. Endocr. Rev. 2019, 40, 1447–1467. [Google Scholar] [CrossRef]
- Srikanthan, P.; Horwich, T.B.; Tseng, C.H. Relation of Muscle Mass and Fat Mass to Cardiovascular Disease Mortality. Am. J. Cardiol. 2016, 117, 1355–1360. [Google Scholar] [CrossRef]
- Srikanthan, P.; Karlamangla, A.S. Relative muscle mass is inversely associated with insulin resistance and prediabetes. Findings from the third National Health and Nutrition Examination Survey. J. Clin. Endocrinol. Metab. 2011, 96, 2898–2903. [Google Scholar] [CrossRef]
- Milani, R.V.; Lavie, C.J. Prevalence and profile of metabolic syndrome in patients following acute coronary events and effects of therapeutic lifestyle change with cardiac rehabilitation. Am. J. Cardiol. 2003, 92, 50–54. [Google Scholar] [CrossRef]
- Nishiyama, Y.; Minohara, M.; Ohe, M.; Hirai, Y.; Katoh, A.; Miyamoto, T.; Iwami, G.; Nakata, M.; Koga, Y. Effect of physical training on insulin resistance in patients with chronic heart failure. Circ. J. 2006, 70, 864–867. [Google Scholar] [CrossRef][Green Version]
- Pigłowska, M.; Kostka, T.; Drygas, W.; Jegier, A.; Leszczyńska, J.; Bill-Bielecka, M.; Kwaśniewska, M. Body composition, nutritional status, and endothelial function in physically active men without metabolic syndrome—A 25 year cohort study. Lipids Health Dis. 2016, 15, 1–8. [Google Scholar] [CrossRef]
- Stini, W.A. Body composition and longevity: Is there a longevous morphotype? Med. Anthropol. 1991, 13, 215–229. [Google Scholar] [CrossRef] [PubMed]
- Chung, J.Y.; Kang, H.T.; Lee, D.C.; Lee, H.R.; Lee, Y.J. Body composition and its association with cardiometabolic risk factors in the elderly: A focus on sarcopenic obesity. Arch. Gerontol. Geriatr. 2013, 56, 270–278. [Google Scholar] [CrossRef] [PubMed]
- Abete, I.; Konieczna, J.; Zulet, M.A.; Galmés-Panades, A.M.; Ibero-Baraibar, I.; Babio, N.; Estruch, R.; Vidal, J.; Toledo, E.; Razquin, C.; et al. Association of lifestyle factors and inflammation with sarcopenic obesity: Data from the PREDIMED-Plus trial. J. Cachexia Sarcopenia Muscle 2019, 10, 974–984. [Google Scholar] [CrossRef]
- Ouchi, N.; Ohashi, K.; Shibata, R.; Murohara, T. Protective roles of adipocytokines and myokines in cardiovascular disease. Circ. J. 2016, 80, 2073–2080. [Google Scholar] [CrossRef]
- Kinugasa, Y.; Yamamoto, K. The challenge of frailty and sarcopenia in heart failure with preserved ejection fraction. Heart Br. Card. Soc. 2017, 103, 184–189. [Google Scholar] [CrossRef]
- Chrysohoou, C.; Kouvari, M.; Lazaros, G.; Varlas, J.; Dimitriadis, K.; Zaromytidou, M.; Masoura, C.; Skoumas, J.; Kambaxis, M.; Galiatsatos, N.; et al. Predicted Skeletal Muscle Mass and 4-Year Cardiovascular Disease Incidence in Middle-Aged and Elderly Participants of IKARIA Prospective Epidemiological Study: The Mediating Effect of Sex and Cardiometabolic Factors. Nutrients 2020, 12, 3293. [Google Scholar] [CrossRef]
- Ramírez-Vélez, R.; Carrillo, H.A.; Correa-Bautista, J.E.; Schmidt-RioValle, J.; González-Jiménez, E.; Correa-Rodríguez, M.; González-Ruíz, K.; García-Hermoso, A. Fat-to-Muscle Ratio: A New Anthropometric Indicator as a Screening Tool for Metabolic Syndrome in Young Colombian People. Nutrients 2018, 10, 1027. [Google Scholar] [CrossRef]
- Chen, Y.-Y.; Fang, W.-H.; Wang, C.-C.; Kao, T.-W.; Yang, H.-F.; Wu, C.-J.; Sun, Y.-S.; Wang, Y.-C.; Chen, W.-L. Fat-to-muscle ratio is a useful index for cardiometabolic risks: A population-based observational study. PLoS ONE 2019, 14, e0214994. [Google Scholar] [CrossRef]
- Xu, K.; Zhu, H.J.; Chen, S.; Chen, L.; Wang, X.; Zhang, L.Y.; Pan, L.; Wang, L.; Feng, K.; Wang, K.; et al. Fat-to-muscle Ratio: A New Anthropometric Indicator for Predicting Metabolic Syndrome in the Han and Bouyei Populations from Guizhou Province, China. Biomed. Environ. Sci. 2018, 31, 261–271. [Google Scholar] [CrossRef]
- Seo, Y.G.; Song, H.J.; Song, Y.R. Fat-to-muscle ratio as a predictor of insulin resistance and metabolic syndrome in Korean adults. J. Cachexia Sarcopenia Muscle 2020, 11, 710–725. [Google Scholar] [CrossRef] [PubMed]
- Wang, N.; Sun, Y.; Zhang, H.; Chen, C.; Wang, Y.; Zhang, J.; Xia, F.; Benedict, C.; Tan, X.; Lu, Y. Total and regional fat-to-muscle mass ratio measured by bioelectrical impedance and risk of incident type 2 diabetes. J. Cachexia Sarcopenia Muscle 2021, 12, 2154–2162. [Google Scholar] [CrossRef] [PubMed]
- Kurinami, N.; Sugiyama, S.; Morita, A.; Yoshida, A.; Hieshima, K.; Miyamoto, F.; Kajiwara, K.; Jinnouch, K.; Jinnouchi, T.; Jinnouchi, H. Ratio of muscle mass to fat mass assessed by bioelectrical impedance analysis is significantly correlated with liver fat accumulation in patients with type 2 diabetes mellitus. Diabetes Res. Clin. Pract. 2018, 139, 122–130. [Google Scholar] [CrossRef]
- Liu, D.; Zhong, J.; Ruan, Y.; Zhang, Z.; Sun, J.; Chen, H. The association between fat-to-muscle ratio and metabolic disorders in type 2 diabetes. Diabetol. Metab. Syndr. 2021, 13, 1–9. [Google Scholar] [CrossRef]
- Yu, B.; Sun, Y.; Du, X.; Zhang, H.; Chen, C.; Tan, X.; Yang, Z.; Lu, Y.; Wang, N. Age-specific and sex-specific associations of visceral adipose tissue mass and fat-to-muscle mass ratio with risk of mortality. J. Cachexia Sarcopenia Muscle 2023, 14, 406–417. [Google Scholar] [CrossRef]
- Zhou, R.; Chen, H.W.; Lin, Y.; Li, F.R.; Zhong, Q.; Huang, Y.N.; Wu, X.B. Total and Regional Fat/Muscle Mass Ratio and Risks of Incident Cardiovascular Disease and Mortality. J. Am. Heart Assoc. 2023, 12, e030101. [Google Scholar] [CrossRef]
- McAuley, P.A.; Beavers, K.M. Contribution of cardiorespiratory fitness to the obesity paradox. Prog. Cardiovasc. Dis. 2014, 56, 434–440. [Google Scholar] [CrossRef]
- Andreoli, A.; Lauro, S.; Di Daniele, N.; Sorge, R.; Celi, M.; Volpe, S.L. Effect of a moderately hypoenergetic Mediterranean diet and exercise program on body cell mass and cardiovascular risk factors in obese women. Eur. J. Clin. Nutr. 2008, 62, 892–897. [Google Scholar] [CrossRef]



| DISCO Intervention (n = 45) | Control (n = 44) | p-Value | |
|---|---|---|---|
| Gender, female (%) | 15 (33.3) | 21 (47.7) | 0.198 |
| Age at baseline, years (SD) | 59.4 (8.0) | 60.6 (7.5) | 0.468 |
| Previous myocardial revascularization *, n (%) | 3 (6.7) | 1 (2.3) | 0.616 |
| Angina functional class, n (%) | |||
| No angina or CCS 1 | 43 (95.6) | 40 (90.9) | 0.434 |
| CCS 2 | 2 (4.4) | 4 (9.1) | 0.434 |
| Prediabetes, n (%) | 7 (11.1) | 3 (6.8) | 0.315 |
| Dyslipidemia, n (%) | 45 (100.0) | 41 (93.2) | 0.116 |
| Hypertension, n (%) | 41 (91.1) | 38 (86.4) | 0.522 |
| Atrial fibrillation, n (%) | 3 (6.7) | 3 (6.8) | 0.999 |
| Smoking history, n (%) | 27 (60) | 27 (61.4) | 0.999 |
| Confirmed statin intolerance, n (%) | 3 (6.7) | 3 (6.8) | 0.999 |
| Overweight (BMI 25 kg/m2), n (%) | 30 (84.4) | 40 (90.9) | 0.521 |
| Obesity (BMI 30 kg/m2), n (%) | 25 (55.5) | 15 (34.1) | 0.056 |
| SBP, mmHg (SD) | 129.7 (11.9) | 129.7 (15.5) | 0.999 |
| DBP, mmHg (SD) | 80.4 (6.5) | 80.1 (8.2) | 0.849 |
| HR, min−1 (SD) | 67.3 (7.2) | 65.2 (13.6) | 0.368 |
| Antiplatelet treatment, n (%) | 31 (68.9) | 26 (59.0) | 0.335 |
| Statin treatment, n (%) | 29 (64.4) | 31 (70.5) | 0.652 |
| BB treatment, n (%) | 24 (53.3) | 28 (62.2) | 0.391 |
| ACE-IARB treatment, n (%) | 30 (66.6) | 34 (77.3) | 0.347 |
| CCB treatment, n (%) | 15 (33.3) | 13 (29.5) | 0.808 |
| Diuretic treatment, n (%) | 12 (26.7) | 17 (38.6) | 0.263 |
| Median number of antihypertensive drugs (IQR) | 2.0 (1.0–3.0) | 2.0 (1.25–3.0) | 0.380 |
| Baseline TC, mg/dL (SD) | 181.9 (44.4) | 177.6 (42.8) | 0.643 |
| Baseline LDL, mg/dL (SD) | 108.6 (37.9) | 109.6 (39.6) | 0.905 |
| Baseline hs-CRP, mg/L | 0.13 (0.09, 0.30) | 0.14 (0.09, 0.22) | 0.671 |
| Baseline homocysteine, umol/L (SD) | 13.2 (4.3) | 14.1 (8.7) | 0.540 |
| Observation time, weeks (SD) | 69.4 (15.8) | 64.3 (10.7) | 0.079 |
| Study Arm | ||||||||
|---|---|---|---|---|---|---|---|---|
| DISCO Intervention (n = 45) | Control (n = 44) | p-Value | 95% CI | |||||
| Min | Max | Mean ± SD | Min | Max | Mean ± SD | |||
| BM baseline, kg | 45.9 | 116.6 | 84.9 ± 16.2 | 51.6 | 121.9 | 82.2 ± 14.9 | 0.424 | −3.9; 9.2 |
| BM follow-up, kg | 53.0 | 107.0 | 81.3 ± 13.8 | 50.7 | 117.9 | 80.8 ± 14.9 | 0.862 | −5.5; 6.6 |
| ∆BM, kg | −17.3 | 8.5 | −3.6 ± 4.9 | −8.4 | 5.6 | −1.4 ± 2.9 | 0.015 | −3.8; −0.4 |
| BMI baseline, kg/m2 | 17.8 | 36.5 | 29.8 ± 4.2 | 21.2 | 40.2 | 29.1 ± 3.8 | 0.431 | −1.0; 2.4 |
| BMI follow-up, kg/m2 | 21.1 | 35.5 | 28.6 ± 3.6 | 20.8 | 38.9 | 28.6 ± 3.8 | 0.989 | −1.6; 1.5 |
| ∆BMI, kg/m2 | −5.4 | 3.3 | −1.2 ± 1.6 | −3.4 | 1.7 | −0.5 ± 1.1 | 0.020 | −1.3; −0.1 |
| TBF baseline, kg | 7.3 | 58.6 | 28.7 ± 9.8 | 14.9 | 48.9 | 26.9 ± 7.8 | 0.323 | −1.9; 5.6 |
| TBF follow-up, kg | 9.3 | 45.7 | 24.5 ± 7.7 | 13.1 | 43.3 | 27.1 ± 7.8 | 0.119 | −5.8; 0.7 |
| ∆TBF, kg | −24.8 | 4.9 | −4.2 ± 5.3 | −8.8 | 15.7 | 0.2 ± 4.2 | <0.001 | −6.5; −2.4 |
| FFM baseline, kg | 34.7 | 80.2 | 56.2 ± 11.8 | 36.7 | 75.5 | 55.3 ± 12.1 | 0.758 | −4.3; 5.8 |
| FFM follow-up, kg | 35.8 | 75.1 | 56.8 ± 11.3 | 23.8 | 74.6 | 53.7 ± 13.2 | 0.235 | −2.1; 8.3 |
| ∆FFM, kg | −7.1 | 22.0 | 0.6 ± 4.4 | −16.7 | 3.5 | −1.6 ± 3.9 | 0.010 | 0.6; 4.1 |
| BCM baseline, kg | 22.0 | 52.2 | 36.5 ± 7.7 | 23.6 | 49.3 | 35.9 ± 8.0 | 0.734 | −2.7; 3.9 |
| BCM follow-up, kg | 22.8 | 48.3 | 36.7 ± 7.1 | 21.9 | 48.3 | 35.3 ± 8.2 | 0.403 | −1.9; 4.5 |
| ∆BCM, kg | −7.9 | 13.3 | 0.2 ± 3.0 | −10.1 | 2.5 | −0.6 ± 2.2 | 0.156 | −0.3; 1.9 |
| SMM baseline, kg | 18.1 | 45.5 | 31.2 ± 7.0 | 19.5 | 42.9 | 30.7 ± 7.3 | 0.734 | −2.5; 3.5 |
| SMM follow-up, kg | 18.8 | 42.0 | 31.6 ± 6.6 | 17.9 | 42.0 | 29.7 ± 7.6 | 0.211 | −1.1; 4.9 |
| ∆SMM, kg | −4.3 | 11.6 | 0.4 ± 2.6 | −9.2 | 2.1 | −1.0 ± 2.1 | 0.006 | 0.4; 2.4 |
| TBW baseline, kg | 25.3 (n = 39) | 53.9 (n = 39) | 40.9 ± 8.3 | 26.8 | 55.1 | 40.2 ± 8.8 | 0.375 | −4.4; 3.1 |
| TBW follow-up, kg | 26.1 | 55.0 | 41.2 ± 8.1 | 24.6 | 53.8 | 39.3 ± 8.8 | 0.296 | −5.4; 1.7 |
| ∆TBW, kg | −5.7 (n = 39) | 6.6 (n = 39) | 0.3 ± 2.2 | −13.1 | 3.6 | −0.9 ± 3.1 | 0.040 | −2.4; −0.1 |
| Study Arm | p-Value | 95% CI Z-Score * | |||
|---|---|---|---|---|---|
| DISCO Intervention (n = 45) | Control (n = 44) | ||||
| Body Mass | BM baseline, kg | 84.9 ± 16.2 | 82.2 ± 14.9 | 0.424 | −3.90; 9.22 |
| BM follow-up, kg | 81.3 ± 13.8 | 80.8 ± 14.9 | 0.862 | −5.51; 6.58 | |
| ∆BM, kg | −3.6 ± 4.9 | −1.4 ± 2.9 | 0.015 | −3.83; −0.42 | |
| Three-Compartment Body Composition Model | TBF baseline, % | 33.5 ± 8.7 | 32.8 ± 7.6 | 0.688 | −0.03; 0.04 |
| TBF follow-up, % | 30.1 ± 8.0 | 33.9 ± 9.2 | 0.040 | −0.07; −0.01 | |
| ∆TBF, % | −3.4 ± 4.8 | 1.1 ± 5.5 | <0.001 | −0.1; −0.02 | |
| BCM baseline, % | 43.2 ± 5.6 | 43.6 ± 5.0 | 0.738 | −0.03; 0.02 | |
| BCM follow-up, % | 45.2 ± 5.4 | 43.5 ± 5.5 | 0.133 | −0.01; 0.04 | |
| ∆BCM, % | 2.0 ± 3.3 | −0.1 ± 3.7 | 0.007 | 0.01; 0.04 | |
| ECM baseline, % | 23.3 ± 3.2 | 23.6 ± 3.1 | 0.638 | −0.02; 0.01 | |
| ECM follow-up, % | 24.7 ± 3.8 | 22.6 ± 1.5 | 0.030 | 0.01; 0.04 | |
| ∆ECM, % | 1.4 ± 3.0 | −1.0 ± 4.3 | 0.003 | 0.01; 0.04 | |
| Skeletal Muscles and Fat-To-Muscle Mass Ratio | SMM baseline, % | 36.9 ± 5.0 | 37.2 ± 4.6 | 0.779 | −0.02; 0.02 |
| SMM follow-up, % | 38.8 ± 4.8 | 36.5 ± 5.3 | 0.032 | 0.01; 0.04 | |
| ∆SMM, % | 1.9 ± 2.8 | −0.7 ± 3.2 | <0.001 | 0.01; 0.04 | |
| FMR baseline, % | 88.5 (65.5; 115.8) | 88.3 (62.9; 111.5) | 0.718 | −0.361 | |
| FMR follow-up, % | 76.9 (56.3; 94.1) | 93.5 (70.2; 120.2) | 0.046 | −1.994 | |
| ∆FMR, % | −12.9 (−21.2; −4.3) | 3.1 (−5.3; 10.7) | <0.001 | −4.801 | |
| High-Risk Coronary Plaque | LAP baseline, % | 1.26 (0.94; 2.03) | 1.25 (0.94; 1.63) | 0.555 | −0.591 |
| LAP follow-up, % | 1.07 (0.94; 1.74) | 1.23 (0.89; 1.67) | 0.948 | −0.66 | |
| ∆LAP, % | −0.11 (−0.61; 0.28) | 0.06 (−0.39; 0.23) | 0.286 | −1.067 | |
| Title 1 | Title 2 | p-Value | Unstandardized B | Standardized B | 95% CI |
|---|---|---|---|---|---|
| ∆BM | <0.001 | 0.113 | 0.450 | 0.065; 0.160 |
| ∆TBF | 0.004 | 5.564 | 0.300 | 1.792; 9.335 | |
| ∆BCM | 0.008 | −8.065 | −0.279 | −13.978; −2.153 | |
| ∆ECM | 0.104 | −4.641 | −0.174 | −10.248; 0.967 | |
| ∆SMM | 0.007 | −9.156 | −0.285 | −15.7811; −2.601 | |
| ∆FMR | 0.028 | 0.908 | 0.233 | 0.100; 1.716 | |
| ∆BMI | <0.001 | 0.321 | 0.436 | 0.180; 0.462 | |
| Age | 0.587 | 0.008 | 0.058 | −0.021; 0.037 | |
| Sex | 0.170 | 0.311 | 0.147 | −0.135; 0.756 | |
| Study arm | 0.076 * | −0.393 | −0.189 | −0.827; 0.042 | |
| Arterial hypertension | 0.520 | −0.227 | −0.069 | −0.926; 0.472 | |
| Hyperlipidemia | 0.336 | −0.593 | −0.103 | −1.812; 0.626 | |
| Statin treatment | 0.615 | 0.137 | 0.054 | −0.402; 0.676 | |
| Antiplatelet treatment | 0.641 | −0.119 | −0.050 | −0.624; 0.386 | |
| Atrial fibrillation | 0.969 | −0.016 | −0.004 | −0.838; 0.806 | |
| Baseline TC | 0.671 | 0.001 | 0.046 | −0.004; 0.006 | |
| Baseline LDL | 0.832 | 0.001 | 0.023 | −0.005; 0.006 | |
| Baseline hs-CRP | 0.360 | 0.520 | 0.100 | −0.604; 1.643 | |
| Baseline homocysteine | 0.946 | 0.001 | 0.007 | −0.032; 0.034 | |
| Smoking history | 0.442 | −0.223 | 0.083 | −0.797; 0.351 | |
| Impaired glucose tolerance | 0.031 | −0.833 | −0.229 | −1.585; −0.080 | |
| Prior coronary revascularization | 0.905 | −0.065 | −0.013 | −1.132; 1.003 | |
| Baseline BM | 0.090 * | −0.012 | −0.181 | −0.026; 0.002 | |
| Baseline BMI | 0.116 | −0.043 | −0.168 | −0.098; 0.011 | |
| 30 kg/m2) | 0.579 | −0.124 | −0.060 | −0.568; 0.320 | |
| 25 kg/m2) | 0.644 | −0.157 | −0.050 | −0.828; 0.514 | |
| Baseline calcium score | 0.171 | −0.001 | −0.147 | −0.001; 0.001 | |
| ∆BM | <0.001 | 0.113 | 0.450 | 0.065; 0.160 |
| Study arm | 0.427 | - | −0.079 | - | |
| Impaired glucose tolerance | 0.156 | - | −0.139 | - | |
| Baseline BM | 0.874 | - | 0.017 | - | |
| ∆TBF | 0.004 | 5.564 | 0.300 | 1.792; 9.335 |
| ∆BCM | 0.383 | - | −0.130 | - | |
| ∆ECM | 0.383 | - | 0.141 | - | |
| Study arm | 0.467 | - | −0.082 | - | |
| Impaired glucose tolerance | 0.061 | - | −0.193 | - | |
| Baseline BM | 0.340 | - | −0.102 | - | |
| ∆FMR | 0.028 | 0.908 | 0.233 | 0.100; 1.716 |
| Study arm | 0.312 | - | −0.115 | - | |
| Impaired glucose tolerance | 0.050 | - | −0.205 | - | |
| Baseline BM | 0.233 | - | 0.233 | - |
Disclaimer/Publisher’s Note: The statements, opinions and data contained in all publications are solely those of the individual author(s) and contributor(s) and not of MDPI and/or the editor(s). MDPI and/or the editor(s) disclaim responsibility for any injury to people or property resulting from any ideas, methods, instructions or products referred to in the content. |
© 2024 by the authors. Licensee MDPI, Basel, Switzerland. This article is an open access article distributed under the terms and conditions of the Creative Commons Attribution (CC BY) license (https://creativecommons.org/licenses/by/4.0/).
Share and Cite
Henzel, J.; Kruk, M.; Kępka, C.; Makarewicz-Wujec, M.; Wardziak, Ł.; Trochimiuk, P.; Krysztofiak, H.; Dąbrowski, R.; Dzielińska, Z.; Maurovich-Horvat, P.; et al. Diet and Lifestyle Intervention-Induced Pattern of Weight Loss Related to Reduction in Low-Attenuation Coronary Plaque Burden. Diagnostics 2024, 14, 615. https://doi.org/10.3390/diagnostics14060615
Henzel J, Kruk M, Kępka C, Makarewicz-Wujec M, Wardziak Ł, Trochimiuk P, Krysztofiak H, Dąbrowski R, Dzielińska Z, Maurovich-Horvat P, et al. Diet and Lifestyle Intervention-Induced Pattern of Weight Loss Related to Reduction in Low-Attenuation Coronary Plaque Burden. Diagnostics. 2024; 14(6):615. https://doi.org/10.3390/diagnostics14060615
Chicago/Turabian StyleHenzel, Jan, Mariusz Kruk, Cezary Kępka, Magdalena Makarewicz-Wujec, Łukasz Wardziak, Piotr Trochimiuk, Hubert Krysztofiak, Rafał Dąbrowski, Zofia Dzielińska, Pál Maurovich-Horvat, and et al. 2024. "Diet and Lifestyle Intervention-Induced Pattern of Weight Loss Related to Reduction in Low-Attenuation Coronary Plaque Burden" Diagnostics 14, no. 6: 615. https://doi.org/10.3390/diagnostics14060615
APA StyleHenzel, J., Kruk, M., Kępka, C., Makarewicz-Wujec, M., Wardziak, Ł., Trochimiuk, P., Krysztofiak, H., Dąbrowski, R., Dzielińska, Z., Maurovich-Horvat, P., & Demkow, M. (2024). Diet and Lifestyle Intervention-Induced Pattern of Weight Loss Related to Reduction in Low-Attenuation Coronary Plaque Burden. Diagnostics, 14(6), 615. https://doi.org/10.3390/diagnostics14060615

