Whole-Exome Sequencing and Analysis of the T Cell Receptor β and γ Repertoires in Rheumatoid Arthritis
Abstract
1. Introduction
2. Materials and Methods
2.1. Study Design and Data Collection
2.2. Genomic Analysis
2.3. Statistical Analysis
3. Results
3.1. Baseline Characteristics
3.2. Genomic Variants
3.3. Changes in Clinical Features after DMARD Treatment
3.4. Changes in TCR Diversity after DMARD Treatment
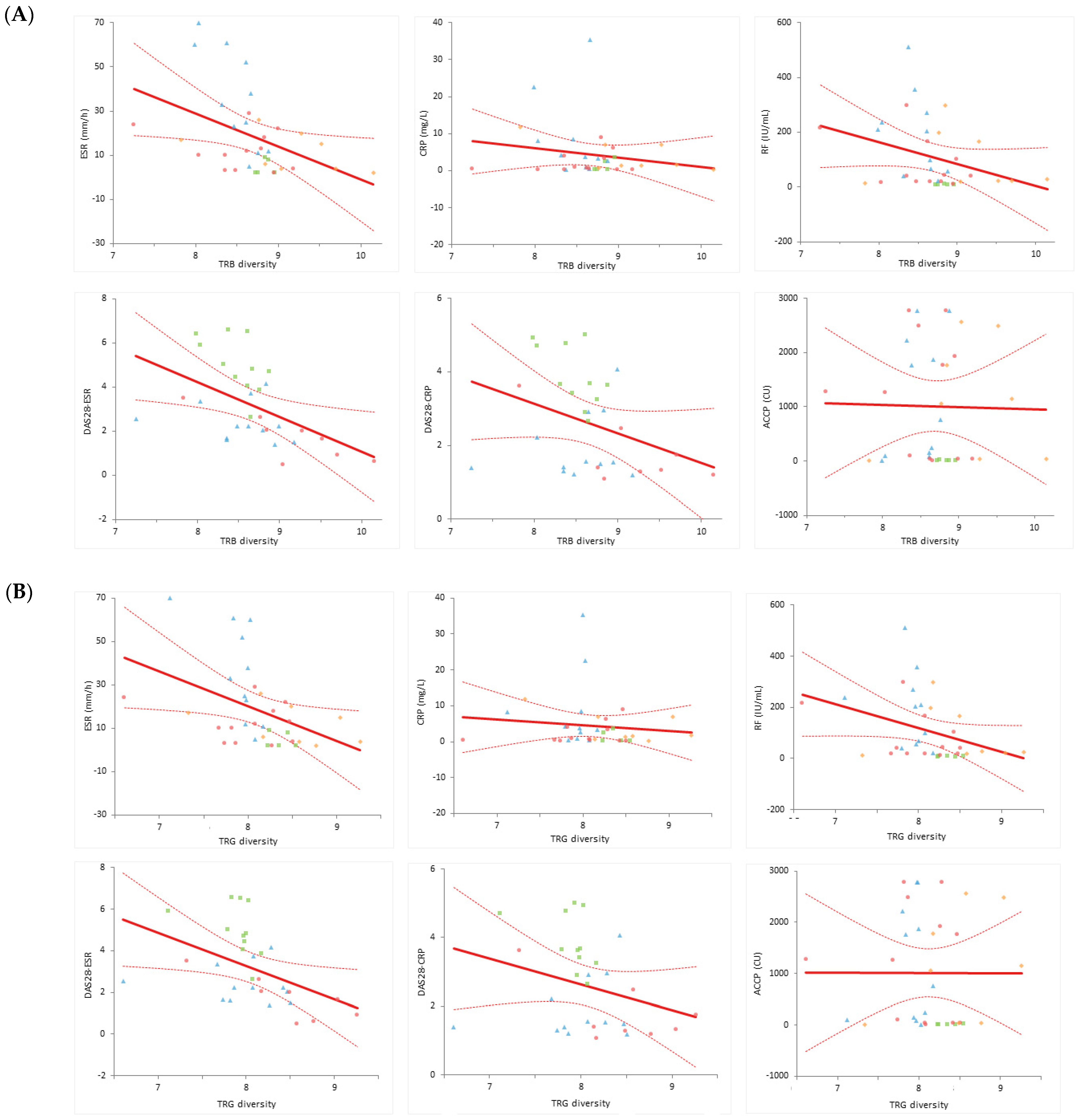
3.5. Relationship between TCR Diversity and RA-Related Factors
4. Discussion
5. Conclusions
Author Contributions
Funding
Institutional Review Board Statement
Informed Consent Statement
Data Availability Statement
Acknowledgments
Conflicts of Interest
References
- Gravallese, E.M.; Firestein, G.S. Rheumatoid Arthritis—Common Origins, Divergent Mechanisms. N. Engl. J. Med. 2023, 388, 529–542. [Google Scholar] [CrossRef]
- Klareskog, L.; Catrina, A.I.; Paget, S. Rheumatoid arthritis. Lancet 2009, 373, 659–672. [Google Scholar] [CrossRef]
- McInnes, I.B.; Schett, G. The pathogenesis of rheumatoid arthritis. N. Engl. J. Med. 2011, 365, 2205–2219. [Google Scholar] [CrossRef] [PubMed]
- Silman, A.J.; Pearson, J.E. Epidemiology and genetics of rheumatoid arthritis. Arthritis Res. 2002, 4 (Suppl. S3), S265–S272. [Google Scholar] [CrossRef]
- Firestein, G.S. Evolving concepts of rheumatoid arthritis. Nature 2003, 423, 356–361. [Google Scholar] [CrossRef] [PubMed]
- Kurreeman, F.A.; Padyukov, L.; Marques, R.B.; Schrodi, S.J.; Seddighzadeh, M.; Stoeken-Rijsbergen, G.; van der Helm-van Mil, A.H.; Allaart, C.F.; Verduyn, W.; Houwing-Duistermaat, J.; et al. A candidate gene approach identifies the TRAF1/C5 region as a risk factor for rheumatoid arthritis. PLoS Med. 2007, 4, e278. [Google Scholar] [CrossRef]
- Imboden, J.B. The immunopathogenesis of rheumatoid arthritis. Annu. Rev. Pathol. 2009, 4, 417–434. [Google Scholar] [CrossRef] [PubMed]
- Seldin, M.F.; Amos, C.I.; Ward, R.; Gregersen, P.K. The genetics revolution and the assault on rheumatoid arthritis. Arthritis Rheum. 1999, 42, 1071–1079. [Google Scholar] [CrossRef]
- MacGregor, A.J.; Snieder, H.; Rigby, A.S.; Koskenvuo, M.; Kaprio, J.; Aho, K.; Silman, A.J. Characterizing the quantitative genetic contribution to rheumatoid arthritis using data from twins. Arthritis Rheum. 2000, 43, 30–37. [Google Scholar] [CrossRef]
- Stahl, E.A.; Wegmann, D.; Trynka, G.; Gutierrez-Achury, J.; Do, R.; Voight, B.F.; Kraft, P.; Chen, R.; Kallberg, H.J.; Kurreeman, F.A.; et al. Bayesian inference analyses of the polygenic architecture of rheumatoid arthritis. Nat. Genet. 2012, 44, 483–489. [Google Scholar] [CrossRef]
- Oliver, J.E.; Worthington, J.; Silman, A.J. Genetic epidemiology of rheumatoid arthritis. Curr. Opin. Rheumatol. 2006, 18, 141–146. [Google Scholar] [CrossRef]
- Saad, M.N.; Mabrouk, M.S.; Eldeib, A.M.; Shaker, O.G. Genetic Case-Control Study for Eight Polymorphisms Associated with Rheumatoid Arthritis. PLoS ONE 2015, 10, e0131960. [Google Scholar] [CrossRef]
- Stahl, E.A.; Raychaudhuri, S.; Remmers, E.F.; Xie, G.; Eyre, S.; Thomson, B.P.; Li, Y.; Kurreeman, F.A.; Zhernakova, A.; Hinks, A.; et al. Genome-wide association study meta-analysis identifies seven new rheumatoid arthritis risk loci. Nat. Genet. 2010, 42, 508–514. [Google Scholar] [CrossRef]
- Eyre, S.; Bowes, J.; Diogo, D.; Lee, A.; Barton, A.; Martin, P.; Zhernakova, A.; Stahl, E.; Viatte, S.; McAllister, K.; et al. High-density genetic mapping identifies new susceptibility loci for rheumatoid arthritis. Nat. Genet. 2012, 44, 1336–1340. [Google Scholar] [CrossRef]
- Zhernakova, A.; Stahl, E.A.; Trynka, G.; Raychaudhuri, S.; Festen, E.A.; Franke, L.; Westra, H.J.; Fehrmann, R.S.; Kurreeman, F.A.; Thomson, B.; et al. Meta-analysis of genome-wide association studies in celiac disease and rheumatoid arthritis identifies fourteen non-HLA shared loci. PLoS Genet. 2011, 7, e1002004. [Google Scholar] [CrossRef]
- Kurreeman, F.A.; Stahl, E.A.; Okada, Y.; Liao, K.; Diogo, D.; Raychaudhuri, S.; Freudenberg, J.; Kochi, Y.; Patsopoulos, N.A.; Gupta, N.; et al. Use of a multiethnic approach to identify rheumatoid- arthritis-susceptibility loci, 1p36 and 17q12. Am. J. Hum. Genet. 2012, 90, 524–532. [Google Scholar] [CrossRef] [PubMed]
- Wiley, G.B.; Kelly, J.A.; Gaffney, P.M. Use of next-generation DNA sequencing to analyze genetic variants in rheumatic disease. Arthritis Res. Ther. 2014, 16, 490. [Google Scholar] [CrossRef][Green Version]
- Turcinov, S.; Af Klint, E.; Van Schoubroeck, B.; Kouwenhoven, A.; Mia, S.; Chemin, K.; Wils, H.; Van Hove, C.; De Bondt, A.; Keustermans, K.; et al. Diversity and Clonality of T Cell Receptor Repertoire and Antigen Specificities in Small Joints of Early Rheumatoid Arthritis. Arthritis Rheumatol. 2023, 75, 673–684. [Google Scholar] [CrossRef] [PubMed]
- Arnett, F.C.; Edworthy, S.M.; Bloch, D.A.; McShane, D.J.; Fries, J.F.; Cooper, N.S.; Healey, L.A.; Kaplan, S.R.; Liang, M.H.; Luthra, H.S.; et al. The American Rheumatism Association 1987 revised criteria for the classification of rheumatoid arthritis. Arthritis Rheumatol. 1988, 31, 315–324. [Google Scholar] [CrossRef] [PubMed]
- Aletaha, D.; Neogi, T.; Silman, A.J.; Funovits, J.; Felson, D.T.; Bingham, C.O., 3rd; Birnbaum, N.S.; Burmester, G.R.; Bykerk, V.P.; Cohen, M.D.; et al. 2010 Rheumatoid arthritis classification criteria: An American College of Rheumatology/European League Against Rheumatism collaborative initiative. Arthritis Rheumatol. 2010, 62, 2569–2581. [Google Scholar] [CrossRef]
- Liu, X.; Li, C.; Mou, C.; Dong, Y.; Tu, Y. dbNSFP v4: A comprehensive database of transcript-specific functional predictions and annotations for human nonsynonymous and splice-site SNVs. Genome Med. 2020, 12, 103. [Google Scholar] [CrossRef] [PubMed]
- Liu, P.; Liu, D.; Yang, X.; Gao, J.; Chen, Y.; Xiao, X.; Liu, F.; Zou, J.; Wu, J.; Ma, J.; et al. Characterization of human αβTCR repertoire and discovery of D-D fusion in TCRβ chains. Protein Cell 2014, 5, 603–615. [Google Scholar] [CrossRef]
- Robins, H.S.; Campregher, P.V.; Srivastava, S.K.; Wacher, A.; Turtle, C.J.; Kahsai, O.; Riddell, S.R.; Warren, E.H.; Carlson, C.S. Comprehensive assessment of T-cell receptor beta-chain diversity in alphabeta T cells. Blood 2009, 114, 4099–4107. [Google Scholar] [CrossRef] [PubMed]
- Fleischmann, R.; van der Heijde, D.; Koenig, A.S.; Pedersen, R.; Szumski, A.; Marshall, L.; Bananis, E. How much does Disease Activity Score in 28 joints ESR and CRP calculations underestimate disease activity compared with the Simplified Disease Activity Index? Ann. Rheum. Dis. 2015, 74, 1132–1137. [Google Scholar] [CrossRef] [PubMed]
- Jiang, X.; Wang, S.; Zhou, C.; Wu, J.; Jiao, Y.; Lin, L.; Lu, X.; Yang, B.; Zhang, W.; Xiao, X.; et al. Comprehensive TCR repertoire analysis of CD4(+) T-cell subsets in rheumatoid arthritis. J. Autoimmun. 2020, 109, 102432. [Google Scholar] [CrossRef] [PubMed]
- Ortiz-Burgos, S. Shannon-Weaver Diversity Index. In Encyclopedia of Estuaries; Kennish, M.J., Ed.; Springer: Dordrecht, The Netherlands, 2016; pp. 572–573. [Google Scholar] [CrossRef]
- Yang, P.; He, Y.; Qing, P.; Xu, W.; Xie, D.; Cazier, J.B.; Liu, X.; Varnai, C.; Zhou, Y.; Zhao, Y.; et al. Application of T-cell receptor repertoire as a novel monitor in dynamic tracking and assessment: A cohort-study based on RA patients. J. Cell Mol. Med. 2022, 26, 6042–6055. [Google Scholar] [CrossRef]
- Schumacher, R.F.; Mella, P.; Badolato, R.; Fiorini, M.; Savoldi, G.; Giliani, S.; Villa, A.; Candotti, F.; Tampalini, A.; O’Shea, J.J.; et al. Complete genomic organization of the human JAK3 gene and mutation analysis in severe combined immunodeficiency by single-strand conformation polymorphism. Hum. Genet. 2000, 106, 73–79. [Google Scholar] [CrossRef]
- Angelini, J.; Talotta, R.; Roncato, R.; Fornasier, G.; Barbiero, G.; Dal Cin, L.; Brancati, S.; Scaglione, F. JAK-Inhibitors for the Treatment of Rheumatoid Arthritis: A Focus on the Present and an Outlook on the Future. Biomolecules 2020, 10, 1002. [Google Scholar] [CrossRef]
- Tamiya, G.; Shinya, M.; Imanishi, T.; Ikuta, T.; Makino, S.; Okamoto, K.; Furugaki, K.; Matsumoto, T.; Mano, S.; Ando, S.; et al. Whole genome association study of rheumatoid arthritis using 27 039 microsatellites. Hum. Mol. Genet. 2005, 14, 2305–2321. [Google Scholar] [CrossRef]
- Croft, M.; Siegel, R.M. Beyond TNF: TNF superfamily cytokines as targets for the treatment of rheumatic diseases. Nat. Rev. Rheumatol. 2017, 13, 217–233. [Google Scholar] [CrossRef]
- Raychaudhuri, S.; Remmers, E.F.; Lee, A.T.; Hackett, R.; Guiducci, C.; Burtt, N.P.; Gianniny, L.; Korman, B.D.; Padyukov, L.; Kurreeman, F.A.; et al. Common variants at CD40 and other loci confer risk of rheumatoid arthritis. Nat. Genet. 2008, 40, 1216–1223. [Google Scholar] [CrossRef] [PubMed]
- Okada, Y.; Terao, C.; Ikari, K.; Kochi, Y.; Ohmura, K.; Suzuki, A.; Kawaguchi, T.; Stahl, E.A.; Kurreeman, F.A.; Nishida, N.; et al. Meta-analysis identifies nine new loci associated with rheumatoid arthritis in the Japanese population. Nat. Genet. 2012, 44, 511–516. [Google Scholar] [CrossRef] [PubMed]
- Plenge, R.M.; Scolnick, E.M.; Altshuler, D. Validating therapeutic targets through human genetics. Nat. Rev. Drug Discov. 2013, 12, 581–594. [Google Scholar] [CrossRef] [PubMed]
- Liu, X.; Zhang, W.; Zhao, M.; Fu, L.; Liu, L.; Wu, J.; Luo, S.; Wang, L.; Wang, Z.; Lin, L.; et al. T cell receptor β repertoires as novel diagnostic markers for systemic lupus erythematosus and rheumatoid arthritis. Ann. Rheum. Dis. 2019, 78, 1070–1078. [Google Scholar] [CrossRef] [PubMed]
- Ria, F.; Penitente, R.; De Santis, M.; Nicolò, C.; Di Sante, G.; Orsini, M.; Arzani, D.; Fattorossi, A.; Battaglia, A.; Ferraccioli, G.F. Collagen-specific T-cell repertoire in blood and synovial fluid varies with disease activity in early rheumatoid arthritis. Arthritis Res. Ther. 2008, 10, R135. [Google Scholar] [CrossRef]


| Baseline Variables | Unit | Feature | Patients with RA (n = 14) | HCs (n = 5) | p-Value |
|---|---|---|---|---|---|
| Age | Years | Median (IQR) | 57 (45–69) | 38 (31–48) | 0.034 * |
| Female sex | No. (%) | 12 (85.7) | 3 (60.0) | 0.046 * | |
| Medical history of | |||||
| Hypertension | No. (%) | 3 (21.4) | 1 (20.0) | 0.946 | |
| Diabetes mellitus | No. (%) | 3 (21.4) | 0 (0.0) | 0.259 | |
| Obesity (BMI > 25 kg/m2) | No. (%) | 4 (28.6) | 1 (20.0) | 0.709 | |
| Duration before the first visit | Months | Median (IQR) | 8 (3–12) | - | - |
| RA criteria fulfillment | |||||
| ACR 1987 | No. (%) | 10 (71.4) | - | - | |
| ACR/EULAR 2010 | No. (%) | 14 (100.0) | - | - | |
| Disease-related variants | No. (%) | 4 (28.6) | - | - | |
| Laboratory findings | |||||
| ANA-positive | No. (%) | 12 (85.7) | 0 (0.0) | <0.001 * | |
| RF-positive | No. (%) | 13 (92.9) | 0 (0.0) | <0.001 * | |
| ACCP-positive | No. (%) | 13 (92.9) | 0 (0.0) | <0.001 * | |
| ESR | mm/h | Median (IQR) | 29 (12–53) | 5 (2–8) | <0.001 * |
| CRP | mg/L | Median (IQR) | 3.7 (2.2–8.2) | 1.3 (0.3–2.8) | 0.019 * |
| Patient | Gene | DNA Change | AA Change | Zygosity | Class |
|---|---|---|---|---|---|
| 1 | JAK3 | 1333C>T | Arg445Ter | Hetero | PV |
| PADI4 | 1861G>C | Glu621Gln | Hetero | VUS | |
| TNFSF18 | 167T>C | Met56Th | Hetero | VUS | |
| TRAF1 | 385C>T | Arg129Trp | Hetero | VUS | |
| 2 | NFKB1 | 2708A>G | His903Arg | Hetero | VUS |
| 3 | TNFSF18 | 93G>A | Met31Ile | Hetero | VUS |
| 4 | TNFSF18 | 94C>T | Pro32Ser | Hetero | VUS |
| Variables | Unit | Feature | Baseline | Time after DMARD Treatment | p-Value | ||
|---|---|---|---|---|---|---|---|
| 6 Months | 12 Months | Baseline vs. 6 Months | Baseline vs. 12 Months | ||||
| Laboratory findings | |||||||
| ESR | mm/h | Median (IQR) | 29 (12–53) | 11 (3–22) | 10 (5–20) | 0.006 * | 0.005 * |
| CRP | mg/L | Median (IQR) | 3.7 (2.2–8.2) | 1.6 (0.7–7.0) | 0.9 (0.4–3.5) | 0.148 | 0.029 * |
| RF titer | IU/mL | Median (IQR) | 148.5 (55.7–239.8) | 42.0 (19.0–107.3) | 33.5 (22.8–99.1) | 0.051 | 0.033 * |
| ACCP titer | CU | Median (IQR) | 1266.2 (37.8–1970.2) | 947.8 (36.6–1831.8) | 801.4 (150.6–1905.1) | 0.963 | 0.748 |
| Joint counts | |||||||
| TJC44 | no. | Median (IQR) | 4 (3–9) | 1 (0–3) | 1 (0–2) | 0.003 * | <0.001 * |
| SJC44 | no. | Median (IQR) | 3 (2–5) | 0 (0–1) | 0 (0–1) | <0.001 * | <0.001 * |
| TJC28 | no. | Median (IQR) | 3 (2–5) | 0 (0–1) | 0 (0–1) | <0.001 * | <0.001 * |
| SJC28 | no. | Median (IQR) | 2 (1–3) | 0 (0–1) | 0 (0–1) | <0.001 * | <0.001 * |
| Disease measures | |||||||
| DAS28-ESR | Mean ± SD | 4.75 ± 1.26 | 2.52 ± 0.89 | 2.16 ± 1.21 | <0.001 * | <0.001 * | |
| DAS28-CRP | Mean ± SD | 3.68 ± 0.89 | 2.03 ± 0.90 | 1.98 ± 0.85 | <0.001 * | <0.001 * | |
| HAQ score | Mean ± SD | 1.18 ± 0.65 | 0.64 ± 0.32 | 0.53 ± 0.35 | 0.013 * | 0.008 * | |
| Pain VAS score | Mean ± SD | 6.71 ± 1.98 | 2.14 ± 1.17 | 1.89 ± 1.18 | <0.001 * | <0.001 * | |
| SDAI | Mean ± SD | 16.54 ± 8.22 | 5.43 ± 3.62 | 3.68 ± 2.46 | <0.001 * | <0.001 * | |
| CDAI | Mean ± SD | 16.43 ± 8.20 | 5.23 ± 3.47 | 4.76 ± 4.25 | <0.001 * | <0.001 * | |
| TRB | TRG | |||
|---|---|---|---|---|
| Spearman’s r (95% CI) | p-Value | Spearman’s r (95% CI) | p-Value | |
| Laboratory findings | ||||
| ESR | −0.435 (−0.689 to −0.084) | 0.015 * | −0.378 (−0.652 to −0.017) | 0.036 * |
| CRP | −0.163 (−0.489 to 0.213) | 0.380 | −0.063 (−0.417 to 0.308) | 0.737 |
| RF titer | −0.267 (−0.575 to 0.107) | 0.146 | −0.277 (−0.583 to 0.096) | 0.131 |
| ACCP titer | 0.076 (−0.488 to 0.226) | 0.684 | −0.019 (−0.380 to 0.347) | 0.919 |
| Disease measures | ||||
| DAS28-ESR | −0.580 (−0.780 to −0.274) | <0.001 * | −0.575 (−0.777 to −0.268) | <0.001 * |
| DAS28-CRP | −0.389 (−0.660 to −0.029) | 0.031 * | −0.358 (−0.638 to −0.007) | 0.048 * |
| HAQ score | −0.382 (−0.655 to −0.020) | 0.034 * | −0.337 (−0.624 to 0.031) | 0.064 |
| Pain VAS score | −0.498 (−0.729 to −0.163) | 0.004 * | −0.481 (−0.719 to −0.143) | 0.006 * |
| SDAI | −0.552 (−0.763 to −0.236) | 0.001 * | −0.576 (−0.777 to −0.268) | <0.001 * |
| CDAI | −0.561 (−0.768 to −0.248) | 0.001 * | −0.587 (−0.784 to −0.284) | <0.001 * |
| Slope | (95% CI) | Intercept | (95% CI) | ||
|---|---|---|---|---|---|
| TRB | Laboratory findings | ||||
| ESR (mm/h) | −14.89 | (−25.71 to −4.08) | 147.79 | (53.54 to 242.00) | |
| CRP (mg/L) | −2.52 | (−7.04 to 2.01) | 26.20 | (−13.22 to 65.62) | |
| RF (IU/mL) | −78.84 | (−156.60 to −1.04) | 793.42 | (115.55 to 1471.28) | |
| ACCP (CU) | −41.09 | (−756.07 to 673.89) | 1368.08 | (−4861.37 to 7597.43) | |
| Disease measures | |||||
| DAS28-ESR | −1.57 | (−2.59 to −0.55) | 16.78 | (7.89 to 25.66) | |
| DAS28-CRP | −0.81 | (−1.62 to 0.01) | 9.58 | (2.50 to 16.66) | |
| HAQ score | −0.64 | (−1.14 to −0.13) | 6.39 | (1.99 to 10.80) | |
| Pain VAS score | −1.99 | (−3.84 to −0.16) | 20.99 | (4.99 to 36.99) | |
| SDAI | −6.42 | (−11.85 to −0.98) | 64.68 | (17.54 to 111.93) | |
| CDAI | −6.40 | (−11.81 to −0.99) | 64.42 | (17.39 to 111.45) | |
| TRG | Laboratory findings | ||||
| ESR (mm/h) | −16.06 | (−27.64 to −4.48) | 148.62 | (54.42 to 242.82) | |
| CRP (mg/L) | −1.62 | (−6.52 to 3.29) | 17.43 | (−22.50 to 57.35) | |
| RF (IU/mL) | −94.32 | (−176.45 to −12.20) | 873.51 | (205.61 to 1541.40) | |
| ACCP (CU) | −2.10 | (−768.76 to 764.55) | 1027.77 | (−5207.48 to 7263.02) | |
| Disease measures | |||||
| DAS28-ESR | −1.60 | (−2.74 to −0.46) | 16.07 | (6.84 to 25.30) | |
| DAS28-CRP | −0.75 | (−1.66 to 0.15) | 8.67 | (1.34 to 16.00) | |
| HAQ score | −0.68 | (−1.23 to −0.12) | 0.64 | (1.85 to 10.85) | |
| Pain VAS score | −2.12 | (−4.14 to −0.10) | 20.79 | (4.45 to 37.14) | |
| SDAI | −6.15 | (−12.22 to −0.08) | 58.68 | (9.55 to 107.81) | |
| CDAI | −6.15 | (−12.19 to −0.11) | 58.54 | (9.65 to 107.43) | |
Disclaimer/Publisher’s Note: The statements, opinions and data contained in all publications are solely those of the individual author(s) and contributor(s) and not of MDPI and/or the editor(s). MDPI and/or the editor(s) disclaim responsibility for any injury to people or property resulting from any ideas, methods, instructions or products referred to in the content. |
© 2024 by the authors. Licensee MDPI, Basel, Switzerland. This article is an open access article distributed under the terms and conditions of the Creative Commons Attribution (CC BY) license (https://creativecommons.org/licenses/by/4.0/).
Share and Cite
Cho, J.; Kim, J.; Song, J.S.; Uh, Y.; Lee, J.-H.; Lee, H.S. Whole-Exome Sequencing and Analysis of the T Cell Receptor β and γ Repertoires in Rheumatoid Arthritis. Diagnostics 2024, 14, 529. https://doi.org/10.3390/diagnostics14050529
Cho J, Kim J, Song JS, Uh Y, Lee J-H, Lee HS. Whole-Exome Sequencing and Analysis of the T Cell Receptor β and γ Repertoires in Rheumatoid Arthritis. Diagnostics. 2024; 14(5):529. https://doi.org/10.3390/diagnostics14050529
Chicago/Turabian StyleCho, Jooyoung, Juwon Kim, Ju Sun Song, Young Uh, Jong-Han Lee, and Hyang Sun Lee. 2024. "Whole-Exome Sequencing and Analysis of the T Cell Receptor β and γ Repertoires in Rheumatoid Arthritis" Diagnostics 14, no. 5: 529. https://doi.org/10.3390/diagnostics14050529
APA StyleCho, J., Kim, J., Song, J. S., Uh, Y., Lee, J.-H., & Lee, H. S. (2024). Whole-Exome Sequencing and Analysis of the T Cell Receptor β and γ Repertoires in Rheumatoid Arthritis. Diagnostics, 14(5), 529. https://doi.org/10.3390/diagnostics14050529

