Salivary Brain-Derived Neurotrophic Factor and Cortisol Associated with Psychological Alterations in University Students
Abstract
1. Introduction
2. Material and Methods
2.1. Study Design and Population
2.2. Alcohol Consumption
2.3. Self-Perceived Stress
2.4. Quality of Sleep
2.4.1. Athens Insomnia Scale
2.4.2. Pittsburgh Scale
2.5. Depressive and Anxiety Symptoms
2.6. Measurement of BDNF and Cortisol
2.7. Statistical Analysis
3. Results
3.1. Sociodemographic Characteristics of the Study Sample
3.2. Alcohol and Tobacco Use
3.3. Sleep Quality
3.4. Self-Perceived Stress
3.5. Anxiety and Depressive Symptoms
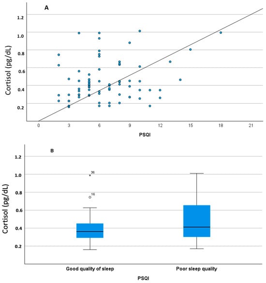
3.6. Salivary BDNF and Cortisol Concentration
3.7. Relationships between BDNF and Cortisol Concentration in Saliva with Psychological Alterations
3.8. Multivariate Logistic Regression Models
3.8.1. Explanatory Model of Depressive Symptoms
3.8.2. Explanatory Model of Insomnia Symptoms
4. Discussion
5. Conclusions
Author Contributions
Funding
Institutional Review Board Statement
Informed Consent Statement
Data Availability Statement
Conflicts of Interest
References
- Hernández-Torrano, D.; Ibrayeva, L.; Sparks, J.; Lim, N.; Clementi, A.; Almukhambetova, A.; Nurtayev, Y.; Muratkyzy, A. Mental Health and Well-Being of University Students: A Bibliometric Mapping of the Literature. Front. Psychol. 2020, 11, 1226. [Google Scholar] [CrossRef]
- Müller, C.; El-Ansari, K.; El Ansari, W. Cross-Sectional Analysis of Mental Health among University Students: Do Sex and Academic Level Matter? Int. J. Environ. Res. Public Health 2022, 19, 12670. [Google Scholar] [CrossRef]
- Gogoi, M.; Webb, A.; Pareek, M.; Bayliss, C.D.; Gies, L. University Students’ Mental Health and Well-Being during the COVID-19 Pandemic: Findings from the UniCoVac Qualitative Study. Int. J. Environ. Res. Public Health 2022, 19, 9322. [Google Scholar] [CrossRef]
- Alzahrani, A.M.; Hakami, A.; AlHadi, A.; Batais, M.A.; Alrasheed, A.A.; Almigbal, T.H. The interplay between mindfulness, depression, stress and academic performance in medical students: A Saudi perspective. PLoS ONE 2020, 15, e0231088-99. [Google Scholar] [CrossRef]
- Galvão, A.C.M.; Almeida, R.N.; de Sousa, G.M., Jr.; Leocadio-Miguel, M.A.; Palhano-Fontes, F.; de Araujo, D.B.; Lobão-Soares, B.; Maia-de-Oliveira, J.P.; Nunes, E.A.; Hallak, J.E.C.; et al. Potential biomarkers of major depression diagnosis and chronicity. PLoS ONE 2021, 16, e0257251-68. [Google Scholar] [CrossRef]
- Shamsuddin, K.; Fadzil, F.; Ismail, W.S.; Shah, S.A.; Omar, K.; Muhammad, N.A.; Jaffar, A.; Ismail, A.; Mahadevan, R. Correlates of depression, anxiety and stress among Malaysian university students. Asian J. Psychiatry 2013, 6, 318–323. [Google Scholar] [CrossRef]
- Wong, J.G.; Cheung, E.P.; Chan, K.K.; Ma, K.K.; Tang, S.W. Web-based survey of depression, anxiety and stress in first-year tertiary education students in Hong Kong. Aust. N. Z. J. Psychiatry 2006, 40, 777–782. [Google Scholar] [CrossRef]
- Bahhawi, T.A.; Albasheer, O.B.; Makeen, A.M.; Arishi, A.M.; Hakami, O.M.; Maashi, S.M.; Al-Khairat, H.K.; Alganmy, O.M.; Sahal, Y.A.; Sharif, A.A.; et al. Depression, anxiety, and stress and their association with khat use: A cross-sectional study among Jazan University students, Saudi Arabia. Neuropsychiatr. Dis. Treat. 2018, 17, 2755–2761. [Google Scholar] [CrossRef] [PubMed]
- Sandal, R.K.; Goel, N.K.; Sharma, M.K.; Bakshi, R.K.; Singh, N.; Kumar, D. Prevalence of Depression, Anxiety and Stress among school going adolescent in Chandigarh. J. Fam. Med. Prim. Care 2017, 6, 405–410. [Google Scholar] [CrossRef]
- Reneses, B.; Garrido, S.; Navalón, A.; Martín, O.; Ramos, I.; Fuentes, M.; Moreno, J.; López-Ibor, J.J. Psychiatric morbidity and predisposing factors in a primary care population in Madrid. Int. J. Soc. Psychiatry 2015, 61, 275–286. [Google Scholar] [CrossRef] [PubMed]
- Ramón-Arbués, E.; Gea-Caballero, V.; Granada-López, J.M.; Juárez-Vela, R.; Pellicer-García, B.; Antón-Solanas, I. The Prevalence of Depression, Anxiety and Stress and Their Associated Factors in College Students. Int. J. Environ. Res. Public Health 2020, 17, 7001. [Google Scholar] [CrossRef]
- García-Fernández, L.; Romero-Ferreiro, V.; Izquierdo-Izquierdo, M.; Rodríguez, V.; Alvarez-Mon, M.A.; Lahera, G.; Santos, J.L.; Rodriguez-Jimenez, R. Dramatic increase of suicidality in children and adolescents after COVID-19 pandemic start: A two-year longitudinal study. J. Psychiatr. Res. 2023, 163, 63–67. [Google Scholar] [CrossRef]
- Gruber, J.; Hinshaw, S.P.; Clark, L.A.; Rottenberg, J.; Prinstein, M.J. Young Adult Mental Health Beyond the COVID-19 Era: Can Enlightened Policy Promote Long-Term Change? Policy Insights Behav. Brain Sci. 2023, 10, 75–82. [Google Scholar] [CrossRef]
- Hawes, M.T.; Szenczy, A.K.; Klein, D.N.; Hajcak, G.; Nelson, B.D. Increases in depression and anxiety symptoms in adolescents and young adults during the COVID-19 pandemic. Psychol. Med. 2022, 52, 3222–3230. [Google Scholar] [CrossRef]
- Mulyadi, M.; Tonapa, S.I.; Luneto, S.; Lin, W.T.; Lee, B.O. Prevalence of mental health problems and sleep disturbances in nursing students during the COVID-19 pandemic: A systematic review and meta-analysis. Nurse Educ. Pract. 2021, 57, 103228. [Google Scholar] [CrossRef]
- Ibáñez-Del Valle, V.; Navarro-Martínez, R.; Cauli, O. Association between Depressive Symptoms and Adherence to the Mediterranean Diet in Nursing Students. Nutrients 2023, 15, 3158. [Google Scholar] [CrossRef]
- Banasr, M.; Dwyer, J.M.; Duman, R.S. Cell atrophy and loss in depression: Reversal by antidepressant treatment. Curr. Opin. Cell Biol. 2011, 23, 730–737. [Google Scholar] [CrossRef]
- Sapolsky, R.M. Depression, antidepressants, and the shrinking hippocampus. Proc. Natl. Acad. Sci. USA 2001, 98, 12320–12322. [Google Scholar] [CrossRef] [PubMed]
- Sheline, Y.I.; Gado, M.H.; Kraemer, H.C. Untreated depression and hippocampal volume loss. Am. J. Psychiatry 2003, 160, 1516–1518. [Google Scholar] [CrossRef] [PubMed]
- Karatsoreos, I.N.; McEwen, B.S. Annual Research Review: The neurobiology and physiology of resilience and adaptation across the life course. J. Child Psychol. Psychiatry 2013, 54, 337–347. [Google Scholar] [CrossRef] [PubMed]
- Dell’Osso, L.; Carmassi, C.; Del Debbio, A.; Catena Dell’Osso, M.; Bianchi, C.; da Pozzo, E.; Origlia, N.; Domenici, L.; Massimetti, G.; Marazziti, D.; et al. Brain-derived neurotrophic factor plasma levels in patients suffering from post-traumatic stress disorder. Prog. Neuropsychopharmacol. Biol. Psychiatry 2009, 33, 899–902. [Google Scholar] [CrossRef]
- Fernandes, B.S.; Molendijk, M.L.; Köhler, C.A.; Soares, J.C.; Leite, C.M.; Machado-Vieira, R.; Ribeiro, T.L.; Silva, J.C.; Sales, P.M.; Quevedo, J.; et al. Peripheral brain-derived neurotrophic factor (BDNF) as a biomarker in bipolar disorder: A meta-analysis of 52 studies. BMC Med. 2015, 30, 289. [Google Scholar] [CrossRef]
- Lin, P.Y. State-dependent decrease in levels of brain-derived neurotrophic factor in bipolar disorder: A meta-analytic study. Neurosci. Lett. 2009, 466, 139–143. [Google Scholar] [CrossRef]
- Piccinni, A.; Marazziti, D.; Catena, M.; Domenici, L.; Del Debbio, A.; Bianchi, C.; Mannari, C.; Martini, C.; Da Pozzo, E.; Schiavi, E.; et al. Plasma and serum brain-derived neurotrophic factor (BDNF) in depressed patients during 1 year of antidepressant treatments. J. Affect. Disord. 2008, 105, 279–283. [Google Scholar] [CrossRef]
- Piccinni, A.; Del Debbio, A.; Medda, P.; Bianchi, C.; Roncaglia, I.; Veltri, A.; Zanello, S.; Massimetti, E.; Origlia, N.; Domenici, L.; et al. Plasma Brain-Derived Neurotrophic Factor in treatment-resistant depressed patients receiving electroconvulsive therapy. Eur. Neuropsychopharmacol. 2009, 19, 349–355. [Google Scholar] [CrossRef] [PubMed]
- Piccinni, A.; Veltri, A.; Costanzo, D.; Vanelli, F.; Franceschini, C.; Moroni, I.; Domenici, L.; Origlia, N.; Marazziti, D.; Akiskal, H.S.; et al. Decreased plasma levels of brain-derived neurotrophic factor (BDNF) during mixed episodes of bipolar disorder. J. Affect. Disord. 2015, 171, 167–170. [Google Scholar] [CrossRef] [PubMed]
- Polyakova, M.; Stuke, K.; Schuemberg, K.; Mueller, K.; Schoenknecht, P.; Schroeter, M.L. BDNF as a biomarker for successful treatment of mood disorders: A systematic & quantitative meta-analysis. J. Affect. Disord. 2015, 15, 432–440. [Google Scholar] [CrossRef]
- Sen, S.; Duman, R.; Sanacora, G. Serum brain-derived neurotrophic factor, depression, and antidepressant medications: Meta-analyses and implications. Biol. Psychiatry 2008, 64, 527–532. [Google Scholar] [CrossRef]
- Ikenouchi, A.; Okamoto, N.; Hamada, S.; Chibaatar, E.; Fujii, R.; Konishi, Y.; Igata, R.; Tesen, H.; Yoshimura, R. Association between salivary mature brain-derived neurotrophic factor and psychological distress in healthcare workers. Brain Behav. 2023, 11, e3278. [Google Scholar] [CrossRef] [PubMed]
- McEwen, B.S. Protective and damaging effects of stress mediators. N. Engl. J. Med. 1998, 338, 171–179. [Google Scholar] [CrossRef] [PubMed]
- Chida, Y.; Steptoe, A. Cortisol awakening response and psychosocial factors: A systematic review and meta-analysis. Biol. Psychol. 2009, 80, 265–278. [Google Scholar] [CrossRef] [PubMed]
- Burton, R.F.; Hinton, J.W.; Neilson, E.; Beastall, G. Concentrations of sodium, potassium and cortisol in saliva, and self-reported chronic work stress factors. Biol. Psychol. 1996, 42, 425–438. [Google Scholar] [CrossRef]
- Steptoe, A.; Wardle, J.; Lipsey, Z.; Mills, R.; Oliver, G.; Jarvis, M.; Kirschbaum, C. A longitudinal study of work load and variations in psychological well-being, cortisol, smoking, and alcohol consumption. Ann. Behav. Med. 1998, 20, 84–91. [Google Scholar] [CrossRef]
- Begliuomini, S.; Lenzi, E.; Ninni, F.; Casarosa, E.; Merlini, S.; Pluchino, N.; Valentino, V.; Luisi, S.; Luisi, M.; Genazzani, A.R. Plasma brain-derived neurotrophic factor daily variations in men: Correlation with cortisol circadian rhythm. J. Endocrinol. 2008, 197, 429–435. [Google Scholar] [CrossRef]
- Brunoni, A.R.; Lopes, M.; Fregni, F. A systematic review and meta-analysis of clinical studies on major depression and BDNF levels: Implications for the role of neuroplasticity in depression. Int. J. Neuropsychopharmacol. 2008, 11, 1169–1180. [Google Scholar] [CrossRef] [PubMed]
- Molendijk, M.; Spinhoven, P.; Polak, M. Serum BDNF concentrations as peripheral manifestations of depression: Evidence from a systematic review and meta-analyses on 179 associations (N = 9484). Mol. Psychiatry 2014, 19, 791–800. [Google Scholar] [CrossRef]
- Terracciano, A.; Lobina, M.; Piras, M.G.; Mulas, A.; Cannas, A.; Meirelles, O.; Sutin, A.R.; Zonderman, A.B.; Uda, M.; Crisponi, L.; et al. Neuroticism, depressive symptoms, and serum BDNF. Psychosom. Med. 2011, 73, 638–642. [Google Scholar] [CrossRef]
- Frank, D.; DeBenedetti, A.F.; Volk, R.J.; Williams, E.C.; Kivlahan, D.R.; Bradley, K.A. Effectiveness of the AUDIT-C as a screening test for alcohol misuse in three race/ethnic groups. J. Gen. Intern. Med. 2008, 23, 781–787. [Google Scholar] [CrossRef]
- Soldatos, C.R.; Dikeos, D.G.; Paparrigopoulos, T.J. Athens Insomnia Scale: Validation of an instrument based on ICD-10 criteria. J. Psychosom. Res. 2000, 48, 555–560. [Google Scholar] [CrossRef]
- Nenclares, P.A.; Jiménez-Genchi, A. Estudio de validación de la traducción al español de la Escala Atenas de Insomnio. Salud Ment. 2005, 28, 34–39. [Google Scholar]
- Gómez-Benito, J.; Ruiz, C.; Guilera, G. A Spanish version of the Athens insomnia scale. Qual. Life Res. 2011, 20, 931–937. [Google Scholar] [CrossRef]
- Amezcua-Prieto, C.; Naveiro-Fuentes, M.; Arco-Jiménez, N.; Olmedo-Requena, R.; Barrios-Rodríguez, R.; Vico-Zúñiga, I.; Manzanares Galán, S.; Mozas-Moreno, J.; Jiménez-Moleón, J.J.; Gallo-Vallejo, J.L. Walking in pregnancy and prevention of insomnia in third trimester using pedometers: Study protocol of Walking_Preg project (WPP). A randomized controlled trial. BMC Pregnancy Childbirth 2020, 20, 521. [Google Scholar] [CrossRef] [PubMed]
- Colomer-Pérez, N.; Chover-Sierra, E.; Navarro-Martínez, R.; Andriusevičienė, V.; Vlachou, E.; Cauli, O. Alcohol and Drug Use in European University Health Science Students: Relationship with Self-Care Ability. Int. J. Environ. Res. Public Health 2019, 16, 5042. [Google Scholar] [CrossRef]
- Navarro-Martínez, R.; Chover-Sierra, E.; Colomer-Pérez, N.; Vlachou, E.; Andriuseviciene, V.; Cauli, O. Sleep quality and its association with substance abuse among university students. Clin. Neurol. Neurosurg. 2020, 188, 105591. [Google Scholar] [CrossRef]
- World Health Organization (WHO). The ICD-10 Classification of Mental and Behavioural Disorders; WHO: Geneve, Switzerland, 1993. [Google Scholar]
- Royuela, A.; Fernández, J. Propiedades clinimetricas de la versión castellana del cuestionario de Pittsburgh. Vigilia-Sueño 1997, 9, 81–94. [Google Scholar]
- Carrión-Pantoja, S.; Prados, G.; Chouchou, F.; Holguín, M.; Mendoza-Vinces, Á.; Expósito-Ruiz, M.; Fernández-Puerta, L. Insomnia Symptoms, Sleep Hygiene, Mental Health, and Academic Performance in Spanish University Students: A Cross-Sectional Study. J. Clin. Med. 2022, 11, 1989. [Google Scholar] [CrossRef]
- Goldberg, D.; Bridges, K.; Duncan-Jones, P.; Grayson, D. Detecting anxiety and depression in general medical settings. BMJ 1988, 297, 897–899. [Google Scholar] [CrossRef]
- Reivan-Ortiz, G.; Pineda-Garcia, G.; León-Parias, B.D. Psychometric Properties of The Goldberg Anxiety and Depression Scale (GADS) In Ecuadorian Population. Int. J. Psychol. Res. 2019, 12, 41–48. [Google Scholar] [CrossRef] [PubMed]
- Montón, C.; Pérez Echeverría, M.J.; Campos, R.; García Campayo, J.; Lobo, A. Escalas de ansiedad y depresión de Goldberg: Una guía de entrevista eficaz para la detección del malestar psíquico [Anxiety scales and Goldberg’s depression: An efficient interview guide for the detection of psychologic distress]. Aten. Primaria 1993, 12, 345–349. [Google Scholar] [PubMed]
- Ballestar-Tarín, M.L.; Ibáñez-Del Valle, V.; Mafla-España, M.A.; Cauli, O.; Navarro-Martínez, R. Increased Salivary IL-1 Beta Level Is Associated with Poor Sleep Quality in University Students. Diseases 2023, 11, 136. [Google Scholar] [CrossRef]
- Subiron-Valera, A.B.; Rodriguez-Roca, B.; Calatayud, E.; Gomez-Soria, I.; Andrade-Gómez, E.; Marcen-Roman, Y. Linking sedentary behavior and mental distress in higher education: A cross-sectional study. Front. Psychol. 2023, 14, 1205837. [Google Scholar] [CrossRef]
- Rodríguez-Roca, B.; Subirón-Valera, A.B.; Gasch-Gallén, Á.; Calatayud, E.; Gómez-Soria, I.; Marcén-Román, Y. Gender Self-Perception and Psychological Distress in Healthcare Students during the COVID-19 Pandemic. Int. J. Environ. Res. Public Health 2021, 18, 10918. [Google Scholar] [CrossRef]
- Pérez-Aranda, A.; García-Campayo, J.; Gude, F. Impact of mindfulness and self-compassion on anxiety and depression: The mediating role of resilience. Int. J. Clin. Health Psychol. 2021, 21, 100229. [Google Scholar] [CrossRef] [PubMed]
- Avila-Carrasco, L.; Díaz-Avila, D.L.; Reyes-López, A.; Monarrez-Espino, J.; Garza-Veloz, I.; Velasco-Elizondo, P.; Vázquez-Reyes, S.; Mauricio-González, A.; Solís-Galván, J.A.; Martinez-Fierro, M.L. Anxiety, depression, and academic stress among medical students during the COVID-19 pandemic. Front. Psychol. 2023, 13, 1066673–1066684. [Google Scholar] [CrossRef]
- Hashimoto, K.; Shimizu, E.; Iyo, M. Critical role of brain-derived neurotrophic factor in mood disorders. Brain Res. Rev. 2004, 45, 104–114. [Google Scholar] [CrossRef] [PubMed]
- Chow, K.M.; Tang, W.K.F.; Chan, W.H.C.; Sit, W.H.J.; Choi, K.C.; Chan, S. Resilience and well-being of university nursing students in Hong Kong: A cross-sectional study. BMC Med. Educ. 2018, 18, 13. [Google Scholar] [CrossRef]
- Onen Sertoz, O.; Tolga Binbay, I.; Koylu, E.; Noyan, A.; Yildirim, E.; Elbi Mete, H. The role of BDNF and HPA axis in the neurobiology of burnout syndrome. Prog. Neuropsychopharmacol. Biol. Psychiatry 2008, 32, 1459–1465. [Google Scholar] [CrossRef]
- Haas, L.; Portela, L.V.; Böhmer, A.E.; Oses, J.P.; Lara, D.R. Increased plasma levels of brain derived neurotrophic factor (BDNF) in patients with fibromyalgia. Neurochem. Res. 2010, 35, 830–834. [Google Scholar] [CrossRef]
- Laske, C.; Stransky, E.; Leyhe, T.; Eschweiler, G.W.; Maetzler, W.; Wittorf, A.; Soekadar, S.; Richartz, E.; Koehler, N.; Bartels, M.; et al. BDNF serum and CSF concentrations in Alzheimer’s disease, normal pressure hydrocephalus and healthy controls. J. Psychiatr. Res. 2007, 41, 387–394. [Google Scholar] [CrossRef]
- Buselli, R.; Veltri, A.; Baldanzi, S.; Marino, R.; Bonotti, A.; Chiumiento, M.; Girardi, M.; Pellegrini, L.; Guglielmi, G.; Dell’Osso, L.; et al. Plasma Brain-Derived Neurotrophic Factor (BDNF) and serum cortisol levels in a sample of workers exposed to occupational stress and suffering from Adjustment Disorders. Brain Behav. 2019, 9, e01298-1307. [Google Scholar] [CrossRef]
- Pittenger, C.; Duman, R.S. Stress, depression, and neuroplasticity: A convergence of mechanisms. Neuropsychopharmacology 2008, 33, 88–109. [Google Scholar] [CrossRef]
- Bath, K.G.; Schilit, A.; Lee, F.S. Stress effects on BDNF expression: Effects of age, sex, and form of stress. Neuroscience 2013, 239, 149–156. [Google Scholar] [CrossRef]
- Saruta, J.; Lee, T.; Shirasu, M.; Takahashi, T.; Sato, C.; Sato, S.; Tsukinoki, K. Chronic stress affects the expression of brain-derived neurotrophic factor in rat salivary glands. Stress 2010, 13, 53–60. [Google Scholar] [CrossRef]
- Tsukinoki, K.; Saruta, J.; Sasaguri, K.; Miyoshi, Y.; Jinbu, Y.; Kusama, M.; Sato, S.; Watanabe, Y. Immobilization stress induces BDNF in rat submandibular glands. J. Dent. Res. 2006, 85, 844–848. [Google Scholar] [CrossRef]
- McMillan, P.J.; Wilkinson, C.W.; Greenup, L.; Raskind, M.A.; Peskind, E.R.; Leverenz, J.B. Chronic cortisol exposure promotes the development of a GABAergic phenotype in the primate hippocampus. J. Neurochem. 2004, 91, 843–851. [Google Scholar] [CrossRef] [PubMed]
- Arbinaga, F.; Joaquin-Mingorance, M.; Fernández-Cuenca, S. Expression of anger in university students according to perceived quality of sleep. Sleep Sci. 2019, 12, 28–34. [Google Scholar] [CrossRef] [PubMed]
- Grimaldi-Puyana, M.; Fernández-Batanero, J.M.; Fennell, C.; Sañudo, B. Associations of Objectively-Assessed Smartphone Use with Physical Activity, Sedentary Behavior, Mood, and Sleep Quality in Young Adults: A Cross-Sectional Study. Int. J. Environ. Res. Public Health 2020, 17, 3499. [Google Scholar] [CrossRef]
- Toscano-Hermoso, M.D.; Arbinaga, F.; Fernández-Ozcorta, E.J.; Gómez-Salgado, J.; Ruiz-Frutos, C. Influence of Sleeping Patterns in Health and Academic Performance Among University Students. Int. J. Environ. Res. Public Health 2020, 16, 2760. [Google Scholar] [CrossRef]
- Romero-Blanco, C.; Rodríguez-Almagro, J.; Onieva-Zafra, M.D.; Parra-Fernández, M.L.; Prado-Laguna, M.D.C.; Hernández-Martínez, A. Sleep Pattern Changes in Nursing Students during the COVID-19 Lockdown. Int. J. Environ. Res. Public Health 2020, 17, 5222. [Google Scholar] [CrossRef] [PubMed]
- Suh, M. Salivary Cortisol Profile Under Different Stressful Situations in Female College Students: Moderating Role of Anxiety and Sleep. J. Neurosci. Nurs. 2018, 50, 279–285. [Google Scholar] [CrossRef]
- David, M.C.M.M.; Vieira, G.R.; Leôncio, L.M.L.; Neves, L.D.S.; Bezerra, C.G.; Mattos, M.S.B.; Santos, N.F.D.; Santana, F.H.; Antunes, R.B.; Araújo, J.F.; et al. Predictors of stress in college students during the COVID-19 pandemic. J. Affect. Disord. Rep. 2022, 10, 100377. [Google Scholar] [CrossRef]
- Hirotsu, C.; Tufik, S.; Andersen, M.L. Interactions between sleep, stress, and metabolism: From physiological to pathological conditions. Sleep Sci. 2015, 8, 143–152. [Google Scholar] [CrossRef]
- Vargas, I.; Vgontzas, A.N.; Abelson, J.L.; Faghih, R.T.; Morales, K.H.; Perlis, M.L. Altered ultradian cortisol rhythmicity as a potential neurobiologic substrate for chronic insomnia. Sleep Med. Rev. 2018, 41, 234–243. [Google Scholar] [CrossRef] [PubMed]
- Buckley, T.M.; Schatzberg, A.F. On the interactions of the hypothalamic-pituitary-adrenal (HPA) axis and sleep: Normal HPA axis activity and circadian rhythm, exemplary sleep disorders. J. Clin. Endocrinol. Metab. 2005, 90, 3106–3114. [Google Scholar] [CrossRef]
- Pan, W.; Banks, W.A.; Fasold, M.B.; Bluth, J.; Kastin, A.J. Transport of brain-derived neurotrophic factor across the blood-brain barrier. Neuropharmacology 1998, 37, 1553–1561. [Google Scholar] [CrossRef]
- Karege, F.; Schwald, M.; Cisse, M. Postnatal developmental profile of brain-derived neurotrophic factor in rat brain and platelets. Neurosci. Lett. 2002, 328, 261–264. [Google Scholar] [CrossRef]
- Giannouli, V. Diurnal salivary cortisol levels and slopes in a community sample of healthy adults: Is current research conclusive? Psychoneuroendocrinology 2017, 81, 157. [Google Scholar] [CrossRef] [PubMed]
- Giannouli, V. Serum brain-derived neurotrophic factor and depressive symptoms in coronary heart disease patients: A word on methodology. Psychoneuroendocrinology 2017, 79, 175. [Google Scholar] [CrossRef] [PubMed]
- Lam, S.; Dickerson, S.S.; Zoccola, P.M.; Zaldivar, F. Emotion regulation and cortisol reactivity to a social-evaluative speech task. Psychoneuroendocrinology 2009, 34, 1355–1362. [Google Scholar] [CrossRef] [PubMed]
- Wirtz, P.H.; Elsenbruch, S.; Emini, L.; Rüdisüli, K.; Groessbauer, S.; Ehlert, U. Perfectionism and the cortisol response to psychosocial stress in men. Psychosom. Med. 2007, 69, 249–255. [Google Scholar] [CrossRef]
- Hayashi, M.; Mistunaga, F.; Ohira, K.; Shimizu, K. Changes in BDNF-immunoreactive structures in the hippocampal formation of the aged macaque monkey. Brain Res. 2001, 918, 191–196. [Google Scholar] [CrossRef] [PubMed]
- Yamada, K.; Nabeshima, T. Brain-derived neurotrophic factor/TrkB signaling in memory processes. J. Pharmacol. Sci. 2003, 91, 267–270. [Google Scholar] [CrossRef] [PubMed]



| Good or Fairly Good | Bad or Fairly Bad | |
|---|---|---|
| Subjective sleep quality | 70.8% | 29.2% |
| Sleep latency | 58.3% | 41.7% |
| Sleep duration | 63.0% | 36.1% |
| Habitual sleep efficiency | 83.3% | 16.7% |
| Sleep disturbances | 97.2% | 2.8% |
| Use of sleeping medication | 91.7% | 8.3% |
| Daytime dysfunction | 58.3% | 41.7% |
| BDNF—Mean (SD) | Cortisol—Mean (SD) | ||
|---|---|---|---|
| Gender | Male | 230.33 (SD = 85.21) | 0.31 (SD = 0.10) |
| Female | 254.27 (SD = 82.35) | 0.48 (SD = 0.05) * | |
| Age (correlation coefficient and p value) | r = 0.117 p = 0.326 | r = 0.239 p < 0.05 | |
| Chronic disease | No | 255.97 (SD = 83.90) | 0.445 (SD = 0.23) |
| Yes | 208.38 (SD = 71.20) * | 0.466 (SD = 0.24) | |
| Play sport on regular basis | No | 223.52 (SD = 76.87) | 0.52 (SD = 0.22) |
| Yes | 260.62 (SD = 83.68) * | 0.42 (SD = 0.22) * | |
| Smoking habit | No | 251.88 (SD = 84.13) | 0.44 (SD = 0.23) |
| Yes | 233.24 (SD = 81.85) | 0.55 (SD = 0.18) | |
| Risky alcohol intake | No | 240.50 (SD = 81.25) | 0.401 (SD = 0.22) |
| Yes | 255.93 (SD = 84.55) | 0.483 (SD = 0.22) | |
| BDNF | Cortisol | ||
|---|---|---|---|
| Athens scale | Normal sleep | 242.845 (SD = 82.700) | 0.420 (SD = 0.218) |
| Insomnia symptoms | 257.334 (SD = 83.812) | 0.483 (SD = 0.229) | |
| Pittsburg Sleep Quality Index (ICSP) | Good | 236.436 (SD = 80.669) | 0.393 (SD = 0.176) |
| Bad | 257.950 (SD = 84.232) | 0.485 (SD = 0.246) * | |
| Self-perceived stress | Normal | 252.009 (SD = 84.220) | 0.428 (SD = 0.197) |
| Symptoms of stress | 245.470 (SD = 82.349) | 0.475 (SD = 0.258) | |
| Anxiety symptoms | No | 240.199 (SD = 82.848) | 0.408 (SD = 0.201) |
| Yes | 256.154 (SD = 83.339) | 0.478 (SD = 0.237) | |
| Depressive symptoms | No | 232.340 (SD = 84.022) | 0.435 (SD = 0.224) |
| Yes | 270.466 (SD = 77.679) * | 0.463 (SD = 0.226) |
Disclaimer/Publisher’s Note: The statements, opinions and data contained in all publications are solely those of the individual author(s) and contributor(s) and not of MDPI and/or the editor(s). MDPI and/or the editor(s) disclaim responsibility for any injury to people or property resulting from any ideas, methods, instructions or products referred to in the content. |
© 2024 by the authors. Licensee MDPI, Basel, Switzerland. This article is an open access article distributed under the terms and conditions of the Creative Commons Attribution (CC BY) license (https://creativecommons.org/licenses/by/4.0/).
Share and Cite
Ballestar-Tarín, M.L.; Ibáñez-del Valle, V.; Mafla-España, M.A.; Navarro-Martínez, R.; Cauli, O. Salivary Brain-Derived Neurotrophic Factor and Cortisol Associated with Psychological Alterations in University Students. Diagnostics 2024, 14, 447. https://doi.org/10.3390/diagnostics14040447
Ballestar-Tarín ML, Ibáñez-del Valle V, Mafla-España MA, Navarro-Martínez R, Cauli O. Salivary Brain-Derived Neurotrophic Factor and Cortisol Associated with Psychological Alterations in University Students. Diagnostics. 2024; 14(4):447. https://doi.org/10.3390/diagnostics14040447
Chicago/Turabian StyleBallestar-Tarín, María Luisa, Vanessa Ibáñez-del Valle, Mayra Alejandra Mafla-España, Rut Navarro-Martínez, and Omar Cauli. 2024. "Salivary Brain-Derived Neurotrophic Factor and Cortisol Associated with Psychological Alterations in University Students" Diagnostics 14, no. 4: 447. https://doi.org/10.3390/diagnostics14040447
APA StyleBallestar-Tarín, M. L., Ibáñez-del Valle, V., Mafla-España, M. A., Navarro-Martínez, R., & Cauli, O. (2024). Salivary Brain-Derived Neurotrophic Factor and Cortisol Associated with Psychological Alterations in University Students. Diagnostics, 14(4), 447. https://doi.org/10.3390/diagnostics14040447

