Comprehensive and Accurate Molecular Profiling of Breast Cancer through mRNA Expression of ESR1, PGR, ERBB2, MKI67, and a Novel Proliferation Signature
Abstract
1. Introduction
2. Materials and Methods
2.1. Clinical Performance Evaluation
2.1.1. Specimen Collection
2.1.2. Pathological Evaluation
2.1.3. RNA Extraction
2.1.4. Gene Expression by RT-qPCR
2.1.5. Statistical Analysis
2.2. Analytical Precision and Reproducibility
2.2.1. Study Design
2.2.2. Samples
2.2.3. Gene Expression by RT-qPCR
2.2.4. Statistical Analysis
3. Results
3.1. Clinical Performance Evaluation
3.1.1. Patient Population
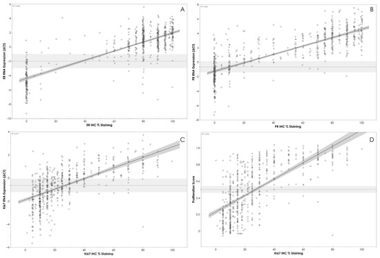
3.1.2. Agreement between APIS Breast Cancer Subtyping Kit and IHC
3.1.3. Subtype Calling Agreement
3.1.4. Agreement between CNB and Resected FFPE Specimens
3.2. Analytical Precision and Reproducibility
3.2.1. Analytical Precision
3.2.2. Inter-site Reproducibility
3.2.3. Binary Single Marker Agreement
4. Discussion
5. Conclusions
Supplementary Materials
Author Contributions
Funding
Institutional Review Board Statement
Informed Consent Statement
Data Availability Statement
Acknowledgments
Conflicts of Interest
References
- Perou, C.M.; Sorlie, T.; van de Rijn, M.; Jeffrey, S.S.; Rees, C.A.; Pollack, J.R.; Ross, D.T.; Johnsen, H.; Akslen, L.A.; Fluge, O.; et al. Molecular portraits. Nature 2000, 406, 747–752. [Google Scholar] [CrossRef] [PubMed]
- Bevers, T.B.; Helvie, M.; Bonaccio, E.; Calhoun, K.E.; Daly, M.B.; Farrar, W.B.; Garber, J.E.; Gray, R.; Greenberg, C.C.; Greenup, R.; et al. Breast Cancer Screening and Diagnosis, Version 3.2018, NCCN Clinical Practice Guidelines in Oncology. J. Natl. Compr. Cancer Netw. 2018, 16, 1362–1389. [Google Scholar] [CrossRef] [PubMed]
- Curigliano, G.; Burstein, H.J.; Winer, E.P.; Gnant, M.; Dubsky, P.; Loibl, S.; Colleoni, M.; Regan, M.M.; Piccart-Gebhart, M.; Senn, H.-J.; et al. De-escalating and escalating treatments for early-stage breast cancer: The St. Gallen International Expert Consensus Conference on the Primary Therapy of Early Breast Cancer 2017. Ann. Oncol. Off. J. Eur. Soc. Med. Oncol. 2017, 28, 1700–1712. [Google Scholar] [CrossRef] [PubMed]
- Senkus, E.; Kyriakides, S.; Penault-Llorca, F.; Poortmans, P.; Thompson, A.; Zackrisson, S.; Cardoso, F. Primary breast cancer: ESMO Clinical Practice Guidelines for diagnosis, treatment and follow-up. Ann. Oncol. 2013, 24 (Suppl. S6), vi7–vi23. [Google Scholar] [CrossRef] [PubMed]
- Cardoso, F.; Kyriakides, S.; Ohno, S.; Penault-Llorca, F.; Poortmans, P.; Rubio, I.T.; Zackrisson, S.; Senkus, E. Early breast cancer: ESMO Clinical Practice Guidelines for diagnosis, treatment and follow-up. Ann. Oncol. 2019, 30, 1194–1220. [Google Scholar] [CrossRef] [PubMed]
- Van Bockstal, M.; Floris, G.; Galant, C.; Lambein, K.; Libbrecht, L. A plea for appraisal and appreciation of immunohistochemistry in the assessment of prognostic and predictive markers in invasive breast cancer. Breast 2018, 37, 52–55. [Google Scholar] [CrossRef] [PubMed]
- Hammond, M.E.H.; Hayes, D.F.; Dowsett, M.; Allred, D.C.; Hagerty, K.L.; Badve, S.; Fitzgibbons, P.L.; Francis, G.; Goldstein, N.S.; Hayes, M.; et al. American Society of Clinical Oncology/College of American Pathologists guideline recommendations for immunohistochemical testing of estrogen and progesterone receptors in breast cancer (unabridged version). Arch. Pathol. Lab. Med. 2010, 134, e48–e72. [Google Scholar] [CrossRef]
- Wolff, A.C.; Hicks, D.G.; Dowsett, M.; McShane, L.M.; Allison, K.H.; Allred, D.C.; Bartlett, J.M.; Bilous, M.; Hanna, W.; Jenkins, R.B.; et al. Recommendations for human epidermal growth factor receptor 2 testing in breast cancer: American Society of Clinical Oncology/College of American Pathologists clinical practice guideline update. Arch. Pathol. Lab. Med. 2014, 138, 241–256. [Google Scholar] [CrossRef]
- Focke, C.M.; Bürger, H.; van Diest, P.J.; Finsterbusch, K.; Gläser, D.; Korsching, E.; Decker, T.; Anders, M.; Bollmann, R.; Eiting, F.; et al. Interlaboratory variability of Ki67 staining in breast cancer. Eur. J. Cancer 2017, 84, 219–227. [Google Scholar] [CrossRef]
- Märkl, B.; Füzesi, L.; Huss, R.; Bauer, S.; Schaller, T. Number of pathologists in Germany: Comparison with European countries, USA, and Canada. Virchows Arch. 2021, 478, 335–341. [Google Scholar] [CrossRef]
- Remmele, W.; Stegner, H.E. Recommendation for uniform definition of an immunoreactive score (IRS) for immunohistochemical estrogen receptor detection (ER-ICA) in breast cancer tissue. Pathologe 1987, 8, 138–140. [Google Scholar] [PubMed]
- Goldhirsch, A.; Winer, E.P.; Coates, A.S.; Gelber, R.D.; Piccart-Gebhart, M.; Thürlimann, B.; Senn, H.-J. Personalizing the treatment of women with early breast cancer: Highlights of the St Gallen International Expert Consensus on the Primary Therapy of Early Breast Cancer 2013. Ann. Oncol. 2013, 24, 2206–2223. [Google Scholar] [CrossRef] [PubMed]
- Clinical and Laboratory Standards Institute (CLSI). Evaluation of Precision of Quantitative Measurement Procedures, Approved Guideline, 3rd ed.; CLSI Document EP05-A3; Clinical Laboratory Standards Institute: Berwyn, PA, USA, 2014; Volume 34, p. 13. [Google Scholar]
- Yoder, R.; Kimler, B.F.; Staley, J.M.; Schwensen, K.; Wang, Y.Y.; Finke, K.; O’dea, A.; Nye, L.; Elia, M.; Crane, G.; et al. Impact of low versus negative estrogen/progesterone receptor status on clinico-pathologic characteristics and survival outcomes in HER2-negative breast cancer. NPJ Breast Cancer 2022, 8, 80. [Google Scholar] [CrossRef]
- Caselli, E.; Pelliccia, C.; Teti, V.; Bellezza, G.; Mandarano, M.; Ferri, I.; Hartmann, K.; Laible, M.; Sahin, U.; Varga, Z.; et al. Looking for more reliable biomarkers in breast cancer: Comparison between routine methods and RT-qPCR. PLoS ONE 2021, 23, e0255580. [Google Scholar] [CrossRef] [PubMed]
- Nielsen, T.O.; Leung, S.C.Y.; Rimm, D.L.; Dodson, A.; Acs, B.; Badve, S.; Denkert, C.; Ellis, M.J.; Fineberg, S.; Flowers, M.; et al. Assessment of Ki67 in Breast Cancer: Updated Recommendations from the International Ki67 in Breast Cancer Working Group. JNCI J. Natl. Cancer Inst. 2020, 113, 808–819. [Google Scholar] [CrossRef] [PubMed]
- Dowsett, M.; Nielsen, T.O.; A’hern, R.; Bartlett, J.; Coombes, R.C.; Cuzick, J.; Ellis, M.; Henry, N.L.; Hugh, J.C.; Lively, T.; et al. Assessment of Ki67 in breast cancer: Recommendations from the International Ki67 in Breast Cancer Working group. JNCI J. Natl. Cancer Inst. 2011, 103, 1656–1664. [Google Scholar] [CrossRef] [PubMed]
- Harbeck, N.; Penault-Llorca, F.; Cortes, J.; Gnant, M.; Houssami, N.; Poortmans, P.; Ruddy, K.; Tsang, J.; Cardoso, F. Breast cancer. Nat. Rev. Dis. Prim. 2019, 23, 66. [Google Scholar] [CrossRef]
- Mosele, F.; Deluche, E.; Lusque, A.; Le Bescond, L.; Filleron, T.; Pradat, Y.; Ducoulombier, A.; Pistilli, B.; Bachelot, T.; Viret, F.; et al. Trastuzumab deruxtecan in metastatic breast cancer with variable HER2 expression: The phase 2 DAISY trial. Nat. Med. 2023, 29, 2110–2120. [Google Scholar] [CrossRef]
- Juríková, M.; Danihel, Ľ.; Polák, Š.; Varga, I. Ki67, PCNA, and MCM proteins: Markers of proliferation in the diagnosis of breast cancer. Acta Histochem. 2016, 118, 544–552. [Google Scholar] [CrossRef]
- Liu, F.; Wu, Y.; Mi, Y.; Gu, L.; Sang, M.; Geng, C. Identification of core genes and potential molecular mechanisms in breast cancer using bioinformatics analysis. Pathol.-Res. Pract. 2019, 215, 152436. [Google Scholar] [CrossRef]
- Li, T.-F.; Zeng, H.-J.; Shan, Z.; Ye, R.-Y.; Cheang, T.-Y.; Zhang, Y.-J.; Lu, S.-H.; Zhang, Q.; Shao, N.; Lin, Y. Overexpression of kinesin superfamily members as prognostic biomarkers of breast cancer. Cancer Cell Int. 2020, 20, 123. [Google Scholar] [CrossRef] [PubMed]
- Song, X.; Zhang, T.; Wang, X.; Liao, X.; Han, C.; Yang, C.; Su, K.; Cao, W.; Gong, Y.; Chen, Z.; et al. Distinct Diagnostic and Prognostic Values of Kinesin Family Member Genes Expression in Patients with Breast Cancer. J. Pharmacol. Exp. Ther. 2018, 24, 9442–9464. [Google Scholar] [CrossRef] [PubMed]
- Lu, Y.; Yang, G.; Xiao, Y.; Zhang, T.; Su, F.; Chang, R.; Ling, X.; Bai, Y. Upregulated cyclins may be novel genes for triple-negative breast cancer based on bioinformatic analysis. Breast Cancer 2020, 27, 903–911. [Google Scholar] [CrossRef] [PubMed]
- Harris, L.N.; Ismaila, N.; McShane, L.M.; Andre, F.; Collyar, D.E.; Gonzalez-Angulo, A.M.; Hammond, E.H.; Kuderer, N.M.; Liu, M.C.; Mennel, R.G.; et al. Use of Biomarkers to Guide Decisions on Adjuvant Systemic Therapy for Women with Early-Stage Invasive Breast Cancer: American Society of Clinical Oncology Clinical Practice Guideline. J. Clin. Oncol. 2016, 34, 1134–1150. [Google Scholar] [CrossRef]




| ESR1 | PGR | ERBB2 | MKI67/ Proliferation | Intrinsic Subtype |
|---|---|---|---|---|
| + | − | − | − | Luminal A-like |
| + | + | − | − | Luminal A-like |
| − | + | − | − | Luminal A-like |
| + | + | − | + | Luminal B-like (HER2 negative) |
| + | - | − | + | Luminal B-like (HER2 negative) |
| − | + | − | + | Luminal B-like (HER2 negative) |
| + | − | + | + | Luminal B-like (HER2 positive) |
| + | − | + | − | Luminal B-like (HER2 positive) |
| + | + | + | − | Luminal B-like (HER2 positive) |
| + | + | + | + | Luminal B-like (HER2 positive) |
| − | + | + | − | Luminal B-like (HER2 positive) |
| − | + | + | + | Luminal B-like (HER2 positive) |
| − | − | + | + | HER2 enriched (non-luminal) |
| − | − | + | − | HER2 enriched (non-luminal) |
| − | − | − | − | Triple Negative |
| − | − | − | + | Triple Negative |
| Collection | Cohort 1 | Cohort 2 | ||||
|---|---|---|---|---|---|---|
| N | % | N | % | |||
| Material type | p = 0.70 | |||||
| CNB | 236 | 62.4 | 256 | 100.0 | ||
| RES | 142 | 37.6 | 0 | 0.0 | ||
| Histological type | p = 0.72 | |||||
| Invasive ductal carcinoma | 298 | 78.8 | 203 | 79.3 | ||
| Invasive lobular carcinoma | 56 | 14.8 | 38 | 14.8 | ||
| Other | 24 | 6.3 | 15 | 5.9 | ||
| Histological Grade | p = 0.58 | |||||
| 1 | 77 | 20.4 | 51 | 19.9 | ||
| 2 | 220 | 58.2 | 145 | 56.6 | ||
| 3 | 65 | 17.2 | 55 | 21.5 | ||
| Unknown | 16 | 4.3 | 5 | 2.0 | ||
| ER Status | p = 0.70 | |||||
| Positive | 311 | 82.3 | 190 | 74.2 | ||
| Negative | 67 | 17.7 | 66 | 25.8 | ||
| PR Status | p = 0.60 | |||||
| Positive | 281 | 74.3 | 163 | 63.7 | ||
| Negative | 97 | 25.7 | 93 | 36.3 | ||
| Ki67 (20% cut-off) | p = 0.62 | |||||
| High | 172 | 45.5 | 121 | 47.3 | ||
| Low | 205 | 54.2 | 134 | 52.3 | ||
| Unknown | 1 | 0.3 | 1 | 0.4 | ||
| HER2 Status | p = 0.76 | |||||
| Positive | 36 | 9.5 | 32 | 12.5 | ||
| Negative | 342 | 90.5 | 204 | 79.7 | ||
| Unresolved | 0 | 0.00 | 20 | 7.8 | ||
| Target | APIS Breast Cancer Subtyping Kit vs. IHC | |||
|---|---|---|---|---|
| Measure | N | % | 95% CI | |
| ESR1/ER | PPA (Sensitivity) | 474/501 | 94.61 | 92.27–96.27 |
| NPA (Specificity) | 117/133 | 87.97 | 81.35–92.46 | |
| OPA | 591/634 | 93.22 | 90.99–94.93 | |
| PPV | 474/490 | 96.73 | 94.76–97.98 | |
| NPV | 117/144 | 81.25 | 74.09–86.78 | |
| PGR/PR | PPA (Sensitivity) | 405/444 | 91.22 | 88.22–93.51 |
| NPA (Specificity) | 147/190 | 77.37 | 70.91–82.74 | |
| OPA | 552/634 | 87.07 | 84.23–89.46 | |
| PPV | 405/448 | 90.40 | 87.32–92.80 | |
| NPV | 147/186 | 79.03 | 72.62–84.27 | |
| ERBB2/HER2 | PPA (Sensitivity) | 62/68 | 91.18 | 82.06–95.89 |
| NPA (Specificity) | 517/546 | 94.69 | 92.48–96.28 | |
| OPA | 579/614 | 94.30 | 92.18–95.87 | |
| PPV | 62/91 | 68.10 | 58.00–76.80 | |
| NPV | 517/523 | 98.90 | 97.50–99.50 | |
| MKI67/Ki67 | PPA (Sensitivity) | 234/293 | 79.86 | 74.90–84.06 |
| NPA (Specificity) | 258/339 | 76.11 | 71.29–80.34 | |
| OPA | 492/632 | 77.85 | 74.45–80.91 | |
| PPV | 234/315 | 74.29 | 69.19–78.80 | |
| NPV | 258/317 | 81.39 | 76.74–85.29 | |
| Proliferation | PPA (Sensitivity) | 233/293 | 79.52 | 74.53–83.75 |
| NPA (Specificity) | 273/339 | 80.53 | 75.98–84.39 | |
| OPA | 506/632 | 80.06 | 76.77–82.99 | |
| PPV | 233/299 | 77.93 | 72.89–82.26 | |
| NPV | 273/333 | 81.98 | 77.50–85.74 | |
| Subtype | APIS Breast Cancer Subtyping Kit vs. Intrinsic Subtype | |||
|---|---|---|---|---|
| Measure | N | % | 95% CI | |
| Luminal A | PPA | 232/314 | 73.89 | 68.76–78.43 |
| NPA | 258/309 | 83.50 | 78.95–87.22 | |
| OPA | 490/623 | 78.65 | 75.26–81.69 | |
| Luminal B HER2− | PPA | 96/152 | 63.16 | 55.25–70.41 |
| NPA | 394/471 | 83.65 | 80.04–86.72 | |
| OPA | 490/623 | 78.65 | 75.26–81.69 | |
| Luminal B HER2+ | PPA | 27/32 | 84.38 | 68.25–93.14 |
| NPA | 556/591 | 94.08 | 91.88–95.71 | |
| OPA | 583/623 | 93.58 | 91.38–95.25 | |
| HER2 Enriched | PPA | 24/32 | 75.00 | 57.89–86.75 |
| NPA | 585/591 | 98.98 | 97.80–99.53 | |
| OPA | 609/623 | 97.75 | 96.26–98.66 | |
| TNBC | PPA | 67/93 | 72.04 | 62.19–80.15 |
| NPA | 522/530 | 98.49 | 97.05–99.23 | |
| OPA | 589/623 | 94.54 | 92.47–96.07 | |
| Target | CNB | Resected | ||||||
|---|---|---|---|---|---|---|---|---|
| Measure | N | % | 95% CI | N | % | 95% CI | ||
| ESR1/ ER | Sensitivity | 365/381 | 95.80 | 93.29–97.40 | 109/120 | 90.83 | 84.33–94.90 | p = 0.55 |
| Specificity | 98/111 | 88.29 | 80.99–93.03 | 19/22 | 86.36 | 66.67–95.25 | p = 0.41 | |
| PPV | 365/378 | 96.56 | 94.21–97.98 | 109/112 | 97.32 | 92.42–99.08 | p = 0.54 | |
| NPV | 98/114 | 85.96 | 78.41–91.17 | 19/30 | 63.33 | 45.51–78.13 | p = 0.42 | |
| PGR/ PR | Sensitivity | 314/340 | 92.35 | 89.03–94.73 | 91/104 | 87.50 | 79.78–92.55 | p = 0.52 |
| Specificity | 114//152 | 75.00 | 67.56–81.21 | 33/38 | 86.32 | 80.85–91.83 | p = 0.29 | |
| PPV | 314/352 | 89.20 | 85.53–92.03 | 91/96 | 94.79 | 88.38–97.76 | p = 0.47 | |
| NPV | 114/140 | 81.43 | 74.18–87.00 | 33/46 | 71.74 | 57.45–82.68 | p = 0.41 | |
| ERBB2/ HER2 | Sensitivity | 58/64 | 90.63 | 81.02–95.63 | 8/9 | 88.89 | 56.50–98.01 | p = 0.40 |
| Specificity | 396/428 | 92.52 | 89.64–94.65 | 133/133 | 100.00 | 97.19–100.00 | p = 0.53 | |
| PPV | 58/90 | 64.44 | 54.15–73.56 | 8/8 | 100.00 | 97.19–100.00 | p = 0.09 | |
| NPV | 396/402 | 98.51 | 96.78–99.31 | 133/134 | 99.25 | 95.89–99.87 | p = 0.58 | |
| MKI67/ Ki67 | Sensitivity | 204/236 | 86.44 | 81.49–90.23 | 30/57 | 52.63 | 39.92–65.01 | p = 0.41 |
| Specificity | 181/255 | 70.98 | 65.13–76.21 | 77/84 | 91.67 | 83.78–95.91 | p = 0.31 | |
| PPV | 204/278 | 73.38 | 67.89–78.23 | 30/37 | 81.08 | 65.80–90.52 | p = 0.21 | |
| NPV | 181/213 | 84.98 | 79.56–89.15 | 77/104 | 74.04 | 64.86–81.50 | p = 0.56 | |
| Proliferation | Sensitivity | 198/236 | 83.90 | 78.67–88.04 | 35/57 | 61.40 | 48.43–72.94 | p = 0.38 |
| Specificity | 198/255 | 77.65 | 72.14–82.33 | 75/84 | 89.29 | 80.88–94.26 | p = 0.39 | |
| PPV | 198/255 | 77.65 | 72.14–82.33 | 35/44 | 79.55 | 65.55–88.85 | p = 0.28 | |
| NPV | 198/236 | 83.90 | 78.67–88.04 | 75/97 | 77.32 | 68.04–84.52 | p = 0.50 | |
| Target | Expression Level | Between- Operator | Between- Instrument | Between-Lot | Between-Run (Between Day) | Within Run | Total SD (100% Variance) | |||||
|---|---|---|---|---|---|---|---|---|---|---|---|---|
| % Total Variance | SD | % Total Variance | SD | % Total Variance | SD | % Total Variance | SD | % Total Variance | SD | |||
| ESR1 | Mid | 48.459 | 0.344 | 0.400 | 0.031 | 0.000 | 0.000 | 22.085 | 0.232 | 29.055 | 0.266 | 0.494 |
| Low | 9.673 | 0.136 | 10.349 | 0.141 | 14.406 | 0.166 | 19.765 | 0.195 | 45.807 | 0.297 | 0.438 | |
| Negative | 0.000 | 0.000 | 0.000 | 0.000 | 0.000 | 0.000 | 0.000 | 0.000 | 100.000 | 0.803 | 0.803 | |
| PGR | Mid | 9.158 | 0.118 | 8.435 | 0.113 | 45.624 | 0.263 | 1.079 | 0.041 | 35.703 | 0.233 | 0.390 |
| Low | 0.000 | 0.000 | 0.000 | 0.000 | 39.163 | 0.208 | 8.647 | 0.098 | 52.191 | 0.240 | 0.332 | |
| Negative | 5.557 | 0.154 | 0.000 | 0.000 | 0.000 | 0.000 | 0.000 | 0.000 | 94.443 | 0.635 | 0.654 | |
| ERBB2 | Mid | 40.459 | 0.191 | 0.000 | 0.000 | 5.492 | 0.070 | 18.258 | 0.128 | 35.791 | 0.180 | 0.301 |
| Low | 0.000 | 0.000 | 10.498 | 0.063 | 0.714 | 0.016 | 51.230 | 0.139 | 37.558 | 0.119 | 0.194 | |
| Negative | 9.183 | 0.066 | 0.000 | 0.000 | 23.342 | 0.105 | 29.416 | 0.118 | 38.059 | 0.134 | 0.218 | |
| MKI67 | Mid | 0.000 | 0.000 | 10.845 | 0.096 | 32.167 | 0.165 | 0.000 | 0.000 | 56.989 | 0.220 | 0.291 |
| Low | 0.000 | 0.000 | 11.552 | 0.091 | 23.485 | 0.129 | 4.668 | 0.058 | 60.294 | 0.207 | 0.267 | |
| Negative | 7.726 | 0.078 | 17.438 | 0.117 | 16.327 | 0.113 | 0.000 | 0.000 | 58.509 | 0.215 | 0.281 | |
| Proliferation Score | Mid | 0.000 | 0.000 | 1.963 | 0.003 | 0.000 | 0.000 | 44.883 | 0.014 | 53.154 | 0.015 | 0.021 |
| Low | 0.000 | 0.000 | 0.000 | 0.000 | 0.000 | 0.000 | 0.000 | 0.000 | 100.000 | 0.044 | 0.044 | |
| Negative | 38.062 | 0.035 | 10.269 | 0.018 | 3.452 | 0.011 | 1.395 | 0.007 | 46.822 | 0.039 | 0.057 | |
| Target | Expression Level | Between-Site | Between- Operator | Between- Instrument | Between-Lot | Between-Run (Between Day) | Within Run | Total SD | ||||||
|---|---|---|---|---|---|---|---|---|---|---|---|---|---|---|
| % Total Variance | SD | % Total Variance | SD | % Total Variance | SD | % Total Variance | SD | % Total Variance | SD | % Total Variance | SD | (100% Variance) | ||
| ESR1 | Mid | 10.948 | 0.223 | 25.288 | 0.339 | 16.07 | 0.27 | 2.801 | 0.113 | 25.768 | 0.342 | 19.125 | 0.295 | 0.674 |
| Low | 0 | 0 | 21.888 | 0.338 | 0 | 0 | 46.999 | 0.495 | 10.083 | 0.229 | 21.03 | 0.331 | 0.722 | |
| Negative | 14.001 | 0.419 | 1.773 | 0.149 | 0 | 0 | 0 | 0 | 37.143 | 0.682 | 47.082 | 0.768 | 1.12 | |
| PGR | Mid | 6.384 | 0.136 | 0.848 | 0.05 | 4.322 | 0.112 | 60.116 | 0.417 | 3.354 | 0.098 | 24.976 | 0.269 | 0.538 |
| Low | 0 | 0 | 1.45 | 0.092 | 0 | 0 | 82.474 | 0.693 | 6.155 | 0.189 | 9.92 | 0.24 | 0.763 | |
| Negative | 6.989 | 0.173 | 1.003 | 0.065 | 0 | 0 | 0 | 0 | 0 | 0 | 92.008 | 0.626 | 0.653 | |
| ERBB2 | Mid | 0 | 0 | 4.664 | 0.127 | 2.628 | 0.095 | 71.026 | 0.497 | 13.712 | 0.218 | 7.971 | 0.166 | 0.589 |
| Low | 9.25 | 0.156 | 0.127 | 0.018 | 1.028 | 0.052 | 73.721 | 0.441 | 2.907 | 0.088 | 12.968 | 0.185 | 0.514 | |
| Negative | 0 | 0 | 1.478 | 0.067 | 7.607 | 0.152 | 66.776 | 0.45 | 17.386 | 0.229 | 6.753 | 0.143 | 0.55 | |
| MKI67 | Mid | 0 | 0 | 1.007 | 0.057 | 1.061 | 0.059 | 69.09 | 0.476 | 1.576 | 0.072 | 27.265 | 0.299 | 0.573 |
| Low | 1.348 | 0.06 | 3.662 | 0.099 | 1.807 | 0.07 | 60.749 | 0.405 | 3.586 | 0.098 | 28.849 | 0.279 | 0.52 | |
| Negative | 7.72 | 0.101 | 1.427 | 0.043 | 8.896 | 0.108 | 7.368 | 0.098 | 3.316 | 0.066 | 71.273 | 0.306 | 0.362 | |
| Proliferation Score | Mid | 3.74 | 0.006 | 6.985 | 0.008 | 3.097 | 0.005 | 46.619 | 0.02 | 14.446 | 0.011 | 25.114 | 0.015 | 0.03 |
| Low | 6.666 | 0.017 | 4.783 | 0.014 | 0 | 0 | 37.964 | 0.04 | 2.031 | 0.009 | 48.556 | 0.045 | 0.065 | |
| Negative | 25.196 | 0.04 | 38.062 | 0.035 | 10.269 | 0.018 | 3.452 | 0.011 | 1.395 | 0.007 | 46.822 | 0.039 | 0.081 | |
| Target | Expression Level | % Detection Rate |
|---|---|---|
| ESR1 | Mid | 100% |
| Low | 100% | |
| Negative | 100% | |
| PGR | Mid | 100% |
| Low | 100% | |
| Negative | 100% | |
| ERBB2 | Mid | 100% |
| Low | 100% | |
| Negative | 100% | |
| MKI67 | Mid | 100% |
| Low | 100% | |
| Negative | 87% | |
| Proliferation Score | Mid | 100% |
| Low | 100% | |
| Negative | 99% |
Disclaimer/Publisher’s Note: The statements, opinions and data contained in all publications are solely those of the individual author(s) and contributor(s) and not of MDPI and/or the editor(s). MDPI and/or the editor(s) disclaim responsibility for any injury to people or property resulting from any ideas, methods, instructions or products referred to in the content. |
© 2024 by the authors. Licensee MDPI, Basel, Switzerland. This article is an open access article distributed under the terms and conditions of the Creative Commons Attribution (CC BY) license (https://creativecommons.org/licenses/by/4.0/).
Share and Cite
Wegscheider, A.-S.; Gorniak, J.; Rollinson, S.; Gough, L.; Dhaliwal, N.; Guardiola, A.; Gasior, A.; Helmer, D.; Pounce, Z.; Niendorf, A. Comprehensive and Accurate Molecular Profiling of Breast Cancer through mRNA Expression of ESR1, PGR, ERBB2, MKI67, and a Novel Proliferation Signature. Diagnostics 2024, 14, 241. https://doi.org/10.3390/diagnostics14030241
Wegscheider A-S, Gorniak J, Rollinson S, Gough L, Dhaliwal N, Guardiola A, Gasior A, Helmer D, Pounce Z, Niendorf A. Comprehensive and Accurate Molecular Profiling of Breast Cancer through mRNA Expression of ESR1, PGR, ERBB2, MKI67, and a Novel Proliferation Signature. Diagnostics. 2024; 14(3):241. https://doi.org/10.3390/diagnostics14030241
Chicago/Turabian StyleWegscheider, Anne-Sophie, Joanna Gorniak, Sara Rollinson, Leanne Gough, Navdeep Dhaliwal, Agustin Guardiola, Anna Gasior, Denise Helmer, Zoe Pounce, and Axel Niendorf. 2024. "Comprehensive and Accurate Molecular Profiling of Breast Cancer through mRNA Expression of ESR1, PGR, ERBB2, MKI67, and a Novel Proliferation Signature" Diagnostics 14, no. 3: 241. https://doi.org/10.3390/diagnostics14030241
APA StyleWegscheider, A.-S., Gorniak, J., Rollinson, S., Gough, L., Dhaliwal, N., Guardiola, A., Gasior, A., Helmer, D., Pounce, Z., & Niendorf, A. (2024). Comprehensive and Accurate Molecular Profiling of Breast Cancer through mRNA Expression of ESR1, PGR, ERBB2, MKI67, and a Novel Proliferation Signature. Diagnostics, 14(3), 241. https://doi.org/10.3390/diagnostics14030241

