Assessment of a Bioimpedance-Based Method for the Diagnosis of Oral Cancer
Abstract
1. Introduction
2. Materials and Methods
- Morphologically changed but non-ulcerated mucosa of the OC lesion;
- Clinically intact mucosa in the immediate vicinity of the tumour, i.e., 5 mm away from the tumour border;
- Healthy oral mucosa of the corresponding anatomical region on the contralateral/unaffected side. Measurements on healthy contralateral mucosa were always performed in the same region as the tumour, but on the unaffected side.
3. Results
3.1. Bioimpedance Spectra in Patients with Oral Cancer
3.2. Comparison of Bioimpedance Values in the Lesion Between Oral Cancer Patients and Controls
3.3. Comparison of Bioimpedance Values in the Clinically Intact Perilesional Mucosa Between Oral Cancer Patients and Controls
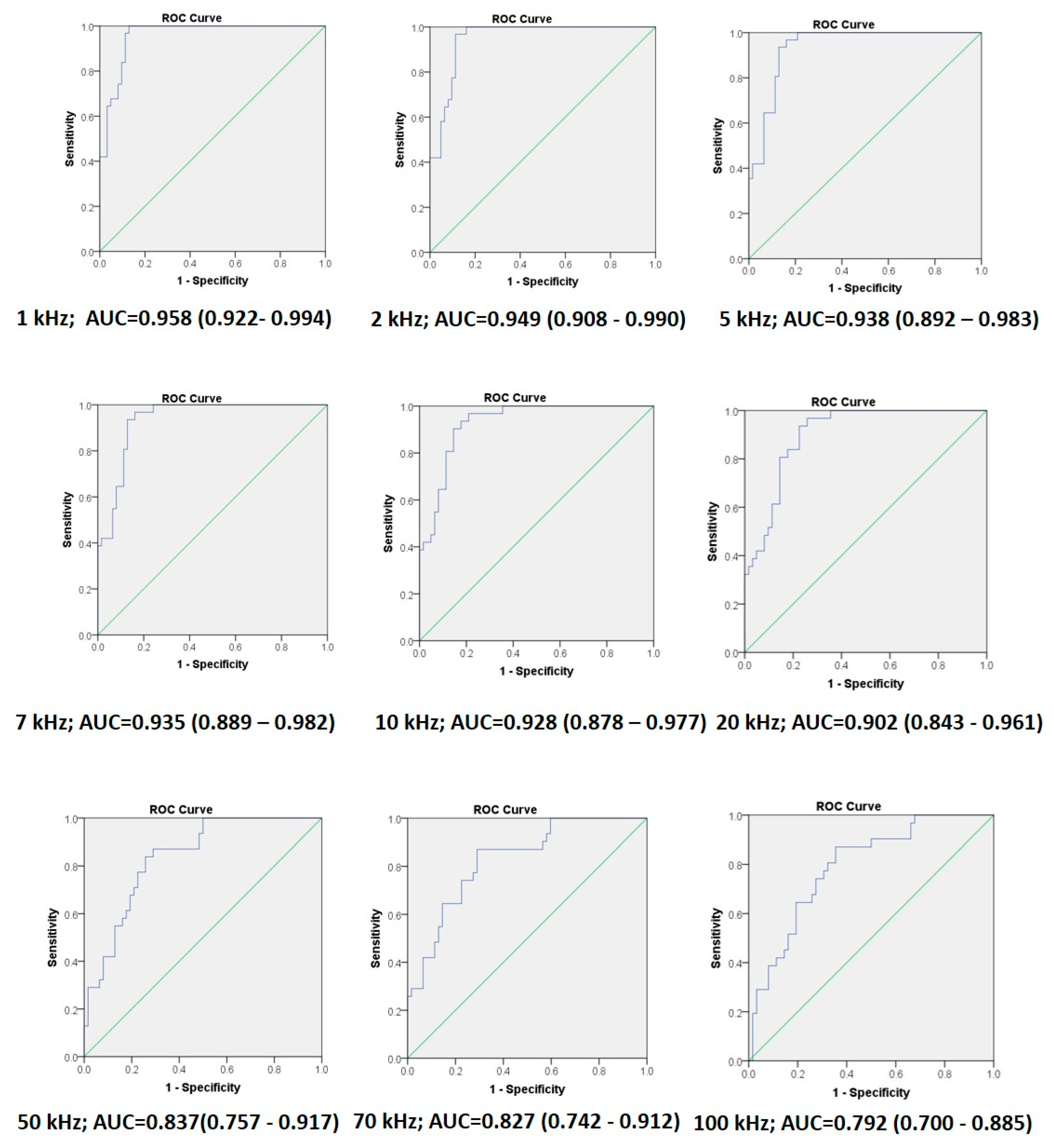
3.4. Assessment of the Ability of the Bioimpedance-Based Method to Identify Oral Cancer Lesions
4. Discussion
5. Conclusions
Author Contributions
Funding
Institutional Review Board Statement
Informed Consent Statement
Data Availability Statement
Acknowledgments
Conflicts of Interest
References
- WHO. Global Oral Health Status Report: Towards Universal Health Coverage for Oral Health by 2030; World Health Organization: Geneva, Switzerland, 2022; pp. 45–52. Available online: https://www.who.int/publications/i/item/9789240061484 (accessed on 1 September 2024).
- Sarode, G.; Maniyar, N.; Sarode, S.C.; Jafer, M.; Patil, S.; Awan, K.H. Epidemiologic aspects of oral cancer. Disease-a-Month 2020, 66, 100988. [Google Scholar] [CrossRef] [PubMed]
- Cheong, S.C.; Vatanasapt, P.; Yi-Hsin, Y.; Zain, R.B.; Kerr, A.R.; Johnson, N.W. Oral cancer in South East Asia: Current status and future directions. Transl. Res. Oral Oncol. 2017, 2, 2057178X17702921. [Google Scholar] [CrossRef]
- Ustrell-Borràs, M.; Traboulsi-Garet, B.; Gay-Escoda, C. Alcohol-based mouthwash as a risk factor of oral cancer: A systematic review. Med. Oral Patol. Oral Cir. Bucal 2020, 25, e1. [Google Scholar] [CrossRef]
- Rivera, C. Essentials of oral cancer. Int. J. Clin. Exp. Pathol. 2015, 8, 11884–11894. [Google Scholar]
- Tan, Y.; Wang, Z.; Xu, M.; Li, B.; Huang, Z.; Qin, S.; Nice, E.C.; Tang, J.; Huang, C. Oral squamous cell carcinomas: State of the field and emerging directions. Int. J. Oral Sci. 2023, 15, 44. [Google Scholar] [CrossRef]
- Bahadur, S. Guidelines in Management of Carcinoma of the Tongue and Floor of Mouth. In Management of Oral Cancers; Springer Singapore: Singapore, 2021; pp. 133–147. [Google Scholar]
- Albuquerque, R.; López-López, J.; Marí-Roig, A.; Jané-Salas, E.; Roselló-Llabrés, X.; Santos, J.R. Oral tongue squamous cell carcinoma (OTSCC): Alcohol and tobacco consumption versus non-consumption. A study in a Portuguese population. Braz. Dent. J. 2011, 22, 517–521. [Google Scholar] [CrossRef]
- Dhanuthai, K.; Rojanawatsirivej, S.; Thosaporn, W.; Kintarak, S.; Subarnbhesaj, A.; Darling, M.; Kryshtalskyj, E.; Chiang, C.-P.; Shin, H.-I.; Choi, S.-Y.; et al. Oral cancer: A multicenter study. Med. Oral Patol. Oral Cir. Bucal 2017, 23, e23–e29. [Google Scholar] [CrossRef]
- Yang, Y.; Zhang, P.; Li, W. Comparison of orofacial pain of patients with different stages of precancer and oral cancer. Sci. Rep. 2017, 7, 203. [Google Scholar] [CrossRef]
- Bradley, P.T.; Lee, Y.K.; Albutt, A.; Hardman, J.; Kellar, I.; Odo, C.; Randell, R.; Rousseau, N.; Tikka, T.; Patterson, J.M.; et al. Nomenclature of the symptoms of head and neck cancer: A systematic scoping review. Front. Oncol. 2024, 14, 1404860. [Google Scholar] [CrossRef]
- Chakravarthy, H.; Manoharan, S.; Damodaran, D.; Shamsudeen, S.; Lavanya, S. Assessment of Pattern of Cervical Lymph Node Metastasis in Squamous Cell Carcinoma of Oral Cavity. Asian Pac. J. Cancer Care 2024, 9, 417–423. [Google Scholar] [CrossRef]
- Yang, J.; Guo, K.; Zhang, A.; Zhu, Y.; Li, W.; Yu, J.; Wang, P. Survival analysis of age-related oral squamous cell carcinoma: A population study based on SEER. Eur. J. Med. Res. 2023, 28, 413. [Google Scholar] [CrossRef] [PubMed]
- Jeng, P.Y.; Chang, M.C.; Chiang, C.P.; Lee, C.F.; Chen, C.F.; Jeng, J.H. Oral soft tissue biopsy surgery: Current principles and key tissue stabilization techniques. J. Dent. Sci. 2024, 19, 11–20. [Google Scholar] [CrossRef] [PubMed]
- Vibhute, N.; Jagtap, S.; Patil, S. Velscope guided oral cancer screening: A ray of hope in early oral cancer diagnosis. J. Oral Maxillofac. Pathol. 2021, 25, 548. [Google Scholar] [CrossRef] [PubMed]
- Ilhan, B.; Lin, K.; Guneri, P.; Wilder-Smith, P. Improving Oral Cancer Outcomes with Imaging and Artificial Intelligence. J. Dent. Res. 2020, 99, 241–248. [Google Scholar] [CrossRef]
- Price, C.P. Regular review: Point of care testing. BMJ 2001, 322, 1285–1288. [Google Scholar] [CrossRef]
- Loubiere, S.; Moatti, J.P. Economic evaluation of point-of-care diagnostic technologies for infectious diseases. Clin. Microbiol. Infect. 2010, 16, 1070–1076. [Google Scholar] [CrossRef]
- Scholz, B.; Anderson, R. On Electrical Impedance Scanning—Principles and Simulations. Electromedica 2000, 68, 35–44. [Google Scholar]
- Åberg, P. Electronic Biopsies—Applications and Data Analysis. Ph.D. Thesis, Kongl Karolinska Medico Chirurgico Institutet, Stockholm, Sweden, 2002. [Google Scholar]
- Nicander, I.; Rundquist, L.; Ollmar, S. Electric Impedance Measurements at Six Different Anatomic Locations of Macroscopically Normal Human Oral Mucosa. Acta Odontol. Scand. 1997, 55, 88–93. [Google Scholar] [CrossRef]
- Birgersson, U. Electrical Impedance of Human Skin and Tissue Alterations Mathematical Modeling and Measurements. Ph.D. Thesis, Karolinska Institutet, Stockholm, Sweden, 2012. [Google Scholar]
- Gupta, V.; Agrawal, U.; Goel, P. Bioimpedance: A Tool for Screening Oral Cancer—A Systematic Review. Contemp. Clin. Dent. 2023, 14, 91–97. [Google Scholar] [CrossRef]
- Sun, T.P.; Ching, C.T.S.; Cheng, C.S.; Huang, S.H.; Chen, Y.J.; Hsiao, C.S.; Chang, C.H.; Huang, S.Y.; Shieh, H.L.; Liu, W.H.; et al. The use of bioimpedance in the detection/screening of tongue cancer. Cancer Epidemiol. 2010, 34, 207–211. [Google Scholar] [CrossRef]
- Congo, T.S.C.; Ching, C.T.S.; Sun, T.P.; Huang, S.H.; Hsiao, C.S.; Chang, C.H.; Huang, S.Y.; Chen, Y.J.; Cheng, C.S.; Shieh, H.L.; et al. A preliminary study of the use of bioimpedance in the screening of squamous tongue cancer. Int. J. Nanomed. 2010, 5, 213–220. [Google Scholar]
- Sarode, G.S.; Sarode, S.C.; Kulkarni, M.; Karmarkar, S.; Patll, S.; Auciustine, D. Bioimpedance Assessment of Oral Squamous Cell Carcinoma with Clinicopathological Correlation. J. Contemp. Dent. Pract. 2015, 16, 715–722. [Google Scholar] [PubMed]
- Murdoch, C.; D’Apice, K.; Thornhill, M.H.; Brown, B.H.; Hearnden, V.; Speight, P.M.; Hegarty, A.M.; Healey, J.; Highfield, P.; Tidy, J. Use of electrical impedance spectroscopy to detect malignant and potentially malignant oral lesions. Int. J. Nanomed. 2014, 9, 4521–4532. [Google Scholar] [CrossRef] [PubMed]
- Tatullo, M.; Marrelli, M.; Amantea, M.; Paduano, F.; Santacroce, L.; Gentile, S.; Scacco, S. Bioimpedance Detection of Oral Lichen Planus Used as Preneoplastic Model. J. Cancer 2015, 6, 976–983. [Google Scholar] [CrossRef] [PubMed]
- Singhal, M.; Tandon, A.; Juneja, S.; Shetty, D.C.; Kumar, S.; Jain, A. Molecular Analysis as a Guide to Determining the Extent and Pathophysiology of Perilesional Tissues in Oral Epithelial Dysplasias. J. Maxillofac. Oral Surg. 2020, 19, 447–455. [Google Scholar] [CrossRef]
- Richter, I.; Alajbeg, I.; Vučićević Boras, V.; Andabak Rogulj, A.; Brailo, V. Mapping Electrical Impedance Spectra of the Healthy Oral Mucosa: A Pilot Study. Acta Stomatol. Croat. 2015, 49, 331–339. [Google Scholar] [CrossRef]
- Lang, K.; Held, T.; Freudlsperger, C.; Plath, K.; Hoffmann, J.; Plinkert, P.K.; Debus, J.; Adeberg, S. Oral Cavity Squamous Cell Carcinoma: Impact of Clear Margin Distance on Locoregional Control in Patients Undergoing Postoperative Radiotherapy. Technol. Cancer Res. Treat. 2024, 23, 15330338241258596. [Google Scholar] [CrossRef]
- Sunkara, P.R.; Graff, J.T.; Cramer, J.D. Association of Surgical Margin Distance with Survival in Patients with Resected Head and Neck Squamous Cell Carcinoma. JAMA Otolaryngol.–Head Neck Surg. 2023, 149, 317. [Google Scholar] [CrossRef]
- Kanatas, A.; Walshaw, E.G.; Wu, J.; Fabbroni, G.; Chengot, P. Prognostic factors in oral cancer surgery—Results from a UK tertiary centre. Eur. J. Surg. Oncol. 2023, 49, 755–759. [Google Scholar] [CrossRef]
- Carobbio, A.L.C.; Cheng, Z.; Gianiorio, T.; Missale, F.; Africano, S.; Ascoli, A.; Fragale, M.; Filauro, M.; Marchi, F.; Guastini, L.; et al. Electric Bioimpedance Sensing for the Detection of Head and Neck Squamous Cell Carcinoma. Diagnostics 2023, 13, 2453. [Google Scholar] [CrossRef]
- Horvat, K.; Richter, I.; Vucelić, V.; Gršić, K.; Leović, D.; Škrinjar, I.; Andabak Rogulj, A.; Velimir Grgić, M.; Brailo, V. Impact of Age and Sex on Electrical Impedance Values in Healthy Oral Mucosa. Bioengineering 2022, 9, 592. [Google Scholar] [CrossRef] [PubMed]
- Lima, A.M.; Meira, I.A.; Soares, M.S.; Bonan, P.R.; Mélo, C.B.; Piagge, C.S. Delay in diagnosis of oral cancer: A systematic review. Med. Oral Patol. Oral Cir. Bucal 2021, 26, e815–e824. [Google Scholar] [CrossRef] [PubMed]
- Lorenzo-Pouso, A.I.; Lafuente-Ibáñez de Mendoza, I.; Pérez-Sayáns, M.; Pérez-Jardón, A.; Chamorro-Petronacci, C.M.; Blanco-Carrión, A.; Aguirre-Urízar, J.M. Critical update, systematic review, and meta-analysis of oral erythroplakia as an oral potentially malignant disorder. J. Oral Pathol. Med. 2022, 51, 585–593. [Google Scholar] [CrossRef] [PubMed]
- Brailo, V. Dentist and early detection of oral carcinoma. Acta Med. Croat. 2015, 69, 45–48. [Google Scholar]





| Oral Cancer | Positive Controls | Healthy Controls | p | |
|---|---|---|---|---|
| Sex, N (%) | ||||
| Male | 21 (67.7) | 13 (41.9) | 19 (61.3) | 0.102 |
| Female | 10 (31.3) | 18 (58.1) | 12 (38.7) | |
| Age (mean ± SD) | 62.1 ± 12.8 | 63.2 ± 11.2 | 60.8 ± 10.7 | 0.713 |
| Localization of the lesion, N (%) | ||||
| Buccal mucosa | 10 (32.3) | 28 (90.3) | Not applicable | p < 0.0001 * |
| Tongue border | 12 (38.7) | 3 (9.7) | ||
| Floor of the mouth | 9 (29) | 0 | ||
| TNM stage | ||||
| 1 | 4 | Not applicable | Not applicable | Not applicable |
| 2 | 4 | |||
| 3 | 11 | |||
| 4 | 12 | |||
| Tumour differentiation, N (%) | ||||
| Well differentiated | 27 (87.1) | Not applicable | Not applicable | Not applicable |
| Poorly differentiated | 4 (12.9) |
Disclaimer/Publisher’s Note: The statements, opinions and data contained in all publications are solely those of the individual author(s) and contributor(s) and not of MDPI and/or the editor(s). MDPI and/or the editor(s) disclaim responsibility for any injury to people or property resulting from any ideas, methods, instructions or products referred to in the content. |
© 2024 by the authors. Licensee MDPI, Basel, Switzerland. This article is an open access article distributed under the terms and conditions of the Creative Commons Attribution (CC BY) license (https://creativecommons.org/licenses/by/4.0/).
Share and Cite
Horvat Šikonja, K.; Richter, I.; Grgić, M.V.; Gršić, K.; Leović, D.; Batelja Vuletić, L.; Brailo, V. Assessment of a Bioimpedance-Based Method for the Diagnosis of Oral Cancer. Diagnostics 2024, 14, 2894. https://doi.org/10.3390/diagnostics14242894
Horvat Šikonja K, Richter I, Grgić MV, Gršić K, Leović D, Batelja Vuletić L, Brailo V. Assessment of a Bioimpedance-Based Method for the Diagnosis of Oral Cancer. Diagnostics. 2024; 14(24):2894. https://doi.org/10.3390/diagnostics14242894
Chicago/Turabian StyleHorvat Šikonja, Kristina, Ivica Richter, Marko Velimir Grgić, Krešimir Gršić, Dinko Leović, Lovorka Batelja Vuletić, and Vlaho Brailo. 2024. "Assessment of a Bioimpedance-Based Method for the Diagnosis of Oral Cancer" Diagnostics 14, no. 24: 2894. https://doi.org/10.3390/diagnostics14242894
APA StyleHorvat Šikonja, K., Richter, I., Grgić, M. V., Gršić, K., Leović, D., Batelja Vuletić, L., & Brailo, V. (2024). Assessment of a Bioimpedance-Based Method for the Diagnosis of Oral Cancer. Diagnostics, 14(24), 2894. https://doi.org/10.3390/diagnostics14242894

