The Impact of Vaccination on COVID-19 Outcomes in Vietnam
Abstract
1. Introduction
2. Methods
2.1. Study Cohort
2.2. Clinical Symptom Classification
2.3. Data Collection Procedure
2.4. Statistical Analysis
3. Results
3.1. Participants’ Characteristics
3.2. Types of COVID-19 Vaccine
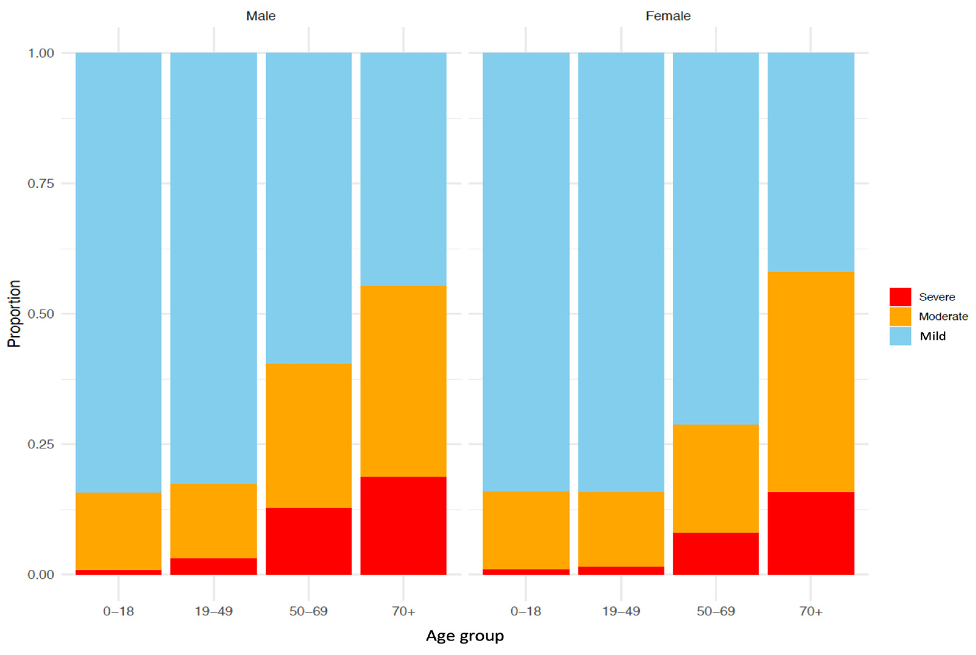
3.3. Association of Vaccination Status and Duration of Hospitalization or Severity of Disease
3.4. Association of Vaccination Status and Laboratory Parameters
3.5. Factors Associated with Critical Illness
3.6. Association of Vaccination Status and Outcomes
4. Discussion
5. Conclusions
Author Contributions
Funding
Institutional Review Board Statement
Informed Consent Statement
Data Availability Statement
Acknowledgments
Conflicts of Interest
References
- Zhu, N.; Zhang, D.; Wang, W.; Li, X.; Yang, B.; Song, J.; Zhao, X.; Huang, B.; Shi, W.; Lu, R.; et al. A Novel Coronavirus from Patients with Pneumonia in China, 2019. N. Engl. J. Med. 2020, 382, 727–733. [Google Scholar] [CrossRef] [PubMed]
- World Health Organization. Data, WHO COVID-19 Dashboard. Available online: https://doi.org/10.46945/bpj.10.1.03.01 (accessed on 3 October 2020).
- Eurosurveillance Editorial Team. Note from the editors: World Health Organization declares novel coronavirus (2019-nCoV) sixth public health emergency of international concern. Euro Surveill. 2020, 25, 200131e. [Google Scholar] [CrossRef]
- Odone, A.; Delmonte, D.; Scognamiglio, T.; Signorelli, C. COVID-19 deaths in Lombardy, Italy: Data in context. Lancet Public Health 2020, 5, e310. [Google Scholar] [CrossRef] [PubMed]
- Rossman, H.; Meir, T.; Somer, J.; Shilo, S.; Gutman, R.; Ben Arie, A.; Segal, E.; Shalit, U.; Gorfine, M. Hospital load and increased COVID-19 related mortality in Israel. Nat. Commun. 2021, 12, 1904. [Google Scholar] [CrossRef] [PubMed]
- Baral, R.K. Learning Accessibility during the COVID-19 Era: An Overview. Spectrum 2023, 1, 34–52. [Google Scholar] [CrossRef]
- Watson, O.J.; Barnsley, G.; Toor, J.; Hogan, A.B.; Winskill, P.; Ghani, A.C. Global impact of the first year of COVID-19 vaccination: A mathematical modelling study. Lancet Infect. Dis. 2022, 22, 1293–1302. [Google Scholar] [CrossRef] [PubMed]
- Nordström, P.; Ballin, M.; Nordström, A. Effectiveness of heterologous ChAdOx1 nCoV-19 and mRNA prime-boost vaccination against symptomatic Covid-19 infection in Sweden: A nationwide cohort study. Lancet Reg. Health Eur. 2021, 11, 100249. [Google Scholar] [CrossRef] [PubMed]
- Tregoning, J.S.; Flight, K.E.; Higham, S.L.; Wang, Z.; Pierce, B.F. Progress of the COVID-19 vaccine effort: Viruses, vaccines and variants versus efficacy, effectiveness and escape. Nat. Rev. Immunol. 2021, 21, 626–636. [Google Scholar] [CrossRef] [PubMed]
- Dhama, K.; Nainu, F.; Frediansyah, A.; Yatoo, M.I.; Mohapatra, R.K.; Chakraborty, S.; Zhou, H.; Islam, M.R.; Mamada, S.S.; Kusuma, H.I.; et al. Global emerging Omicron variant of SARS-CoV-2: Impacts, challenges and strategies. J. Infect. Public Health 2023, 16, 4–14. [Google Scholar] [CrossRef]
- Fabiani, M.; Mateo-Urdiales, A.; Sacco, C.; Rota, M.C.; Petrone, D.; Bressi, M.; Del Manso, M.; Siddu, A.; Proietti, V.; Battilomo, S.; et al. Relative effectiveness of a 2nd booster dose of COVID-19 mRNA vaccine up to four months post administration in individuals aged 80 years or more in Italy: A retrospective matched cohort study. Vaccine 2023, 41, 76–84. [Google Scholar] [CrossRef]
- Correction and Republication: Early Estimates of Bivalent mRNA Vaccine Effectiveness in Preventing COVID-19-Associated Emergency Department or Urgent Care Encounters and Hospitalizations Among Immunocompetent Adults—VISION Network, Nine States, September–November 2022. MMWR Morb. Mortal. Wkly. Rep. 2023, 72, 292. [CrossRef]
- Viet Nam: Country Note. Available online: https://doi.org/10.1787/888932672593 (accessed on 3 October 2020).
- Duong, M.C.; Duong, B.T.; Nguyen, H.T.; Nguyen Thi Quynh, T.; Nguyen, D.P. Knowledge about COVID-19 vaccine and vaccination in Vietnam: A population survey. J. Am. Pharm. Assoc. 2022, 62, 1197–1205.e1194. [Google Scholar] [CrossRef]
- Polack, F.P.; Thomas, S.J.; Kitchin, N.; Absalon, J.; Gurtman, A.; Lockhart, S.; Perez, J.L.; Pérez Marc, G.; Moreira, E.D.; Zerbini, C.; et al. Safety and Efficacy of the BNT162b2 mRNA Covid-19 Vaccine. N. Engl. J. Med. 2020, 383, 2603–2615. [Google Scholar] [CrossRef]
- Menni, C.; May, A.; Polidori, L.; Louca, P.; Wolf, J.; Capdevila, J.; Hu, C.; Ourselin, S.; Steves, C.J.; Valdes, A.M.; et al. COVID-19 vaccine waning and effectiveness and side-effects of boosters: A prospective community study from the ZOE COVID Study. Lancet Infect. Dis. 2022, 22, 1002–1010. [Google Scholar] [CrossRef]
- Kulkarni, V.Y.; Sinha, P.K.; Petare, M. Weighted Hybrid Decision Tree Model for Random Forest Classifier. J. Inst. Eng. Ser. B 2016, 97, 209–217. [Google Scholar] [CrossRef]
- Kirwan, P.D.; Charlett, A.; Birrell, P.; Elgohari, S.; Hope, R.; Mandal, S.; De Angelis, D.; Presanis, A.M. Trends in COVID-19 hospital outcomes in England before and after vaccine introduction, a cohort study. Nat. Commun. 2022, 13, 4834. [Google Scholar] [CrossRef]
- Statsenko, Y.; Al Zahmi, F.; Habuza, T.; Almansoori, T.M.; Smetanina, D.; Simiyu, G.L.; Gorkom, K.N.-V.; Ljubisavljevic, M.; Awawdeh, R.A.; Elshekhali, H.; et al. Impact of Age and Sex on COVID-19 Severity Assessed From Radiologic and Clinical Findings. Front. Cell Infect. Microbiol. 2022, 11, 777070. [Google Scholar] [CrossRef] [PubMed]
- Wu, J.T.; Leung, K.; Bushman, M.; Kishore, N.; Niehus, R.; de Salazar, P.M.; Cowling, B.J.; Lipsitch, M.; Leung, G.M. Estimating clinical severity of COVID-19 from the transmission dynamics in Wuhan, China. Nat. Med. 2020, 26, 506–510. [Google Scholar] [CrossRef]
- Pijls, B.G.; Jolani, S.; Atherley, A.; Derckx, R.T.; Dijkstra, J.I.R.; Franssen, G.H.L.; Hendriks, S.; Richters, A.; Venemans-Jellema, A.; Zalpuri, S.; et al. Demographic risk factors for COVID-19 infection, severity, ICU admission and death: A meta-analysis of 59 studies. BMJ Open 2021, 11, e044640. [Google Scholar] [CrossRef]
- Zhang, J.J.; Dong, X.; Liu, G.H.; Gao, Y.D. Risk and Protective Factors for COVID-19 Morbidity, Severity, and Mortality. Clin. Rev. Allergy Immunol. 2023, 64, 90–107. [Google Scholar] [CrossRef] [PubMed]
- Guan, W.J.; Ni, Z.Y.; Hu, Y.; Liang, W.H.; Ou, C.Q.; He, J.X.; Liu, L.; Shan, H.; Lei, C.-L.; Hui, D.S.C.; et al. Clinical Characteristics of Coronavirus Disease 2019 in China. N. Engl. J. Med. 2020, 382, 1708–1720. [Google Scholar] [CrossRef]
- Jayaswal, S.K.; Singh, S.; Malik, P.S.; Venigalla, S.K.; Gupta, P.; Samaga, S.N.; Hota, R.N.; Bhatia, S.S.; Gupta, B.E.I. Detrimental effect of diabetes and hypertension on the severity and mortality of COVID-19 infection: A multi-center case-control study from India. Diabetes Metab. Syndr. 2021, 15, 102248. [Google Scholar] [CrossRef]
- Waxman, J.G.; Makov-Assif, M.; Reis, B.Y.; Netzer, D.; Balicer, R.D.; Dagan, N.; Barda, N. Comparing COVID-19-related hospitalization rates among individuals with infection-induced and vaccine-induced immunity in Israel. Nat. Commun. 2022, 13, 2202. [Google Scholar] [CrossRef]
- Huang, Z.; Xu, S.; Liu, J.; Wu, L.; Qiu, J.; Wang, N.; Ren, J.; Li, Z.; Guo, X.; Tao, F.; et al. Effectiveness of inactivated COVID-19 vaccines among older adults in Shanghai: Retrospective cohort study. Nat. Commun. 2023, 14, 2009. [Google Scholar] [CrossRef]
- Lee, S.W.; Ma, D.; Davoodian, A.; Ayutyanont, N.; Werner, B. COVID-19 vaccination decreased COVID-19 hospital length of stay, in-hospital death, and increased home discharge. Prev. Med. Rep. 2023, 32, 102152. [Google Scholar] [CrossRef]
- Feng, S.; Lin, E.; Cowling, B.J. Number needed to vaccinate for COVID-19 booster doses: A valuable metric to inform vaccination strategies. Lancet Reg. Health–Am. 2023, 23, 100548. [Google Scholar] [CrossRef]
- Kandil, S.; Tharwat, A.I.; Mohsen, S.M.; Eldeeb, M.; Abdallah, W.; Hilal, A.; Sweed, H.; Mortada, M.; Arif, E.; Ahmed, T.; et al. Developing a mortality risk prediction model using data of 3663 hospitalized COVID-19 patients: A retrospective cohort study in an Egyptian University Hospital. BMC Pulm. Med. 2023, 23, 57. [Google Scholar] [CrossRef]
- Nardo, A.D.; Schneeweiss-Gleixner, M.; Bakail, M.; Dixon, E.D.; Lax, S.F.; Trauner, M. Pathophysiological mechanisms of liver injury in COVID-19. Liver Int. 2021, 41, 20–32. [Google Scholar] [CrossRef]
- Su, Y.-J.; Chang, C.-W.; Chen, M.-J.; Lai, Y.-C. Impact of COVID-19 on liver. World J. Clin. Cases 2021, 9, 7998–8007. [Google Scholar] [CrossRef]
- Batlle, D.; Soler, M.J.; Sparks, M.A.; Hiremath, S.; South, A.M.; Welling, P.A.; Swaminathan, S. Acute Kidney Injury in COVID-19: Emerging Evidence of a Distinct Pathophysiology. J. Am. Soc. Nephrol. 2020, 31, 1380–1383. [Google Scholar] [CrossRef]
- Letelier, P.; Encina, N.; Morales, P.; Riffo, A.; Silva, H.; Riquelme, I.; Guzmán, N. Role of biochemical markers in the monitoring of COVID-19 patients. J. Med. Biochem. 2021, 40, 115–128. [Google Scholar] [CrossRef]
- Jin, A.; Yan, B.; Hua, W.; Feng, D.; Xu, B.; Liang, L.; Guo, C. Clinical characteristics of patients diagnosed with COVID-19 in Beijing. Biosaf. Health 2020, 2, 104–111. [Google Scholar] [CrossRef] [PubMed]
- Gong, J.; Dong, H.; Xia, Q.S.; Huang, Z.Y.; Wang, D.K.; Zhao, Y.; Liu, W.-H.; Tu, S.-H.; Zhang, M.-M.; Wang, Q.; et al. Correlation analysis between disease severity and inflammation-related parameters in patients with COVID-19: A retrospective study. BMC Infect. Dis. 2020, 20, 963. [Google Scholar] [CrossRef] [PubMed]
- Hachim, I.Y.; Hachim, M.Y.; Hannawi, H.; Naeem, K.B.; Salah, A.; Hannawi, S. The inflammatory biomarkers profile of hospitalized patients with COVID-19 and its association with patient’s outcome: A single centered study. PLoS ONE 2021, 16, e0260537. [Google Scholar] [CrossRef] [PubMed]
- Merad, M.; Martin, J.C. Pathological inflammation in patients with COVID-19: A key role for monocytes and macrophages. Nat. Rev. Immunol. 2020, 20, 355–362. [Google Scholar] [CrossRef] [PubMed]
- Kander, T. Coagulation disorder in COVID-19. Lancet Haematol. 2020, 7, e630–e632. [Google Scholar] [CrossRef] [PubMed]
- Maghfirah, A.I.; Widaningsih, Y.; Bahrun, U. Correlation-of-serum-ferritin-levels-and-COVID19-severity-in-makassar. J. Microbiol. Immunol. 2022, 4, 1–5. [Google Scholar]
- Bennouar, S.; Bachir Cherif, A.; Kessira, A.; Hamel, H.; Boudahdir, A.; Bouamra, A.; Bennouar, D.; Abdi, S. Usefulness of biological markers in the early prediction of corona virus disease-2019 severity. Scand. J. Clin. Lab. Investig. 2020, 80, 611–618. [Google Scholar] [CrossRef]
- Feld, J.; Tremblay, D.; Thibaud, S.; Kessler, A.; Naymagon, L. Ferritin levels in patients with COVID-19: A poor predictor of mortality and hemophagocytic lymphohistiocytosis. Int. J. Lab. Hematol. 2020, 42, 773–779. [Google Scholar] [CrossRef]
- Kaushal, K.; Kaur, H.; Sarma, P.; Bhattacharyya, A.; Sharma, D.J.; Prajapat, M.; Pathak, M.; Pathak, M.; Kothari, A.; Kumar, S.; et al. Serum ferritin as a predictive biomarker in COVID-19. A systematic review, meta-analysis and meta-regression analysis. J. Crit. Care 2022, 67, 172–181. [Google Scholar] [CrossRef]
- Chen, A.T.; Wang, C.Y.; Zhu, W.L.; Chen, W. Coagulation Disorders and Thrombosis in COVID-19 Patients and a Possible Mechanism Involving Endothelial Cells: A Review. Aging Dis. 2022, 13, 144–156. [Google Scholar] [CrossRef]
- Dahan, S.; Segal, G.; Katz, I.; Hellou, T.; Tietel, M.; Bryk, G.; Amital, H.; Shoenfeld, Y.; Dagan, A. Ferritin as a Marker of Severity in COVID-19 Patients: A Fatal Correlation. Isr. Med. Assoc. J. IMAJ 2020, 22, 494–500. [Google Scholar]
- Cheng, L.; Li, H.; Li, L.; Liu, C.; Yan, S.; Chen, H.; Li, Y. Ferritin in the coronavirus disease 2019 (COVID-19): A systematic review and meta-analysis. J. Clin. Lab. Anal. 2020, 34, e23618. [Google Scholar] [CrossRef]
- Levi, M.; Thachil, J.; Iba, T.; Levy, J.H. Coagulation abnormalities and thrombosis in patients with COVID-19. Lancet Haematol. 2020, 7, e438–e440. [Google Scholar] [CrossRef]





| Categories | Respiratory Symptoms | Other Symptoms | ||||
|---|---|---|---|---|---|---|
| Clinical Symptoms | Respiratory Frequency (Time/Minute) | SpO2 (%) | PaO2/FiO2 (mmHg) | Chest X-ray or CT Scan | ||
| Mild | No difficulty breathing | <20 | >96 | - | Normal or minimal damage on chest X-ray | Self-service |
| Moderate | Shortness of breath exertion | 20–25 | 94–96 | - | Slow or fast pulse, normal blood pressure | |
| Severe | Shortness of breath | >25 | <94 | 200–300 | Lesions more than 50% | |
| Critical | Decreased consciousness or in coma; labored or irregular breathing; respiratory acidosis | <10 or >30 | <200 | Lesions more than 50% | Little urine or anuria; lactate > 2 mmol/L; tachycardia, possibly bradycardia, and low blood pressure. | |
| Characteristic Variable | Overall, n = 3102 | Unvaccinated Group n = 1342 | 1 Dose of Vaccine Group n = 143 | 2 Doses of Vaccine Group n = 1363 | 3 Doses of Vaccine Group n = 254 | p-Value * |
|---|---|---|---|---|---|---|
| Age Category, N (%) | <0.001 | |||||
| 0–18 | 222 (7.2) | 200 (15) | 2 (1.4) | 20 (1.5) | 0 (0) | |
| 19–49 | 1476 (48) | 462 (34) | 44 (31) | 870 (64) | 100 (39) | |
| 50–69 | 668 (22) | 245 (18) | 37 (26) | 290 (21) | 96 (38) | |
| 70+ | 736 (24) | 435 (32) | 60 (42) | 183 (13) | 58 (23) | |
| Sex, N (%) | ||||||
| Male | 1475 (48) | 618 (46) | 67 (47) | 661 (48) | 129 (51) | 0.4 |
| Female | 1627 (52) | 724 (54) | 76 (53) | 702 (52) | 125 (49) | |
| Comorbidities, N (%) | ||||||
| 0 | 1966 (63) | 781 (58) | 68 (48) | 996 (73) | 121 (48) | |
| 1–3 | 1107 (36) | 539 (40) | 74 (52) | 364 (27) | 130 (51) | |
| 4–11 | 29 (0.9) | 22 (1.6) | 1 (0.7) | 3 (0.2) | 3 (1.2) | |
| Diabetes, N (%) | 469 (15) | 236 (18) | 36 (25) | 147 (11) | 50 (20) | <0.001 |
| Hypertension, N (%) | 700 (23) | 352 (26) | 49 (34) | 221 (16) | 78 (31) | <0.001 |
| Chronic kidney disease, N (%) | 139 (4.5) | 82 (6.1) | 9 (6.3) | 29 (2.1) | 19 (7.5) | <0.001 |
| COPD 1, N (%) | 42 (1.4) | 20 (1.5) | 3 (2.1) | 11 (0.8) | 8 (3.1) | 0.016 |
| Cancer, N (%) | 80 (2.6) | 45 (3.4) | 7 (4.9) | 21 (1.5) | 7 (2.8) | 0.004 |
| Heart disease, N (%) | 139 (4.5) | 90 (6.7) | 7 (4.9) | 26 (1.9) | 16 (6.3) | <0.001 |
| Overweight, N (%) | 212 (6.8) | 86 (6.4) | 10 (7.0) | 96 (7.0) | 20 (7.9) | 0.8 |
| Post-surgery, N (%) | 31 (1.0) | 21 (1.6) | 3 (2.1) | 4 (0.3) | 3 (1.2) | 0.001 |
| Digestive diseases | 37 (1.2) | 20 (1.5) | 3 (2.1) | 11 (0.8) | 3 (1.2) | 0.2 |
| Variable | Overall n = 3102 1 | Unvaccinated Group n = 1342 1 | 1 Dose of Vaccine Group n = 143 1 | 2 Doses of Vaccine Group n = 1363 1 | 3 Doses of Vaccine Group n = 254 1 | |
|---|---|---|---|---|---|---|
| First shot | AstraZeneca | 865 (28) | 0 (0) | 63 (44) | 703 (52) | 99 (39) |
| Moderna | 71 (2.3) | 0 (0) | 3 (2.1) | 47 (3.4) | 21 (8.3) | |
| NoVac | 1342 (43) | 1342 (100) | 0 (0) | 0 (0) | 0 (0) | |
| Other | 181 (5.8) | 0 (0) | 30 (21) | 97 (7.1) | 54 (21) | |
| Pfizer | 158 (5.1) | 0 (0) | 36 (25) | 87 (6.4) | 35 (14) | |
| Sinopharm | 9 (0.3) | 0 (0) | 1 (0.7) | 5 (0.4) | 3 (1.2) | |
| Sputnik | 5 (0.2) | 0 (0) | 0 (0) | 4 (0.3) | 1 (0.4) | |
| Verocell | 471 (15) | 0 (0) | 10 (7.0) | 420 (31) | 41 (16) | |
| Second shot | AstraZeneca | 761 (25) | 0 (0) | 0 (0) | 669 (49) | 92 (36) |
| Moderna | 65 (2.1) | 0 (0) | 0 (0) | 45 (3.3) | 20 (7.9) | |
| NoVac | 1485 (48) | 1342 (100) | 143 (100) | 0 (0) | 0 (0) | |
| Other | 164 (5.3) | 0 (0) | 0 (0) | 110 (8.1) | 54 (21) | |
| Pfizer | 155 (5.0) | 0 (0) | 0 (0) | 113 (8.3) | 42 (17) | |
| Sinopharm | 8 (0.3) | 0 (0) | 0 (0) | 5 (0.4) | 3 (1.2) | |
| Sputnik | 5 (0.2) | 0 (0) | 0 (0) | 4 (0.3) | 1 (0.4) | |
| Verocell | 459 (15) | 0 (0) | 0 (0) | 417 (31) | 42 (17) | |
| Third shot | AstraZeneca | 53 (1.7) | 0 (0) | 0 (0) | 0 (0) | 53 (21) |
| Moderna | 16 (0.5) | 0 (0) | 0 (0) | 0 (0) | 16 (6.3) | |
| NoVac | 2848 (92) | 1342 (100) | 143 (100) | 1363 (100) | 0 (0) | |
| Other | 75 (2.4) | 0 (0) | 0 (0) | 0 (0) | 75 (30) | |
| Pfizer | 103 (3.3) | 0 (0) | 0 (0) | 0 (0) | 103 (41) | |
| Sinopharm | 2 (<0.1) | 0 (0) | 0 (0) | 0 (0) | 2 (0.8) | |
| Sputnik | 1 (<0.1) | 0 (0) | 0 (0) | 0 (0) | 1 (0.4) | |
| Verocell | 4 (0.1) | 0 (0) | 0 (0) | 0 (0) | 4 (1.6) | |
| Patient Group by Number of Vaccinations | |||||
|---|---|---|---|---|---|
| Variable # | Unvaccinated Group n = 1342 | 1 Dose of Vaccine Group n = 143 | 2 Doses of Vaccine Group n = 1363 | 3 Doses of Vaccine Group n = 254 | p Value * |
| Urea (mmol/L) | 5.6 (4.0–8.8) | 5.7 (4.0–8.4) | 4.6 (3.7–5.8) | 5.2 (4.1–7.2) | <0.001 |
| Creatinine (µmol/L) | 70 (56–94) | 72 (57–92) | 74 (62–89) | 72 (60–93) | 0.076 |
| AST (GOT) (U/L) | 35 (26–54) | 40 (27–68) | 26 (21–35) | 26 (21–43) | <0.001 |
| ALT (GPT) (U/L) | 23 (15–38) | 30 (17–49) | 22 (15–36) | 20 (15–38) | <0.001 |
| Glucose (mmol/L) | 6.7 (5.4–9.4) | 7.0 (5.8–10.5) | 5.8 (5.0–7.3) | 6.8 (5.3–8.9) | <0.001 |
| Albumin (g/L) | 31 (27–36) | 33 (28–37) | 34 (30–38) | 35 (31–40) | <0.001 |
| CRP hs (mg/dL) | 3 (1–9) | 3 (1–7) | 3 (1–8) | 2 (1–7) | 0.064 |
| Total calcium (mmol/L) | 2.11 (2.04–2.21) | 2.12 (2.01–2.31) | 2.12 (2.09–2.13) | 2.16 (1.98–2.20) | >0.9 |
| Ion Natri (mmol/L) | 135.5 (133.0–138.0) | 136.0 (133.0–138.0) | 137.0 (134.0–138.5) | 136.0 (133.0–138.0) | <0.001 |
| Ion Kali (mmol/L) | 3.90 (3.60–4.30) | 3.90 (3.60–4.20) | 3.80 (3.50–4.10) | 3.90 (3.60–4.20) | <0.001 |
| Ferritin (ng/mL) | 548 (263–918) | 463 (198–807) | 347 (143–686) | 329 (187–643) | <0.001 |
| Pro-calcitonin (ng/mL) | 0 (0–2) | 0 (0–0) | 0 (0–1) | 1 (0–6) | 0.078 |
| Troponin T (ng/L) | 22 (12–54) | 22 (12–37) | 11 (6–18) | 11 (5–31) | < 0.001 |
| ProBNP (pg/mL) | 606 (215–1378) | 681 (144–1542) | 148 (47–438) | 206 (64–484) | <0.001 |
| Arterial blood pH | 7.42 (7.36–7.45) | 7.43 (7.39–7.46) | 7.42 (7.36–7.44) | 7.40 (7.37–7.44) | 0.2 |
| pCO2 (mmHg) | 35 (31–41) | 35 (29–39) | 36 (32–42) | 36 (32–39) | 0.2 |
| pO2 (mmHg) | 83 (65–120) | 86 (64–104) | 88 (67–122) | 77 (64–91) | 0.2 |
| Red blood cells (T/L) | 4.51 (4.06–4.96) | 4.55 (4.12–4.97) | 4.72 (4.35–5.13) | 4.49 (4.00–5.01) | <0.001 |
| Hemoglobin (g/L) | 131 (117–142) | 133 (122–146) | 139 (128–150) | 132 (121–146) | <0.001 |
| Hematocrit (HCT) (L/L) | 0.40 (0.36–0.44) | 0.41 (0.37–0.45) | 0.42 (0.39–0.46) | 0.40 (0.37–0.45) | <0.001 |
| MCV (fL) | 90 (86–95) | 91 (88–95) | 90 (86–93) | 91 (88–95) | <0.001 |
| MCH (pg) | 29.6 (28.0–31.0) | 30.0 (29.0–31.0) | 30.0 (28.6–31.0) | 30.0 (28.0–31.0) | 0.012 |
| White blood cells (G/L) | 7.0 (5.2–9.6) | 6.9 (5.2–9.2) | 6.3 (4.9–8.4) | 7.5 (5.8–10.2) | <0.001 |
| Lymphocytes (G/L) | 1.01 (0.58–1.59) | 0.91 (0.54–1.47) | 1.30 (0.90–1.80) | 1.10 (0.71–1.69) | <0.001 |
| Platelet (G/L) | 240 (183–311) | 246 (186–326) | 231 (191–289) | 254 (205–317) | 0.049 |
| D-dimer (ng/mL) | 650 (351–1450) | 592 (293–1180) | 326 (194–605) | 391 (238–921) | <0.001 |
| INR index | 1.15 (1.01–1.42) | 1.28 (1.16–1.49) | 1.00 (0.95–1.06) | 1.08 (0.98–1.38) | <0.001 |
| Prothrombin (PT) | 11.80 (11.20–12.40) | 11.30 (11.20–11.80) | 11.40 (11.00–12.00) | 11.55 (11.13–12.00) | <0.001 |
Disclaimer/Publisher’s Note: The statements, opinions and data contained in all publications are solely those of the individual author(s) and contributor(s) and not of MDPI and/or the editor(s). MDPI and/or the editor(s) disclaim responsibility for any injury to people or property resulting from any ideas, methods, instructions or products referred to in the content. |
© 2024 by the authors. Licensee MDPI, Basel, Switzerland. This article is an open access article distributed under the terms and conditions of the Creative Commons Attribution (CC BY) license (https://creativecommons.org/licenses/by/4.0/).
Share and Cite
Nguyen, N.-L.T.; Nguyen, H.T.T.; Le-Quy, V.; To, T.-B.; Tran, H.T.; Nguyen, T.D.; Hoang, Y.; Nguyen, A.-T.; Dam, L.T.P.; Nguyen, N.-L.; et al. The Impact of Vaccination on COVID-19 Outcomes in Vietnam. Diagnostics 2024, 14, 2850. https://doi.org/10.3390/diagnostics14242850
Nguyen N-LT, Nguyen HTT, Le-Quy V, To T-B, Tran HT, Nguyen TD, Hoang Y, Nguyen A-T, Dam LTP, Nguyen N-L, et al. The Impact of Vaccination on COVID-19 Outcomes in Vietnam. Diagnostics. 2024; 14(24):2850. https://doi.org/10.3390/diagnostics14242850
Chicago/Turabian StyleNguyen, Ngoc-Lan Thi, Hien Thi Thu Nguyen, Vang Le-Quy, Thu-Ba To, Huy Thinh Tran, Tuan Duc Nguyen, Yen Hoang, Anh-Thu Nguyen, Lan Thi Phuong Dam, Nhat-Linh Nguyen, and et al. 2024. "The Impact of Vaccination on COVID-19 Outcomes in Vietnam" Diagnostics 14, no. 24: 2850. https://doi.org/10.3390/diagnostics14242850
APA StyleNguyen, N.-L. T., Nguyen, H. T. T., Le-Quy, V., To, T.-B., Tran, H. T., Nguyen, T. D., Hoang, Y., Nguyen, A.-T., Dam, L. T. P., Nguyen, N.-L., Dinh-Xuan, A. T., & Ta, T.-V. (2024). The Impact of Vaccination on COVID-19 Outcomes in Vietnam. Diagnostics, 14(24), 2850. https://doi.org/10.3390/diagnostics14242850

