Deep Learning-Based Object Detection Strategies for Disease Detection and Localization in Chest X-Ray Images
Abstract
1. Introduction
2. Related Work
2.1. Classification
2.2. Object Detection
2.3. Few-Shot Object Detection (FSOD)
2.4. Deep Learning-Based Object Detection for CXR Images
3. Materials
3.1. Dataset
3.2. Data Preprocessing
| Algorithm 1 Pseudocode of the intensity log transformation |
| Input: |
| for do |
| if , then |
| if , then |
| end for |
| Output: |
| Algorithm 2 Pseudocode of the simplest color balance |
| Input: |
| for do |
| if , then |
| if , then |
| end for |
| Output: |
3.3. Experimental Data Setups
4. Methods
4.1. Scheme 1: Object Detection
4.2. Scheme 2: Binary Classification + Object Detection
4.3. Scheme 3: Few-Shot Object Detection
4.4. Scheme 4: Binary Classification + Few-Shot Object Detection
4.5. Evaluation Metrics
5. Results
5.1. Binary Classification
5.2. Comparison of Analytic Schemes
5.2.1. Results on mAP
5.2.2. Results for Base and Novel mAP
5.2.3. Disease-Wise AP Results
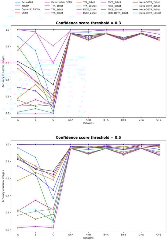
5.2.4. Accuracy of Normal Images
6. Discussion
7. Conclusions
Supplementary Materials
Author Contributions
Funding
Institutional Review Board Statement
Informed Consent Statement
Data Availability Statement
Conflicts of Interest
References
- Ali, S.; Hussain, A.; Bhattacharjee, S.; Athar, A.; Abdullah; Kim, H.-C. Detection of COVID-19 in X-ray images using densely connected squeeze convolutional neural network (DCSCNN): Focusing on interpretability and explainability of the black box model. Sensors 2022, 22, 9983. [Google Scholar] [CrossRef] [PubMed]
- Singh, T.; Mishra, S.; Kalra, R.; Satakshi; Kumar, M.; Kim, T. COVID-19 severity detection using chest X-ray segmentation and deep learning. Sci. Rep. 2024, 14, 19846. [Google Scholar] [CrossRef] [PubMed]
- Garstka, J.; Strzelecki, M. Pneumonia detection in X-ray chest images based on convolutional neural networks and data augmentation methods. In Proceedings of the Signal Processing: Algorithms, Architectures, Arrangements, and Applications (SPA), Poznan, Poland, 23–25 September 2020; pp. 18–23. [Google Scholar]
- Rana, S.; Hosen, M.J.; Tonni, T.J.; Rony, M.A.H.; Fatema, K.; Hasan, M.Z.; Rahman, M.T.; Khan, R.T.; Jan, T.; Whaiduzzaman, M. DeepChestGNN: A comprehensive framework for enhanced lung disease identification through advanced graphical deep features. Sensors 2024, 24, 2830. [Google Scholar] [CrossRef] [PubMed]
- Javed, R.; Abbas, T.; Khan, A.H.; Daud, A.; Bukhari, A.; Alharbey, R. Deep learning for lungs cancer detection: A review. Artif. Intell. Rev. 2024, 57, 197. [Google Scholar] [CrossRef]
- Xu, Z.; Wang, T.; Skidmore, A.K.; Lamprey, R. A review of deep learning techniques for detecting animals in aerial and satellite images. Int. J. Appl. Earth Obs. Geoinf. 2024, 128, 103732. [Google Scholar] [CrossRef]
- Li, Y.; Wang, H.; Dang, L.M.; Nguyen, T.N.; Han, D.; Lee, A.; Jang, I. A deep learning-based hybrid framework for object detection and recognition in autonomous driving. IEEE Access 2020, 8, 194228–194239. [Google Scholar] [CrossRef]
- Zheng, X.; Zheng, S.; Kong, Y.; Chen, J. Recent advances in surface defect inspection of industrial products using deep learning techniques. Int. J. Adv. Manuf. Technol. 2021, 113, 35–58. [Google Scholar] [CrossRef]
- Chandan, G.; Jain, A.; Jain, H.; Mohana. Real time object detection and tracking using deep learning and OpenCV. In Proceedings of the International Conference on Inventive Research in Computing Applications (ICIRCA), Coimbatore, India, 11–12 July 2018; pp. 1305–1308. [Google Scholar]
- Sethi, S.; Kathuria, M.; Kaushik, T. Face mask detection using deep learning: An approach to reduce risk of Coronavirus spread. J. Biomed. Inform. 2021, 120, 103848. [Google Scholar] [CrossRef]
- LeCun, Y.; Bottou, L.; Bengio, Y.; Haffner, P. Gradient-based learning applied to document recognition. Proc. IEEE 1998, 86, 2278–2324. [Google Scholar] [CrossRef]
- Krizhevsky, A.; Sutskever, I.; Hinton, G.E. ImageNet classification with deep convolutional neural networks. Commun. ACM 2017, 60, 84–90. [Google Scholar] [CrossRef]
- Simonyan, K.; Zisserman, A. Very deep convolutional networks for largescale image recognition. arXiv 2014, arXiv:1409.1556. [Google Scholar]
- Szegedy, C.; Liu, W.; Jia, Y.; Sermanet, P.; Reed, S.; Anguelov, D.; Erhan, D.; Vanhoucke, V.; Rabinovich, A. Going deeper with convolutions. In Proceedings of the IEEE Conference on Computer Vision and Pattern Recognition (CVPR), Boston, MA, USA, 7–12 June 2015; pp. 1–9. [Google Scholar]
- He, K.; Zhang, X.; Ren, S.; Sun, J. Deep residual learning for image recognition. arXiv 2015, arXiv:1512.03385. [Google Scholar]
- Huang, G.; Liu, Z.; van der Maaten, L.; Weinberger, K.Q. Densely connected convolutional networks. arXiv 2016, arXiv:1608.06993. [Google Scholar]
- Vaswani, A.; Shazeer, N.; Parmar, N.; Uszkoreit, J.; Jones, L.; Gomez, A.N.; Kaiser, L.; Polosukhin, I. Attention is all you need. arXiv 2017, arXiv:1706.03762. [Google Scholar]
- Redmon, J.; Divvala, S.; Girshick, R.; Farhadi, A. You only look once: Unified, realtime object detection. In Proceedings of the IEEE Conference on Computer Vision and Pattern Recognition (CVPR), Las Vegas, NV, USA, 27–30 June 2016; pp. 779–788. [Google Scholar]
- Redmon, J.; Farhadi, A. YOLO9000: Better, faster, stronger. arXiv 2016, arXiv:1612.08242. [Google Scholar]
- Redmon, J.; Farhadi, A. YOLOV3: An incremental improvement. arXiv 2018, arXiv:1804.02767. [Google Scholar]
- Liu, W.; Anguelov, D.; Erhan, D.; Szegedy, C.; Reed, S.; Fu, C.-Y.; Berg, A.C. SSD: Single shot multibox detector. In Computer Vision-ECCV 2016; Leibe, B., Matas, J., Sebe, N., Welling, M., Eds.; Lecture Notes in Computer Science; Springer International Publishing: Cham, Switzerland, 2016; Volume 9905, pp. 21–37. [Google Scholar]
- Lin, T.-Y.; Goyal, P.; Girshick, R.; He, K.; Dollár, P. Focal loss for dense object detection. IEEE Trans. Pattern Anal. Mach. Intell. 2020, 42, 318–327. [Google Scholar] [CrossRef]
- Girshick, R.; Donahue, J.; Darrell, T.; Malik, J. Rich feature hierarchies for accurate object detection and semantic segmentation. In Proceedings of the IEEE Conference on Computer Vision and Pattern Recognition (CVPR), Columbus, OH, USA, 23–28 June 2014; pp. 580–587. [Google Scholar]
- Girshick, R. Fast R-CNN. In Proceedings of the IEEE International Conference on Computer Vision (ICCV), Washington, DC, USA, 7–13 December 2015; pp. 1440–1448. [Google Scholar]
- Ren, S.; He, K.; Girshick, R.; Sun, J. Faster R-CNN: Towards real-time object detection with region proposal networks. IEEE Trans. Pattern Anal. Mach. Intell. 2017, 39, 1137–1149. [Google Scholar] [CrossRef]
- Carion, N.; Massa, F.; Synnaeve, G.; Usunier, N.; Kirillov, A.; Zagoruyko, S. End-to-end object detection with transformers. In Computer Vision-ECCV 2020, 16th European Conference, Glasgow, UK, 23–28 August 2020; Proceedings, Part I. Springer: Cham, Switzerland, 2020; pp. 213–229. [Google Scholar]
- Zhu, X.; Su, W.; Lu, L.; Li, B.; Wang, X.; Dai, J. Deformable DETR: Deformable transformers for end-to-end object detection. arXiv 2020, arXiv:2010.04159. [Google Scholar]
- Li, Z.; Wang, C.; Han, M.; Xue, Y.; Wei, W.; Li, L.-J.; Li, F.-F. Thoracic disease identification and localization with limited supervision. In Proceedings of the IEEE/CVF Conference on Computer Vision and Pattern Recognition, Salt Lake City, UT, USA, 18–23 June 2018; pp. 8290–8299. [Google Scholar]
- Nguyen, N.H.; Nguyen, H.Q.; Nguyen, N.T.; Nguyen, T.V.; Pham, H.H.; Nguyen, T.N.-M. Deployment and validation of an AI system for detecting abnormal chest radiographs in clinical settings. Front. Digit. Health 2022, 4, 890759. [Google Scholar] [CrossRef]
- Alaskar, H.; Hussain, A.; Almaslukh, B.; Vaiyapuri, T.; Sbai, Z.; Dubey, A.K. Deep learning approaches for automatic localization in medical images. Comput. Intell. Neurosci. 2022, 2022, 6347307. [Google Scholar] [CrossRef] [PubMed]
- Lin, T.Y.; Maire, M.; Belongie, S.; Bourdev, L.; Girshick, R.; Hays, J.; Perona, P.; Ramanan, D.; Zitnick, C.L.; Dollár, P. Microsoft COCO: Common objects in context. arXiv 2014, arXiv:1405.0312. [Google Scholar]
- Kang, B.; Liu, Z.; Wang, X.; Yu, F.; Feng, J.; Darrell, T. Few-shot object detection via feature reweighting. In Proceedings of the IEEE International Conference on Computer Vision (ICCV), Seoul, Republic of Korea, 27 October–2 November 2019; pp. 2419–2428. [Google Scholar]
- Yan, X.; Chen, Z.; Xu, A.; Wang, X.; Liang, X.; Lin, L. Meta R-CNN: Towards general solver for instance-level low-shot learning. In Proceedings of the IEEE International Conference on Computer Vision (ICCV), Seoul, Republic of Korea, 27 October–2 November 2019; pp. 9577–9586. [Google Scholar]
- Huang, G.; Laradji, I.; Vazquez, D.; Lacoste-Julien, S.; Rodriguez, P. A survey of self-supervised and few-shot object detection. IEEE Trans. Pattern Anal. Mach. Intell. 2023, 45, 4071–4089. [Google Scholar] [CrossRef] [PubMed]
- Tan, M.; Le, Q. EfficientNet: Rethinking model scaling for convolutional neural networks. In Proceedings of the 36th International Conference on Machine Learning, Long Beach, CA, USA, 9–15 June 2019; pp. 6105–6114. [Google Scholar]
- Lin, T.-Y.; Dollár, P.; Girshick, R.; He, K.; Hariharan, B.; Belongie, S. Feature pyramid networks for object detection. In Proceedings of the IEEE Conference on Computer Vision and Pattern Recognition (CVPR), Honolulu, HI, USA, 21–26 July 2017; pp. 936–944. [Google Scholar]
- Ge, Z.; Liu, S.; Wang, F.; Li, Z.; Sun, J. YOLOX: Exceeding YOLO series in 2021. arXiv 2021, arXiv:2107.08430. [Google Scholar]
- Zhang, H.; Chang, H.; Ma, B.; Wang, N.; Chen, X. Dynamic R-CNN: Towards high quality object detection via dynamic training. arXiv 2020, arXiv:2004.06002. [Google Scholar]
- Wang, X.; Huang, T.E.; Darrell, T.; Gonzalez, J.E.; Yu, F. Frustratingly simple few-shot object detection. arXiv 2020, arXiv:2003.06957. [Google Scholar]
- Sun, B.; Li, B.; Cai, S.; Yuan, Y.; Zhang, C. FSCE: Few-shot object detection via contrastive proposal encoding. In Proceedings of the IEEE Conference on Computer Vision and Pattern Recognition (CVPR), Nashville, TN, USA, 20–25 June 2021; pp. 7348–7358. [Google Scholar]
- Zhang, G.; Luo, Z.; Cui, K.; Lu, S.; Xing, E.P. Meta-DETR: Image-level few-shot detection with inter-class correlation exploitation. IEEE Trans. Pattern Anal. Mach. Intell. 2023, 45, 12832–12843. [Google Scholar] [CrossRef]
- Santosh, K.C.; Dhar, M.K.; Rajbhandari, R.; Neupane, A. Deep neural network for foreign object detection in chest X-rays. In Proceedings of the IEEE 33rd International Symposium on Computer-Based Medical Systems (CBMS), Rochester, MN, USA, 28–30 July 2020; pp. 538–541. [Google Scholar]
- Kim, Y.G.; Lee, S.M.; Lee, K.H.; Jang, R.; Seo, J.B.; Kim, N. Optimal matrix size of chest radiographs for computer-aided detection on lung nodule or mass with deep learning. Eur. Radiol. 2020, 30, 4943–4951. [Google Scholar] [CrossRef]
- Wang, S.; Wang, G.; Xia, Y.; Wu, Q.; Fan, X.; Chen, X.; He, M.; Xiao, J.; Yang, L.; Liu, Y.; et al. A deep-learning-based framework for identifying and localizing multiple abnormalities and assessing cardiomegaly in chest X-ray. Nat. Commun. 2024, 15, 1347. [Google Scholar]
- Çallı, E.; Sogancioglu, E.; van Ginneken, B.; van Leeuwen, K.G.; Murphy, K. Deep learning for chest X-ray analysis: A survey. Med. Image Anal. 2021, 72, 102125. [Google Scholar] [CrossRef]
- Nguyen, H.Q.; Lam, K.; Le, L.T.; Pham, H.H.; Tran, D.Q.; Nguyen, D.B.; Le, D.D.; Pham, C.M.; Tong, H.T.T.; Dinh, D.H.; et al. VinDr-CXR: An open dataset of chest X-rays with radiologist’s annotations. Sci. Data 2022, 9, 429. [Google Scholar] [CrossRef] [PubMed]
- Behrendt, F.; Bengs, M.; Bhattacharya, D.; Krüger, J.; Roland Opfer, R.; Alexander Schlaefer, A. A systematic approach to deep learning-based nodule detection in chest radiographs. Sci. Rep. 2023, 13, 10120. [Google Scholar] [CrossRef] [PubMed]
- NODE21 Competition. Available online: https://node21.grand-challenge.org/ (accessed on 12 November 2024).
- Wu, J.; Gur, Y.; Karargyris, A.; Syed, A.B.; Boyko, O.; Moradi, M. Automatic bounding box annotation of chest X-ray data for localization of abnormalities. In Proceedings of the IEEE 17th International Symposium on Biomedical Imaging (ISBI), Iowa City, IA, USA, 3–7 April 2020; pp. 799–803. [Google Scholar]
- Zhao, J. CrossEAI: Using explainable AI to generate better bounding boxes for chest X-ray images. arXiv 2023, arXiv:2310.19835. [Google Scholar]









| Before | After | |||
|---|---|---|---|---|
| Categories | Count | New Categories | Abbr. | Count |
| Normal | 1212 | Normal | Normal | 1212 |
| Aortic arch atherosclerotic plaque | 28 | Aortic sclerosis (calcification) | AorScl(Cal) | 83 |
| Aortic arch calcification | 16 | |||
| Aortic atherosclerosis | 25 | |||
| Aortic wall calcification | 20 | |||
| Aortic curvature | 65 | Arterial curvature | ArtCur | 93 |
| Thoracic vertebral artery curvature | 28 | |||
| Small pulmonary nodules | 15 | Small pulmonary nodules | SmaPulNod | 15 |
| Shadows of pulmonary nodules | 8 | Shadows of pulmonary nodules | ShaOfPulNod | 8 |
| Tuberculosis | 6 | Tuberculosis | tuberculosis | 6 |
| Pulmonary fibrosis | 30 | Pulmonary fibrosis | PulFib | 30 |
| Increased lung streak | 89 | Increased lung patterns | IncLunPat | 225 |
| Lung field infiltration | 138 | |||
| Obvious hilar | 55 | Obvious hilar | ObvHil | 55 |
| Degenerative joint disease of the thoracic spine | 75 | Spinal lesions | SpiLes | 170 |
| Scoliosis | 100 | |||
| Intercostal pleural thickening | 52 | Intercostal pleural thickening | IntPleThi | 52 |
| Cardiac hypertrophy | 41 | Cardiac hypertrophy | CarHyp | 41 |
| Heart pacemaker placement | 9 | Heart pacemaker placement | HeaPacPla | 9 |
| Categories 1 | Training 2 | Validation | Test | Total 2 |
|---|---|---|---|---|
| Normal | 779/178/0 | 189 | 244 | 1212/611/433 |
| AorScl(Cal) | 52 | 15 | 16 | 83 |
| ArtCur | 57 | 18 | 18 | 93 |
| SmaPulNod | 9 | 3 | 3 | 15 |
| ShaOfPulNod | 6 | 1 | 1 | 8 |
| tuberculosis | 3 | 1 | 2 | 6 |
| PulFib | 20 | 6 | 4 | 30 |
| IncLunPat | 130 | 42 | 53 | 225 |
| ObvHil | 34 | 12 | 9 | 55 |
| SpiLes | 107 | 28 | 35 | 170 |
| IntPleThi | 35 | 8 | 9 | 52 |
| CarHyp | 23 | 9 | 9 | 41 |
| HeaPacPla | 6 | 1 | 2 | 9 |
| Unique images | 1143/542/364 | 297 | 362 | 1802/1201/1023 |
| Architecture | |||
|---|---|---|---|
| CNN-Based | Transformer-Based | ||
| Task | Binary classification | EfficientNet-B3 [35], DenseNet121 [16] | |
| Object detection | RetinaNet [22], YOLOX [37], Dynamic R-CNN [38] | DETR [26], Deformable DETR [27] | |
| Few-shot object detection | TFA [39], FSCE [40] | Meta-DETR [41] | |
| Accuracy | F1-Score | Precision | Recall | |
|---|---|---|---|---|
| EfficientNet-B3 on Dataset A | 88.12% | 85.85% | 84.41% | 88.05% |
| DenseNet121 on Dataset B | 86.74% | 85.34% | 86.44% | 84.56% |
Disclaimer/Publisher’s Note: The statements, opinions and data contained in all publications are solely those of the individual author(s) and contributor(s) and not of MDPI and/or the editor(s). MDPI and/or the editor(s) disclaim responsibility for any injury to people or property resulting from any ideas, methods, instructions or products referred to in the content. |
© 2024 by the authors. Licensee MDPI, Basel, Switzerland. This article is an open access article distributed under the terms and conditions of the Creative Commons Attribution (CC BY) license (https://creativecommons.org/licenses/by/4.0/).
Share and Cite
Cheng, Y.-C.; Hung, Y.-C.; Huang, G.-H.; Chen, T.-B.; Lu, N.-H.; Liu, K.-Y.; Lin, K.-H. Deep Learning-Based Object Detection Strategies for Disease Detection and Localization in Chest X-Ray Images. Diagnostics 2024, 14, 2636. https://doi.org/10.3390/diagnostics14232636
Cheng Y-C, Hung Y-C, Huang G-H, Chen T-B, Lu N-H, Liu K-Y, Lin K-H. Deep Learning-Based Object Detection Strategies for Disease Detection and Localization in Chest X-Ray Images. Diagnostics. 2024; 14(23):2636. https://doi.org/10.3390/diagnostics14232636
Chicago/Turabian StyleCheng, Yi-Ching, Yi-Chieh Hung, Guan-Hua Huang, Tai-Been Chen, Nan-Han Lu, Kuo-Ying Liu, and Kuo-Hsuan Lin. 2024. "Deep Learning-Based Object Detection Strategies for Disease Detection and Localization in Chest X-Ray Images" Diagnostics 14, no. 23: 2636. https://doi.org/10.3390/diagnostics14232636
APA StyleCheng, Y.-C., Hung, Y.-C., Huang, G.-H., Chen, T.-B., Lu, N.-H., Liu, K.-Y., & Lin, K.-H. (2024). Deep Learning-Based Object Detection Strategies for Disease Detection and Localization in Chest X-Ray Images. Diagnostics, 14(23), 2636. https://doi.org/10.3390/diagnostics14232636

