Predicting Mandibular Growth Potential Based on Cervical Vertebral Bone Age Using Lateral Cephalometric Radiographs in a Sample of the Saudi Population
Abstract
1. Introduction
2. Materials and Methods
Statistical Analysis
3. Results
4. Discussion
5. Conclusions
Author Contributions
Funding
Institutional Review Board Statement
Informed Consent Statement
Data Availability Statement
Acknowledgments
Conflicts of Interest
References
- Baccetti, T.; Franchi, L.; McNamara, J.A. The cervical vertebral maturation (CVM) method for the assessment of optimal treatment timing in dentofacial orthopedics. Semin. Orthod. 2005, 11, 119–129. [Google Scholar] [CrossRef]
- Perinetti, G.; Contardo, L.; Gabrieli, P.; Baccetti, T.; Di Lenarda, R. Diagnostic performance of dental maturity for identification of skeletal maturation phase. Eur. J. Orthod. 2012, 34, 487–492. [Google Scholar] [CrossRef] [PubMed][Green Version]
- Gray, S.; Bennani, H.; Kieser, J.A.; Farella, M. Morphometric analysis of cervical vertebrae in relation to mandibular growth. Am. J. Orthod. Dentofac. Orthop. 2016, 149, 92–98. [Google Scholar] [CrossRef]
- Cericato, G.O.; Bittencourt, M.A.; Paranhos, L.R. Validity of the assessment method of skeletal maturation by cervical vertebrae: A systematic review and meta-analysis. Dentomaxillofac. Radiol. 2015, 44, 20140270. [Google Scholar] [CrossRef]
- Szemraj, A.; Wojtaszek-Słomińska, A.; Racka-Pilszak, B. Is the cervical vertebral maturation (CVM) method effective enough to replace the handwrist maturation (HWM) method in determining skeletal maturation?—A systematic review. Eur. J. Radiol. 2018, 102, 125–128. [Google Scholar] [CrossRef]
- Moshfeghi, M.; Rahimi, H.; Rahimi, H.; Nouri, M.; Bagheban, A.A. Predicting mandibular growth increment on the basis of cervical vertebral dimensions in Iranian girls. Prog. Orthod. 2013, 14, 3. [Google Scholar] [CrossRef][Green Version]
- Lucchese, A.; Bondemark, L.; Farronato, M.; Rubini, G.; Gherlone, E.F.; Lo Giudice, A.; Manuelli, M. Efficacy of the Cervical Vertebral Maturation Method: A Systematic Review. Turk. J. Orthod. 2022, 35, 55–66. [Google Scholar] [CrossRef]
- Santiago, R.C.; de Miranda Costa, L.F.; Vitral, R.W.; Fraga, M.R.; Bolognese, A.M.; Maia, L.C. Cervical vertebral maturation as a biologic indicator of skeletal maturity. Angle Orthod. 2012, 82, 1123–1131. [Google Scholar] [CrossRef]
- Lamparski, D.G. Skeletal age assessment utilizing cervical vertebrae. Am. J. Orthod. 1975, 67, 458–459. [Google Scholar] [CrossRef]
- Baccetti, T.; Franchi, L.; McNamara, J.A., Jr. An improved version of the cervical vertebral maturation (CVM) method for the assessment of mandibular growth. Angle Orthod. 2002, 72, 316–323. [Google Scholar] [CrossRef] [PubMed]
- Mito, T.; Sato, K.; Mitani, H. Cervical vertebral bone age in girls. Am. J. Orthod. Dentofac. Orthop. 2002, 122, 380–385. [Google Scholar] [CrossRef] [PubMed]
- Caldas, M.d.P.; Ambrosano, G.M.; Haiter Neto, F. Computer-assisted analysis of cervical vertebral bone age using cephalometric radiographs in Brazilian subjects. Braz. Oral Res. 2010, 24, 120–126. [Google Scholar] [CrossRef] [PubMed]
- Mito, T.; Sato, K.; Mitani, H. Predicting mandibular growth potential with cervical vertebral bone age. Am. J. Orthod. Dentofac. Orthop. 2003, 124, 173–177. [Google Scholar] [CrossRef]
- Caldas, M.d.P.; Ambrosano, G.M.; Haiter Neto, F. New formula to objectively evaluate skeletal maturation using lateral cephalometric radiographs. Braz. Oral Res. 2007, 21, 330–335. [Google Scholar] [CrossRef]
- Alhadlaq, A.M. Prediction of mandibular growth potential using cervical vertebral bone age in Saudi subjects. J. King Saud. Univ. 2010, 22, 1–7. [Google Scholar]
- Verma, S.L.; Tikku, T.; Khanna, R.; Maurya, R.P.; Srivastava, K.; Singh, V. Predictive accuracy of estimating mandibular growth potential by regression equation using cervical vertebral bone age. Natl. J. Maxillofac. Surg. 2021, 12, 25–35. [Google Scholar] [CrossRef] [PubMed]
- Ho, T.T.; Lu, L.M.; Luong, Q.T. Formula for cervical vertebral bone age of Vietnamese people from 7 to 18 years old. J. Int. Soc. Prev. Community Dent. 2022, 12, 49–57. [Google Scholar] [CrossRef] [PubMed]
- Tiro, A.; Nakas, E.; Dzemidzic, V.; Redzepagic, V.L. Growth indicators in orthodontic patients: Cervical bone age vs chronological age. Stomatol. Vjesn. 2013, 2, 3–7. [Google Scholar]
- Chen, F.; Terada, K.; Hanada, K. A special method of predicting mandibular growth potential for Class III malocclusion. Angle Orthod. 2005, 75, 191–195. [Google Scholar] [CrossRef]
- Schoretsaniti, L.; Mitsea, A.; Karayianni, K.; Sifakakis, I. Cervical Vertebral Maturation Method: Reproducibility and Efficiency of Chronological Age Estimation. Appl. Sci. 2021, 11, 3160. [Google Scholar] [CrossRef]
- Alhadlaq, A.M.; Al-Shayea, E.I. New method for evaluation of cervical vertebral maturation based on angular measurements. Saudi Med. J. 2013, 34, 388–394. [Google Scholar] [PubMed]
- Franchi, L.; Nieri, M.; McNamara, J.A., Jr.; Giuntini, V. Predicting mandibular growth based on CVM stage and gender and with chronological age as a curvilinear variable. Orthod. Craniofac Res. 2021, 24, 414–420. [Google Scholar] [CrossRef] [PubMed]
- Baidas, L. Correlation between cervical vertebrae morphology and chronological age in Saudi adolescents. King Saud Univ. J. Dent. Sci. 2012, 3, 21–26. [Google Scholar] [CrossRef]
- Mellion, Z.J.; Behrents, R.G.; Johnston, L.E., Jr. The pattern of facial skeletal growth and its relationship to various common indexes of maturation. Am. J. Orthod. Dentofac. Orthop. 2013, 143, 845–854. [Google Scholar] [CrossRef]
- Chandrasekar, R.; Chandrasekhar, S.; Sundari, K.K.S.; Ravi, P. Development and validation of a formula for objective assessment of cervical vertebral bone age. Prog. Orthod. 2020, 21, 38. [Google Scholar] [CrossRef]
- Paddenberg, E.; Dees, A.; Proff, P.; Kirschneck, C. Individual dental and skeletal age assessment according to Demirjian and Baccetti: Updated norm values for Central-European patients. J. Orofac. Orthop. 2024, 85, 199–212. [Google Scholar] [CrossRef] [PubMed]
- Hassel, B.; Farman, A.G. Skeletal maturation evaluation using cervical vertebrae. Am. J. Orthod. Dentofac. Orthop. 1995, 107, 58–66. [Google Scholar] [CrossRef]
- Alhadlaq, A.; Hashim, H.; Al-Shalan, T.; Al-Hawwas, A.; Al-Mutairi, N.; Al-Zahrani, T. Association between chronological and skeletal ages among a sample of Saudi male children. Saudi Dent. J. 2007, 19, 1–7. [Google Scholar]
- Ulijaszek, S. The international growth standard for children and adolescents project: Environmental influences on preadolescent and adolescent growth in weight and height. FNB 2007, 27, S279–94. [Google Scholar] [CrossRef]
- Ochoa, B.K.; Nanda, R.S. Comparison of maxillary and mandibular growth. Am. J. Orthod. Dentofac. Orthop. 2004, 125, 148–159. [Google Scholar] [CrossRef]
- Schudy, F.F. The rotation of the mandible resulting from growth: Its implications in orthodontic treatment. Angle Orthod. 1965, 35, 36–50. [Google Scholar] [CrossRef]
- Zakhar, G.; Hazime, S.; Eckert, G.; Wong, A.; Badirli, S.; Turkkahraman, H. Prediction of pubertal mandibular growth in males with class II malocclusion by utilizing machine learning. Diagnostics 2023, 13, 2713. [Google Scholar] [CrossRef] [PubMed]
- Jeelani, W.; Fida, M.; Shaikh, A. The duration of pubertal growth peak among three skeletal classes. Dent. Press J. Orthod. 2016, 21, 67–74. [Google Scholar] [CrossRef]



| Groups | Subgroup | Chronological Age (years) | CVB Age (years) | ||||
|---|---|---|---|---|---|---|---|
| Mean ± SD | 95% CI for Mean | Mean ± SD | 95% CI for Mean | ||||
| Lower Limit | Upper Limit | Lower Limit | Upper Limit | ||||
| Adult Group | Males | 19.07 ± 0.55 | 18.82 | 19.33 | -- | -- | -- |
| Females | 18.97 ± 0.45 | 18.76 | 19.18 | -- | -- | -- | |
| Young Group | Males | 11.31 ± 0.56 | 11.05 | 11.58 | 10.71 ± 0.380 | 10.535 | 10.891 |
| Females | 10.81 ± 0.35 | 10.65 | 11.01 | 11.07 ± 0.42 | 10.875 | 11.277 | |
| Groups | Subgroup | Mandibular Length (Co-Gn) (mm) | Mandibular Growth Potential (mm) | ||||
|---|---|---|---|---|---|---|---|
| Mean ± SD (mm) | 95% CI for Mean | Mean ± SD (mm) | 95% CI for Mean | ||||
| Lower Limit | Upper Limit | Lower Limit | Upper Limit | ||||
| Adult Group | Males | 113.99 ± 1.70 | 113.19 | 114.79 | -- | -- | -- |
| Females | 108.01 ± 1.56 | 1.073 | 1.087 | -- | -- | -- | |
| Young Group | Males | 104.83 ± 1.59 | 104.08 | 105.57 | 9.10 ± 1.05 | 8.61 | 9.59 |
| Females | 100.19 ± 1.50 | 99.48 | 100.89 | 8.11 ± 1.18 | 7.55 | 8.66 | |
| Gender | Groups | Mandibular Growth Potential (mm) Mean ± SD | SEM | p-Value |
|---|---|---|---|---|
| Males (n = 40) | Adult group (actual) | 9.16 ± 0.112 | 0.023 | 0.801 |
| Young group (calculated) | 9.10 ± 1.054 | 0.235 | ||
| Females (n = 40) | Adult group (actual) | 7.82 ± 0.060 | 0.013 | 0.279 |
| Young group (calculated) | 8.11 ± 1.183 | 0.263 |
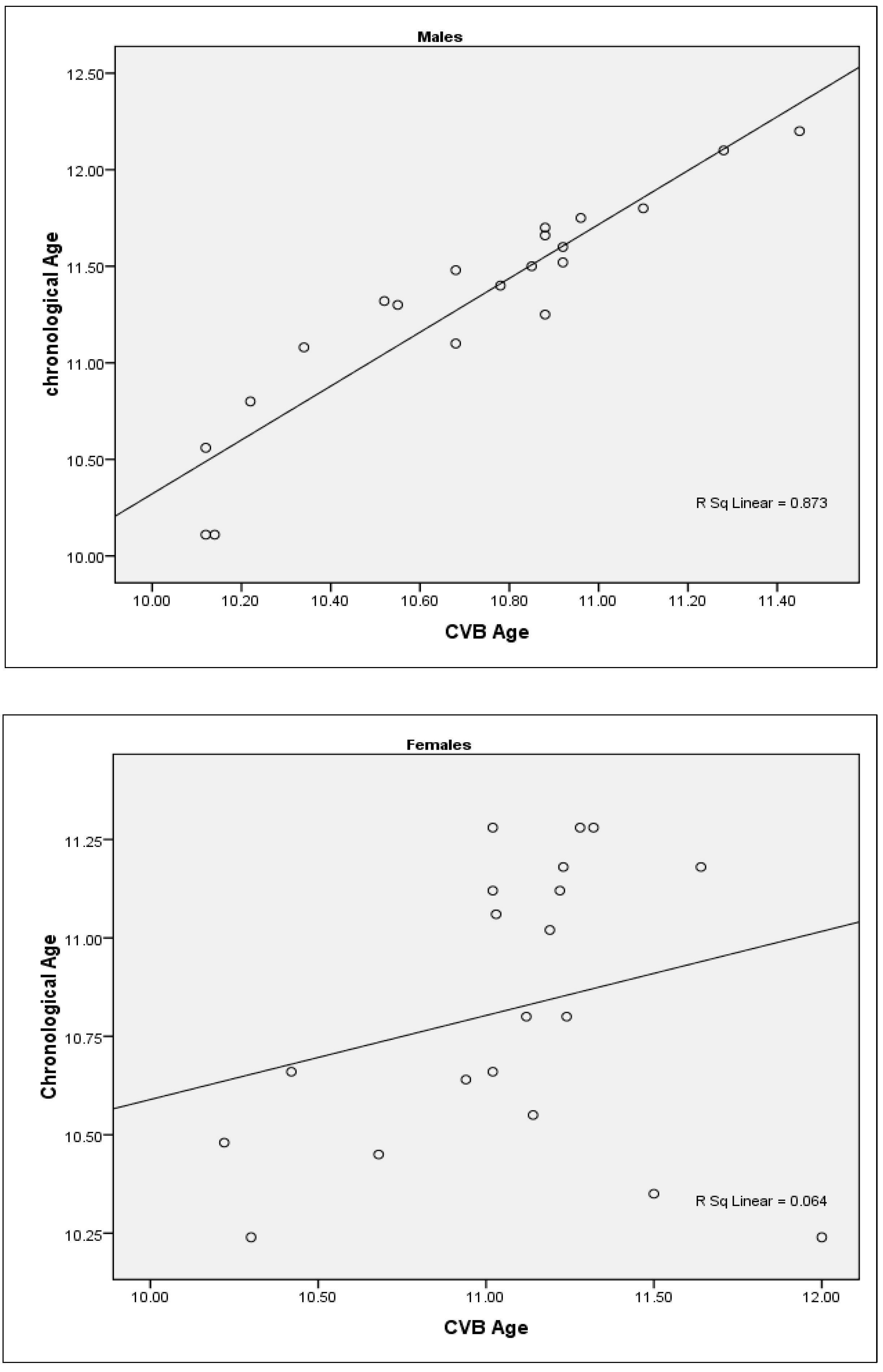
| Young Group (n = 40) | Pearson Correlation (r) | p Value | |
|---|---|---|---|
| Males | CVB-CA | 0.934 | 0.000 |
| Females | CVB-CA | 0.254 | 0.280 * |
Disclaimer/Publisher’s Note: The statements, opinions and data contained in all publications are solely those of the individual author(s) and contributor(s) and not of MDPI and/or the editor(s). MDPI and/or the editor(s) disclaim responsibility for any injury to people or property resulting from any ideas, methods, instructions or products referred to in the content. |
© 2024 by the authors. Licensee MDPI, Basel, Switzerland. This article is an open access article distributed under the terms and conditions of the Creative Commons Attribution (CC BY) license (https://creativecommons.org/licenses/by/4.0/).
Share and Cite
Madiraju, G.S.; Almugla, Y.M. Predicting Mandibular Growth Potential Based on Cervical Vertebral Bone Age Using Lateral Cephalometric Radiographs in a Sample of the Saudi Population. Diagnostics 2024, 14, 2145. https://doi.org/10.3390/diagnostics14192145
Madiraju GS, Almugla YM. Predicting Mandibular Growth Potential Based on Cervical Vertebral Bone Age Using Lateral Cephalometric Radiographs in a Sample of the Saudi Population. Diagnostics. 2024; 14(19):2145. https://doi.org/10.3390/diagnostics14192145
Chicago/Turabian StyleMadiraju, Guna Shekhar, and Yousef Majed Almugla. 2024. "Predicting Mandibular Growth Potential Based on Cervical Vertebral Bone Age Using Lateral Cephalometric Radiographs in a Sample of the Saudi Population" Diagnostics 14, no. 19: 2145. https://doi.org/10.3390/diagnostics14192145
APA StyleMadiraju, G. S., & Almugla, Y. M. (2024). Predicting Mandibular Growth Potential Based on Cervical Vertebral Bone Age Using Lateral Cephalometric Radiographs in a Sample of the Saudi Population. Diagnostics, 14(19), 2145. https://doi.org/10.3390/diagnostics14192145
