Associations of Longitudinal Multiparametric MRI Findings and Clinical Outcomes in Intra-Articular Injections for Knee Osteoarthritis
Abstract
1. Introduction
2. Materials and Methods
2.1. Patients
2.2. Clinical Assessment
2.3. Magnetic Resonance Imaging
2.4. Image Analysis
2.4.1. Semiquantitative Morphologic Assessment
2.4.2. T1ρ and T2 Measurement
2.4.3. Cartilage Thickness and Volume Quantitative Assessment
2.5. Statistical Analysis
3. Results
3.1. Correlations between Demographic Factors and Changes in Clinical Outcome
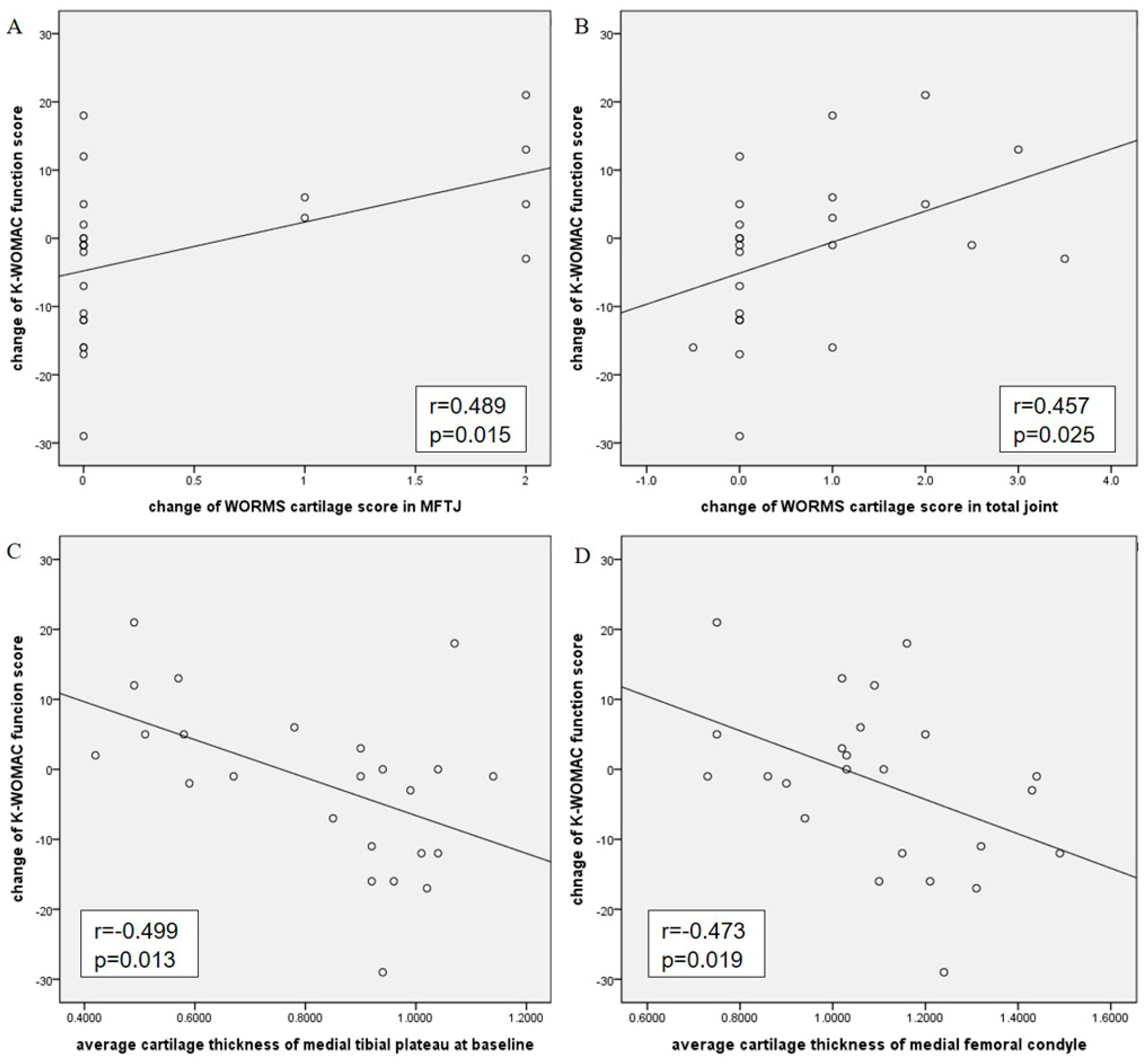
3.2. Correlations of Changes in WORMS Scores, T1ρ and T2 Values, and Average Thickness and Volume of Cartilage with Changes in Clinical Outcome
4. Discussion
5. Conclusions
Author Contributions
Funding
Institutional Review Board Statement
Informed Consent Statement
Data Availability Statement
Acknowledgments
Conflicts of Interest
References
- Cope, P.J.; Ourradi, K.; Li, Y.; Sharif, M. Models of osteoarthritis: The good, the bad and the promising. Osteoarthr. Cartil. 2019, 27, 230–239. [Google Scholar] [CrossRef]
- Cucchiarini, M.; de Girolamo, L.; Filardo, G.; Oliveira, J.M.; Orth, P.; Pape, D.; Reboul, P. Basic science of osteoarthritis. J. Exp. Orthop. 2016, 3, 22. [Google Scholar] [CrossRef]
- Kellgren, J.H.; Lawrence, J.S. Radiological assessment of osteo-arthrosis. Ann. Rheum. Dis. 1957, 16, 494–502. [Google Scholar] [CrossRef]
- Hunter, D.J.; Losina, E.; Guermazi, A.; Burstein, D.; Lassere, M.N.; Kraus, V. A pathway and approach to biomarker validation and qualification for osteoarthritis clinical trials. Curr. Drug Targets 2010, 11, 536–545. [Google Scholar] [CrossRef]
- Roemer, F.W.; Demehri, S.; Omoumi, P.; Link, T.M.; Kijowski, R.; Saarakkala, S.; Crema, M.D.; Guermazi, A. State of the Art: Imaging of Osteoarthritis-Revisited 2020. Radiology 2020, 296, 5–21. [Google Scholar] [CrossRef]
- Pelletier, J.P.; Cooper, C.; Peterfy, C.; Reginster, J.Y.; Brandi, M.L.; Bruyère, O.; Chapurlat, R.; Cicuttini, F.; Conaghan, P.G.; Doherty, M.; et al. What is the predictive value of MRI for the occurrence of knee replacement surgery in knee osteoarthritis? Ann. Rheum. Dis. 2013, 72, 1594–1604. [Google Scholar] [CrossRef]
- Conaghan, P.G.; Hunter, D.J.; Maillefert, J.F.; Reichmann, W.M.; Losina, E. Summary and recommendations of the OARSI FDA osteoarthritis Assessment of Structural Change Working Group. Osteoarthr. Cartil. 2011, 19, 606–610. [Google Scholar] [CrossRef]
- Hunter, D.J.; Collins, J.E.; Deveza, L.; Hoffmann, S.C.; Kraus, V.B. Biomarkers in osteoarthritis: Current status and outlook—The FNIH Biomarkers Consortium PROGRESS OA study. Skelet. Radiol. 2023, 52, 2323–2339. [Google Scholar] [CrossRef]
- Eckstein, F.; Boudreau, R.M.; Wang, Z.; Hannon, M.J.; Wirth, W.; Cotofana, S.; Guermazi, A.; Roemer, F.; Nevitt, M.; John, M.R.; et al. Trajectory of cartilage loss within 4 years of knee replacement--a nested case-control study from the osteoarthritis initiative. Osteoarthr. Cartil. 2014, 22, 1542–1549. [Google Scholar] [CrossRef]
- Kornaat, P.R.; Kloppenburg, M.; Sharma, R.; Botha-Scheepers, S.A.; Le Graverand, M.P.; Coene, L.N.; Bloem, J.L.; Watt, I. Bone marrow edema-like lesions change in volume in the majority of patients with osteoarthritis; associations with clinical features. Eur. Radiol. 2007, 17, 3073–3078. [Google Scholar] [CrossRef]
- Phan, C.M.; Link, T.M.; Blumenkrantz, G.; Dunn, T.C.; Ries, M.D.; Steinbach, L.S.; Majumdar, S. MR imaging findings in the follow-up of patients with different stages of knee osteoarthritis and the correlation with clinical symptoms. Eur. Radiol. 2006, 16, 608–618. [Google Scholar] [CrossRef]
- Zhang, Y.; Nevitt, M.; Niu, J.; Lewis, C.; Torner, J.; Guermazi, A.; Roemer, F.; McCulloch, C.; Felson, D.T. Fluctuation of knee pain and changes in bone marrow lesions, effusions, and synovitis on magnetic resonance imaging. Arthritis Rheum. 2011, 63, 691–699. [Google Scholar] [CrossRef]
- Magnusson, K.; Turkiewicz, A.; Kumm, J.; Zhang, F.; Englund, M. Relationship Between Magnetic Resonance Imaging Features and Knee Pain Over Six Years in Knees Without Radiographic Osteoarthritis at Baseline. Arthritis Care Res. 2021, 73, 1659–1666. [Google Scholar] [CrossRef]
- Link, T.M. Correlations between joint morphology and pain and between magnetic resonance imaging, histology, and micro-computed tomography. J. Bone Jt. Surg. Am. 2009, 91 (Suppl. 1), 30–32. [Google Scholar] [CrossRef][Green Version]
- Bae, S.C.; Lee, H.S.; Yun, H.R.; Kim, T.H.; Yoo, D.H.; Kim, S.Y. Cross-cultural adaptation and validation of Korean Western Ontario and McMaster Universities (WOMAC) and Lequesne osteoarthritis indices for clinical research. Osteoarthr. Cartil. 2001, 9, 746–750. [Google Scholar] [CrossRef]
- Seo, S.S.; Chung, K.C.; Kim, Y.B. Assessment of validity, reliability and responsiveness of Korean knee injury and osteoarthritis outcome score (KOOS) for the knee injury. J. Korean Orthop. Assoc. 2006, 41, 441–453. [Google Scholar] [CrossRef]
- Bonaretti, S.; Gold, G.E.; Beaupre, G.S. pyKNEEr: An image analysis workflow for open and reproducible research on femoral knee cartilage. PLoS ONE 2020, 15, e0226501. [Google Scholar] [CrossRef]
- Choi, B.; Lee, C.; Yu, J.W. Distinctive role of inflammation in tissue repair and regeneration. Arch. Pharm. Res. 2023, 46, 78–89. [Google Scholar] [CrossRef]
- Sayre, E.C.; Guermazi, A.; Esdaile, J.M.; Kopec, J.A.; Singer, J.; Thorne, A.; Nicolaou, S.; Cibere, J. Associations between MRI features versus knee pain severity and progression: Data from the Vancouver Longitudinal Study of Early Knee Osteoarthritis. PLoS ONE 2017, 12, e0176833. [Google Scholar] [CrossRef]
- Eckstein, F.; Collins, J.E.; Nevitt, M.C.; Lynch, J.A.; Kraus, V.B.; Katz, J.N.; Losina, E.; Wirth, W.; Guermazi, A.; Roemer, F.W.; et al. Brief Report: Cartilage Thickness Change as an Imaging Biomarker of Knee Osteoarthritis Progression: Data From the Foundation for the National Institutes of Health Osteoarthritis Biomarkers Consortium. Arthritis Rheumatol. 2015, 67, 3184–3189. [Google Scholar] [CrossRef]
- Hill, C.L.; Hunter, D.J.; Niu, J.; Clancy, M.; Guermazi, A.; Genant, H.; Gale, D.; Grainger, A.; Conaghan, P.; Felson, D.T. Synovitis detected on magnetic resonance imaging and its relation to pain and cartilage loss in knee osteoarthritis. Ann. Rheum. Dis. 2007, 66, 1599–1603. [Google Scholar] [CrossRef] [PubMed]
- Hunter, D.J.; Guermazi, A.; Lo, G.H.; Grainger, A.J.; Conaghan, P.G.; Boudreau, R.M.; Roemer, F.W. Evolution of semi-quantitative whole joint assessment of knee OA: MOAKS (MRI Osteoarthritis Knee Score). Osteoarthr. Cartil. 2011, 19, 990–1002. [Google Scholar] [CrossRef] [PubMed]
- Wildi, L.M.; Martel-Pelletier, J.; Abram, F.; Moser, T.; Raynauld, J.P.; Pelletier, J.P. Assessment of cartilage changes over time in knee osteoarthritis disease-modifying osteoarthritis drug trials using semiquantitative and quantitative methods: Pros and cons. Arthritis Care Res. 2013, 65, 686–694. [Google Scholar] [CrossRef] [PubMed]
- Reichenbach, S.; Yang, M.; Eckstein, F.; Niu, J.; Hunter, D.J.; McLennan, C.E.; Guermazi, A.; Roemer, F.; Hudelmaier, M.; Aliabadi, P.; et al. Does cartilage volume or thickness distinguish knees with and without mild radiographic osteoarthritis? The Framingham Study. Ann. Rheum. Dis. 2010, 69, 143–149. [Google Scholar] [CrossRef] [PubMed]
- Tsushima, H.; Okazaki, K.; Takayama, Y.; Hatakenaka, M.; Honda, H.; Izawa, T.; Nakashima, Y.; Yamada, H.; Iwamoto, Y. Evaluation of cartilage degradation in arthritis using T1ρ magnetic resonance imaging mapping. Rheumatol. Int. 2012, 32, 2867–2875. [Google Scholar] [CrossRef]
- Keenan, K.E.; Besier, T.F.; Pauly, J.M.; Han, E.; Rosenberg, J.; Smith, R.L.; Delp, S.L.; Beaupre, G.S.; Gold, G.E. Prediction of glycosaminoglycan content in human cartilage by age, T1ρ and T2 MRI. Osteoarthr. Cartil. 2011, 19, 171–179. [Google Scholar] [CrossRef]
- Waldschmidt, J.G.; Rilling, R.J.; Kajdacsy-Balla, A.A.; Boynton, M.D.; Erickson, S.J. In vitro and in vivo MR imaging of hyaline cartilage: Zonal anatomy, imaging pitfalls, and pathologic conditions. Radiographics 1997, 17, 1387–1402. [Google Scholar] [CrossRef]
- Park, S.; Krishnan, R.; Nicoll, S.B.; Ateshian, G.A. Cartilage interstitial fluid load support in unconfined compression. J. Biomech. 2003, 36, 1785–1796. [Google Scholar] [CrossRef]
- Saarakkala, S.; Julkunen, P.; Kiviranta, P.; Mäkitalo, J.; Jurvelin, J.S.; Korhonen, R.K. Depth-wise progression of osteoarthritis in human articular cartilage: Investigation of composition, structure and biomechanics. Osteoarthr. Cartil. 2010, 18, 73–81. [Google Scholar] [CrossRef]
- Regatte, R.R.; Akella, S.V.; Lonner, J.H.; Kneeland, J.B.; Reddy, R. T1rho relaxation mapping in human osteoarthritis (OA) cartilage: Comparison of T1rho with T2. J. Magn. Reson. Imaging 2006, 23, 547–553. [Google Scholar] [CrossRef]
- Gallo, M.C.; Wyatt, C.; Pedoia, V.; Kumar, D.; Lee, S.; Nardo, L.; Link, T.M.; Souza, R.B.; Majumdar, S. T1ρ and T2 relaxation times are associated with progression of hip osteoarthritis. Osteoarthr. Cartil. 2016, 24, 1399–1407. [Google Scholar] [CrossRef] [PubMed]
- Eckstein, F.; Le Graverand, M.P.; Charles, H.C.; Hunter, D.J.; Kraus, V.B.; Sunyer, T.; Nemirovskyi, O.; Wyman, B.T.; Buck, R. Clinical, radiographic, molecular and MRI-based predictors of cartilage loss in knee osteoarthritis. Ann. Rheum. Dis. 2011, 70, 1223–1230. [Google Scholar] [CrossRef]
- Edd, S.N.; Omoumi, P.; Jolles, B.M.; Favre, J. Longitudinal Femoral Cartilage T2 Relaxation Time and Thickness Changes with Fast Sequential Radiographic Progression of Medial Knee Osteoarthritis-Data from the Osteoarthritis Initiative (OAI). J. Clin. Med. 2021, 10, 1294. [Google Scholar] [CrossRef] [PubMed]
- Li, Z.; Wang, H.; Lu, Y.; Jiang, M.; Chen, Z.; Xi, X.; Ding, X.; Yan, F. Diagnostic value of T1ρ and T2 mapping sequences of 3D fat-suppressed spoiled gradient (FS SPGR-3D) 3.0-T magnetic resonance imaging for osteoarthritis. Medicine 2019, 98, e13834. [Google Scholar] [CrossRef] [PubMed]
- Sakellariou, G.; Conaghan, P.G.; Zhang, W.; Bijlsma, J.W.J.; Boyesen, P.; D’Agostino, M.A.; Doherty, M.; Fodor, D.; Kloppenburg, M.; Miese, F.; et al. EULAR recommendations for the use of imaging in the clinical management of peripheral joint osteoarthritis. Ann. Rheum. Dis. 2017, 76, 1484–1494. [Google Scholar] [CrossRef] [PubMed]
- Bowman, E.N.; Hallock, J.D.; Throckmorton, T.W.; Azar, F.M. Hyaluronic acid injections for osteoarthritis of the knee: Predictors of successful treatment. Int. Orthop. 2018, 42, 733–740. [Google Scholar] [CrossRef] [PubMed]
- Roemer, F.W.; Felson, D.T.; Stefanik, J.J.; Rabasa, G.; Wang, N.; Crema, M.D.; Neogi, T.; Nevitt, M.C.; Torner, J.; Lewis, C.E.; et al. Heterogeneity of cartilage damage in Kellgren and Lawrence grade 2 and 3 knees: The MOST study. Osteoarthr. Cartil. 2022, 30, 714–723. [Google Scholar] [CrossRef]
- Eckstein, F.; Wirth, W.; Nevitt, M.C. Recent advances in osteoarthritis imaging--the osteoarthritis initiative. Nat. Rev. Rheumatol. 2012, 8, 622–630. [Google Scholar] [CrossRef]



| Sagittal 3D, FS, PD-Weighted SPACE 3D | Sagittal 3D True FISP T1rho Mapping | Sagittal 2D MESE T2 Mapping | |
|---|---|---|---|
| Repetition time (ms) | 1000 | 6.3 | 4000.0 |
| Echo time (ms) | 45 | 3.1 | 13.0/26.0/39.0/52.0/65.0 |
| Acquisition matrix | 320 × 320 | 256 × 256 | 256 × 256 |
| Field of view (mm) | 160 × 160 | 160 × 160 | 160 × 160 |
| Slice thickness (mm) | 0.50 | 3.0 | 3.0 |
| In-plane resolution (mm2) | 0.5 × 0.5 | 0.6 × 0.6 | 0.6 × 0.6 |
| Flip angle | 120 (variable flip angle flag) | 10 | 180 |
| Parallel acquisition technique | CAIPIRINHA | - | - |
| Number of slices | 240 | 160 | 160 |
| Echo train length | 38 | 0 | 5 |
| Bandwidth per pixel (Hz) | 390 | 400 | 225 |
| Number of averages | 1 | 1 | 1 |
| Acquisition time | 5 min 9 s | 10 min 55 s | 10 min 46 s |
| The Baseline | 12-Month Follow-Up | p-Value | ||
|---|---|---|---|---|
| K-WOMAC | Pain | 9.667 ± 3.226 | 8.875 ± 2.818 | 0.466 |
| Stiffness | 3.917 ± 1.640 | 3.75 ± 1.359 | 0.748 | |
| Function | 33.792 ± 11.684 | 32 ± 10.384 | 0.582 | |
| KOOS | Pain | 56.025 ± 14.923 | 60.424 ± 15.134 | 0.176 |
| Symptom | 50.75 ± 12.376 | 61.013 ± 15.787 | 0.004 | |
| ADL | 62.363 ± 17.470 | 63.875 ± 17.224 | 0.789 | |
| SPORT | 42.292 ± 22.601 | 44.167 ± 23.344 | 0.789 | |
| QOL | 41.95 ± 21.285 | 41.95 ± 16.000 | 0.941 | |
| The Baseline | 12-Month Follow-Up | p-Value | ||
|---|---|---|---|---|
| WORMS | ||||
| Medial femorotibial joint | Cartilage | 12.5 (8, 18.25) | 12.5 (9, 19.5) | 0.031 |
| Bone marrow abnormality | 1 (0, 2.5) | 2 (0, 3) | n.s. | |
| Bone cysts | 0.5 (0, 1) | 1 (0, 1.5) | n.s. | |
| Bone attrition | 0 (0, 0) | 0 (0, 0) | - | |
| Osteophytes | 3.5 (0, 12.5) | 3.5 (0, 12.5) | - | |
| Meniscal lesion | 4 (1, 5) | 4 (1, 5) | n.s. | |
| Lateral femorotibial joint | Cartilage | 10.75 (4.5, 13.5) | 10.75 (4.5, 13.5) | n.s. |
| Bone marrow abnormality | 0 (0, 1) | 0 (0, 1) | n.s. | |
| Bone cysts | 0 (0, 0) | 0 (0, 0.5) | n.s. | |
| Bone attrition | 0 (0, 0) | 0 (0, 0) | - | |
| Osteophytes | 2 (0, 7) | 2 (0, 7) | n.s. | |
| Meniscal lesion | 1 (0, 1.5) | 1 (0, 1.5) | n.s. | |
| Patellofemoral joint | Cartilage | 8 (4.75, 11.5) | 8 (5, 11.5) | n.s. |
| Bone marrow abnormality | 0 (0, 2) | 0 (0, 1.5) | n.s. | |
| Bone cysts | 1 (0, 1) | 1 (0, 1.5) | n.s. | |
| Bone attrition | 0 (0, 0.5) | 0 (0, 0.5) | - | |
| Osteophytes | 2 (0, 9.5) | 2 (0, 9.5) | - | |
| Subspinous region | Bone marrow abnormality | 0 (0, 1) | 0 (0, 1) | n.s. |
| Bone cysts | 0.5 (0, 1) | 1 (0, 1) | n.s. | |
| Total joint | Cartilage | 32 (20.5, 46.25) | 32.75 (21, 46.75) | 0.002 |
| Bone marrow abnormality | 3 (0, 6) | 2.5 (0.5, 5) | n.s. | |
| Ligament lesions | 1.75 (1, 3) | 1.75 (1, 3) | n.s. | |
| Synovitis | 1 (1, 2) | 1 (1, 2) | n.s. | |
| T1ρ and T2 TRs in the medial femoral condyle | ||||
| T1ρ (ms) | Central | 46.208 (40.542, 60.085) | 41.744 (38.988, 46.809) | 0.015 |
| Posterior | 45.407 (41.294, 51.195) | 47.372 (41.806, 33.994) | n.s. | |
| T2 (ms) | Central | 70.595 (56.062, 74.092) | 68.773 (56.683, 84.347) | n.s. |
| Posterior | 53.937 (47.567, 70.850) | 51.476 (45.866, 58.958) | n.s. | |
| Average cartilage thickness and cartilage volume | ||||
| Medial femoral condyle | Average cartilage thickness (mm) | 1.095 (0.98, 1.225) | 1.065 (0.99, 1.245) | n.s. |
| Volume (mm3) | 2043 (1726.5, 2660.5) | 2173.5 (1869.5, 2530.5) | n.s. | |
| Medial tibial plateau | Average cartilage thickness (mm) | 0.91 (0.585, 1) | 0.83 (0.58, 0.89) | 0.033 |
| Volume (mm3) | 1119.5 (911.5, 1345.5) | 1107 (926.5, 1322.5) | n.s. | |
| ICC | ||
|---|---|---|
| WORMS | ||
| Medial femorotibial joint | Cartilage | 0.948 |
| Bone marrow abnormality | 0.883 | |
| Bone cysts | 0.774 | |
| Bone attrition | 0.456 | |
| Osteophytes | 0.931 | |
| Meniscal lesion | 0.923 | |
| Lateral femorotibial joint | Cartilage | 0.895 |
| Bone marrow abnormality | 0.906 | |
| Bone cysts | 0.677 | |
| Bone attrition | 0.011 | |
| Osteophytes | 0.738 | |
| Meniscal lesion | 0.864 | |
| Patellofemoral joint | Cartilage | 0.850 |
| Bone marrow abnormality | 0.809 | |
| Bone cysts | 0.766 | |
| Bone attrition | 0.688 | |
| Osteophytes | 0.894 | |
| Subspinous region | Bone marrow abnormality | 0.368 |
| Bone cysts | 0.317 | |
| Total joint | Ligament lesions | 0.601 |
| Synovitis | 0.501 | |
| T1ρ and T2 TRs in the medial femoral condyle | ||
| T1ρ | Central | 0.757 |
| Posterior | 0.652 | |
| T2 | Central | 0.971 |
| Posterior | 0.950 | |
Disclaimer/Publisher’s Note: The statements, opinions and data contained in all publications are solely those of the individual author(s) and contributor(s) and not of MDPI and/or the editor(s). MDPI and/or the editor(s) disclaim responsibility for any injury to people or property resulting from any ideas, methods, instructions or products referred to in the content. |
© 2024 by the authors. Licensee MDPI, Basel, Switzerland. This article is an open access article distributed under the terms and conditions of the Creative Commons Attribution (CC BY) license (https://creativecommons.org/licenses/by/4.0/).
Share and Cite
Kang, W.Y.; Hong, S.-J.; Bae, J.-H.; Yang, Z.; Kim, I.S.; Woo, O.H. Associations of Longitudinal Multiparametric MRI Findings and Clinical Outcomes in Intra-Articular Injections for Knee Osteoarthritis. Diagnostics 2024, 14, 2025. https://doi.org/10.3390/diagnostics14182025
Kang WY, Hong S-J, Bae J-H, Yang Z, Kim IS, Woo OH. Associations of Longitudinal Multiparametric MRI Findings and Clinical Outcomes in Intra-Articular Injections for Knee Osteoarthritis. Diagnostics. 2024; 14(18):2025. https://doi.org/10.3390/diagnostics14182025
Chicago/Turabian StyleKang, Woo Young, Suk-Joo Hong, Ji-Hoon Bae, Zepa Yang, In Seong Kim, and Ok Hee Woo. 2024. "Associations of Longitudinal Multiparametric MRI Findings and Clinical Outcomes in Intra-Articular Injections for Knee Osteoarthritis" Diagnostics 14, no. 18: 2025. https://doi.org/10.3390/diagnostics14182025
APA StyleKang, W. Y., Hong, S.-J., Bae, J.-H., Yang, Z., Kim, I. S., & Woo, O. H. (2024). Associations of Longitudinal Multiparametric MRI Findings and Clinical Outcomes in Intra-Articular Injections for Knee Osteoarthritis. Diagnostics, 14(18), 2025. https://doi.org/10.3390/diagnostics14182025

