Optimization of Fast Non-Local Means Noise Reduction Algorithm Parameter in Computed Tomographic Phantom Images Using 3D Printing Technology
Abstract
1. Introduction
2. Materials and Methods
2.1. FNLM Noise Reduction Algorithm Modeling
2.2. CT Image Parameters
2.3. 3D Printing Technology and CT Phantom Image Acquisition
2.4. Image Quality Evaluations
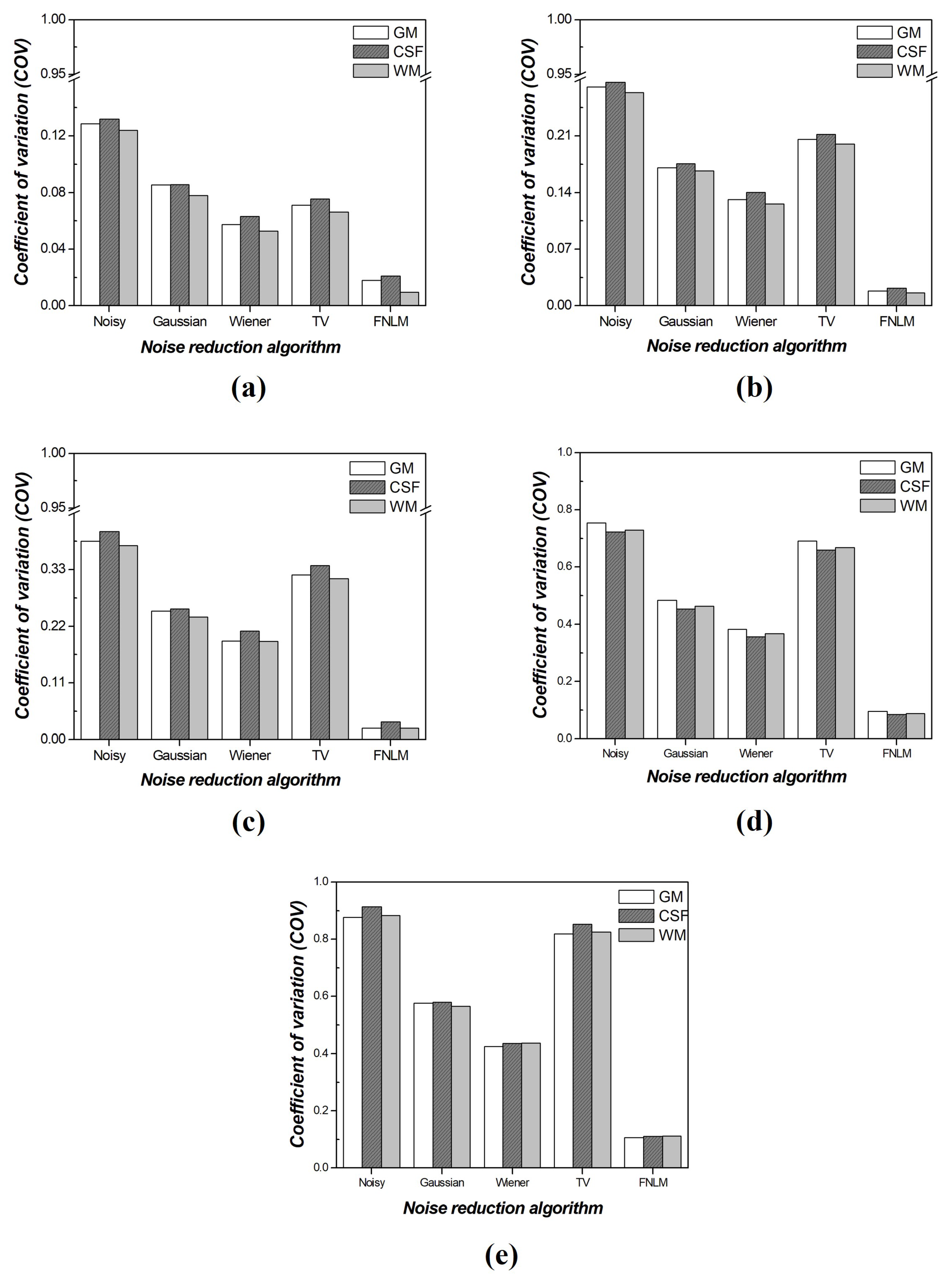
3. Results
3.1. Optimization of the FNLM Noise Reduction Algorithm
3.2. Comparative Evaluation of the FNLM Algorithm and Conventional Noise Reduction Methods
4. Discussion
5. Conclusions
Author Contributions
Funding
Data Availability Statement
Conflicts of Interest
References
- Brooks, R.A.; Di Chiro, G.D. Principles of computer assisted tomography (CAT) in radiographic and radioisotopic imaging. Phys. Med. Biol. 1976, 21, 689–732. [Google Scholar] [CrossRef]
- Otomo, N.; Funao, H.; Yamanouchi, K.; Isogai, N.; Ishii, K. Computed Tomography-Based Navigation System in Current Spine Surgery: A narrative Review. Medicina 2022, 58, 241. [Google Scholar] [CrossRef]
- Phase, B.V. Health Risks from Exposure to Low Levels of Ionizing Radiation; The British Institute of Radiology: Washington, DC, USA, 2006. [Google Scholar]
- Diwakar, M.; Kumar, P.; Singh, A.K. CT image denoising using NLM and its method noise thresholding. Multimed. Tool. Appl. 2020, 79, 14449–14464. [Google Scholar] [CrossRef]
- Duan, X.; Wang, J.; Leng, S.; Schmidt, B.; Allmendinger, T.; Grant, K.; Flohr, T.; McCollough, C.H. Electronic noise in CT detectors: Impact on image noise and artifacts. AJR Am. J. Roentgenol. 2013, 201, W626–W632. [Google Scholar] [CrossRef]
- Song, H.; Chen, L.; Cui, Y.; Li, Q.; Wang, Q.; Fan, J.; Yang, J.; Zhang, L. Denoising of MR and CT images using cascaded multi-supervision convolutional neural networks with progressive training. Neurocomputing 2022, 469, 354–365. [Google Scholar] [CrossRef]
- Kijewski, M.F.; Judy, P.F. The noise power spectrum of CT images. Phys. Med. Biol. 1987, 32, 565–575. [Google Scholar] [CrossRef]
- Diwakar, M.; Kumar, M. A review on CT image noise and tis denoising. Biomed. Signal Process Control 2018, 42, 73–88. [Google Scholar] [CrossRef]
- Veldkamp, W.J.H.; Kroft, L.J.; Geleijns, J. Dose and perceived image quality in chest radiography. Eur. J. Radiol. 2009, 72, 209–217. [Google Scholar] [CrossRef]
- Andria, G.; Attivissimo, F.; Di Nisio, A.; Lanzolla, A.M.; Maiorana, A.; Mangiatini, M.; Spadavecchia, M. Dosimetric characterization and image quality assessment in breast tomosynthesis. IEEE Trans. Instrum. Meas. 2017, 66, 2535–2544. [Google Scholar] [CrossRef]
- Mettler, F.A.; Wiest, P.W.; Locken, J.A.; Kelsey, C.A. CT scanning: Patterns of use and dose. J. Radiol. Prot. 2000, 20, 353–359. [Google Scholar] [CrossRef]
- Naidich, D.P.; Marshall, C.H.; Gribbin, C.; Arams, R.S.; McCauley, D.I. Low-dose CT of the lungs: Preliminary observations. Radiology 1990, 175, 729–731. [Google Scholar] [CrossRef] [PubMed]
- Goo, H.W. CT radiation dose optimization and estimation: An update for radiologists. Korean J. Radiol. 2012, 13, 1–11. [Google Scholar] [CrossRef]
- Bharati, S.; Khan, T.Z.; Podder, P.; Hung, N.Q. A comparative analysis of image denoising problem: Noise models, denoising filters and applications. Cogn. Internet Med. Things Smart Healthc. Serv. Appl. 2021, 311, 49–66. [Google Scholar]
- Tian, Z.; Jia, X.; Yuan, K.; Pan, T.; Jiang, S.B. Low-dose CT reconstruction via edge-preserving total variation regularization. Phys. Med. Biol. 2011, 56, 5949–5967. [Google Scholar] [CrossRef] [PubMed]
- Wang, M.; Zheng, S.; Li, X.; Qin, X. A new image denoising method based on Gaussian filter. In Proceedings of the 1st International Conference on Information Science, Electronics, and Electrical Engineering, Sapporo, Japan, 26–28 April 2014; pp. 163–167. [Google Scholar]
- Ramesh, G.; Logeshwaran, J.; Gowri, J.; Mathew, A. The management and reduction of digital noise in video image processing by using transmission based noise elimination scheme. CTACT J. Image Video Process. 2022, 13, 2797–2801. [Google Scholar]
- Dauwe, A.; Goossens, B.; Luong, H.Q.; Philips, W. A fast non-local image denoising algorithm. Image Process. Algorithms Syst. VI. 2008, 6812, 324–331. [Google Scholar]
- Jang, M.Y.; Park, C.R.; Kang, S.H.; Lee, Y. Experimental study of the fast non-local means noise reduction algorithm using the Hoffman 3D brain phantom in nuclear medicine SPECT image. Optik 2020, 224, 165440. [Google Scholar] [CrossRef]
- Faulkner, K.; Moores, B.M. Noise and contrast detection in computed tomography images. Phys. Med. Biol. 1984, 29, 329–339. [Google Scholar] [CrossRef] [PubMed]
- McCollough, C.H.; Yu, L.; Kofler, J.M.; Leng, S.; Zhang, Y.; Li, Z.; Carter, R.E. Degradation of CT low-contrast spatial resolution due to the use of iterative reconstruction and reduced dose levels. Radiology 2015, 276, 499–506. [Google Scholar] [CrossRef]
- Mansour, Z.; Mokhtar, A.; Sarhan, A.; Ahmed, M.T.; Ei-El-Diasty, T. Quality control of CT image using American College of Radiology (ACR) phantom. Egypt. J. Rad. Nucl. Med. 2016, 47, 1665–1671. [Google Scholar] [CrossRef][Green Version]
- Pauwels, R.; Stamatakis, H.; Manousaridis, G.; Walker, A.; Michielsen, K.; Bosmans, H.; SEDENTEXCT Project Consortium. Development and applicability of a quality control phantom for dental cone-beam CT. J. Appl. Clin. Med. Phys. 2011, 12, 245–260. [Google Scholar] [CrossRef] [PubMed]
- Nowik, P.; Bujila, R.; Poludniowski, G.; Fransson, A. Quality control of CT systems by automated monitoring of key performance indicators: A two-year study. J. Appl. Clin. Med. Phys. 2015, 16, 254–265. [Google Scholar] [CrossRef] [PubMed]
- Pauchard, Y.; Liphardt, A.M.; Macdonald, H.M.; Hanley, D.A.; Boyd, S.K. Quality control for bone quality parameters affected by subject motion in high-resolution peripheral quantitative computed tomography. Bone 2012, 50, 1304–1310. [Google Scholar] [CrossRef] [PubMed]
- Leng, S.; Yu, L.; Vrieze, T.; Kuhlmann, J.; Chen, B.; McCollough, C.H. Construction of realistic liver phantoms from patient images using 3D printer and its application in CT image quality assessment. Proc. SPIE Int. Soc. Opt. Eng. 2015, 9412, 1095–1101. [Google Scholar]
- Miller, M.A.; Hutchins, G.D. Development of anatomically realistic PET and PET/CT phantoms with rapid prototyping technology. In Proceedings of the 6th IEEE Nuclear Science Symposium Conference Record, Honolulu, HI, USA, 26 October–3 November 2007; pp. 4252–4257. [Google Scholar]
- Nute, J.L.N.; Jacobsen, M.C.; Stefan, W.; Wei, W.; Cody, D.D. Development of a dual-energy computed tomography quality control program: Characterization of scanner response and definition of relevant parameters for a fast-kVp switching dual-energy computed tomography system. Med. Phys. 2018, 45, 1444–1458. [Google Scholar] [CrossRef] [PubMed]
- Filippou, V.; Tsoumpas, C. Recent advances on the development of phantoms using 3D printing for imaging with CT, MRI, PET, SPECT, and ultrasound. Med. Phys. 2018, 45, e740–e760. [Google Scholar] [CrossRef]
- Diekhoff, T.; Scheel, M.; Kress, W.; Hamm, B.; Jahnke, P. Dual-energy computed tomography of the neck-optimizing tube current settings and radiation dose using a 3D-printed patient phantom. Quant. Imaging Med. Surg. 2021, 11, 1144–1155. [Google Scholar] [CrossRef] [PubMed]
- Higgins, M.; Leung, S.; Radacsi, N. 3D printing surgical phantoms and their role in the visualization of medical procedures. Ann. 3D Print. Med. 2022, 6, 100057. [Google Scholar] [CrossRef]
- Sun, Z. Clinical applications of patient-specific 3D printed models in cardiovascular disease: Current status and future directions. Biomolecules 2020, 10, 1577. [Google Scholar] [CrossRef]
- Solomon, J.; Samei, E. Quantum noise properties of CT images with anatomical textured backgrounds across reconstruction algorithms: FBP and SAFIRE. Med. Phys. 2014, 41, 091908. [Google Scholar] [CrossRef]
- Buades, A.; Coll, B.; Morel, J.-M. A non-local algorithm for image denoising. In Proceedings of the 2nd IEEE Computer Society Conference on Computer Vision and Pattern Recognition (CVPR’05), San Diego, CA, USA, 20–26 June 2005; pp. 60–65. [Google Scholar]
- Buades, A.; Coll, B.; Morel, J.M. A review of image denoising algorithms, with a new one. Multiscale Model. Simul. 2005, 4, 490–530. [Google Scholar] [CrossRef]
- Shim, J.; Yoon, M.; Lee, M.J.; Lee, Y. Utility of fast non-local means (FNLM) filter for detection of pulmonary nodules in chest CT for pediatric patient. Phys. Med. 2021, 81, 52–59. [Google Scholar] [CrossRef]
- Li, X.; Huang, W.; Rooney, W.D. Signal-to-noise ratio, contrast-to-noise ratio and pharmacokinetic modeling considerations in dynamic contrast-enhanced magnetic resonance imaging. Magn. Reson. Imaging. 2012, 30, 1313–1322. [Google Scholar] [CrossRef] [PubMed]
- Martin, R. Noise power spectral density estimation based on optimal smoothing and minimum statistics. IEEE Trans. Speech Audio Process. 2001, 9, 504–512. [Google Scholar] [CrossRef]
- Tian, L. Inferences on the common coefficient of variation. Stat. Med. 2005, 24, 2213–2220. [Google Scholar] [CrossRef]
- Engel, K.J.; Herrmann, C.; Zeitler, G. X-ray scattering in single-and-dual source CT. Med. Phys. 2008, 35, 318–332. [Google Scholar] [CrossRef] [PubMed]
- Liguori, C.; Frauenfelder, G.; Massaroni, C.; Saccomandi, P.; Giurazza, F.; Pitocco, F.; Marano, R.; Schena, E. Emerging clinical applications of computed tomography. Med Devices Evid. Res. 2015, 8, 265–278. [Google Scholar]
- Zhu, Y.; Zhao, M.; Zhao, Y.; Li, H.; Zhang, P. Noise reduction with low dose CT data based on a modified ROF model. Opt. Express 2012, 20, 17987–18004. [Google Scholar] [CrossRef]
- Rudin, L.I.; Osher, S.; Fatemi, E. Nonlinear total variation based noise removal algorithms. Phys. D Nonlinear Phenom. 1992, 60, 259–268. [Google Scholar] [CrossRef]
- Hazelaar, C.; van Eijnatten, M.; Dahele, M.; Wolff, J.; Forouzanfar, T.; Slotman, B.; Verbakel, W.F. Using 3D printing techniques to create an anthropomorphic thorax phantom for medical imaging purposes. Med. Phys. 2018, 45, 92–100. [Google Scholar] [CrossRef] [PubMed]
- Yan, Q.; Dong, H.; Su, J.; Han, J.; Song, B.; Wei, Q.; Shi, Y. A review of 3D printing technology for medical applications. Engineering 2018, 4, 729–742. [Google Scholar] [CrossRef]
- Tack, P.; Victor, J.; Gemmel, P.; Annemans, L. 3D-printing techniques in a medical setting: A systematic literature review. Biomed. Eng. OnLine 2016, 15, 115. [Google Scholar] [CrossRef] [PubMed]
- Ventola, C.L. Medical applications for 3D printing: Current and projected uses. Pharm. Ther. 2014, 39, 704–711. [Google Scholar]
- Durfee, W.K.; Iaizzo, P.A. Medical applications of 3D printing. In Engineering in Medicine; Academic Press: New York, NY, USA, 2019. [Google Scholar] [CrossRef]
- Liaw, C.Y.; Guvendiren, M. Current and emerging applications of 3D printing in medicine. Biofabrication 2017, 9, 024102. [Google Scholar] [CrossRef] [PubMed]
- Lin, H.H.; Lonic, D.; Lo, L.J. 3D printing in orthognathic surgery-A literature review. J. Formos. Med. Assoc. 2018, 117, 547–558. [Google Scholar] [CrossRef] [PubMed]
- Qiu, K.; Haghiashtiani, G.; McAlpine, M.C. 3D printed organ models for surgical applications. Annu. Rev. Anal. Chem. 2018, 11, 287–306. [Google Scholar] [CrossRef] [PubMed]
- Giannopoulos, A.A.; Steigner, M.L.; George, E.; Barile, M.; Hunsaker, A.R.; Rybicki, F.J.; Mitsouras, D. Cardiothoracic applications of 3D printing. J. Thorac. Imaging 2016, 31, 253–272. [Google Scholar] [CrossRef]
- Wolterink, J.M.; Leiner, T.; Viergever, M.A.; Išgum, I. Generative adversarial networks for noise reduction in low-dose CT. IEEE Trans. Med. Imaging 2017, 36, 2536–2545. [Google Scholar] [CrossRef] [PubMed]
- Ohno, Y.; Takenaka, D.; Kanda, T.; Yoshikawa, T.; Matsumoto, S.; Sugihara, N.; Sugimura, K. Adaptive iterative dose reduction using 3D processing for reduced- and low-dose pulmonary CT: Comparison with standard-dose CT for image noise reduction and radiological findings. AJR Am. J. Roentgenol. 2012, 199, W477–W485. [Google Scholar] [CrossRef]
- Verma, R.; Pandey, R. Non local means algorithm with adaptive isotropic search window size for image denoising. In Proceedings of the Annual IEEE India Conference (INDICON), New Delhi, India, 17–20 December 2015; pp. 1–5. [Google Scholar]
- Wang, Z.; Yang, Y. Application of 3D printing in implantable medical devices. BioMed Res. Int. 2021, 2021, 6653967. [Google Scholar] [CrossRef]
- Michalski, M.H.; Ross, J.S. The shape of things to come: 3D printing in medicine. JAMA 2014, 312, 2213–2214. [Google Scholar] [CrossRef] [PubMed]
- Abdullah, K.A.; Reed, W. 3D printing in medical imaging and healthcare services. J. Med. Radiat. Sci. 2018, 65, 237–239. [Google Scholar] [CrossRef] [PubMed]
- Dodziuk, H. Applications of 3D printing in healthcare. Kardiochir. Torakochirurgia Pol. 2016, 13, 283–293. [Google Scholar] [CrossRef]
- Hurst, E.J. 3D printing in healthcare: Emerging applications. J. Hosp. Librariansh. 2016, 16, 255–267. [Google Scholar] [CrossRef]
- Perry, A. 3D-printed apparel and 3D-printer: Exploring advantages, concerns, and purchases. Int. J. Fashion Des. Technol. Educ. 2018, 11, 95–103. [Google Scholar] [CrossRef]
- Attaran, M. The rise of 3-D printing: The advantages of additive manufacturing over traditional manufacturing. Bus. Horiz. 2017, 60, 677–688. [Google Scholar] [CrossRef]
- Berman, B. 3-D printing: The new Industrial Revolution. Bus. Horiz. 2012, 55, 155–162. [Google Scholar] [CrossRef]
- Han, T.; Kundu, S.; Nag, A.; Xu, Y. 3D printed sensors for biomedical applications: A review. Sensors 2019, 19, 1706. [Google Scholar] [CrossRef]
- Mahmood, M.A.; Visan, A.I.; Ristoscu, C.; Mihailescu, I.N. Artificial neural network algorithms for 3D printing. Materials 2020, 14, 163. [Google Scholar] [CrossRef] [PubMed]
- Elbadawi, M.; McCoubrey, L.E.; Gavins, F.K.; Ong, J.J.; Goyanes, A.; Gaisford, S.; Basit, A.W. Disrupting 3D printing of medicines with machine learning. Trends Pharmacol. Sci. 2021, 42, 745–757. [Google Scholar] [CrossRef]
- Karimi, D.; Dou, H.; Warfield, S.K.; Gholipour, A. Deep learning with noisy labels: Exploring techniques and remedies in medical image analysis. Med. Image Anal. 2020, 65, 101759. [Google Scholar] [CrossRef]
- Yao, J.; Wang, J.; Tsang, I.W.; Zhang, Y.; Sun, J.; Zhang, C.; Zhang, R. Deep learning from noisy image labels with quality embedding. IEEE Trans. Image Process 2018, 28, 1909–1922. [Google Scholar] [CrossRef]
- Dodge, S.; Karam, L. Understanding How Image Quality Affects Deep Neural Networks Eighth International Conference on Quality of Multimedia Experience (QoMEX); IEEE Publications: Piscataway, NJ, USA, 2016; pp. 1–6. [Google Scholar]










| Reference Tissue | Attenuation Coefficient (cm−1) | Filament Materials | Attenuation Coefficient (cm−1) |
|---|---|---|---|
| Cerebrospinal fluid (CSF) | 0.207 | XT-CF20 | 0.208 |
| Gray matter (GM) | 0.212 | Wood | 0.213 |
| White matter (WM) | 0.213 | ABS | 0.214 |
| Bone | 0.528 | Bronze | 0.839 |
| Noise Intensity | Algorithm | CSF (XT-CT20) | GM (Wood) | WM (ABS) |
|---|---|---|---|---|
| 0.001 | Noisy | 0.652 | 0.793 | 0.486 |
| Gaussian | 0.994 | 1.199 | 0.754 | |
| Wiener | 1.351 | 1.727 | 1.062 | |
| TV | 1.138 | 1.416 | 0.881 | |
| FNLM | 5.278 | 7.458 | 6.588 | |
| 0.005 | Noisy | 0.289 | 0.358 | 0.264 |
| Gaussian | 0.448 | 0.549 | 0.406 | |
| Wiener | 0.581 | 0.710 | 0.531 | |
| TV | 0.376 | 0.462 | 0.343 | |
| FNLM | 3.806 | 4.982 | 3.766 | |
| 0.01 | Noisy | 0.207 | 0.261 | 0.160 |
| Gaussian | 0.331 | 0.406 | 0.253 | |
| Wiener | 0.406 | 0.523 | 0.312 | |
| TV | 0.251 | 0.316 | 0.193 | |
| FNLM | 2.740 | 4.134 | 2.615 | |
| 0.05 | Noisy | 0.046 | 0.053 | 0.044 |
| Gaussian | 0.076 | 0.083 | 0.074 | |
| Wiener | 0.096 | 0.104 | 0.081 | |
| TV | 0.051 | 0.058 | 0.049 | |
| FNLM | 0.397 | 0.488 | 0.526 | |
| 0.1 | Noisy | 0.076 | 0.044 | 0.028 |
| Gaussian | 0.117 | 0.066 | 0.042 | |
| Wiener | 0.157 | 0.085 | 0.045 | |
| TV | 0.081 | 0.047 | 0.030 | |
| FNLM | 0.563 | 0.471 | 0.183 |
| Noise Intensity | Algorithm | CSF (XT-CT20) | GM (Wood) | WM (ABS) |
|---|---|---|---|---|
| 0.001 | Noisy | 0.131 | 0.128 | 0.123 |
| Gaussian | 0.085 | 0.085 | 0.077 | |
| Wiener | 0.063 | 0.057 | 0.052 | |
| TV | 0.075 | 0.071 | 0.066 | |
| FNLM | 0.020 | 0.017 | 0.009 | |
| 0.005 | Noisy | 0.276 | 0.270 | 0.263 |
| Gaussian | 0.175 | 0.170 | 0.166 | |
| Wiener | 0.140 | 0.131 | 0.126 | |
| TV | 0.211 | 0.205 | 0.200 | |
| FNLM | 0.021 | 0.018 | 0.015 | |
| 0.01 | Noisy | 0.403 | 0.384 | 0.376 |
| Gaussian | 0.254 | 0.249 | 0.238 | |
| Wiener | 0.211 | 0.191 | 0.190 | |
| TV | 0.337 | 0.319 | 0.312 | |
| FNLM | 0.034 | 0.021 | 0.021 | |
| 0.05 | Noisy | 0.722 | 0.754 | 0.729 |
| Gaussian | 0.453 | 0.483 | 0.463 | |
| Wiener | 0.356 | 0.383 | 0.368 | |
| TV | 0.659 | 0.690 | 0.667 | |
| FNLM | 0.084 | 0.095 | 0.088 | |
| 0.1 | Noisy | 0.913 | 0.876 | 0.882 |
| Gaussian | 0.579 | 0.575 | 0.565 | |
| Wiener | 0.436 | 0.425 | 0.436 | |
| TV | 0.852 | 0.818 | 0.824 | |
| FNLM | 0.110 | 0.106 | 0.111 |
Disclaimer/Publisher’s Note: The statements, opinions and data contained in all publications are solely those of the individual author(s) and contributor(s) and not of MDPI and/or the editor(s). MDPI and/or the editor(s) disclaim responsibility for any injury to people or property resulting from any ideas, methods, instructions or products referred to in the content. |
© 2024 by the authors. Licensee MDPI, Basel, Switzerland. This article is an open access article distributed under the terms and conditions of the Creative Commons Attribution (CC BY) license (https://creativecommons.org/licenses/by/4.0/).
Share and Cite
Kim, H.; Lim, S.; Park, M.; Kim, K.; Kang, S.-H.; Lee, Y. Optimization of Fast Non-Local Means Noise Reduction Algorithm Parameter in Computed Tomographic Phantom Images Using 3D Printing Technology. Diagnostics 2024, 14, 1589. https://doi.org/10.3390/diagnostics14151589
Kim H, Lim S, Park M, Kim K, Kang S-H, Lee Y. Optimization of Fast Non-Local Means Noise Reduction Algorithm Parameter in Computed Tomographic Phantom Images Using 3D Printing Technology. Diagnostics. 2024; 14(15):1589. https://doi.org/10.3390/diagnostics14151589
Chicago/Turabian StyleKim, Hajin, Sewon Lim, Minji Park, Kyuseok Kim, Seong-Hyeon Kang, and Youngjin Lee. 2024. "Optimization of Fast Non-Local Means Noise Reduction Algorithm Parameter in Computed Tomographic Phantom Images Using 3D Printing Technology" Diagnostics 14, no. 15: 1589. https://doi.org/10.3390/diagnostics14151589
APA StyleKim, H., Lim, S., Park, M., Kim, K., Kang, S.-H., & Lee, Y. (2024). Optimization of Fast Non-Local Means Noise Reduction Algorithm Parameter in Computed Tomographic Phantom Images Using 3D Printing Technology. Diagnostics, 14(15), 1589. https://doi.org/10.3390/diagnostics14151589

