Handheld Ultrasound Parameters of Lower Limb Muscles versus Bioelectrical Impedance Analysis Parameters for Skeletal Muscle Assessments in Arabic Female Adults
Abstract
1. Introduction
2. Materials and Methods
2.1. Study Design and Sample Selection
2.2. Anthropometric and Body Composition Measurements
2.3. Physical Activity Questionnaire
2.4. Muscle Strength Assessment
2.5. Ultrasound Measurements
2.6. Statistical Analysis
3. Results
3.1. Participant Characteristics
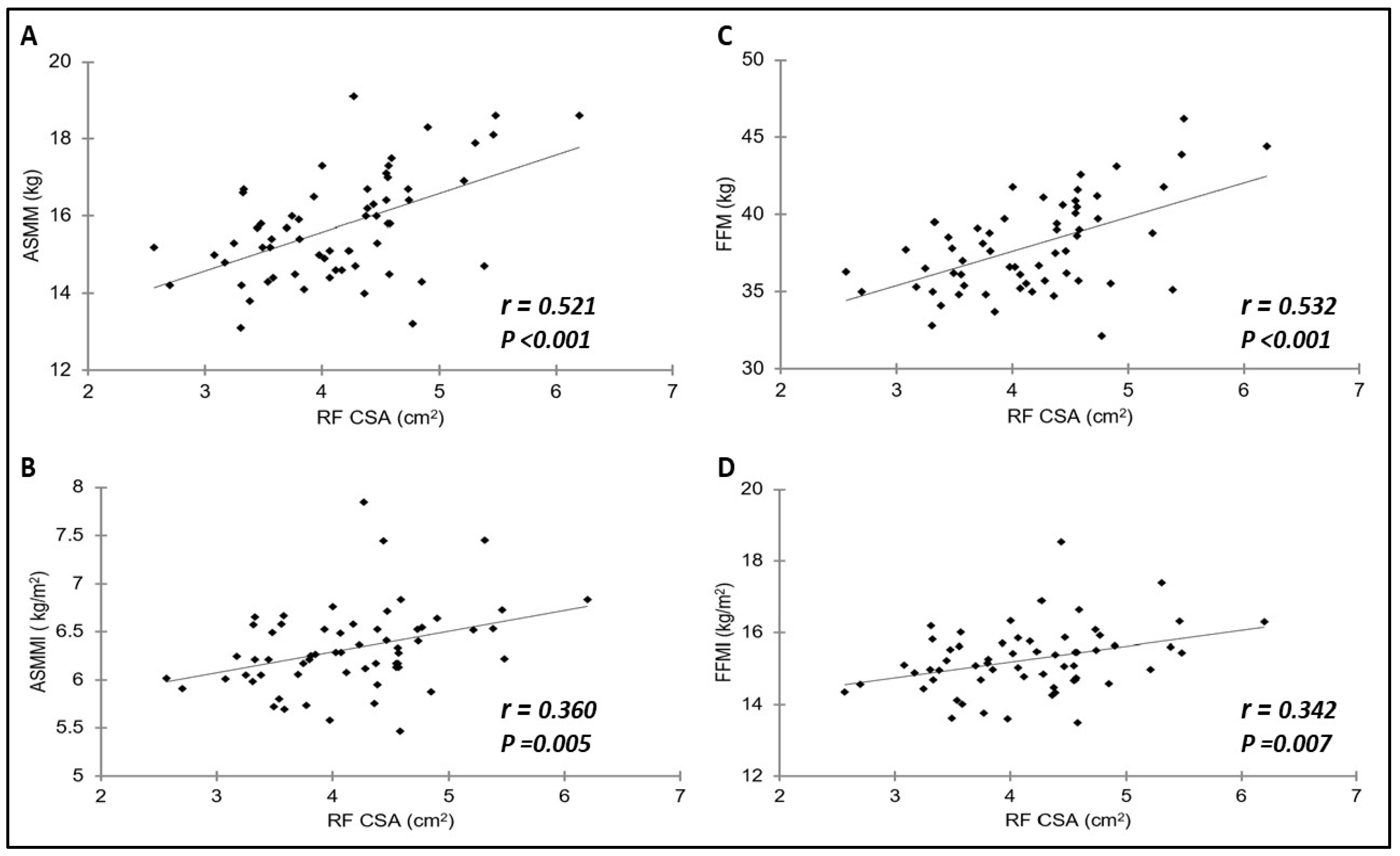
3.2. Association between Ultrasound Parameters and Body Composition Analysis Parameters
3.3. Association between Ultrasound Parameters, Handgrip Strength, and Physical Activity Level
3.4. Factors Influencing ASMM and FFM Determined via Multiple Linear Regression Analysis
4. Discussion
5. Conclusions
Author Contributions
Funding
Institutional Review Board Statement
Informed Consent Statement
Data Availability Statement
Acknowledgments
Conflicts of Interest
References
- Bruyère, O.; Beaudart, C.; Reginster, J.-Y.; Buckinx, F.; Schoene, D.; Hirani, V.; Cooper, C.; Kanis, J.A.; Rizzoli, R.; McCloskey, E.; et al. Assessment of Muscle Mass, Muscle Strength and Physical Performance in Clinical Practice: An International Survey. Eur. Geriatr. Med. 2016, 7, 243–246. [Google Scholar] [CrossRef]
- Prado, C.M.; Landi, F.; Chew, S.T.H.; Atherton, P.J.; Molinger, J.; Ruck, T.; Gonzalez, M.C. Advances in Muscle Health and Nutrition: A Toolkit for Healthcare Professionals. Clin. Nutr. 2022, 41, 2244–2263. [Google Scholar] [CrossRef]
- Yamada, M.; Nishiguchi, S.; Fukutani, N.; Tanigawa, T.; Yukutake, T.; Kayama, H.; Aoyama, T.; Arai, H. Prevalence of Sarcopenia in Community-Dwelling Japanese Older Adults. J. Am. Med. Dir. Assoc. 2013, 14, 911–915. [Google Scholar] [CrossRef]
- Nijholt, W.; Scafoglieri, A.; Jager-Wittenaar, H.; Hobbelen, J.S.M.; van der Schans, C.P. The Reliability and Validity of Ultrasound to Quantify Muscles in Older Adults: A Systematic Review. J. Cachexia Sarcopenia Muscle 2017, 8, 702–712. [Google Scholar] [CrossRef]
- Yuguchi, S.; Asahi, R.; Kamo, T.; Azami, M.; Ogihara, H. Gastrocnemius Thickness by Ultrasonography Indicates the Low Skeletal Muscle Mass in Japanese Elderly People. Arch. Gerontol. Geriatr. 2020, 90, 104093. [Google Scholar] [CrossRef]
- Perkisas, S.; Bastijns, S.; Baudry, S.; Bauer, J.; Beaudart, C.; Beckwée, D.; Cruz-Jentoft, A.; Gasowski, J.; Hobbelen, H.; Jager-Wittenaar, H.; et al. Application of Ultrasound for Muscle Assessment in Sarcopenia: 2020 SARCUS Update. Eur. Geriatr. Med. 2021, 12, 45–59. [Google Scholar] [CrossRef]
- Chen, L.-K.; Woo, J.; Assantachai, P.; Auyeung, T.-W.; Chou, M.-Y.; Iijima, K.; Jang, H.C.; Kang, L.; Kim, M.; Kim, S.; et al. Asian Working Group for Sarcopenia: 2019 Consensus Update on Sarcopenia Diagnosis and Treatment. J. Am. Med. Dir. Assoc. 2020, 21, 300–307.e2. [Google Scholar] [CrossRef]
- Cruz-Jentoft, A.J.; Bahat, G.; Bauer, J.; Boirie, Y.; Bruyère, O.; Cederholm, T.; Cooper, C.; Landi, F.; Rolland, Y.; Sayer, A.A.; et al. Sarcopenia: Revised European Consensus on Definition and Diagnosis. Age Ageing 2019, 48, 16–31. [Google Scholar] [CrossRef]
- Tognolo, L.; Coraci, D.; Farì, G.; Vallenari, V.; Masiero, S. Validity of Ultrasound Rectus Femoris Quantitative Assessment: A Comparative Study between Linear and Curved Array Transducers. Eur. J. Transl. Myol. 2022, 32, 11040. [Google Scholar] [CrossRef] [PubMed]
- Giovannini, S.; Brau, F.; Forino, R.; Berti, A.; D’Ignazio, F.; Loreti, C.; Bellieni, A.; D’Angelo, E.; Di Caro, F.; Biscotti, L.; et al. Sarcopenia: Diagnosis and Management, State of the Art and Contribution of Ultrasound. J. Clin. Med. 2021, 10, 5552. [Google Scholar] [CrossRef] [PubMed]
- Abulmeaty, M.M.A.; Almajwal, A.; Elsayed, M.; Hassan, H.; Aldossari, Z.; Alsager, T. Development and Validation of Novel Equation for Prediction of Resting Energy Expenditure in Active Saudi Athletes. Medicine 2023, 102, e36826. [Google Scholar] [CrossRef]
- Ozturk, Y.; Koca, M.; Burkuk, S.; Unsal, P.; Dikmeer, A.; Oytun, M.G.; Bas, A.O.; Kahyaoglu, Z.; Deniz, O.; Coteli, S.; et al. The Role of Muscle Ultrasound to Predict Sarcopenia. Nutrition 2022, 101, 111692. [Google Scholar] [CrossRef]
- World Health Organization. Global Physical Activity Questionnaire (GPAQ). Available online: https://www.who.int/publications/m/item/global-physical-activity-questionnaire (accessed on 18 August 2023).
- Doyle, C.; Khan, A.; Burton, N. Reliability and Validity of a Self-Administered Arabic Version of the Global Physical Activity Questionnaire (GPAQ-A). J. Sports Med. Phys. Fit. 2019, 59, 1221–1228. [Google Scholar] [CrossRef]
- Armstrong, T.; Bull, F. Development of the World Health Organization Global Physical Activity Questionnaire (GPAQ). J. Public Health 2006, 14, 66–70. [Google Scholar] [CrossRef]
- Akoglu, H. User’s Guide to Correlation Coefficients. Turk. J. Emerg. Med. 2018, 18, 91–93. [Google Scholar] [CrossRef]
- Kuyumcu, M.E.; Halil, M.; Kara, Ö.; Çuni, B.; Çağlayan, G.; Güven, S.; Yeşil, Y.; Arık, G.; Yavuz, B.B.; Cankurtaran, M.; et al. Ultrasonographic Evaluation of the Calf Muscle Mass and Architecture in Elderly Patients with and without Sarcopenia. Arch. Gerontol. Geriatr. 2016, 65, 218–224. [Google Scholar] [CrossRef]
- Baek, S.H.; Sung, J.H.; Park, J.W.; Son, M.H.; Lee, J.H.; Kim, B.J. Usefulness of Muscle Ultrasound in Appendicular Skeletal Muscle Mass Estimation for Sarcopenia Assessment. PLoS ONE 2023, 18, e0280202. [Google Scholar] [CrossRef]
- Sato, Y.; Shiraishi, H.; Nakanishi, N.; Zen, K.; Nakamura, T.; Yamano, T.; Shirayama, T.; Matoba, S. Clinical Significance of Rectus Femoris Diameter in Heart Failure Patients. Heart Vessel. 2020, 35, 672–680. [Google Scholar] [CrossRef]
- Yuguchi, S.; Asahi, R.; Kamo, T.; Azami, M.; Ogihara, H. Prediction Model Including Gastrocnemius Thickness for the Skeletal Muscle Mass Index in Japanese Older Adults. Int. J. Environ. Res. Public Health 2022, 19, 4042. [Google Scholar] [CrossRef]
- Jung, H.J.; Lee, Y.M.; Kim, M.; Uhm, K.E.; Lee, J. Suggested Assessments for Sarcopenia in Patients With Stroke Who Can Walk Independently. Ann. Rehabil. Med. 2020, 44, 20–37. [Google Scholar] [CrossRef]
- Ramírez-Fuentes, C.; Mínguez-Blasco, P.; Ostiz, F.; Sánchez-Rodríguez, D.; Messaggi-Sartor, M.; Macías, R.; Muniesa, J.M.; Rodríguez, D.A.; Vila, J.; Perkisas, S.; et al. Ultrasound Assessment of Rectus Femoris Muscle in Rehabilitation Patients with Chronic Obstructive Pulmonary Disease Screened for Sarcopenia: Correlation of Muscle Size with Quadriceps Strength and Fat-Free Mass. Eur. Geriatr. Med. 2019, 10, 89–97. [Google Scholar] [CrossRef]
- Lizama-Pérez, R.; Muñoz-Cofré, R.; Vidal-Seguel, N.; Chirosa-Ríos, I.; Jerez-Mayorga, D.; Intelangelo, L.; Chirosa-Ríos, L. Influence of Probe Position in the Measurement of Muscle Thickness and Its Association with Lean Mass: An Ultrasound Study. Int. J. Morphol. 2023, 41, 640–645. [Google Scholar] [CrossRef]
- Zhu, S.; Lin, W.; Chen, S.; Qi, H.; Wang, S.; Zhang, A.; Cai, J.; Lai, B.; Sheng, Y.; Ding, G. The Correlation of Muscle Thickness and Pennation Angle Assessed by Ultrasound with Sarcopenia in Elderly Chinese Community Dwellers. Clin. Interv. Aging 2019, 14, 987–996. [Google Scholar] [CrossRef]
- Nasirzade, A.; Ehsanbakhsh, A.; Ilbeygi, S.; Sobhkhiz, A.; Argavani, H.; Aliakbari, M. Relationship Between Sprint Performance of Front Crawl Swimming and Muscle Fascicle Length in Young Swimmers. J. Sports Sci. Med. 2014, 13, 550–556. [Google Scholar]
- Wilkinson, T.J.; Gore, E.F.; Vadaszy, N.; Nixon, D.G.D.; Watson, E.L.; Smith, A.C. Utility of Ultrasound as a Valid and Accurate Diagnostic Tool for Sarcopenia. J. Ultrasound Med. 2021, 40, 457–467. [Google Scholar] [CrossRef]
- Nies, I.; Ackermans, L.L.G.C.; Poeze, M.; Blokhuis, T.J.; Ten Bosch, J.A. The Diagnostic Value of Ultrasound of the Rectus Femoris for the Diagnosis of Sarcopenia in Adults: A Systematic Review. Injury 2022, 53 (Suppl. 3), S23–S29. [Google Scholar] [CrossRef]
- Abe, T.; Kondo, M.; Kawakami, Y.; Fukunaga, T. Prediction Equations for Body Composition of Japanese Adults by B-Mode Ultrasound. Am. J. Hum. Biol. 1994, 6, 161–170. [Google Scholar] [CrossRef]
- Takai, Y.; Ohta, M.; Akagi, R.; Kato, E.; Wakahara, T.; Kawakami, Y.; Fukunaga, T.; Kanehisa, H. Applicability of Ultrasound Muscle Thickness Measurements for Predicting Fat-Free Mass in Elderly Population. J. Nutr. Health Aging 2014, 18, 579–585. [Google Scholar] [CrossRef]
- Abe, T.; Fujita, E.; Thiebaud, R.S.; Loenneke, J.P.; Akamine, T. Ultrasound-Derived Forearm Muscle Thickness Is a Powerful Predictor for Estimating DXA-Derived Appendicular Lean Mass in Japanese Older Adults. Ultrasound Med. Biol. 2016, 42, 2341–2344. [Google Scholar] [CrossRef]


| Variables | Total Sample (n = 60) |
|---|---|
| Age (years) | 21 (3) |
| Weight (kg) | 53.78 ± 6.65 |
| Height (cm) | 157.73 ± 6.08 |
| BMI (kg/m2) | 21.29 (3.196) |
| ASMM (kg) | 15.72 ± 1.37 |
| ASMMI (kg/m2) | 6.26 (0.49) |
| FFM (kg) | 37.92 ± 2.99 |
| FFMI (kg/m2) | 15.25 ± 0.91 |
| RF-CSA (cm2) | 4.14 ± 0.72 |
| RF-MT (mm) | 16.11 ± 2.21 |
| MG-MT (mm) | 15.55 ± 1.64 |
| MG-PA (°) | 32.45 ± 4.77 |
| Dominant Average hand grip (kg) | 19.19 ± 3.61 |
| GPAQ score (MET-min/week) | 1640.50 (3417) |
| Recommended GPAQ ≥ 600 MET-min/week | |
| Yes | 40 (66.7%) |
| No | 20 (33.3%) |
| ASMM (kg) | ASMMI (kg/m2) | FFM (kg) | FFMI (kg/m2) | |||||
|---|---|---|---|---|---|---|---|---|
| r | p-Value | r | p-Value | r | p-Value | r | p-Value | |
| RF-MT (mm) | 0.393 ** | 0.002 | 0.340 * | 0.008 | 0.417 ** | <0.001 | 0.378 ** | 0.003 |
| MG-MT (mm) | 0.342 ** | 0.007 | 0.432 ** | <0.001 | 0.370 ** | 0.004 | 0.440 ** | <0.001 |
| MG-PA (°) | 0.070 | 0.595 | 0.133 | 0.322 | 0.085 | 0.518 | 0.200 | 0.126 |
| Average HGS (kg) | GPAQ Score (MET-min/Week) | |||
|---|---|---|---|---|
| r | p-Value | r | p-Value | |
| RF-CSA (cm2) | 0.313 * | 0.015 | 0.126 | 0.338 |
| RF-MT (mm) | 0.185 | 0.157 | 0.275 * | 0.033 |
| MG-MT (mm) | 0.091 | 0.487 | 0.172 | 0.190 |
| MG-PA (°) | −0.019 | 0.883 | 0.346 ** | 0.007 |
| Independent Variables | R2 | Standardized β | 95% CI | p-Value | |
|---|---|---|---|---|---|
| Lower Bound | Upper Bound | ||||
| RF-CSA | 0.312 | 0.883 | 0.443 | 1.322 | 0.0002 |
| MG-MT | 0.176 | −0.016 | 0.368 | 0.071 | |
| Independent Variables | R2 | Standardized β | 95% CI | p-Value | |
|---|---|---|---|---|---|
| Lower Bound | Upper Bound | ||||
| RF-CSA | 0.334 | 1.935 | 0.993 | 2.878 | 0.0001 |
| MG-MT | 0.433 | 0.022 | 0.845 | 0.039 | |
Disclaimer/Publisher’s Note: The statements, opinions and data contained in all publications are solely those of the individual author(s) and contributor(s) and not of MDPI and/or the editor(s). MDPI and/or the editor(s) disclaim responsibility for any injury to people or property resulting from any ideas, methods, instructions or products referred to in the content. |
© 2024 by the authors. Licensee MDPI, Basel, Switzerland. This article is an open access article distributed under the terms and conditions of the Creative Commons Attribution (CC BY) license (https://creativecommons.org/licenses/by/4.0/).
Share and Cite
Alamoudi, N.H.; Aldisi, D.; El-Sharkawy, M.S.; Abulmeaty, M.M.A. Handheld Ultrasound Parameters of Lower Limb Muscles versus Bioelectrical Impedance Analysis Parameters for Skeletal Muscle Assessments in Arabic Female Adults. Diagnostics 2024, 14, 1582. https://doi.org/10.3390/diagnostics14151582
Alamoudi NH, Aldisi D, El-Sharkawy MS, Abulmeaty MMA. Handheld Ultrasound Parameters of Lower Limb Muscles versus Bioelectrical Impedance Analysis Parameters for Skeletal Muscle Assessments in Arabic Female Adults. Diagnostics. 2024; 14(15):1582. https://doi.org/10.3390/diagnostics14151582
Chicago/Turabian StyleAlamoudi, Nada H., Dara Aldisi, Mohamed S. El-Sharkawy, and Mahmoud M. A. Abulmeaty. 2024. "Handheld Ultrasound Parameters of Lower Limb Muscles versus Bioelectrical Impedance Analysis Parameters for Skeletal Muscle Assessments in Arabic Female Adults" Diagnostics 14, no. 15: 1582. https://doi.org/10.3390/diagnostics14151582
APA StyleAlamoudi, N. H., Aldisi, D., El-Sharkawy, M. S., & Abulmeaty, M. M. A. (2024). Handheld Ultrasound Parameters of Lower Limb Muscles versus Bioelectrical Impedance Analysis Parameters for Skeletal Muscle Assessments in Arabic Female Adults. Diagnostics, 14(15), 1582. https://doi.org/10.3390/diagnostics14151582

