Generation and Validation of Normative, Age-Specific Reference Curves for Bone Strain Index in Women
Abstract
1. Introduction
2. Materials and Methods
2.1. Study Population
2.2. BMD and BSI Measurements
2.3. Construction of the Database
2.4. Age-Specific BSI Curve Creation
2.4.1. Dataset Creation
2.4.2. Dataset Validation
2.4.3. BSI Curves Generation
2.5. Statistical Analysis
3. Results
3.1. Descriptive Statistics for the Study Samples
3.1.1. Cohort for Femur
3.1.2. Cohort for Lumbar Spine
3.2. Age-Specific BMD Reference Data Comparison
3.3. BSI Age-Related Changes
3.3.1. Lumbar Spine
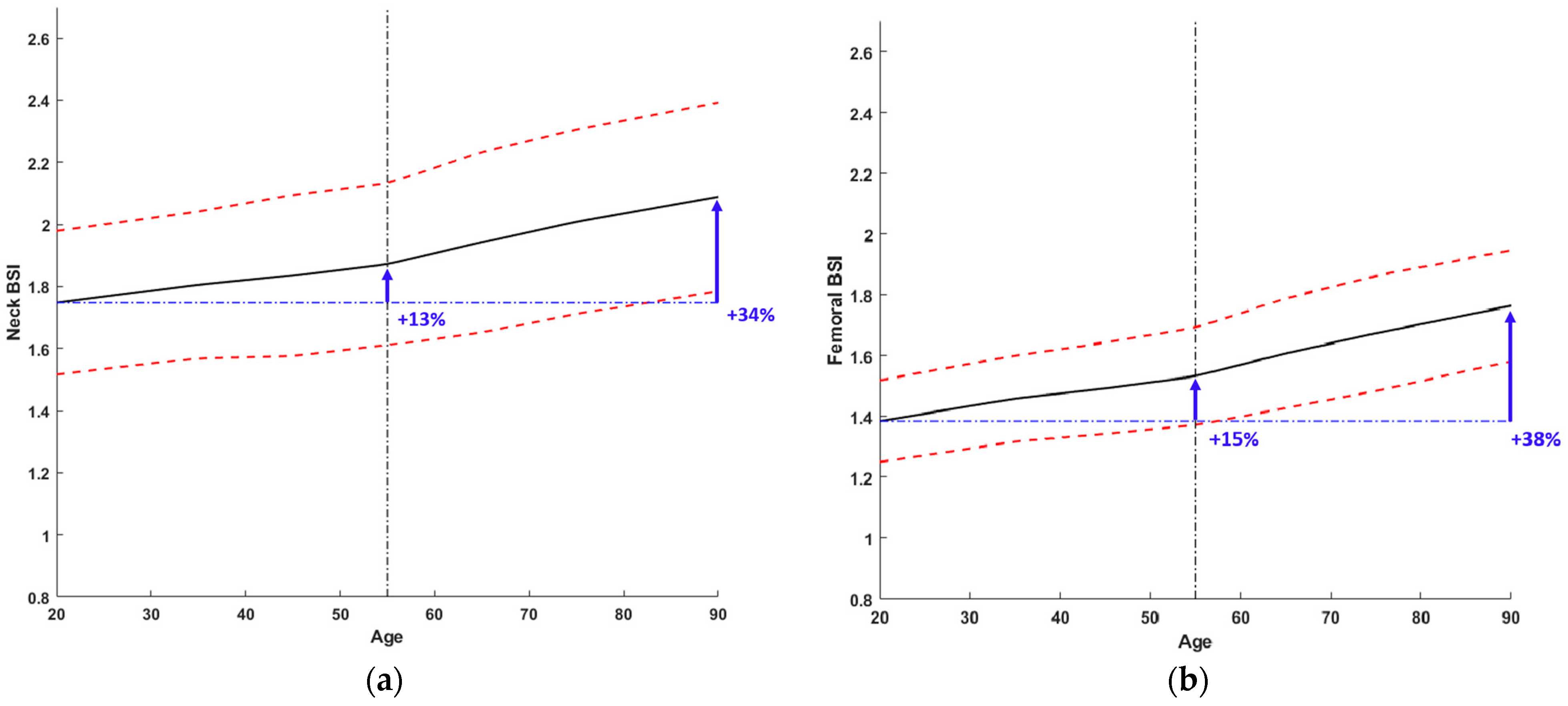
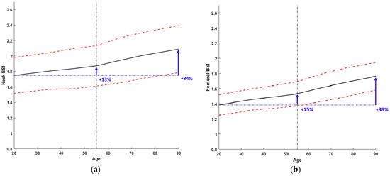
3.3.2. Femur
3.3.3. Confidence Limits
4. Discussion
5. Conclusions
Author Contributions
Funding
Institutional Review Board Statement
Informed Consent Statement
Data Availability Statement
Conflicts of Interest
References
- WA, P. Consensus Development Conference: Diagnosis, Prophylaxis, and Treatment of Osteoporosis. Am. J. Med. 1993, 94, 646–650. [Google Scholar]
- Kanis, J.A.; Cooper, C.; Rizzoli, R.; Reginster, J.-Y. European Guidance for the Diagnosis and Management of Osteoporosis in Postmenopausal Women. Osteoporos. Int. 2019, 30, 3–44. [Google Scholar] [CrossRef]
- Ulivieri, F.M.; Rinaudo, L. Beyond Bone Mineral Density: A New Dual X-Ray Absorptiometry Index of Bone Strength to Predict Fragility Fractures, the Bone Strain Index. Front. Med. 2021, 7, 590139. [Google Scholar] [CrossRef]
- Assessment of Fracture Risk and Its Application to Screening for Postmenopausal Osteoporosis. Report of a WHO Study Group; World Health Organ Technical Report Series; World Health Organization: Geneva, Switzerland, 1994; Volume 843, pp. 1–129.
- Marshall, D.; Johnell, O.; Wedel, H. Meta-Analysis of How Well Measures of Bone Mineral Density Predict Occurrence of Osteoporotic Fractures. BMJ 1996, 312, 1254–1259. [Google Scholar] [CrossRef]
- Siris, E.S.; Chen, Y.-T.; Abbott, T.A.; Barrett-Connor, E.; Miller, P.D.; Wehren, L.E.; Berger, M.L. Bone Mineral Density Thresholds for Pharmacological Intervention to Prevent Fractures. Arch. Intern. Med. 2004, 164, 1108–1112. [Google Scholar] [CrossRef] [PubMed]
- Seeman, E.; Delmas, P.D. Bone Quality—The Material and Structural Basis of Bone Strength and Fragility. N. Engl. J. Med. 2006, 354, 2250–2261. [Google Scholar] [CrossRef]
- Krohn, K.; Schwartz, E.N.; Chung, Y.-S.; Lewiecki, E.M. Dual-Energy X-Ray Absorptiometry Monitoring with Trabecular Bone Score: 2019 ISCD Official Position. J. Clin. Densitom. 2019, 22, 501–505. [Google Scholar] [CrossRef]
- Hans, D.; Barthe, N.; Boutroy, S.; Pothuaud, L.; Winzenrieth, R.; Krieg, M.-A. Correlations Between Trabecular Bone Score, Measured Using Anteroposterior Dual-Energy X-Ray Absorptiometry Acquisition, and 3-Dimensional Parameters of Bone Microarchitecture: An Experimental Study on Human Cadaver Vertebrae. J. Clin. Densitom. 2011, 14, 302–312. [Google Scholar] [CrossRef]
- Hans, D.; Goertzen, A.L.; Krieg, M.-A.; Leslie, W.D. Bone Microarchitecture Assessed by TBS Predicts Osteoporotic Fractures Independent of Bone Density: The Manitoba Study. J. Bone Miner. Res. 2011, 26, 2762–2769. [Google Scholar] [CrossRef]
- Pothuaud, L.; Barthe, N.; Krieg, M.-A.; Mehsen, N.; Carceller, P.; Hans, D. Evaluation of the Potential Use of Trabecular Bone Score to Complement Bone Mineral Density in the Diagnosis of Osteoporosis: A Preliminary Spine BMD–Matched, Case-Control Study. J. Clin. Densitom. 2009, 12, 170–176. [Google Scholar] [CrossRef]
- Silva, B.C.; Leslie, W.D. Trabecular Bone Score. Endocrinol. Metab. Clin. N. Am. 2017, 46, 153–180. [Google Scholar] [CrossRef] [PubMed]
- Mirzaali, M.J.; Libonati, F.; Ferrario, D.; Rinaudo, L.; Messina, C.; Ulivieri, F.M.; Cesana, B.M.; Strano, M.; Vergani, L. Determinants of Bone Damage: An Ex-Vivo Study on Porcine Vertebrae. PLoS ONE 2018, 13, e0202210. [Google Scholar] [CrossRef] [PubMed]
- Ulivieri, F.M.; Rinaudo, L. The Bone Strain Index: An Innovative Dual X-Ray Absorptiometry Bone Strength Index and Its Helpfulness in Clinical Medicine. J. Clin. Med. 2022, 11, 2284. [Google Scholar] [CrossRef]
- Sornay-Rendu, E.; Duboeuf, F.; Ulivieri, F.M.; Rinaudo, L.; Chapurlat, R. The Bone Strain Index Predicts Fragility Fractures. The OFELY Study. Bone 2022, 157, 116348. [Google Scholar] [CrossRef] [PubMed]
- Ulivieri, F.M.; Piodi, L.P.; Grossi, E.; Rinaudo, L.; Messina, C.; Tassi, A.P.; Filopanti, M.; Tirelli, A.; Sardanelli, F. The Role of Carboxy-Terminal Cross-Linking Telopeptide of Type I Collagen, Dual x-Ray Absorptiometry Bone Strain and Romberg Test in a New Osteoporotic Fracture Risk Evaluation: A Proposal from an Observational Study. PLoS ONE 2018, 13, e0190477. [Google Scholar] [CrossRef] [PubMed]
- Ulivieri, F.M.; Piodi, L.P.; Rinaudo, L.; Scanagatta, P.; Cesana, B.M. Bone Strain Index in the Prediction of Vertebral Fragility Refracture. Eur. Radiol. Exp. 2020, 4, 23. [Google Scholar] [CrossRef] [PubMed]
- Messina, C.; Rinaudo, L.; Cesana, B.M.; Maresca, D.; Piodi, L.P.; Sconfienza, L.M.; Sardanelli, F.; Ulivieri, F.M. Prediction of Osteoporotic Fragility Re-Fracture with Lumbar Spine DXA-Based Derived Bone Strain Index: A Multicenter Validation Study. Osteoporos. Int. 2021, 32, 85–91. [Google Scholar] [CrossRef]
- Ulivieri, F.M.; Rinaudo, L.; Piodi, L.P.; Messina, C.; Sconfienza, L.M.; Sardanelli, F.; Guglielmi, G.; Grossi, E. Bone Strain Index as a Predictor of Further Vertebral Fracture in Osteoporotic Women: An Artificial Intelligence-Based Analysis. PLoS ONE 2021, 16, e0245967. [Google Scholar] [CrossRef] [PubMed]
- Tabacco, G.; Naciu, A.M.; Messina, C.; Sanson, G.; Rinaudo, L.; Cesareo, R.; Falcone, S.; Napoli, N.; Ulivieri, F.M.; Palermo, A. DXA-Based Bone Strain Index in Normocalcemic Primary Hyperparathyroidism. Osteoporos. Int. 2023, 34, 999–1003. [Google Scholar] [CrossRef]
- Tabacco, G.; Naciu, A.M.; Messina, C.; Sanson, G.; Rinaudo, L.; Cesareo, R.; Falcone, S.; Manfrini, S.; Napoli, N.; Bilezikian, J.P.; et al. DXA-Based Bone Strain Index: A New Tool to Evaluate Bone Quality in Primary Hyperparathyroidism. J. Clin. Endocrinol. Metab. 2021, 106, 2304–2312. [Google Scholar] [CrossRef]
- Ulivieri, F.M.; Rinaudo, L.; Piodi, L.P.; Barbieri, V.; Marotta, G.; Sciumè, M.; Grifoni, F.I.; Cesana, B.M. Usefulness of Dual X-Ray Absorptiometry-Derived Bone Geometry and Structural Indexes in Mastocytosis. Calcif. Tissue Int. 2020, 107, 551–558. [Google Scholar] [CrossRef] [PubMed]
- Rodari, G.; Guez, S.; Salera, S.; Ulivieri, F.M.; Tadini, G.; Brena, M.; Profka, E.; Giacchetti, F.; Arosio, M.; Giavoli, C. A Single-Centre Study on Predictors and Determinants of Pubertal Delay and Growth Impairment in Epidermolysis Bullosa. PLoS ONE 2022, 17, e0274072. [Google Scholar] [CrossRef] [PubMed]
- Pedersini, R.; Cosentini, D.; Rinaudo, L.; Zamparini, M.; Ulivieri, F.M.; di Mauro, P.; Maffezzoni, F.; Monteverdi, S.; Vena, W.; Laini, L.; et al. Assessment of DXA Derived Bone Quality Indexes and Bone Geometry Parameters in Early Breast Cancer Patients: A Single Center Cross-Sectional Study. Bone Rep. 2023, 18, 101654. [Google Scholar] [CrossRef] [PubMed]
- Messina, C.; Piodi, L.P.; Grossi, E.; Eller-Vainicher, C.; Bianchi, M.L.; Ortolani, S.; Di Stefano, M.; Rinaudo, L.; Sconfienza, L.M.; Ulivieri, F.M. Artificial Neural Network Analysis of Bone Quality DXA Parameters Response to Teriparatide in Fractured Osteoporotic Patients. PLoS ONE 2020, 15, e0229820. [Google Scholar] [CrossRef] [PubMed]
- Ulivieri, F.M.; Rinaudo, L.; Messina, C.; Aliprandi, A.; Sconfienza, L.M.; Sardanelli, F.; Cesana, B.M. Bone Strain Index: Preliminary Distributional Characteristics in a Population of Women with Normal Bone Mass, Osteopenia and Osteoporosis. Radiol. Med. 2022, 127, 1151–1158. [Google Scholar] [CrossRef] [PubMed]
- Dufour, R.; Winzenrieth, R.; Heraud, A.; Hans, D.; Mehsen, N. Generation and Validation of a Normative, Age-Specific Reference Curve for Lumbar Spine Trabecular Bone Score (TBS) in French Women. Osteoporos. Int. 2013, 24, 2837–2846. [Google Scholar] [CrossRef] [PubMed]
- Looker, A.C.; Wahner, H.W.; Dunn, W.L.; Calvo, M.S.; Harris, T.B.; Heyse, S.P.; Johnston, C.C., Jr.; Lindsay, R. Updated Data on Proximal Femur Bone Mineral Levels of US Adults. Osteoporos. Int. 1998, 8, 468–490. [Google Scholar] [CrossRef] [PubMed]
- Nyberg, S.T.; Heikkilä, K.; Fransson, E.I.; Alfredsson, L.; De Bacquer, D.; Bjorner, J.B.; Bonenfant, S.; Borritz, M.; Burr, H.; Casini, A.; et al. Job Strain in Relation to Body Mass Index: Pooled Analysis of 160 000 Adults from 13 Cohort Studies. J. Intern. Med. 2012, 272, 65–73. [Google Scholar] [CrossRef] [PubMed]
- Rossini, M.; Adami, S.; Bertoldo, F.; Diacinti, D.; Gatti, D.; Giannini, S.; Giusti, A.; Malavolta, N.; Minisola, S.; Osella, G.; et al. Guidelines for the Diagnosis, Prevention and Management of Osteoporosis. Reumatismo 2016, 68, 1–39. [Google Scholar] [CrossRef]




| Osteoporosis Mean (±SD) Median (Q1–Q3) | Osteopenia Mean (±SD) Median (Q1–Q3) | Normal Mean (±SD) Median (Q1–Q3) | |
|---|---|---|---|
| Lumbar (Number) | 449 | 1722 | 590 |
| Age (Year) | 74.4 (5.50) 74 (70–78) | 63.5 (7.34) 64 (58–68) | 47.7 (8.45) 49 (44–53) |
| BMI | 23.85 (2.60) 23.79 (21.88–25.78) | 24.10 (2.83) 23.83 (21.97–26.27) | 23.84 (2.91) 23.60 (21.48–26.03) |
| Lumbar BMD | 0.746 (0.024) 0.752 (0.732–0.766) | 0.850 (0.042) 0.849 (0.814–0.885) | 0.981 (0.035) 0.976 (0.952–1.003) |
| Lumbar BSI | 2.288 (0.258) 2.286 (2.101–2.484) | 1.972 (0.279) 1.956 (1.774–2.158) | 1.598 (0.233) 1.604 (1.426–1.77) |
| Osteoporosis Mean (±SD) Median (Q1–Q3) | Osteopenia Mean (±SD) Median (Q1–Q3) | Normal Mean (±SD) Median (Q1–Q3) | |
|---|---|---|---|
| Femur (Number) | 449 | 1722 | 590 |
| Age (Year) | 213 | 4558 | 2134 |
| BMI | 79.6 (4.50) 79 (76–83) | 68.9 (8.04) 69 (63–74) | 56.5 (10.06) 57 (51–64) |
| Femoral BMD | 22.85 (2.61) 22.37 (20.81–24.67) | 24.28 (2.65) 24.16 (22.31–26.27) | 24.80 (2.77) 24.83 (22.62–26.99) |
| Femoral BSI | 0.623 (0.016) 0.628 (0.614–0.636) | 0.744 (0.043) 0.747 (0.713–0.779) | 0.865 (0.038) 0.857 (0.833–0.891) |
| Neck BMD | 1.883 (0.146) 1.896 (1.778–2.001) | 1.655 (0.172) 1.649 (1.531–1.772) | 1.477 (0.146) 1.471 (1.374–1.575) |
| Neck BSI | 0.542 (0.044) 0.537 (0.511–0.569) | 0.621 (0.052) 0.62 (0.584–0.655) | 0.718 (0.055) 0.715 (0.68–0.758) |
| Age Group (y) | L1 | L2 | L3 | L4 | Total |
|---|---|---|---|---|---|
| 20–29 | 1.65 ± 0.27 | 1.46 ± 0.23 | 1.36 ± 0.24 | 1.29 ± 0.23 | 1.44 ± 0.23 |
| 30–39 | 1.67 ± 0.23 | 1.49 ± 0.18 | 1.38 ± 0.18 | 1.33 ± 0.20 | 1.47 ± 0.19 |
| 40–49 | 1.83 ± 0.26 | 1.62 ± 0.24 | 1.52 ± 0.22 | 1.45 ± 0.22 | 1.61 ± 0.23 |
| 50–59 | 2.05 ± 0.28 | 1.83 ± 0.26 | 1.72 ± 0.25 | 1.63 ± 0.26 | 1.81 ± 0.25 |
| 60–69 | 2.30 ± 0.31 | 2.06 ± 0.29 | 1.94 ± 0.28 | 1.83 ± 0.28 | 2.03 ± 0.28 |
| 70–79 | 2.50 ± 0.33 | 2.21 ± 0.30 | 2.11 ± 0.29 | 2.00 ± 0.30 | 2.20 ± 0.29 |
| 80–89 | 2.49 ± 0.36 | 2.23 ± 0.31 | 2.12 ± 0.30 | 2.04 ± 0.29 | 2.22 ± 0.30 |
| Age Group (y) | Neck | Inter | Troch | Total |
|---|---|---|---|---|
| 20–29 | 1.77 ± 0.23 | 1.14 ± 0.14 | 1.33 ± 0.12 | 1.41 ± 0.14 |
| 30–39 | 1.81 ± 0.23 | 1.18 ± 0.16 | 1.37 ± 0.13 | 1.45 ± 0.16 |
| 40–49 | 1.84 ± 0.24 | 1.20 ± 0.15 | 1.44 ± 0.14 | 1.50 ± 0.14 |
| 50–59 | 1.87 ± 0.26 | 1.22 ± 0.16 | 1.51 ± 0.16 | 1.53 ± 0.16 |
| 60–69 | 1.94 ± 0.29 | 1.27 ± 0.17 | 1.61 ± 0.18 | 1.61 ± 0.18 |
| 70–79 | 2.01 ± 0.30 | 1.32 ± 0.17 | 1.69 ± 0.19 | 1.67 ± 0.19 |
| 80–89 | 2.06 ± 0.30 | 1.35 ± 0.17 | 1.78 ± 0.18 | 1.73 ± 0.18 |
| Osteoporosis | Osteopenia | Normale | |
|---|---|---|---|
| Lumbar BSI | |||
| 95% CI.P | 1.796; 2.758 | 1.425; 2.519 | 1.141; 2.055 |
| 95% CI.NP | 1.782; 2.794 | 1.473; 2.557 | 1.158; 2.05 |
| Femur BSI | |||
| 95% CI.P | 1.597; 2.169 | 1.318; 1.992 | 1.191; 1.763 |
| 95% CI.NP | 1.562; 2.112 | 1.34; 1.998 | 1.205; 1.778 |
| Neck BSI | |||
| 95% CI.P | 1.748; 2.783 | 1.436; 2.546 | 1.32; 2.3 |
| 95% CI.NP | 1.744; 2.694 | 1.459; 2.549 | 1.336; 2.317 |
Disclaimer/Publisher’s Note: The statements, opinions and data contained in all publications are solely those of the individual author(s) and contributor(s) and not of MDPI and/or the editor(s). MDPI and/or the editor(s) disclaim responsibility for any injury to people or property resulting from any ideas, methods, instructions or products referred to in the content. |
© 2024 by the authors. Licensee MDPI, Basel, Switzerland. This article is an open access article distributed under the terms and conditions of the Creative Commons Attribution (CC BY) license (https://creativecommons.org/licenses/by/4.0/).
Share and Cite
Rinaudo, L.; Cuttone, S.; Messina, C.; Magni, V.; Capra, D.; Sconfienza, L.M.; Sardanelli, F.; Ulivieri, F.M. Generation and Validation of Normative, Age-Specific Reference Curves for Bone Strain Index in Women. Diagnostics 2024, 14, 1046. https://doi.org/10.3390/diagnostics14101046
Rinaudo L, Cuttone S, Messina C, Magni V, Capra D, Sconfienza LM, Sardanelli F, Ulivieri FM. Generation and Validation of Normative, Age-Specific Reference Curves for Bone Strain Index in Women. Diagnostics. 2024; 14(10):1046. https://doi.org/10.3390/diagnostics14101046
Chicago/Turabian StyleRinaudo, Luca, Sofia Cuttone, Carmelo Messina, Veronica Magni, Davide Capra, Luca Maria Sconfienza, Francesco Sardanelli, and Fabio Massimo Ulivieri. 2024. "Generation and Validation of Normative, Age-Specific Reference Curves for Bone Strain Index in Women" Diagnostics 14, no. 10: 1046. https://doi.org/10.3390/diagnostics14101046
APA StyleRinaudo, L., Cuttone, S., Messina, C., Magni, V., Capra, D., Sconfienza, L. M., Sardanelli, F., & Ulivieri, F. M. (2024). Generation and Validation of Normative, Age-Specific Reference Curves for Bone Strain Index in Women. Diagnostics, 14(10), 1046. https://doi.org/10.3390/diagnostics14101046

