Radiation Dose Reduction for Coronary Artery Calcium Scoring Using a Virtual Noniodine Algorithm on Photon-Counting Detector Computed-Tomography Phantom Data
Abstract
1. Introduction
2. Materials and Methods
2.1. Phantom Setup
2.2. Data Acquisition
2.3. Image Reconstruction
2.4. Image Analysis
2.5. Statistical Analysis
3. Results
3.1. Image Quality
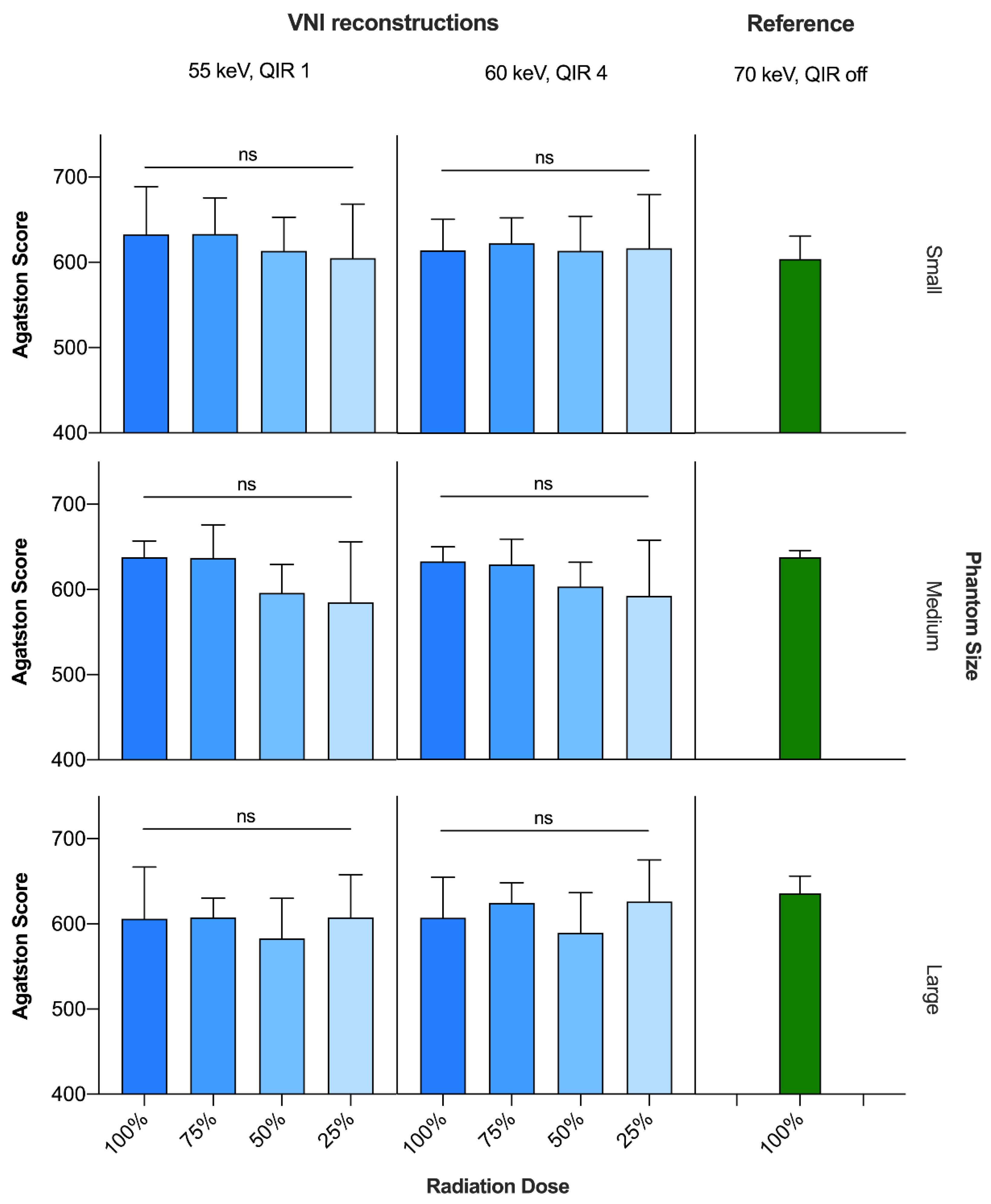
3.2. Calcium Scoring
4. Discussion
5. Conclusions
Author Contributions
Funding
Institutional Review Board Statement
Informed Consent Statement
Data Availability Statement
Conflicts of Interest
Abbreviations
| ACC | American College of Cardiology |
| AHA | America |
| AS | Agatston score |
| Bpm | Beats per minute |
| CACS | Coronary artery calcium scoring |
| CAD-RADS | Coronary Artery Disease-Reporting and Data System |
| CCTA | Coronary CT angiography |
| CNR | Contrast-to-noise ratio |
| CT | Computed tomography |
| CTDIVol | Volumetric computed tomography dose indices |
| CV | Coefficient of variation |
| ECG | Electrocardiogram |
| HU | Hounsfield units |
| ICC | Intraclass correlation coefficient |
| IN | Image noise |
| IR | Iterative reconstruction |
| LoA | Limits of agreement |
| ns | Not significant |
| PCD | Photon-counting detector |
| QIR | Quantum iterative reconstruction |
| RMSE | Root-mean squared error |
| ROI | Region of interest |
| SD | Standard deviation |
| TNC | True noncontrast |
| VMI | Virtual monoenergetic image |
| VNC | Virtual noncontrast |
| VNI | Virtual noniodine |
References
- Grandhi, G.R.; Mirbolouk, M.; Dardari, Z.A.; Al-Mallah, M.H.; Rumberger, J.A.; Shaw, L.J.; Blankstein, R.; Miedema, M.D.; Berman, D.S.; Budoff, M.J.; et al. Interplay of Coronary Artery Calcium and Risk Factors for Predicting CVD/CHD Mortality: The CAC Consortium. JACC Cardiovasc. Imaging 2020, 13, 1175–1186. [Google Scholar] [CrossRef] [PubMed]
- Divakaran, S.; Cheezum, M.K.; Hulten, E.A.; Bittencourt, M.S.; Silverman, M.G.; Nasir, K.; Blankstein, R. Use of Cardiac CT and Calcium Scoring for Detecting Coronary Plaque: Implications on Prognosis and Patient Management. Br. J. Radiol. 2015, 88, 20140594. [Google Scholar] [CrossRef] [PubMed]
- Polonsky, T.S.; McClelland, R.L.; Jorgensen, N.W.; Bild, D.E.; Burke, G.L.; Guerci, A.D.; Greenland, P. Coronary Artery Calcium Score and Risk Classification for Coronary Heart Disease Prediction. JAMA 2010, 303, 1610–1616. [Google Scholar] [CrossRef] [PubMed]
- Detrano, R.; Guerci, A.D.; Carr, J.J.; Bild, D.E.; Burke, G.; Folsom, A.R.; Liu, K.; Shea, S.; Szklo, M.; Bluemke, D.A.; et al. Coronary Calcium as a Predictor of Coronary Events in Four Racial or Ethnic Groups. N. Engl. J. Med. 2008, 358, 1336–1345. [Google Scholar] [CrossRef]
- Vakil, P.; Wen, Z.; Lima, A.S.; Weber, E.J.; Kallianos, K.G.; Elicker, B.M.; Naeger, D.M.; Henry, T.S.; Ordovas, K.G. Predictive Value of Coronary Artery Calcium in Patients Receiving Computed Tomography Pulmonary Angiography for Suspected Pulmonary Embolism in the Emergency Department. J. Thorac. Imaging 2022, 37, 279–284. [Google Scholar] [CrossRef]
- Xia, C.; Vonder, M.; Sidorenkov, G.; Den Dekker, M.; Oudkerk, M.; van Bolhuis, J.N.; Pelgrim, G.J.; Rook, M.; de Bock, G.H.; van der Harst, P.; et al. Cardiovascular Risk Factors and Coronary Calcification in a Middle-Aged Dutch Population: The ImaLife Study. J. Thorac. Imaging 2021, 36, 174. [Google Scholar] [CrossRef]
- Rumberger, J.A.; Brundage, B.H.; Rader, D.J.; Kondos, G. Electron Beam Computed Tomographic Coronary Calcium Scanning: A Review and Guidelines for Use in Asymptomatic Persons. Mayo Clin. Proc. 1999, 74, 243–252. [Google Scholar] [CrossRef]
- Agatston, A.S.; Janowitz, W.R.; Hildner, F.J.; Zusmer, N.R.; Viamonte, M.; Detrano, R. Quantification of Coronary Artery Calcium Using Ultrafast Computed Tomography. J. Am. Coll. Cardiol. 1990, 15, 827–832. [Google Scholar] [CrossRef]
- Arnett Donna, K.; Blumenthal Roger, S.; Albert Michelle, A.; Buroker Andrew, B.; Goldberger Zachary, D.; Hahn Ellen, J.; Himmelfarb Cheryl, D.; Amit, K.; Donald, L.-J.; William, M.J.; et al. 2019 ACC/AHA Guideline on the Primary Prevention of Cardiovascular Disease. J. Am. Coll. Cardiol. 2019, 74, e177–e232. [Google Scholar] [CrossRef]
- Willemink, M.J.; Persson, M.; Pourmorteza, A.; Pelc, N.J.; Fleischmann, D. Photon-Counting CT: Technical Principles and Clinical Prospects. Radiology 2018, 289, 293–312. [Google Scholar] [CrossRef]
- Kreisler, B. Photon Counting Detectors: Concept, Technical Challenges, and Clinical Outlook. Eur. J. Radiol. 2022, 149, 110229. [Google Scholar] [CrossRef]
- Sandfort, V.; Persson, M.; Pourmorteza, A.; Noël, P.B.; Fleischmann, D.; Willemink, M.J. Spectral Photon-Counting CT in Cardiovascular Imaging. J. Cardiovasc. Comput. Tomogr. 2021, 15, 218–225. [Google Scholar] [CrossRef]
- Farhadi, F.; Rajagopal, J.R.; Nikpanah, M.; Sahbaee, P.; Malayeri, A.A.; Pritchard, W.F.; Samei, E.; Jones, E.C.; Chen, M.Y. Review of Technical Advancements and Clinical Applications of Photon-Counting Computed Tomography in Imaging of the Thorax. J. Thorac. Imaging 2021, 36, 84–94. [Google Scholar] [CrossRef]
- Leng, S.; Yu, Z.; Halaweish, A.; Kappler, S.; Hahn, K.; Henning, A.; Li, Z.; Lane, J.; Levin, D.L.; Jorgensen, S.; et al. Dose-Efficient Ultrahigh-Resolution Scan Mode Using a Photon Counting Detector Computed Tomography System. J. Med. Imaging 2016, 3, 043504. [Google Scholar] [CrossRef]
- Sandstedt, M.; Marsh, J.; Rajendran, K.; Gong, H.; Tao, S.; Persson, A.; Leng, S.; McCollough, C. Improved Coronary Calcification Quantification Using Photon-Counting-Detector CT: An Ex Vivo Study in Cadaveric Specimens. Eur. Radiol. 2021, 31, 6621–6630. [Google Scholar] [CrossRef]
- Symons, R.; Pourmorteza, A.; Sandfort, V.; Ahlman, M.A.; Cropper, T.; Mallek, M.; Kappler, S.; Ulzheimer, S.; Mahesh, M.; Jones, E.C.; et al. Feasibility of Dose-Reduced Chest CT with Photon-Counting Detectors: Initial Results in Humans. Radiology 2017, 285, 980–989. [Google Scholar] [CrossRef]
- Emrich, T.; Aquino, G.; Schoepf, U.J.; Braun, F.M.; Risch, F.; Bette, S.J.; Woznicki, P.; Decker, J.A.; O’Doherty, J.; Brandt, V.; et al. Coronary Computed Tomography Angiography–Based Calcium Scoring: In Vitro and In Vivo Validation of a Novel Virtual Noniodine Reconstruction Algorithm on a Clinical, First-Generation Dual-Source Photon Counting-Detector System. Invest. Radiol. 2022, 7, 536–543. [Google Scholar] [CrossRef]
- van Praagh, G.D.; Wang, J.; van der Werf, N.R.; Greuter, M.J.W.; Mastrodicasa, D.; Nieman, K.; van Hamersvelt, R.W.; Oostveen, L.J.; de Lange, F.; Slart, R.H.J.A.; et al. Coronary Artery Calcium Scoring: Toward a New Standard. Investig. Radiol. 2022, 57, 13–22. [Google Scholar] [CrossRef]
- Vingiani, V.; Abadia, A.F.; Schoepf, U.J.; Fischer, A.M.; Varga-Szemes, A.; Sahbaee, P.; Allmendinger, T.; Giovagnoli, D.A.; Hudson, H.T.; Marano, R.; et al. Individualized Coronary Calcium Scoring at Any Tube Voltage Using a KV-Independent Reconstruction Algorithm. Eur. Radiol. 2020, 30, 5834–5840. [Google Scholar] [CrossRef]
- Tesche, C.; De Cecco, C.N.; Vliegenthart, R.; Albrecht, M.H.; Varga-Szemes, A.; Duguay, T.M.; Ebersberger, U.; Bayer, R.R.; Canstein, C.; Schmidt, B.; et al. Accuracy and Radiation Dose Reduction Using Low-Voltage Computed Tomography Coronary Artery Calcium Scoring with Tin Filtration. Am. J. Cardiol. 2017, 119, 675–680. [Google Scholar] [CrossRef]
- Hecht, H.S.; de Siqueira, M.E.M.; Cham, M.; Yip, R.; Narula, J.; Henschke, C.; Yankelevitz, D. Low-vs. Standard-Dose Coronary Artery Calcium Scanning. Eur. Heart J.—Cardiovasc. Imaging 2015, 16, 358–363. [Google Scholar] [CrossRef] [PubMed]
- Rutten, A.; Isgum, I.; Prokop, M. Coronary Calcification: Effect of Small Variation of Scan Starting Position on Agatston, Volume, and Mass Scores. Radiology 2008, 246, 90–98. [Google Scholar] [CrossRef] [PubMed]
- Groen, J.; Greuter, M.; Vliegenthart, R.; Suess, C.; Schmidt, B.; Zijlstra, F.; Oudkerk, M. Calcium Scoring Using 64-Slice MDCT, Dual Source CT and EBT: A Comparative Phantom Study. Int. J. Cardiovasc. Imaging 2008, 24, 547–556. [Google Scholar] [CrossRef] [PubMed]
- Renker, M.; Ramachandra, A.; Schoepf, U.J.; Raupach, R.; Apfaltrer, P.; Rowe, G.W.; Vogt, S.; Flohr, T.G.; Kerl, J.M.; Bauer, R.W.; et al. Iterative Image Reconstruction Techniques: Applications for Cardiac CT. J. Cardiovasc. Comput. Tomogr. 2011, 5, 225–230. [Google Scholar] [CrossRef] [PubMed]
- Sartoretti, T.; Landsmann, A.; Nakhostin, D.; Eberhard, M.; Roeren, C.; Mergen, V.; Higashigaito, K.; Raupach, R.; Alkadhi, H.; Euler, A. Quantum Iterative Reconstruction for Abdominal Photon-Counting Detector CT Improves Image Quality. Radiology 2022, 303, 339–348. [Google Scholar] [CrossRef]
- Willemink, M.J.; den Harder, A.M.; Foppen, W.; Schilham, A.M.R.; Rienks, R.; Laufer, E.M.; Nieman, K.; de Jong, P.A.; Budde, R.P.J.; Nathoe, H.M.; et al. Finding the Optimal Dose Reduction and Iterative Reconstruction Level for Coronary Calcium Scoring. J. Cardiovasc. Comput. Tomogr. 2016, 10, 69–75. [Google Scholar] [CrossRef]
- Sartoretti, T.; Racine, D.; Mergen, V.; Jungblut, L.; Monnin, P.; Flohr, T.G.; Martini, K.; Frauenfelder, T.; Alkadhi, H.; Euler, A. Quantum Iterative Reconstruction for Low-Dose Ultra-High-Resolution Photon-Counting Detector CT of the Lung. Diagnostics 2022, 12, 522. [Google Scholar] [CrossRef]
- Choi, A.D.; Leifer, E.S.; Yu, J.H.; Datta, T.; Bronson, K.C.; Rollison, S.F.; Schuzer, J.L.; Steveson, C.; Shanbhag, S.M.; Chen, M.Y. Reduced Radiation Dose with Model Based Iterative Reconstruction Coronary Artery Calcium Scoring. Eur. J. Radiol. 2019, 111, 1–5. [Google Scholar] [CrossRef]
- Racine, D.; Mergen, V.; Viry, A.; Eberhard, M.; Becce, F.; Rotzinger, D.C.; Alkadhi, H.; Euler, A. Photon-Counting Detector CT With Quantum Iterative Reconstruction: Impact on Liver Lesion Detection and Radiation Dose Reduction. Investig. Radiol. 2023, 58, 245–252. [Google Scholar] [CrossRef]
- Willemink, M.J.; Noël, P.B. The Evolution of Image Reconstruction for CT—From Filtered Back Projection to Artificial Intelligence. Eur. Radiol. 2019, 29, 2185–2195. [Google Scholar] [CrossRef]
- Fink, N.; Zsarnoczay, E.; Schoepf, U.J.; Griffith, J.P., III; Wolf, E.V.; O’Doherty, J.; Suranyi, P.; Baruah, D.; Kabakus, I.M.; Ricke, J.; et al. Photon Counting Detector CT-Based Virtual Non-Iodine Reconstruction Algorithm for In Vitro and In Vivo Coronary Artery Calcium Scoring—Impact of Virtual Monoenergetic and Quantum Iterative Reconstructions. Investig. Radiol. 2023; in press. [Google Scholar]
- Zhang, D.; Scott, A.; Lee, C.; Gellada, N.; Hyun, M.; Zhou, Y. Coronary Artery Calcium Scoring at Lower Tube Voltages—Dose Determination and Scoring Mechanism. Eur. J. Radiol. 2021, 139, 109680. [Google Scholar] [CrossRef]
- Voros, S.; Rivera, J.J.; Berman, D.S.; Blankstein, R.; Budoff, M.J.; Cury, R.C.; Desai, M.Y.; Dey, D.; Halliburton, S.S.; Hecht, H.S.; et al. Guideline for Minimizing Radiation Exposure during Acquisition of Coronary Artery Calcium Scans with the Use of Multidetector Computed Tomography: A Report by the Society for Atherosclerosis Imaging and Prevention Tomographic Imaging and Prevention Councils in Collaboration with the Society of Cardiovascular Computed Tomography. J. Cardiovasc. Comput. Tomogr. 2011, 5, 75–83. [Google Scholar] [CrossRef]
- Koo, T.K.; Li, M.Y. A Guideline of Selecting and Reporting Intraclass Correlation Coefficients for Reliability Research. J. Chiropr. Med. 2016, 15, 155–163. [Google Scholar] [CrossRef]
- van der Werf, N.R.; Booij, R.; Schmidt, B.; Flohr, T.G.; Leiner, T.; de Groen, J.J.; Bos, D.; Budde, R.P.J.; Willemink, M.J.; Greuter, M.J.W. Evaluating a Calcium-Aware Kernel for CT CAC Scoring with Varying Surrounding Materials and Heart Rates: A Dynamic Phantom Study. Eur. Radiol. 2021, 31, 9211–9220. [Google Scholar] [CrossRef]
- Nakazato, R.; Dey, D.; Gutstein, A.; Le Meunier, L.; Cheng, V.Y.; Pimentel, R.; Paz, W.; Hayes, S.W.; Thomson, L.E.J.; Friedman, J.D.; et al. Coronary Artery Calcium Scoring Using a Reduced Tube Voltage and Radiation Dose Protocol with Dual-Source Computed Tomography. J. Cardiovasc. Comput. Tomogr. 2009, 3, 394–400. [Google Scholar] [CrossRef]
- Dey, D.; Nakazato, R.; Pimentel, R.; Paz, W.; Hayes, S.W.; Friedman, J.D.; Cheng, V.Y.; Thomson, L.E.J.; Slomka, P.J.; Berman, D.S. Low Radiation Coronary Calcium Scoring by Dual-Source CT with Tube Current Optimization Based on Patient Body Size. J. Cardiovasc. Comput. Tomogr. 2012, 6, 113–120. [Google Scholar] [CrossRef]
- Tao, S.; Sheedy, E.; Bruesewitz, M.; Weber, N.; Williams, K.; Halaweish, A.; Schmidt, B.; Williamson, E.; McCollough, C.; Leng, S. Technical Note: KV-Independent Coronary Calcium Scoring: A Phantom Evaluation of Score Accuracy and Potential Radiation Dose Reduction. Med. Phys. 2021, 48, 1307–1314. [Google Scholar] [CrossRef]
- Apfaltrer, G.; Albrecht, M.H.; Schoepf, U.J.; Duguay, T.M.; De Cecco, C.N.; Nance, J.W.; De Santis, D.; Apfaltrer, P.; Eid, M.H.; Eason, C.D.; et al. High-Pitch Low-Voltage CT Coronary Artery Calcium Scoring with Tin Filtration: Accuracy and Radiation Dose Reduction. Eur. Radiol. 2018, 28, 3097–3104. [Google Scholar] [CrossRef]
- van der Werf, N.R.; van Gent, M.; Booij, R.; Bos, D.; van der Lugt, A.; Budde, R.P.J.; Greuter, M.J.W.; van Straten, M. Dose Reduction in Coronary Artery Calcium Scoring Using Mono-Energetic Images from Reduced Tube Voltage Dual-Source Photon-Counting CT Data: A Dynamic Phantom Study. Diagnostics 2021, 11, 2192. [Google Scholar] [CrossRef]
- Mergen, V.; Higashigaito, K.; Allmendinger, T.; Manka, R.; Euler, A.; Alkadhi, H.; Eberhard, M. Tube Voltage-Independent Coronary Calcium Scoring on a First-Generation Dual-Source Photon-Counting CT—A Proof-of-Principle Phantom Study. Int. J. Cardiovasc. Imaging 2022, 38, 905–912. [Google Scholar] [CrossRef]
- van der Werf, N.R.; Greuter, M.J.W.; Booij, R.; van der Lugt, A.; Budde, R.P.J.; van Straten, M. Coronary Calcium Scores on Dual-Source Photon-Counting Computed Tomography: An Adapted Agatston Methodology Aimed at Radiation Dose Reduction. Eur. Radiol. 2022, 32, 5201–5209. [Google Scholar] [CrossRef]
- van der Werf, N.R.; Rodesch, P.A.; Si-Mohamed, S.; van Hamersvelt, R.W.; Greuter, M.J.W.; Leiner, T.; Boussel, L.; Willemink, M.J.; Douek, P. Improved Coronary Calcium Detection and Quantification with Low-Dose Full Field-of-View Photon-Counting CT: A Phantom Study. Eur. Radiol. 2022, 32, 3447–3457. [Google Scholar] [CrossRef]
- van Werkhoven, J.M.; Schuijf, J.D.; Gaemperli, O.; Jukema, J.W.; Kroft, L.J.; Boersma, E.; Pazhenkottil, A.; Valenta, I.; Pundziute, G.; de Roos, A.; et al. Incremental Prognostic Value of Multi-Slice Computed Tomography Coronary Angiography over Coronary Artery Calcium Scoring in Patients with Suspected Coronary Artery Disease. Eur. Heart J. 2009, 30, 2622–2629. [Google Scholar] [CrossRef]
- Leschka, S.; Scheffel, H.; Desbiolles, L.; Plass, A.; Gaemperli, O.; Stolzmann, P.; Genoni, M.; Luescher, T.; Marincek, B.; Kaufmann, P.; et al. Combining Dual-Source Computed Tomography Coronary Angiography and Calcium Scoring: Added Value for the Assessment of Coronary Artery Disease. Heart 2008, 94, 1154. [Google Scholar] [CrossRef]
- Cury Ricardo, C.; Jonathon, L.; Suhny, A.; Stephan, A.; Daniel, B.; Marcio, B.; Matthew, B.; Kavitha, C.; Andrew, D.; Brian, G.; et al. CAD-RADSTM 2.0—2022 Coronary Artery Disease-Reporting and Data System. JACC Cardiovasc. Imaging 2022, 15, 1974–2001. [Google Scholar] [CrossRef]
- Gassert, F.G.; Schacky, C.E.; Müller-Leisse, C.; Gassert, F.T.; Pahn, G.; Laugwitz, K.-L.; Makowski, M.R.; Nadjiri, J. Calcium Scoring Using Virtual Non-Contrast Images from a Dual-Layer Spectral Detector CT: Comparison to True Non-Contrast Data and Evaluation of Proportionality Factor in a Large Patient Collective. Eur. Radiol. 2021, 31, 6193–6199. [Google Scholar] [CrossRef]
- van Osch, J.A.C.; Mouden, M.; van Dalen, J.A.; Timmer, J.R.; Reiffers, S.; Knollema, S.; Greuter, M.J.W.; Ottervanger, J.P.; Jager, P.L. Influence of Iterative Image Reconstruction on CT-Based Calcium Score Measurements. Int. J. Cardiovasc. Imaging 2014, 30, 961–967. [Google Scholar] [CrossRef]
- Szilveszter, B.; Elzomor, H.; Károlyi, M.; Kolossváry, M.; Raaijmakers, R.; Benke, K.; Celeng, C.; Bartykowszki, A.; Bagyura, Z.; Lux, Á.; et al. The Effect of Iterative Model Reconstruction on Coronary Artery Calcium Quantification. Int. J. Cardiovasc. Imaging 2016, 32, 153–160. [Google Scholar] [CrossRef]
- Tesche, C.; De Cecco, C.N.; Schoepf, U.J.; Duguay, T.M.; Albrecht, M.H.; Caruso, D.; Varga-Szemes, A.; Lesslie, V.W.; Ebersberger, U.; Canstein, C.; et al. Iterative Beam-Hardening Correction with Advanced Modeled Iterative Reconstruction in Low Voltage CT Coronary Calcium Scoring with Tin Filtration: Impact on Coronary Artery Calcium Quantification and Image Quality. J. Cardiovasc. Comput. Tomogr. 2017, 11, 354–359. [Google Scholar] [CrossRef]
- Willemink, M.J.; Takx, R.A.P.; de Jong, P.A.; Budde, R.P.J.; Bleys, R.L.A.W.; Das, M.; Wildberger, J.E.; Prokop, M.; Buls, N.; de Mey, J.; et al. The Impact of CT Radiation Dose Reduction and Iterative Reconstruction Algorithms from Four Different Vendors on Coronary Calcium Scoring. Eur. Radiol. 2014, 24, 2201–2212. [Google Scholar] [CrossRef]
- Eberhard, M.; Mergen, V.; Higashigaito, K.; Allmendinger, T.; Manka, R.; Flohr, T.; Schmidt, B.; Euler, A.; Alkadhi, H. Coronary Calcium Scoring with First Generation Dual-Source Photon-Counting CT—First Evidence from Phantom and In-Vivo Scans. Diagnostics 2021, 11, 1708. [Google Scholar] [CrossRef] [PubMed]
- Keelan, P.C.; Bielak, L.F.; Ashai, K.; Jamjoum, L.S.; Denktas, A.E.; Rumberger, J.A.; Sheedy, I.; Patrick, F.; Peyser, P.A.; Schwartz, R.S. Long-Term Prognostic Value of Coronary Calcification Detected by Electron-Beam Computed Tomography in Patients Undergoing Coronary Angiography. Circulation 2001, 104, 412–417. [Google Scholar] [CrossRef] [PubMed]
- Becker, A.; Leber, A.; Becker, C.; Knez, A. Predictive Value of Coronary Calcifications for Future Cardiac Events in Asymptomatic Individuals. Am. Heart J. 2008, 155, 154–160. [Google Scholar] [CrossRef] [PubMed]
- Craiem, D.; Casciaro, M.; Pascaner, A.; Soulat, G.; Guilenea, F.; Sirieix, M.-E.; Simon, A.; Mousseaux, E. Association of Calcium Density in the Thoracic Aorta with Risk Factors and Clinical Events. Eur. Radiol. 2020, 30, 3960–3967. [Google Scholar] [CrossRef] [PubMed]
- Razavi, A.C.; van Assen, M.; De Cecco, C.N.; Dardari, Z.A.; Berman, D.S.; Budoff, M.J.; Miedema, M.D.; Nasir, K.; Rozanski, A.; Rumberger, J.A.; et al. Discordance Between Coronary Artery Calcium Area and Density Predicts Long-Term Atherosclerotic Cardiovascular Disease Risk. JACC Cardiovasc. Imaging 2022, 15, 1929–1940. [Google Scholar] [CrossRef]
- Greenland, P.; Alpert, J.S.; Beller, G.A.; Benjamin, E.J.; Budoff, M.J.; Fayad, Z.A.; Foster, E.; Hlatky, M.A.; Hodgson, J.M.C.B.; Kushner, F.G.; et al. 2010 ACCF/AHA Guideline for Assessment of Cardiovascular Risk in Asymptomatic Adults: A Report of the American College of Cardiology Foundation/American Heart Association Task Force on Practice Guidelines Developed in Collaboration with the American Society of Echocardiography, American Society of Nuclear Cardiology, Society of Atherosclerosis Imaging and Prevention, Society for Cardiovascular Angiography and Interventions, Society of Cardiovascular Computed Tomography, and Society for Cardiovascular Magnetic Resonance. J. Am. Coll. Cardiol. 2010, 56, e50–e103. [Google Scholar] [CrossRef]
- Goff, D.C.; Lloyd-Jones, D.M.; Bennett, G.; Coady, S.; D’Agostino, R.B.; Gibbons, R.; Greenland, P.; Lackland, D.T.; Levy, D.; O’Donnell, C.J.; et al. 2013 ACC/AHA Guideline on the Assessment of Cardiovascular Risk. Circulation 2014, 129, S49–S73. [Google Scholar] [CrossRef]
- Kim, K.P.; Einstein, A.J.; Berrington de González, A. Coronary Artery Calcification Screening: Estimated Radiation Dose and Cancer Risk. Arch. Intern. Med. 2009, 169, 1188–1194. [Google Scholar] [CrossRef]
- Gerber, T.C.; Carr, J.J.; Arai, A.E.; Dixon, R.L.; Ferrari, V.A.; Gomes, A.S.; Heller, G.V.; McCollough, C.H.; McNitt-Gray, M.F.; Mettler, F.A.; et al. Ionizing Radiation in Cardiac Imaging. Circulation 2009, 119, 1056–1065. [Google Scholar] [CrossRef]


| Phantom Size | Radiation Dose Level | ||||
|---|---|---|---|---|---|
| 100% | 75% | 50% | 25% | ||
| CTDIVol (mGy) * | Small | 1.4 ± 0.1 | 1.1 ± 0.03 | 0.7 ± 0.01 | 0.5 ± 0.01 |
| Medium | 3.1 ± 0.04 | 2.3 ± 0.1 | 1.6 ± 0.1 | 0.9 ± 0.1 | |
| Large | 6.1 ± 0.2 | 4.7 ± 0.2 | 3.2 ± 0.1 | 1.6 ± 0.1 | |
| Dose | Reconstruction | keV | QIR | IN | CNR |
|---|---|---|---|---|---|
| 100% | TNC | 70 | off | 16.7 ± 1.9 | 13.2 ± 1.3 |
| VNI | 55 | 1 | 12.8 ± 1.7 * | 7.5 ± 1.1 * | |
| VNI | 60 | 4 | 7.7 ± 0.9 *# | 10.6 ± 1.5 *# | |
| 75% | TNC | 70 | off | 18.6 ± 2.1 | 11.7 ± 1.3 |
| VNI | 55 | 1 | 14.6 ± 2.2 * | 6.7 ± 0.8 * | |
| VNI | 60 | 4 | 8.6 ± 1.2 *# | 9.7 ± 1.2 *# | |
| 50% | TNC | 70 | off | 22.0 ± 1.6 | 9.9 ± 0.7 |
| VNI | 55 | 1 | 16.9 ± 1.8 * | 6.2 ± 0.6 * | |
| VNI | 60 | 4 | 10.1 ± 0.9 *# | 8.5 ± 0.8 *# | |
| 25% | TNC | 70 | off | 25.4 ± 2.0 | 8.7 ± 0.6 |
| VNI | 55 | 1 | 20.9 ± 2.8 * | 5.2 ± 0.9 * | |
| VNI | 60 | 4 | 12.5 ± 1.8 *# | 7.0 ± 1.6 *# |
| Dose | Total AS 1 | r * | ICC * | Bias * | LoA * | CV (RSME) *,# | |
|---|---|---|---|---|---|---|---|
| TNC reconstruction | |||||||
| 70 keV QIR off | 100% | 625.8 ± 24.4 | |||||
| VNI reconstructions | |||||||
| 55 keV QIR 1 | 100% | 625.5 ± 47.4 | 0.88 | 0.96 | −0.04 | −53.4/53.3 | 6.9 (1.6–9.6) |
| 75% | 625.8 ± 35.7 | 0.88 | 0.96 | 0.01 | −54.8/54.8 | 5.2 (2.9–6.8) | |
| 50% | 597.4 ± 39.6 | 0.88 | 0.96 | −4.7 | −55.3/46.1 | 6.6 (3.7–8.5) | |
| 25% | 599.0 ± 58.4 | 0.89 | 0.97 | −4.5 | −55.1/46.2 | 7.8 (4.8–10.0) | |
| 60 keV QIR 4 | 100% | 618.1 ± 35.2 | 0.88 | 0.97 | −1.3 | −52.5/50.0 | 5.4 (2.6–7.2) |
| 75% | 625.5 ± 26.0 | 0.88 | 0.96 | −0.04 | −55.6/55.5 | 4.0 (2.2–5.2) | |
| 50% | 602.2 ± 38.2 | 0.88 | 0.96 | −3.9 | −56.2/48.3 | 6.2 (2.8–8.3) | |
| 25% | 611.5 ± 57.3 | 0.89 | 0.96 | −2.4 | −57.2/52.4 | 7.1 (3.3–9.5) | |
Disclaimer/Publisher’s Note: The statements, opinions and data contained in all publications are solely those of the individual author(s) and contributor(s) and not of MDPI and/or the editor(s). MDPI and/or the editor(s) disclaim responsibility for any injury to people or property resulting from any ideas, methods, instructions or products referred to in the content. |
© 2023 by the authors. Licensee MDPI, Basel, Switzerland. This article is an open access article distributed under the terms and conditions of the Creative Commons Attribution (CC BY) license (https://creativecommons.org/licenses/by/4.0/).
Share and Cite
Fink, N.; Zsarnoczay, E.; Schoepf, U.J.; O’Doherty, J.; Griffith, J.P., III; Pinos, D.; Tesche, C.; Ricke, J.; Willemink, M.J.; Varga-Szemes, A.; et al. Radiation Dose Reduction for Coronary Artery Calcium Scoring Using a Virtual Noniodine Algorithm on Photon-Counting Detector Computed-Tomography Phantom Data. Diagnostics 2023, 13, 1540. https://doi.org/10.3390/diagnostics13091540
Fink N, Zsarnoczay E, Schoepf UJ, O’Doherty J, Griffith JP III, Pinos D, Tesche C, Ricke J, Willemink MJ, Varga-Szemes A, et al. Radiation Dose Reduction for Coronary Artery Calcium Scoring Using a Virtual Noniodine Algorithm on Photon-Counting Detector Computed-Tomography Phantom Data. Diagnostics. 2023; 13(9):1540. https://doi.org/10.3390/diagnostics13091540
Chicago/Turabian StyleFink, Nicola, Emese Zsarnoczay, U. Joseph Schoepf, Jim O’Doherty, Joseph P. Griffith, III, Daniel Pinos, Christian Tesche, Jens Ricke, Martin J. Willemink, Akos Varga-Szemes, and et al. 2023. "Radiation Dose Reduction for Coronary Artery Calcium Scoring Using a Virtual Noniodine Algorithm on Photon-Counting Detector Computed-Tomography Phantom Data" Diagnostics 13, no. 9: 1540. https://doi.org/10.3390/diagnostics13091540
APA StyleFink, N., Zsarnoczay, E., Schoepf, U. J., O’Doherty, J., Griffith, J. P., III, Pinos, D., Tesche, C., Ricke, J., Willemink, M. J., Varga-Szemes, A., & Emrich, T. (2023). Radiation Dose Reduction for Coronary Artery Calcium Scoring Using a Virtual Noniodine Algorithm on Photon-Counting Detector Computed-Tomography Phantom Data. Diagnostics, 13(9), 1540. https://doi.org/10.3390/diagnostics13091540

