Ultra-High Frequency Ultrasound Imaging of Bowel Wall in Hirschsprung’s Disease—Correlation and Agreement Analyses of Histoanatomy
Abstract
1. Introduction
2. Materials and Methods
2.1. Patients
2.2. Specimen Treatments—Fresh and Histopathological
2.3. Assessment and Measurements
2.4. Statistics
2.5. Ethical Considerations
3. Results
3.1. Patient and Specimen Characteristics
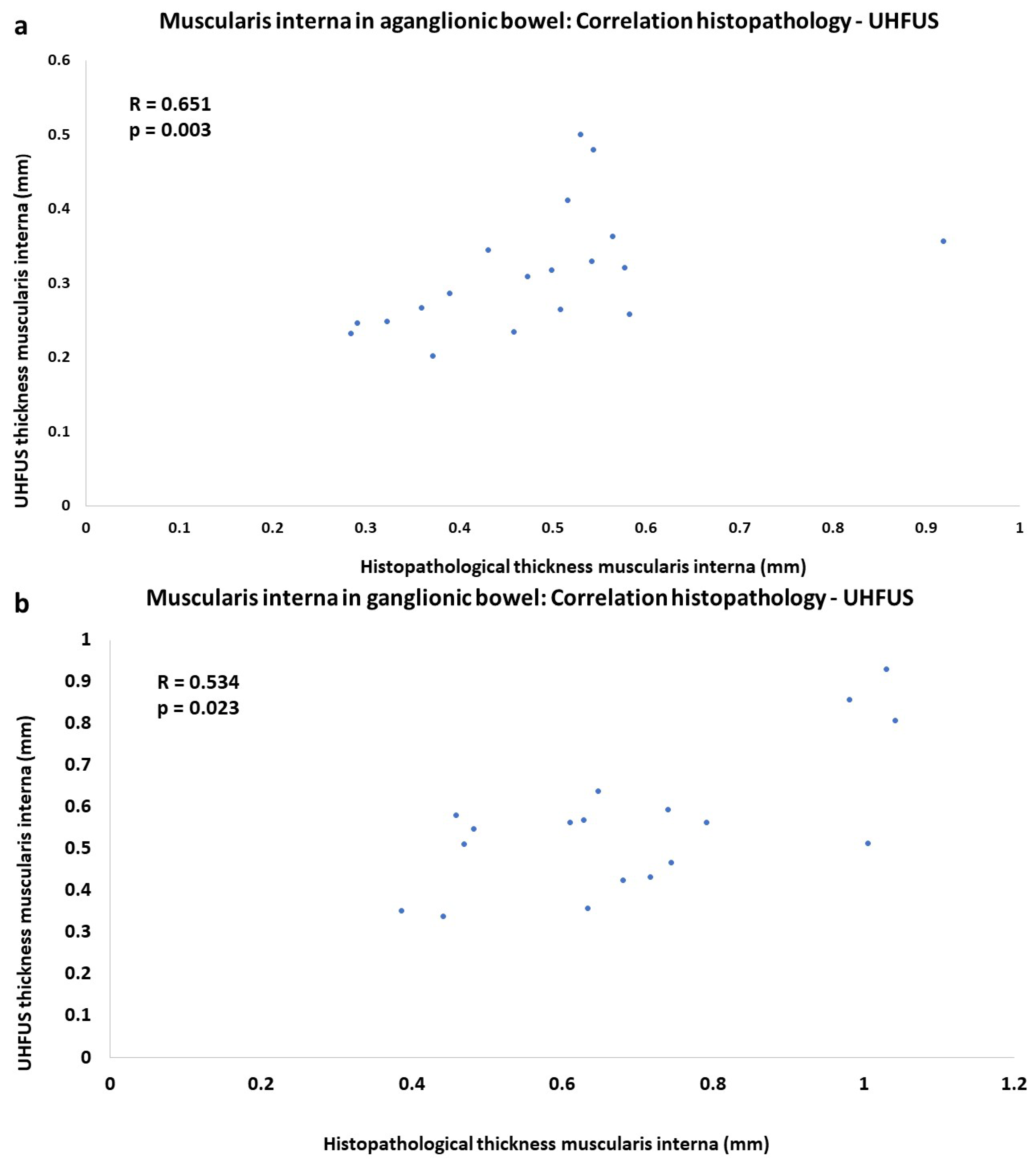
3.2. Aganglionic Bowel Wall
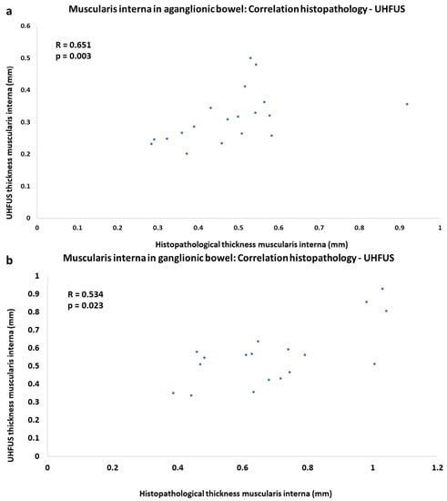
3.3. Ganglionic Bowel Wall
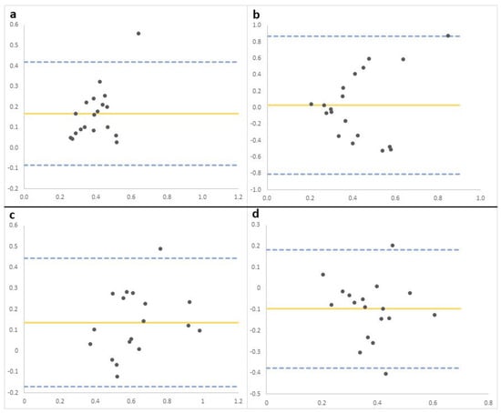
3.4. Agreements
4. Discussion
5. Conclusions
Author Contributions
Funding
Institutional Review Board Statement
Informed Consent Statement
Data Availability Statement
Acknowledgments
Conflicts of Interest
Appendix A
| Thickness in Aganglionosis | Thickness in Ganglionosis | |||||||
|---|---|---|---|---|---|---|---|---|
| Histoanatomical Layer | Histopathological Bowel Wall Specimen (mm) Median (Range) | UHFUS Image (mm) Median (Range) | R 1 | Correlation p-Value | Histopathological Bowel Wall Specimen (mm) Median (Range) | UHFUS Image (mm) Median (Range) | R 1 | Correlation p-Value |
| Muscularis interna (mm) | 0.499 (0.284–0.918) | 0.309 (0.202–0.500) | 0.651 | 0.003 | 0.664 (0.386–1.042) | 0.556 (0.338–0.931) | 0.534 | 0.023 |
| Muscularis externa (mm) | 0.291 (0.165–1.285) | 0.322 (0.175–0.830) | −0.309 | 0.198 | 0.297 (0.186–0.556) | 0.433 (0.169–0.668) | 0.240 | 0.338 |
References
- Langer, J.C. Hirschsprung disease. Curr. Opin. Pediatr. 2013, 25, 368–374. [Google Scholar] [CrossRef]
- Butler Tjaden, N.E.; Trainor, P.A. The developmental etiology and pathogenesis of Hirschsprung disease. Transl. Res. 2013, 162, 1–15. [Google Scholar] [CrossRef] [PubMed]
- Gosain, A.; Brinkman, A.S. Hirschsprung’s associated enterocolitis. Curr. Opin. Pediatr. 2015, 27, 364–369. [Google Scholar] [CrossRef] [PubMed]
- Kyrklund, K.; Sloots, C.E.J.; De Blaauw, I.; Bjørnland, K.; Rolle, U.; Cavalieri, D.; Francalanci, P.; Fusaro, F.; Lemli, A.; Schwarzer, N.; et al. Ernica guidelines for the management of rectosigmoid Hirschsprung’s disease. Orphanet J. Rare Dis. 2020, 15, 164. [Google Scholar] [CrossRef]
- Langer, J.C. Surgical approach to Hirschsprung disease. Semin. Pediatr. Surg. 2022, 31, 151156. [Google Scholar] [CrossRef] [PubMed]
- Ramachandran, V.; Nguyen, J.; Caruso, C.; Rao, D. Hirschsprung’s disease: Two cases of total intestinal aganglionosis. Am. J. Clin. Pathol. 2020, 154, S73. [Google Scholar] [CrossRef]
- Ghose, S.; Squire, B.; Stringer, M.; Batcup, G.; Crabbe, D. Hirschsprung’s disease: Problems with transition-zone pull-through. J. Pediatr. Surg. 2000, 35, 1805–1809. [Google Scholar] [CrossRef]
- Lawal, T.A.; Chatoorgoon, K.; Collins, M.H.; Coe, A.; Peña, A.; Levitt, M.A. Redo pull-through in Hirschsprung’s [corrected] disease for obstructive symptoms due to residual aganglionosis and transition zone bowel. J. Pediatr. Surg. 2011, 46, 342–347. [Google Scholar] [CrossRef]
- Granéli, C.; Erlöv, T.; Mitev, R.M.; Kasselaki, I.; Hagelsteen, K.; Gisselsson, D.; Jansson, T.; Cinthio, M.; Stenström, P. Ultra-high frequency ultrasonography to distinguish ganglionic from aganglionic bowel wall in Hirschsprung disease: A first report. J. Pediatr. Surg. 2021, 56, 2281–2285. [Google Scholar] [CrossRef]
- Boczar, D.; Forte, A.J.; Serrano, L.P.; Trigg, S.D.; Clendenen, S.R. Use of ultra-high-frequency ultrasound on diagnosis and management of lipofibromatous hamartoma: A technical report. Cureus 2019, 11, e5808. [Google Scholar] [CrossRef]
- Izzetti, R.; Vitali, S.; Aringhieri, G.; Nisi, M.; Oranges, T.; Dini, V.; Ferro, F.; Baldini, C.; Romanelli, M.; Caramella, D.; et al. Ultra-high frequency ultrasound, a promising diagnostic technique: Review of the literature and single-center experience. Can. Assoc. Radiol. J. 2021, 72, 418–431. [Google Scholar] [CrossRef]
- Graneli, C.; Patarroyo, S.; Mitev, R.M.; Gisselsson, D.; Gottberg, E.; Erlöv, T.; Jansson, T.; Hagelsteen, K.; Cinthio, M.; Stenström, P. Histopathological dimensions differ between aganglionic and ganglionic bowel wall in children with Hirschsprung’s disease. BMC Pediatr. 2022, 22, 723. [Google Scholar] [CrossRef]
- Eid, I.; El-Muhtaseb, M.S.; Mukherjee, R.; Renwick, R.; Gardiner, D.S.; Macdonald, A. Histological processing variability in the determination of lateral resection margins in rectal cancer. J. Clin. Pathol. 2007, 60, 593–595. [Google Scholar] [CrossRef]
- Goldstein, N.S.; Soman, A.; Sacksner, J. Disparate surgical margin lengths of colorectal resection specimens between in vivo and in vitro measurements. The effects of surgical resection and formalin fixation on organ shrinkage. Am. J. Clin. Pathol. 1999, 111, 349–351. [Google Scholar] [CrossRef]
- Lam, D.; Kaneko, Y.; Scarlett, A.; D’Souza, B.; Norris, R.; Woods, R. The effect of formalin fixation on resection margins in colorectal cancer. Int. J. Surg. Pathol. 2019, 27, 700–705. [Google Scholar] [CrossRef]
- Chan, J.K. The wonderful colors of the hematoxylin-eosin stain in diagnostic surgical pathology. Int. J. Surg. Pathol. 2014, 22, 12–32. [Google Scholar] [CrossRef]
- Bachmann, L.; Besendörfer, M.; Carbon, R.; Lux, P.; Agaimy, A.; Hartmann, A.; Rau, T.T. Immunohistochemical panel for the diagnosis of Hirschsprung’s disease using antibodies to MAP2, calretinin, GLUT1 and S100. Histopathology 2015, 66, 824–835. [Google Scholar] [CrossRef]
- Galazka, P.; Szylberg, L.; Bodnar, M.; Styczynski, J.; Marszalek, A. Diagnostic algorithm in Hirschsprung’s disease: Focus on immunohistochemistry markers. In Vivo 2020, 34, 1355–1359. [Google Scholar] [CrossRef]
- Bland, J.M.; Altman, D.G. Statistical methods for assessing agreement between two methods of clinical measurement. Lancet 1986, 1, 307–310. [Google Scholar] [CrossRef]
- Joekel, J.; Eggemann, H.; Costa, S.D.; Ignatov, A. Should the hyperechogenic halo around malignant breast lesions be included in the measurement of tumor size? Breast Cancer Res. Treat. 2016, 156, 311–317. [Google Scholar] [CrossRef]
- Kimmey, M.; Martin, R.; Haggitt, R.; Wang, K.; Franklin, D.; Silverstein, F. Histologic correlates of gastrointestinal ultrasound images. Gastroenterology 1989, 96, 433–441. [Google Scholar] [CrossRef] [PubMed]
- Wiersema, M.J.; Wiersema, L.M. High-resolution 25-megahertz ultrasonography of the gastrointestinal wall: Histologic correlates. Gastrointest. Endosc. 1993, 39, 499–504. [Google Scholar] [CrossRef]
- Le Roux, A.B.; Granger, L.A.; Wakamatsu, N.; Kearney, M.T.; Gaschen, L. Ex vivo correlation of ultrasonographic small intestinal wall layering with histology in dogs. Vet. Radiol. Ultrasound 2016, 57, 534–545. [Google Scholar] [CrossRef] [PubMed]
- Docquier, P.-L.; Paul, L.; Cartiaux, O.; Lecouvet, F.; Dufrane, D.; Delloye, C.; Galant, C. Formalin fixation could interfere with the clinical assessment of the tumor-free margin in tumor surgery: Magnetic resonance imaging-based study. Oncology 2010, 78, 115–124. [Google Scholar] [CrossRef] [PubMed]
- Haber, H.P.; Stern, M. Intestinal ultrasonography in children and young adults: Bowel wall thickness is age dependent. J. Ultrasound Med. 2000, 19, 315–321. [Google Scholar] [CrossRef]





| Thickness in Aganglionosis n = 19 | Thickness in Ganglionosis n = 18 | |||||
|---|---|---|---|---|---|---|
| Histoanatomical Layer | Histopathology (mm) Median (Range) | UHFUS Image (mm) Median (Range) | Systematic Difference p-Value 1 | Histopathological Bowel Wall Specimen (mm) Median (Range) | UHFUS Image (mm) Median (Range) | Systematic Difference p-Value 1 |
| Muscularis interna (mm) | 0.499 (0.284–0.918) | 0.309 (0.202–0.500) | <0.001 | 0.664 (0.386–1.042) | 0.556 (0.338–0.931) | 0.003 |
| Muscularis externa (mm) | 0.291 (0.165–1.285) | 0.322 (0.175–0.830) | 0.872 | 0.297 (0.186–0.556) | 0.433 (0.169–0.668) | 0.006 |
| Ratio: muscularis interna/ muscularis externa | 1.253 (0.492–2.257) | 0.888 (0.382–2.074) | 0.064 | 2.101 (1.290–3.247) | 1.333 (0.723–2.059) | <0.001 |
Disclaimer/Publisher’s Note: The statements, opinions and data contained in all publications are solely those of the individual author(s) and contributor(s) and not of MDPI and/or the editor(s). MDPI and/or the editor(s) disclaim responsibility for any injury to people or property resulting from any ideas, methods, instructions or products referred to in the content. |
© 2023 by the authors. Licensee MDPI, Basel, Switzerland. This article is an open access article distributed under the terms and conditions of the Creative Commons Attribution (CC BY) license (https://creativecommons.org/licenses/by/4.0/).
Share and Cite
Hawez, T.; Graneli, C.; Erlöv, T.; Gottberg, E.; Munoz Mitev, R.; Hagelsteen, K.; Evertsson, M.; Jansson, T.; Cinthio, M.; Stenström, P. Ultra-High Frequency Ultrasound Imaging of Bowel Wall in Hirschsprung’s Disease—Correlation and Agreement Analyses of Histoanatomy. Diagnostics 2023, 13, 1388. https://doi.org/10.3390/diagnostics13081388
Hawez T, Graneli C, Erlöv T, Gottberg E, Munoz Mitev R, Hagelsteen K, Evertsson M, Jansson T, Cinthio M, Stenström P. Ultra-High Frequency Ultrasound Imaging of Bowel Wall in Hirschsprung’s Disease—Correlation and Agreement Analyses of Histoanatomy. Diagnostics. 2023; 13(8):1388. https://doi.org/10.3390/diagnostics13081388
Chicago/Turabian StyleHawez, Tebin, Christina Graneli, Tobias Erlöv, Emilia Gottberg, Rodrigo Munoz Mitev, Kristine Hagelsteen, Maria Evertsson, Tomas Jansson, Magnus Cinthio, and Pernilla Stenström. 2023. "Ultra-High Frequency Ultrasound Imaging of Bowel Wall in Hirschsprung’s Disease—Correlation and Agreement Analyses of Histoanatomy" Diagnostics 13, no. 8: 1388. https://doi.org/10.3390/diagnostics13081388
APA StyleHawez, T., Graneli, C., Erlöv, T., Gottberg, E., Munoz Mitev, R., Hagelsteen, K., Evertsson, M., Jansson, T., Cinthio, M., & Stenström, P. (2023). Ultra-High Frequency Ultrasound Imaging of Bowel Wall in Hirschsprung’s Disease—Correlation and Agreement Analyses of Histoanatomy. Diagnostics, 13(8), 1388. https://doi.org/10.3390/diagnostics13081388

