Performance Comparison of Procalcitonin, Delta Neutrophil Index, C-Reactive Protein, and Serum Amyloid A Levels in Patients with Hematologic Diseases
Abstract
1. Introduction
2. Materials and Methods
2.1. Laboratory Assays
2.2. Study Design
2.3. Statistical Analysis
3. Results
3.1. Baseline Characteristics
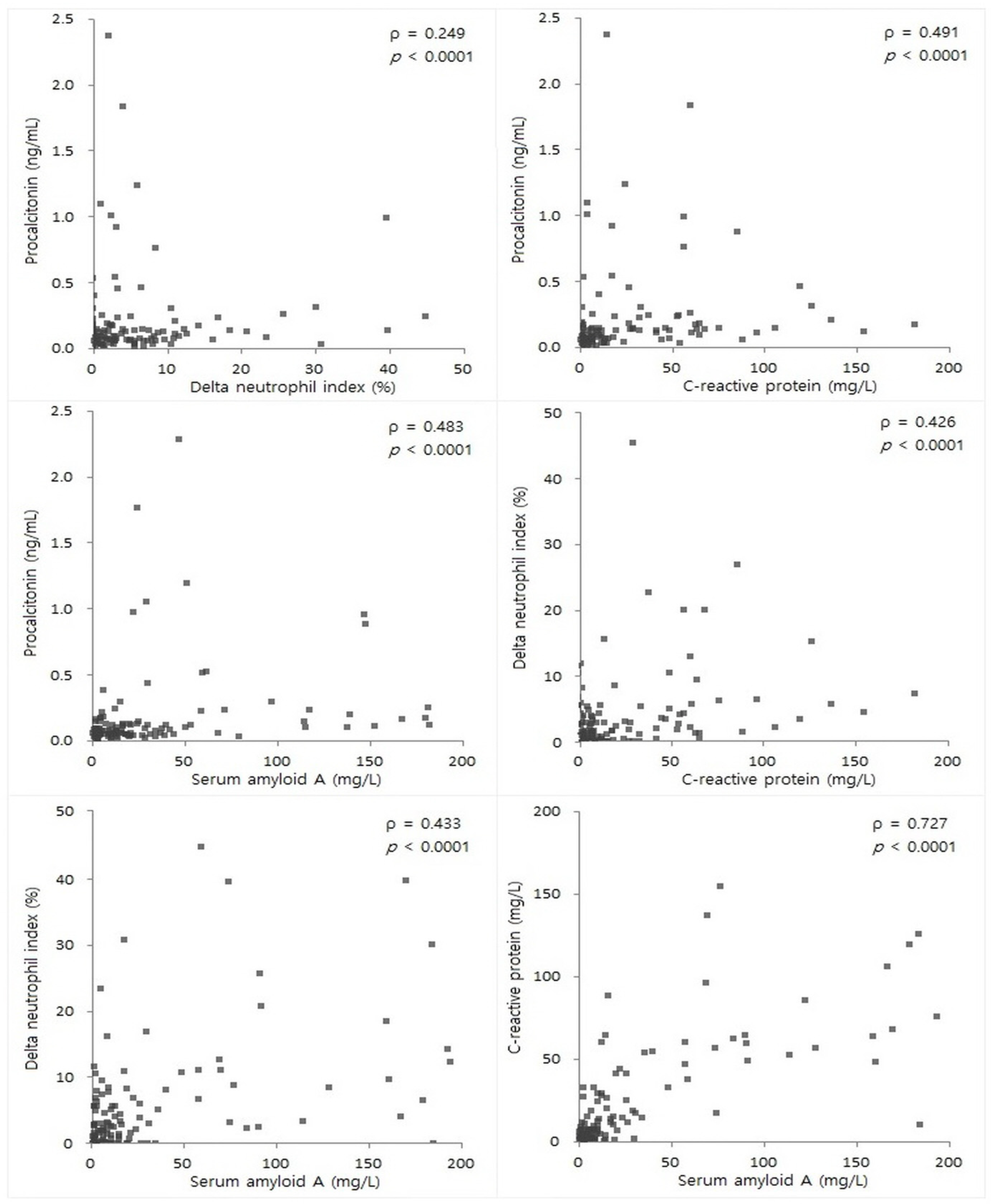
3.2. Comparison of PCT, DNI, CRP, and SAA
3.3. Diagnostic Performance
3.4. Survival Analysis
4. Discussion
5. Conclusions
Author Contributions
Funding
Institutional Review Board Statement
Informed Consent Statement
Data Availability Statement
Acknowledgments
Conflicts of Interest
References
- Malle, E.; Sodin-Semrl, S.; Kovacevic, A. Serum amyloid A: An acute-phase protein involved in tumour pathogenesis. Cell. Mol. Life Sci. 2009, 66, 9–26. [Google Scholar] [CrossRef] [PubMed]
- Zhang, Y.; Zhang, J.; Sheng, H.; Li, H.; Wang, R. Acute phase reactant serum amyloid A in inflammation and other diseases. Adv. Clin. Chem. 2019, 90, 25–80. [Google Scholar] [PubMed]
- Yang, M.; Choi, S.J.; Lee, J.; Lee, D.G.; Kim, Y.J.; Park, Y.J.; Oh, E.J. Serum procalcitonin as an independent diagnostic markers of bacteremia in febrile patients with hematologic malignancies. PLoS ONE 2019, 14, e0225765. [Google Scholar] [CrossRef]
- Ebihara, Y.; Kobayashi, K.; Ishida, A.; Maeda, T.; Takahashi, N.; Taji, Y.; Asou, N.; Ikebuchi, K. Diagnostic performance of procalcitonin, presepsin, and c-reactive protein in patients with hematological malignancies. J. Clin. Lab. Anal. 2017, 31, e22147. [Google Scholar] [CrossRef] [PubMed]
- Becker, K.L.; Nylén, E.S.; White, J.C.; Müller, B.; Snider, R.H., Jr. Clinical review 167: Procalcitonin and the calcitonin gene family of peptides in inflammation, infection, and sepsis: A journey from calcitonin back to its precursors. J. Clin. Endocrinol. Metab. 2004, 89, 1512–1525. [Google Scholar] [CrossRef]
- Schuttrumpf, S.; Binder, L.; Hagemann, T.; Berkovic, D.; Trumper, L.; Binder, C. Utility of procalcitonin concentration in the evaluation of patients with malignant diseases and elevated c-reactive protein plasma concentrations. Clin. Infect. Dis. 2006, 43, 468–473. [Google Scholar] [CrossRef]
- Shimetani, N.; Shimetani, K.; Mori, M. Clinical evaluation of the measurement of serum procalcitonin: Comparative study of procalcitonin and serum amyloid A protein in patients with high and low concentrations of serum c-reactive protein. Scand. J. Clin. Lab. Investig. 2004, 64, 469–474. [Google Scholar] [CrossRef]
- Park, B.H.; Kang, Y.A.; Park, M.S.; Jung, W.J.; Lee, S.H.; Lee, S.K.; Kim, S.Y.; Kim, S.K.; Chang, J.; Jung, J.Y.; et al. Delta neutrophil index as an early marker of disease severity in critically ill patients with sepsis. BMC Infect. Dis. 2011, 11, 299. [Google Scholar] [CrossRef]
- Seok, Y.; Choi, J.R.; Kim, J.; Kim, Y.K.; Lee, J.; Song, J.; Kim, S.J.; Lee, K.A. Delta neutrophil index: A promising diagnostic and prognostic marker for sepsis. Shock 2012, 37, 242–246. [Google Scholar] [CrossRef]
- Sol, I.S.; Park, H.B.; Kim, M.J.; Yoon, S.H.; Kim, Y.H.; Kim, K.W.; Sohn, M.H.; Kim, K.-E. Delta neutrophil index as a prognostic marker in the pediatric intensive care unit. Korean J. Crit. Care Med. 2016, 31, 351–358. [Google Scholar] [CrossRef]
- Sack, G.H., Jr. Serum amyloid A—A review. Mol. Med. 2018, 24, 46. [Google Scholar] [CrossRef] [PubMed]
- Sasazuki, S.; Inoue, M.; Sawada, N.; Iwasaki, M.; Shimazu, T.; Yamaji, T.; Tsugane, S. Plasma levels of c-reactive protein and serum amyloid A and gastric cancer in a nested case-control study: Japan public health center-based prospective study. Carcinogenesis 2010, 31, 712–718. [Google Scholar] [CrossRef] [PubMed]
- Shimetani, N.; Shimetani, K.; Mori, M. Levels of three inflammation markers, c-reactive protein, serum amyloid A protein and procalcitonin, in the serum and cerebrospinal fluid of patients with meningitis. Scand. J. Clin. Lab. Investig. 2001, 61, 567–574. [Google Scholar] [CrossRef] [PubMed]
- Sorić Hosman, I.; Kos, I.; Lamot, L. Serum amyloid a in inflammatory rheumatic diseases: A compendious review of a renowned biomarker. Front. Immunol. 2020, 11, 631299. [Google Scholar] [CrossRef]
- Cicarelli, D.D.; Vieira, J.E.; Benseñor, F.E. Comparison of c-reactive protein and serum amyloid A protein in septic shock patients. Mediat. Inflamm. 2008, 2008, 631414. [Google Scholar] [CrossRef] [PubMed]
- Amanati, A.; Sajedianfard, S.; Khajeh, S.; Ghasempour, S.; Mehrangiz, S.; Nematolahi, S.; Shahhosein, Z. Bloodstream infections in adult patients with malignancy, epidemiology, microbiology, and risk factors associated with mortality and multi-drug resistance. BMC Infect. Dis. 2021, 21, 636. [Google Scholar] [CrossRef]
- Gedik, H.; Simşek, F.; Kantürk, A.; Yildirmak, T.; Arica, D.; Aydin, D.; Demirel, N.; Yokuş, O. Bloodstream infections in patients with hematological malignancies: Which is more fatal-cancer or resistant pathogens? Ther. Clin. Risk Manag. 2014, 10, 743–752. [Google Scholar] [CrossRef]
- Sakr, Y.; Sponholz, C.; Tuche, F.; Brunkhorst, F.; Reinhart, K. The role of procalcitonin in febrile neutropenic patients: Review of the literature. Infection 2008, 36, 396–407. [Google Scholar] [CrossRef]
- Bingham, J.S.; Hassebrock, J.D.; Christensen, A.L.; Beauchamp, C.P.; Clarke, H.D.; Spangehl, M.J. Screening for periprosthetic joint infections with esr and crp: The ideal cutoffs. J. Arthroplast. 2020, 35, 1351–1354. [Google Scholar] [CrossRef]
- Suzuki, H.; Sugaya, M.; Nakajima, R.; Oka, T.; Takahashi, N.; Nakao, M.; Miyagaki, T.; Asano, Y.; Sato, S. Serum amyloid A levels in the blood of patients with atopic dermatitis and cutaneous t-cell lymphoma. J. Dermatol. 2018, 45, 1440–1443. [Google Scholar] [CrossRef]
- Isersky, C.; Page, D.L.; Cuatrecasas, P.; DeLellis, R.A.; Glenner, G.G. Murine amyloidosis: Immunologic characterization of amyloid fibril protein. J. Immunol. 1971, 107, 1690–1698. [Google Scholar] [CrossRef] [PubMed]
- Sellar, G.C.; Whitehead, A.S. Localization of four human serum amyloid A (SAA) protein superfamily genes to chromosome 11p: Characterization of a fifth SAA-related gene sequence. Genomics 1993, 16, 774–776. [Google Scholar] [CrossRef]
- Webb, N.R. High-density lipoproteins and serum amyloid A (SAA). Curr. Atheroscler. Rep. 2021, 23, 7. [Google Scholar] [CrossRef] [PubMed]
- Pizzini, C.; Mussap, M.; Plebani, M.; Fanos, V. C-reactive protein and serum amyloid A protein in neonatal infections. Scand. J. Infect. Dis. 2000, 32, 229–235. [Google Scholar]
- Yamada, T. Serum amyloid A (SAA): A concise review of biology, assay methods and clinical usefulness. Clin. Chem. Lab. Med. 1999, 37, 381–388. [Google Scholar] [CrossRef]
- Piotti, K.C.; Yantiss, R.K.; Chen, Z.; Jessurun, J. Serum amyloid A immunohistochemical staining patterns in hepatitis. Histopathology 2016, 69, 937–942. [Google Scholar] [CrossRef] [PubMed]
- Zhou, J.; Sheng, J.; Fan, Y.; Zhu, X.; Tao, Q.; He, Y.; Wang, S. Association between serum amyloid A levels and cancers: A systematic review and meta-analysis. Postgrad. Med. J. 2018, 94, 499–507. [Google Scholar] [CrossRef]
- Secmeer, G.; Devrim, I.; Kara, A.; Ceyhan, M.; Cengiz, B.; Kutluk, T.; Buyukpamukcu, M.; Yetgin, S.; Tuncer, M.; Uludag, A.K.; et al. Role of procalcitonin and crp in differentiating a stable from a deteriorating clinical course in pediatric febrile neutropenia. J. Pediatr. Hematol. Oncol. 2007, 29, 107–111. [Google Scholar] [CrossRef]
- Giamarellos-Bourboulis, E.J.; Grecka, P.; Poulakou, G.; Anargyrou, K.; Katsilambros, N.; Giamarellou, H. Assessment of procalcitonin as a diagnostic marker of underlying infection in patients with febrile neutropenia. Clin. Infect. Dis. 2001, 32, 1718–1725. [Google Scholar] [CrossRef]
- Batirel, A.; Gençer, S.; Serdar, Ö.; Salepçi, T. Predictive values of serum amyloid-A (SAA) and C-reactive protein (CRP) for infection in febrile neutropenic cancer patients. J. Microbiol. Infect. Dis. 2014, 4, 128–135. [Google Scholar] [CrossRef][Green Version]
- Park, S.Y.; Lee, J.S.; Oh, J.; Park, J.Y. Delta neutrophil index as a predictive and prognostic factor for candidemia patients: A matched case-control study. BMC Infect. Dis. 2020, 20, 396. [Google Scholar] [CrossRef] [PubMed]
- Meidani, M.; Khorvash, F.; Abolghasemi, H.; Jamali, B. Procalcitonin and quantitative c-reactive protein role in the early diagnosis of sepsis in patients with febrile neutropenia. South Asian J. Cancer 2013, 2, 216–219. [Google Scholar] [CrossRef] [PubMed]
- Prat, C.; Sancho, J.M.; Dominguez, J.; Xicoy, B.; Gimenez, M.; Ferra, C.; Blanco, S.; Lacoma, A.; Ribera, J.M.; Ausina, V. Evaluation of procalcitonin, neopterin, c-reactive protein, il-6 and il-8 as a diagnostic marker of infection in patients with febrile neutropenia. Leuk. Lymphoma 2008, 49, 1752–1761. [Google Scholar] [CrossRef] [PubMed]
- Shomali, W.; Hachem, R.; Chaftari, A.M.; Jiang, Y.; Bahu, R.; Jabbour, J.; Raad, S.; Al Shuaibi, M.; Al Wohoush, I.; Raad, I. Can procalcitonin distinguish infectious fever from tumor-related fever in non-neutropenic cancer patients? Cancer 2012, 118, 5823–5829. [Google Scholar] [CrossRef]
- Prendki, V.; Malézieux-Picard, A.; Azurmendi, L.; Sanchez, J.C.; Vuilleumier, N.; Carballo, S.; Roux, X.; Reny, J.L.; Zekry, D.; Stirnemann, J.; et al. Accuracy of c-reactive protein, procalcitonin, serum amyloid A and neopterin for low-dose ct-scan confirmed pneumonia in elderly patients: A prospective cohort study. PLoS ONE 2020, 15, e0239606. [Google Scholar] [CrossRef]
- Cetinkaya, M.; Ozkan, H.; Köksal, N.; Akaci, O.; Ozgür, T. Comparison of the efficacy of serum amyloid A, c-reactive protein, and procalcitonin in the diagnosis and follow-up of necrotizing enterocolitis in premature infants. J. Pediatr. Surg. 2011, 46, 1482–1489. [Google Scholar] [CrossRef]
- Reyes Mondragón, A.L.; Cantú-Rodríguez, O.G.; Garza-Acosta, A.C.; Gutiérrez-Aguirre, C.H.; Colunga Pedraza, P.R.; del Carmen Tarín-Arzaga, L.; Jaime-Pérez, J.C.; Hawing Zárate, J.A.; González-Cantú, G.A.; Villalobos-Gutiérrez, L.E.; et al. Performance of serum procalcitonin as a biochemical predictor of death in hematology patients with febrile neutropenia. Blood Cells Mol. Dis. 2021, 90, 102586. [Google Scholar] [CrossRef]
- Mayer, J.M.; Raraty, M.; Slavin, J.; Kemppainen, E.; Fitzpatrick, J.; Hietaranta, A.; Puolakkainen, P.; Beger, H.G.; Neoptolemos, J.P. Serum amyloid A is a better early predictor of severity than c-reactive protein in acute pancreatitis. Br. J. Surg. 2002, 89, 163–171. [Google Scholar]
- CLSI. Measurement Procedure Comparison and Bias Estimation Using Patient Samples, 3rd ed.; Clinical Laboratory and Standards Institute: Wayne, PA, USA, 2018. [Google Scholar]





| Characteristics | Units | Feature | Patients | Infected | Uninfected | p-Value | |
|---|---|---|---|---|---|---|---|
| Baseline variables | |||||||
| n | No. (%) | 127 (100) | 27 (21.3) | 100 (78.7) | - | ||
| Age † | years | mean ± SD | 65.5 ± 14.1 | 61.8 ± 15.9 | 66.6 ± 13.5 | 0.1231 | |
| Sex | Male | No. (%) | 51 (40.2) | 10 (37.0) | 41 (41.0) | 0.7093 | |
| Female | No. (%) | 76 (59.8) | 17 (63.0) | 59 (59.0) | |||
| Body mass index † | kg/m2 | mean ± SD | 23.5 ± 3.7 | 23.9 ± 4.9 | 23.4 ± 3.4 | 0.5425 | |
| Hematologic disease | |||||||
| Acute myeloid leukemia | No. (%) | 43 (33.9) | 11 (40.7) | 32 (32.0) | 0.3944 | ||
| B/T lymphoblastic leukemia | No. (%) | 5 (3.9) | 1 (3.7) | 4 (4.0) | 0.9440 | ||
| Chronic lymphoid leukemia | No. (%) | 2 (1.6) | 0 (0.0) | 2 (2.0) | 0.4589 | ||
| Lymphoma | No. (%) | 24 (18.9) | 6 (22.2) | 18 (18.0) | 0.6190 | ||
| MDS/MPN | No. (%) | 22 (17.3) | 3 (11.1) | 19 (19.0) | 0.3365 | ||
| Multiple myeloma | No. (%) | 19 (15.0) | 3 (11.1) | 16 (16.0) | 0.5274 | ||
| Aplastic anemia | No. (%) | 5 (3.9) | 2 (7.4) | 3 (3.0) | 0.2960 | ||
| Hemophagocytic lymphohistiocytosis | No. (%) | 3 (2.4) | 1 (3.7) | 2 (2.0) | 0.6050 | ||
| Other | No. (%) | 4 (3.1) | 0 (0.0) | 4 (4.0) | 0.2910 | ||
| Underlying disease | |||||||
| Hypertension | No. (%) | 52 (40.9) | 14 (51.9) | 38 (38.0) | 0.1940 | ||
| Diabetes mellitus | No. (%) | 23 (18.1) | 4 (14.8) | 19 (19.0) | 0.6163 | ||
| Cardiovascular disease | No. (%) | 50 (39.4) | 6 (22.2) | 44 (44.0) | 0.0399 * | ||
| Renal disease | No. (%) | 31 (24.4) | 11 (40.7) | 20 (20.0) | 0.0260 * | ||
| Hepatic disease | No. (%) | 21 (16.5) | 4 (14.8) | 17 (17.0) | 0.7862 | ||
| Pulmonary disease | No. (%) | 22 (17.3) | 4 (14.8) | 18 (18.0) | 0.6980 | ||
| Cerebrovascular accident | No. (%) | 26 (20.5) | 8 (29.6) | 18 (18.0) | 0.1839 | ||
| Solid tumor | No. (%) | 13 (10.2) | 3 (11.1) | 10 (10.0) | 0.8658 | ||
| Other | No. (%) | 6 (4.7) | 0 (0.0) | 6 (6.0) | 0.1922 | ||
| Clinical findings † | |||||||
| Systolic blood pressure | mmHg | mean ± SD | 121.4 ± 15.2 | 117.4 ± 15.2 | 122.5 ± 15.1 | 0.1293 | |
| Diastolic blood pressure | mmHg | mean ± SD | 72.8 ± 12.3 | 69.6 ± 13.7 | 73.7 ± 11.8 | 0.1179 | |
| Respiration rate | /min | mean ± SD | 16.5 ± 2.8 | 17.1 ± 3.7 | 16.3 ± 2.5 | 0.1772 | |
| Pulse rate | /min | mean ± SD | 83.7 ± 17.7 | 81.9 ± 16.8 | 84.2 ± 18.0 | 0.5548 | |
| Body temperature | °C | mean ± SD | 37.7 ± 0.3 | 38.2 ± 0.2 | 37.6 ± 0.3 | 0.0010 * | |
| Laboratory findings | |||||||
| Erythrocyte sedimentation rate | mm/h | median (IQR) | 12 (5–22) | 21 (13–48) | 9 (4–20) | <0.0001 * | |
| White blood cell | ×109/L | median (IQR) | 3.38 (1.33–8.05) | 1.60 (0.41–5.93) | 3.58 (1.80–8.37) | 0.0080 * | |
| Hemoglobin † | g/dL | mean ± SD | 8.9 ± 1.8 | 8.4 ± 1.3 | 9.0 ± 1.9 | 0.1074 | |
| Platelet | ×109/L | median (IQR) | 66 (34–165) | 45 (33–83) | 78 (36–172) | 0.0169 * | |
| Absolute neutrophil count | /μL | median (IQR) | 2303 (576–5039) | 431 (88–4002) | 2347 (1116–5139) | 0.0279 * | |
| Albumin † | g/dL | mean ± SD | 3.5 ± 0.5 | 3.4 ± 0.5 | 3.6 ± 0.6 | 0.1441 | |
| Aspartate transaminase | U/L | median (IQR) | 18 (14.0–29.8) | 20 (12.3–30.0) | 18 (14.0–28.2) | 0.9295 | |
| Alanine aminotransferase | U/L | median (IQR) | 14 (11.0–25.8) | 15 (11.0–20.8) | 14 (11.4–26.0) | 0.9741 | |
| Gamma-glutamyl transferase | U/L | median (IQR) | 33 (20–51) | 28 (17–39) | 36 (22–58) | 0.1462 | |
| Alkaline phosphatase | U/L | median (IQR) | 85 (60–103) | 85 (63–93) | 85 (59–108) | 0.6713 | |
| Total bilirubin | mg/dL | median (IQR) | 0.55 (0.40–0.82) | 0.66 (0.46–0.95) | 0.51 (0.38–0.80) | 0.1102 | |
| Urea nitrogen | mg/dL | median (IQR) | 17.5 (11.2–24.1) | 18.4 (13.5–25.4) | 17.3 (11.1–23.6) | 0.4297 | |
| Creatinine | mg/dL | median (IQR) | 0.84 (0.61–1.04) | 0.88 (0.56–1.57) | 0.82 (0.61–1.00) | 0.4541 | |
| Lactate dehydrogenase | U/L | median (IQR) | 249 (175–296) | 220 (165–263) | 254 (188–311) | 0.0587 | |
| Estimated glomerular filtration rate | mL/min/1.73 m2 | median (IQR) | 85.5 (56.7–117.3) | 73.9 (33.4–116.7) | 87.4 (60.4–117.9) | 0.2214 | |
| Procalcitonin | ng/mL | median (IQR) | 0.09 (0.05–0.16) | 0.14 (0.11–0.28) | 0.07 (0.05–0.13) | <0.0001 * | |
| Delta neutrophil index | % | median (IQR) | 2.5 (0.2–7.3) | 9.5 (4.8–16.7) | 1.5 (0.0–4.8) | <0.0001 * | |
| C-reactive protein | mg/L | median (IQR) | 6.9 (1.5–32.2) | 56.4 (29.4–83.3) | 4.9 (1.0–14.5) | <0.0001 * | |
| Serum amyloid A | mg/L | median (IQR) | 17.8 (5.5–52.9) | 152.4 (99.7–307.3) | 13.0 (4.1–28.6) | <0.0001 * | |
| Others | |||||||
| Neutropenia | No. (%) | 31 (24.4) | 14 (51.9) | 17 (17.0) | 0.0002 * | ||
| Fever | No. (%) | 99 (78.0) | 27 (100) | 72 (56.7) | 0.0014 * | ||
| Treatment | Chemotherapy | No. (%) | 110 (86.7) | 24 (88.9) | 86 (86.0) | 0.8899 | |
| Stem cell transplantation | No. (%) | 10 (7.9) | 2 (7.4) | 8 (8.0) | |||
| Outcome | 30-day mortality | No. (%) | 13 (10.2) | 5 (18.5) | 8 (8.0) | 0.1096 | |
| 90-day mortality | No. (%) | 22 (17.3) | 7 (25.9) | 15 (15.0) | 0.1831 | ||
| Sensitivity | Specificity | PPV | NPV | LR+ | LR− | ||
|---|---|---|---|---|---|---|---|
| Procalcitonin (ng/mL) | |||||||
| >0.12 | 73.7 (64.3–81.4) | 71.4 (52.9–84.7) | 43.5 (33.9–53.6) | 90.1 (83.4–94.3) | 2.72 (1.78–4.05) | 0.39 (0.21–0.65) | |
| >0.20 | 39.3 (23.6–57.6) | 86.9 (78.8–92.2) | 45.8 (29.9–62.7) | 83.5 (78.8–87.3) | 2.99 (1.49–5.78) | 0.70 (0.49–0.90) | |
| >0.50 | 17.9 (7.9–35.6) | 93.9 (87.4–97.2) | 45.5 (21.5–71.7) | 80.2 (77.2–82.9) | 2.95 (1.00–8.36) | 0.87 (0.68–1.00) | |
| Delta neutrophil index (%) | |||||||
| >2.7 | 85.7 (68.5–94.3) | 63.6 (53.8–72.4) | 40.0 (33.0–47.4) | 94.0 (86.3–97.5) | 2.36 (1.72–3.19) | 0.22 (0.09–0.50) | |
| >4.5 | 75.0 (56.6–87.3) | 75.7 (65.4–82.3) | 45.7 (36.0–55.6) | 91.4 (84.6–95.3) | 2.97 (1.96–4.42) | 0.33 (0.17–0.59) | |
| >6.5 | 67.9 (49.3–82.1) | 83.8 (75.3–89.8) | 54.3 (41.5–66.5) | 90.2 (84.2–94.1) | 4.20 (2.50–7.01) | 0.38 (0.21–0.61) | |
| C-reactive protein (mg/L) | |||||||
| >5.0 | 96.4 (82.3–99.4) | 50.5 (40.8–60.1) | 35.5 (30.8–40.5) | 98.0 (87.8–99.7) | 1.95 (1.57–2.44) | 0.07 (0.01–0.36) | |
| >10.0 | 85.7 (68.5–94.3) | 65.7 (55.9–74.3) | 41.4 (34.1–49.1) | 94.2 (86.6–97.6) | 2.50 (1.80–3.42) | 0.22 (0.09–0.49) | |
| >18.5 | 78.6 (60.5–89.8) | 80.8 (72.0–87.4) | 53.7 (42.5–64.4) | 93.0 (86.7–96.5) | 4.09 (2.61–6.42) | 0.27 (0.13–0.49) | |
| Serum amyloid A (mg/L) | |||||||
| >10.0 | 100 (87.9–100) | 42.4 (33.2–52.3) | 32.9 (29.3–36.8) | 100 (100–100) | 1.74 (1.50–2.10) | 0.00 (0.00–0.29) | |
| >22.4 | 85.7 (68.5–94.3) | 70.7 (61.1–78.8) | 45.3 (37.0–53.8) | 94.6 (87.5–97.8) | 2.93 (2.07–4.14) | 0.20 (0.08–0.45) | |
| >39.5 | 82.1 (64.4–92.1) | 84.8 (76.5–90.6) | 60.5 (48.3–71.6) | 94.4 (88.3–97.4) | 5.42 (3.33–8.95) | 0.21 (0.09–0.42) | |
| Sensitivity | Specificity | PPV | NPV | LR+ | LR− | |
|---|---|---|---|---|---|---|
| All patients | ||||||
| PCT | 73.7 (64.3–81.4) | 71.4 (52.9–84.7) | 43.5 (33.9–53.6) | 90.1 (83.4–94.3) | 2.72 (1.78–4.05) | 0.39 (0.21–0.65) |
| DNI | 75.0 (56.6–87.3) | 75.7 (65.4–82.3) | 45.7 (36.0–55.6) | 91.4 (84.6–95.3) | 2.97 (1.96–4.42) | 0.33 (0.17–0.59) |
| CRP | 78.6 (60.5–89.8) | 80.8 (72.0–87.4) | 53.7 (42.5–64.4) | 93.0 (86.7–96.5) | 4.09 (2.61–6.42) | 0.27 (0.13–0.49) |
| SAA | 82.1 (64.4–92.1) | 84.8 (76.5–90.6) | 61.5 (49.5–72.3) | 95.5 (89.4–98.1) | 5.66 (3.51–9.28) | 0.17 (0.07–0.37) |
| PCT + DNI | 53.6 (35.8–70.5) | 93.9 (87.4–97.2) | 71.4 (51.7–85.4) | 87.7 (82.7–91.4) | 8.84 (3.88–20.26) | 0.49 (0.31–0.69) |
| PCT + CRP | 60.7 (42.4–76.4) | 89.9 (82.4–94.4) | 63.0 (46.8–76.7) | 89.0 (83.6–92.8) | 6.01 (3.13–11.52) | 0.44 (0.26–0.65) |
| PCT + SAA | 60.7 (42.4–76.4) | 90.9 (83.6–95.1) | 65.4 (48.6–79.0) | 89.1 (83.7–92.9) | 6.68 (3.39–13.20) | 0.43 (0.26–0.64) |
| DNI + CRP | 64.3 (45.8–79.3) | 92.9 (86.1–96.5) | 72.0 (54.5–84.7) | 90.2 (84.8–93.8) | 9.09 (4.33–19.34) | 0.38 (0.22–0.59) |
| DNI + SAA | 67.9 (49.3–82.1) | 93.9 (87.4–97.2) | 76.0 (58.3–87.8) | 91.2 (85.8–94.7) | 11.20 (5.10–24.99) | 0.34 (0.19–0.54) |
| CRP + SAA | 75.0 (56.6–87.3) | 91.9 (84.9–95.8) | 72.4 (56.6–84.1) | 92.9 (87.2–96.1) | 9.28 (4.73–18.56) | 0.27 (0.14–0.47) |
| Patients with neutropenia | ||||||
| PCT | 78.6 (52.4–92.4) | 94.1 (73.0–99.0) | 91.7 (61.7–98.7) | 84.2 (66.0–93.6) | 13.36 (2.79–69.58) | 0.23 (0.08–0.52) |
| DNI | 85.7 (60.1–96.0) | 82.4 (59.0–93.8) | 80.0 (58.4–91.9) | 87.5 (65.6–96.3) | 4.86 (1.98–14.06) | 0.17 (0.05–0.51) |
| CRP | 71.4 (45.4–88.3) | 88.2 (65.7–96.7) | 83.3 (56.6–95.0) | 78.9 (61.7–89.7) | 6.07 (1.91–22.37) | 0.32 (0.13–0.65) |
| SAA | 78.6 (52.4–92.4) | 82.4 (59.0–93.8) | 78.6 (55.9–91.4) | 82.4 (62.6–92.9) | 4.45 (1.76–13.02) | 0.26 (0.09–0.61) |
| PCT + DNI | 71.4 (45.4–88.3) | 100 (81.6–100) | 100 (100–100) | 0.81 (0.65–0.91) | - | 0.29 (0.12–0.55) |
| PCT + CRP | 64.3 (38.8–83.7) | 100 (81.6–100) | 100 (100–100) | 77.3 (62.7–87.3) | - | 0.36 (0.16–0.61) |
| PCT + SAA | 64.3 (38.8–83.7) | 94.1 (73.0–99.0) | 90.0 (56.4–98.4) | 76.2 (61.1–86.7) | 10.93 (2.20–63.08) | 0.38 (0.17–0.67) |
| DNI + CRP | 64.3 (38.8–83.7) | 94.1 (73.0–99.0) | 90.0 (56.4–98.4) | 76.2 (61.1–86.7) | 10.93 (2.20–63.08) | 0.38 (0.17–0.67) |
| DNI + SAA | 71.4 (45.4–88.3) | 100 (81.6–100) | 100 (100–100) | 0.81 (0.65–0.91) | - | 0.29 (0.12–0.55) |
| CRP + SAA | 71.4 (45.4–88.3) | 100 (81.6–100) | 100 (100–100) | 0.81 (0.65–0.91) | - | 0.29 (0.12–0.55) |
Disclaimer/Publisher’s Note: The statements, opinions and data contained in all publications are solely those of the individual author(s) and contributor(s) and not of MDPI and/or the editor(s). MDPI and/or the editor(s) disclaim responsibility for any injury to people or property resulting from any ideas, methods, instructions or products referred to in the content. |
© 2023 by the authors. Licensee MDPI, Basel, Switzerland. This article is an open access article distributed under the terms and conditions of the Creative Commons Attribution (CC BY) license (https://creativecommons.org/licenses/by/4.0/).
Share and Cite
Cho, J.; Lee, J.-H.; Lee, D.H.; Kim, J.; Uh, Y. Performance Comparison of Procalcitonin, Delta Neutrophil Index, C-Reactive Protein, and Serum Amyloid A Levels in Patients with Hematologic Diseases. Diagnostics 2023, 13, 1213. https://doi.org/10.3390/diagnostics13071213
Cho J, Lee J-H, Lee DH, Kim J, Uh Y. Performance Comparison of Procalcitonin, Delta Neutrophil Index, C-Reactive Protein, and Serum Amyloid A Levels in Patients with Hematologic Diseases. Diagnostics. 2023; 13(7):1213. https://doi.org/10.3390/diagnostics13071213
Chicago/Turabian StyleCho, Jooyoung, Jong-Han Lee, Dong Hyun Lee, Juwon Kim, and Young Uh. 2023. "Performance Comparison of Procalcitonin, Delta Neutrophil Index, C-Reactive Protein, and Serum Amyloid A Levels in Patients with Hematologic Diseases" Diagnostics 13, no. 7: 1213. https://doi.org/10.3390/diagnostics13071213
APA StyleCho, J., Lee, J.-H., Lee, D. H., Kim, J., & Uh, Y. (2023). Performance Comparison of Procalcitonin, Delta Neutrophil Index, C-Reactive Protein, and Serum Amyloid A Levels in Patients with Hematologic Diseases. Diagnostics, 13(7), 1213. https://doi.org/10.3390/diagnostics13071213

