Considering Both GLS and MD for a Prognostic Value in Non-ST-Segment Elevated Acute Coronary Artery Syndrome
Abstract
1. Introduction
2. Materials and Methods
2.1. Study Population
2.2. Recorded Clinical Variables
2.3. Echocardiography
2.4. Clinical Outcome
2.5. Statistical Analysis
3. Results
3.1. Patient Characteristics
3.2. ROC Curves to Predict Cardiac Events
3.3. Predictors of Outcome
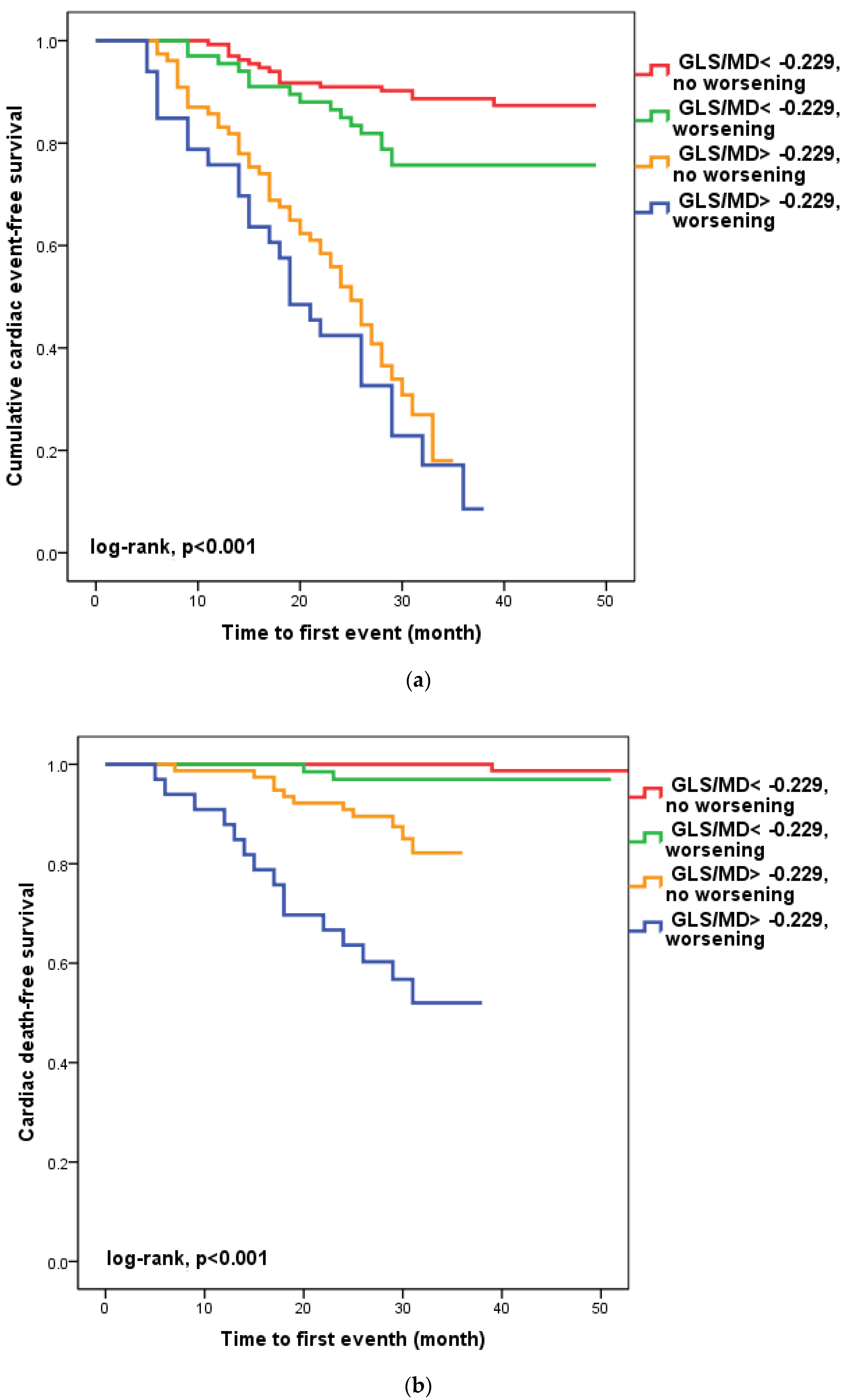
3.4. Worsening of GLS/MD Ratio during Follow-Up
3.5. Reproducibility
4. Discussion
5. Conclusions
Author Contributions
Funding
Institutional Review Board Statement
Informed Consent Statement
Data Availability Statement
Conflicts of Interest
References
- Turpie, A.G. Burden of disease: Medical and economic impact of acute coronary syndromes. Am. J. Manag. Care 2006, 12, S430–S434. [Google Scholar] [PubMed]
- Yeh, R.W.; Sidney, S.; Chandra, M.; Sorel, M.; Selby, J.V.; Go, A.S. Population trends in the incidence and outcomes of acute myocardial infarction. N. Engl. J. Med. 2020, 362, 2155–2165. [Google Scholar] [CrossRef] [PubMed]
- Gc, V.S.; Alshurafa, M.; Sturgess, D.J.; Ting, J.; Gregory, K.; Gonçalves, A.S.O.; Whitty, J.A. Cost-minimisation analysis alongside a pilot study of early Tissue Doppler Evaluation of Diastolic Dysfunction in Emergency Department Non-ST Elevation Acute Coronary Syndromes (TEDDy-NSTEACS). BMJ Open 2019, 9, e023920. [Google Scholar] [CrossRef] [PubMed]
- Zannad, F.; Alla, F.; Dousset, B.; Perez, A.; Pitt, B. Limitation of excessive extracellular matrix turnover may contribute to survival benefit of spironolactone therapy in patients with congestive heart failure: Insights from the randomized aldactone evaluation study (RALES). Rales Investigators. Circulation 2000, 102, 2700–2706. [Google Scholar] [CrossRef]
- Skaarup, K.G.; Iversen, A.; Jørgensen, P.G.; Olsen, F.J.; Grove, G.L.; Jensen, J.S.; Biering-Sørensen, T. Association between layer-specific global longitudinal strain and adverse outcomes following acute coronary syndrome. Eur. Heart J. Cardiovasc. Imaging 2018, 19, 1334–1342. [Google Scholar] [CrossRef]
- D’Andrea, A.; Cocchia, R.; Caso, P.; Riegler, L.; Scarafile, R.; Salerno, G.; Golia, E.; Di Salvo, G.; Calabrò, P.; Bigazzi, M.C.; et al. Global longitudinal speckle-tracking strain is predictive of left ventricular remodeling after coronary angioplasty in patients with recent non-ST elevation myocardial infarction. Int. J. Cardiol. 2011, 153, 185–191. [Google Scholar] [CrossRef]
- Nagueh, S.F.; Appleton, C.P.; Gillebert, T.C.; Marino, P.N.; Oh, J.K.; Smiseth, O.A.; Waggoner, A.D.; Flachskampf, F.A.; Pellikka, P.A.; Evangelisa, A. Recommendations for the evaluation of left ventricular diastolic function by echocardiography. Eur. J. Echocardiogr. 2009, 10, 165–193. [Google Scholar] [CrossRef]
- Mornos, C.; Petrescu, L.; Ionac, A.; Cozma, D. The prognostic value of a new tissue Doppler parameter in patients with heart failure. Int. J. Cardiovasc. Imaging 2014, 30, 47–55. [Google Scholar] [CrossRef]
- Lin, A.K.; Sippel, C.; Guppy-Coles, J.; Hammett, C.; Thomas, L.; Atherton, J.J.; Brasad, B.P. Abstract 11330: E/e’ is a Powerful Predictor of Survival After a First-Ever Non-ST Elevation Myocardial Infarction. Circulation 2016, 134 (Suppl. S1), A11330. [Google Scholar]
- Biering-Sørensen, T.; Jensen, J.S.; Pedersen, S.; Galatius, S.; Hoffmann, S.; Jensen, M.T.; Mogelvang, R. Doppler tissue imaging is an independent predictor of outcome in patients with ST-segment elevation myocardial infarction treated with primary percutaneous coronary intervention. J. Am. Soc. Echocardiogr. 2014, 27, 258–267. [Google Scholar] [CrossRef]
- Biering-Sørensen, T.; Biering-Sørensen, S.R.; Olsen, F.J.; Sengeløv, M.; Jørgensen, P.G.; Mogelvang, R.; Amil, M.; Shah, A.M.; Jensen, J.S. Global longitudinal strain by echocardiography predicts long-term risk of cardiovascular morbidity and mortality in a low-risk general population: The Copenhagen City Heart Study. Circ. Cardiovasc. Imaging 2017, 10, e005521. [Google Scholar] [CrossRef] [PubMed]
- Langeland, S.; D’hooge, J.; Wouters, P.F.; Leather, H.A.; Claus, P.; Bijnens, B.; Sutherland, G.R. Experimental validation of a new ultrasound method for the simultaneous assessment of radial and longitudinal myocardial deformation independent of insonation angle. Circulation 2005, 112, 2157–2162. [Google Scholar] [CrossRef] [PubMed]
- Radwan, H.I.; Hussein, E.M.; Shaker, A. Transmural Extent in Relation to Clinical Scoring in Non-ST Elevation Myocardial Infarction Patients: Speckle-Tracking Echocardiographic Study. J. Cardiovasc. Echogr. 2019, 29, 156–164. [Google Scholar] [CrossRef] [PubMed]
- Dandel, M.; Lehmkuhl, H.; Knosalla, C.; Suramelashvili, N.; Hetzer, R. Strain and strain rate imaging by echocardiography—Basic concepts and clinical applicability. Curr. Cardiol. Rev. 2009, 5, 133–148. [Google Scholar] [CrossRef] [PubMed]
- Golukhova, E.Z.; Bulaeva, N.I.; Mrikaev, D.V.; Alexandrova, S.A.; Berdibekov, B.S. Prognostic value of left ventricular global longitudinal strain and mechanical dispersion by speckle tracking echocardiography in patients with ischemic and nonischemic cardiomyopathy: A systematic review and meta-analysis. Russ. J. Cardiol. 2022, 27, 5034. (In Russian) [Google Scholar] [CrossRef]
- Haugaa, K.H.; Smedsrud, M.K.; Steen, T.; Kongsgaard, E.; Loennechen, J.P.; Skjaerpe, T.; Voigt, J.U.; Willems, R.; Smith, G.; Smiseth, O.A.; et al. Mechanical Dispersion Assessed by Myocardial Strain in Patients After Myocardial Infarction for Risk Prediction of Ventricular Arrhythmia. JACC Cardiovasc. Imaging 2010, 3, 247–256. [Google Scholar] [CrossRef]
- Perry, R.; Patil, S.; Marx, C.; Horsfall, M.; Chew, D.P.; Sree Raman, K.; Daril, N.D.M.; Tiver, K.; Joseph, M.X.; Ganesan, A.N.; et al. Advanced Echocardiographic Imaging for Prediction of SCD in Moderate and Severe LV Systolic Function. JACC Cardiovasc. Imaging 2020, 13, 604–612. [Google Scholar] [CrossRef]
- Haugaa, K.H.; Grenne, B.L.; Eek, C.H.; Ersbølll, M.; Valeur, N.; Svendsen, J.H.; Florian, A.; Sjøli, B.; Brunvand, H.; Køber, L.; et al. Strain echocardiography improves risk prediction of ventricular arrhythmias after myocardial infarction. JACC Cardiovasc. Imaging 2013, 6, 841–850. [Google Scholar] [CrossRef]
- Hasselberg, N.E.; Haugaa, K.H.; Bernard, A.; Ribe, M.P.; Kongsgaard, E.; Donal, E.; Edvardsen, T. Left ventricular markers of mortality and ventricular arrhythmias in heart failure patients with cardiac resynchronization therapy. Eur. Heart J. Cardiovasc. Imaging 2016, 17, 343–350. [Google Scholar] [CrossRef]
- Ibanez, B.; James, S.; Agewall, S.; Antunes, M.J.; Bucciarelli-Ducci, C.; Bueno, H.; Caforio, A.L.P.; Crea, F.; Goudevenos, J.A.; Halvorsen, S.; et al. 2017 ESC Guidelines for the management of acute myocardial infarction in patients presenting with ST-segment elevation: The Task Force for the management of acute myocardial infarction in patients presenting with ST-segment elevation of the European Society of Cardiology (ESC). Eur. Heart J. 2017, 39, 119–177. [Google Scholar]
- Roffi, M.; Patrono, C.; Collet, J.P.; Mueller, C.; Valgimigli, M.; Andreotti, F.; Bax, J.J.; Borger, M.A.; Brotons, C.; ESC Scientific Document Group; et al. 2015 ESC Guidelines for the management of acute coronary syndromes in patients presenting without persistent ST-segment elevation: Task Force for the Management of Acute Coronary Syndromes in Patients Presenting without Persistent ST-Segment Elevation of the European Society of Cardiology (ESC). Eur. Heart J. 2016, 37, 267–315. [Google Scholar] [CrossRef] [PubMed]
- Lang, R.M.; Badano, L.P.; Mor-Avi, V.; Afilalo, J.; Armstrong, A.; Ernande, L.; Flachskampf, F.A.; Foster, E.; Goldstein, S.A.; Kuznetsova, T.; et al. Recommendations for cardiac chamber quantification by echocardiography in adults: An update from the American Society of Echocardiography and the European Association of Cardiovascular Imaging. Eur. Heart J. Cardiovasc. Imaging 2015, 16, 233–270. [Google Scholar] [CrossRef] [PubMed]
- Lancellotti, P.; Tribouilloy, C.; Hagendorff, A.; Popescu, B.A.; Edvardsen, T.; Pierard, L.A.; Badano, L.; Zamorano, J.L.; Scientific Document Committee of the European Association of Cardiovascular Imaging. Recommendations for the echocardiographic assessment of native valvular regurgitation: An executive summary from the European Association of Cardiovascular Imaging. Eur. Heart J. Cardiovasc. Imaging 2013, 14, 611–644. [Google Scholar] [CrossRef] [PubMed]
- Reisner, S.A.; Lysyansky, P.; Agmon, Y.; Mutlak, D.; Lessick, J.; Friedman, Z. Global longitudinal strain: A novel index of left ventricular systolic function. J. Am. Soc. Echocardiogr. 2004, 17, 630–633. [Google Scholar] [CrossRef]
- Haugaa, K.H.; Amlie, J.P.; Berge, K.E.; Leren, T.P.; Smiseth, O.A.; Edvardsen, T. Transmural differences in myocardial contraction in long-QT syndrome: Mechanical consequences of ion channel dysfunction. Circulation 2010, 122, 1355–1363. [Google Scholar] [CrossRef]
- Kawakami, H.; Nerlekar, N.; Haugaa, K.H.; Edvardsen, T.; Marwick, T.H. Prediction of Ventricular Arrhythmias With Left Ventricular Mechanical Dispersion: A Systematic Review and Meta-Analysis. JACC Cardiovasc. Imaging 2020, 13, 562–572. [Google Scholar] [CrossRef]
- Westholm, C.; Johnson, J.; Sahlen, A.; Winter, R.; Jernberg, T. Peak systolic velocity using color-coded tissue Doppler imaging, a strong and independent predictor of outcome in acute coronary syndrome patients. Cardiovasc. Ultrasound. 2013, 11, 9. [Google Scholar] [CrossRef]
- Matsuura, H.; Yamada, A.; Sugimoto, K.; Iwase, M.; Ishikawa, T.; Ishii, J.; Ozaki, Y. Clinical implication of LAVI over A’ ratio in patients with acute coronary syndrome. Heart Asia 2018, 10, e011038. [Google Scholar] [CrossRef]
- Moller, J.E.; Hillis, G.S.; Oh, J.K.; Seward, J.B.; Reeder, G.S.; Wright, R.S.; Park, S.W.; Bailey, K.R.; Pellikka, P.A. Left atrial volume: A powerful predictor of survival after acute myocardial infarction. Circulation 2003, 107, 2207–2212. [Google Scholar] [CrossRef]
- Brezinov, O.P.; Klempfner, R.; Zekry, S.B.; Goldenberg, I.; Kuperstein, R. Prognostic value of ejection fraction in patients admitted with acute coronary syndrome: A real world study. Medicine 2017, 96, e6226. [Google Scholar] [CrossRef]
- Gjesdal, O.; Helle-Valle, T.; Hopp, E.; Lunde, K.; Vartdal, T.; Aakhus, S.; Smith, H.J.R.; Ihlen, H.; Edvardsen, T. Noninvasive separation of large, medium, and small myocardial infarcts in survivors of reperfused ST-elevation myocardial infarction: A comprehensive tissue Doppler and speckle-tracking echocardiography study. Circ. Cardiovasc. Imaging 2008, 1, 189–196. [Google Scholar] [CrossRef] [PubMed]
- Sjoli, B.; Grenne, B.; Smiseth, O.A.; Edvardsen, T.; Brunvand, H. The advantage of global strain compared to left ventricular ejection fraction to predict outcome after acute myocardial infarction. Echocardiography 2011, 28, 556–563. [Google Scholar] [CrossRef] [PubMed]
- Delgado, V.; Mollema, S.A.; Ypenburg, C.; Tops, L.F.; van der Wall, E.E.; Schalij, M.J.; Bax, J.J. Relation between global left ventricular longitudinal strain assessed with novel automated function imaging and biplane left ventricular ejection fraction in patients with coronary artery disease. J. Am. Soc. Echocardiogr. 2008, 21, 1244–1250. [Google Scholar] [CrossRef] [PubMed]
- Belghitia, H.; Brette, S.; Lafitte, S.; Reant, P.; Picard, F.; Serri, K.; Lafitte, M.; Courregelongue, M.; Dos, S.P.; Douard, H.; et al. Automated function imaging: A new operator-independent strain method for assessing left ventricular function. Arch. Cardiovasc. Dis. 2008, 101, 163–169. [Google Scholar] [CrossRef]
- Cho, G.-Y.; Marwick, T.H.; Kim, H.-S.; Kim, M.-K.; Hong, K.-S.; Oh, D.-J. Global 2-dimensional strain as a new prognosticator in patients with heart failure. J. Am. Coll. Cardiol. 2009, 54, 618–624. [Google Scholar] [CrossRef]
- Ersbøll, M.; Valeur, N.; Mogensen, U.M.; Andersen, M.J.; Mller, J.E.; Velazquez, E.J.; Hassager, C.; Søgaard, P.; Køber, L. Prediction of all-cause mortality and heart failure admissions from global left ventricular longitudinal strain in patients with acute myocardial infarction and preserved left ventricular ejection fraction. J. Am. Coll. Cardiol. 2013, 61, 2365–2373. [Google Scholar] [CrossRef]
- Haugaa, K.H.; Goebel, B.; Dahlslett, T.; Meyer, K.; Jung, C.; Lauten, A.; Figulla, H.R.; Poerner, T.C.; Edvardsen, T. Risk assessment of ventricular arrhythmias in patients with nonischemic dilated cardiomyopathy by strain echocardiography. J. Am. Soc. Echocardiogr. 2012, 25, 667–673. [Google Scholar] [CrossRef]
- Iacoviello, M.; Puzzovivo, A.; Guida, P.; Forleo, C.; Monitillo, F.; Catanzaro, R.; Lattarulo, M.S.; Antoncecchi, V.; Favale, S. Independent role of left ventricular global longitudinal strain in predicting prognosis of chronic heart failure patients. Echocardiography 2013, 30, 803–811. [Google Scholar] [CrossRef]
- Kalam, K.; Otahal, P.; Marwick, T.H. Prognostic implications of global LV dysfunction: A systematic review and meta-analysis of global longitudinal strain and ejection fraction. Heart 2014, 100, 1673–1680. [Google Scholar] [CrossRef]
- Mignot, A.; Donal, E.; Zaroui, A.; Reant, P.; Salem, A.; Hamon, C.; Monzy, S.; Roudaut, R.; Habib, G.; Lafitte, S. Global longitudinal strain as a major predictor of cardiac events in patients with depressed left ventricular function: A multicenter study. J. Am. Soc. Echocardiogr. 2010, 23, 1019–1024. [Google Scholar] [CrossRef]
- Russo, C.; Jin, Z.; Elkind, M.S.; Rundek, T.; Homma, S.; Sacco, R.L.; Di Tullio, M.R. Prevalence and prognostic value of subclinical left ventricular systolic dysfunction by global longitudinal strain in a community based cohort. Eur. J. Heart Fail. 2014, 16, 1301–1309. [Google Scholar] [CrossRef] [PubMed]
- Smiseth, O.A.; Torp, H.; Opdahl, A.; Haugaa, K.H.; Urheim, S. Myocardial strain imaging: How useful is it in clinical decision making? Eur. Heart J. 2016, 37, 1196–1207. [Google Scholar] [CrossRef] [PubMed]
- Stanton, T.; Leano, R.; Marwick, T.H. Prediction of all-cause mortality from global longitudinal speckle strain: Comparison with ejection fraction and wall motion scoring. Circ. Cardiovasc. Imaging 2009, 2, 356–364. [Google Scholar] [CrossRef] [PubMed]
- Silbiger, J.J. Pathophysiology and Echocardiographic Diagnosis of Left Ventricular Diastolic Dysfunction. J. Am. Soc. Echocardiogr. 2019, 32, 216–232.e2. [Google Scholar] [CrossRef] [PubMed]
- Gjesdal, O.; Vartdal, T.; Hopp, E.; Lunde, K.; Brunvand, H.; Smith, H.J.; Edvardsen, T. Left ventricle longitudinal deformation assessment by mitral annulus displacement or global longitudinal strain in chronic ischemic heart disease: Are they interchangeable? J. Am. Soc. Echocardiogr. 2009, 22, 823–830. [Google Scholar] [CrossRef]
- Iwahashi, N.; Kirigaya, J.; Gohbara, M.; Abe, T.; Horii, M.; Hanajima, Y.; Toya, N.; Takahashi, H.; Kirigaya, H.; Minamimoto, Y.; et al. Mechanical dispersion combined with global longitudinal strain estimated by three dimensional speckle tracking in patients with ST elevation myocardial infarction. Int. J. Cardiol. Heart Vasc. 2022, 40, 101028. [Google Scholar] [CrossRef] [PubMed]
- Joseph, J.; Claggett, B.C.; Anand, I.S.; Fleg, J.L.; Huynh, T.; Desai, A.S.; Solomon, S.D.; O’Meara, E.; Mckinlay, S.; Pitt, B.; et al. QRS Duration Is a Predictor of Adverse Outcomes in Heart Failure With Preserved Ejection Fraction. JACC Heart Fail. 2016, 4, 477–486. [Google Scholar] [CrossRef]
- Shah, A.M.; Shah, S.J.; Anand, I.S.; Sweitzer, N.K.; O’Meara, E.; Heitner, J.F.; Sopko, G.; Li, G.; Assmann, S.F.; McKinlay, S.M.; et al. Cardiac structure and function in heart failure with preserved ejection fraction: Baseline findings from the echocardiographic study of the Treatment of Preserved Cardiac Function Heart Failure with an Aldosterone Antagonist trial. Circ. Heart Fail. 2014, 7, 104–115. [Google Scholar] [CrossRef]
- Shah, A.M.; Claggett, B.; Sweitzer, N.K.; Shah, S.J.; Anand, I.S.; Liu, L.i.; Pitt, B.; Pfeffer, M.A.; Solomon, S.D. Prognostic Importance of Impaired Systolic Function in Heart Failure With Preserved Ejection Fraction and the Impact of Spironolactone. Circulation 2015, 132, 402–414. [Google Scholar] [CrossRef]
- Donal, E.; Lund, L.H.; Oger, E.; Hage, C.; Persson, H.; Reynaud, A.; Ennezat, P.-V.; Bauer, F.; Drouet, E.; Linde, C.; et al. New echocardiographic predictors of clinical outcome in patients presenting with heart failure and a preserved left ventricular ejection fraction: A subanalysis of the Ka (Karolinska) Ren (Rennes) Study. Eur. J. Heart Fail. 2015, 17, 680–688. [Google Scholar] [CrossRef]
- Ersbøll, M.; Valeur, N.; Andersen, M.J.; Mogensen, U.M.; Vinther, M.; Svendsen, J.H.; Møller, J.E.; Kisslo, J.; Velazquez, E.J.; Hassager, C.; et al. Early Echocardiographic Deformation Analysis for the Prediction of Sudden Cardiac Death and Life-Threatening Arrhythmias After Myocardial Infarction. JACC Cardiovasc. Imaging 2013, 6, 851–860. [Google Scholar] [CrossRef]



| Characteristic | Event-Free (n = 201) | Cardiac Events (n = 109) | p-Value |
|---|---|---|---|
| Clinical characteristics | |||
| Age, years Female/male gender | 60.5 ± 11.7 56/145 | 59.4 ± 12.1 36/73 | 0.472 0.36 |
| Body mass index, kg/m2 | 26.8 ± 4.57 | 27.4 ± 4.66 | 0.248 |
| Mean arterial pressure, mmHg Heart rate, beats/min Previous coronary artery disease, n (%) | 97.9 ± 12.8 84 ± 18 47 (23.4) | 96 ± 14.5 89 ± 21 31 (28.4) | 0.261 0.285 0.34 |
| Hypercholesterolemia, n (%) | 142 (70.6) | 69 (63.3) | 0.81 |
| Current smoker, n (%) | 167 (83.1) | 89 (81.6) | 0.76 |
| Diabetes mellitus, n (%) | 99 (49.2) | 44 (40.4) | 0.15 |
| Systemic hypertension, n (%) | 77 (38.3) | 44 (40.3) | 0.41 |
| Family history of cardiovascular disease, n (%) | 49 (24.4) | 25 (22.9) | 0.89 |
| Severe mitral regurgitation, n (%) | 31 (15.4) | 25 (22.9) | 0.122 |
| NYHA I, n (%) NYHA II, n (%) NYHA III, n (%) NYHA IV, n (%) | 118 (58.7) 72 (35.8) 6 (2.98) 5 (2.48) | 36 (33) 57 (52.3) 14 (12.8) 2 (0.9) | 0.004 0.007 0.002 0.011 |
| Laboratory finding | |||
| NT-proBNP, pg/mL | 1274 ± 1667 | 2705 ± 2516 | <0.001 |
| Peak high-sensitivity cardiac troponin I, ng/L | 519 ± 1256 | 628 ± 1235 | 0.464 |
| Culprit lesion | |||
| Left anterior descending, n (%) | 66 (32.8) | 20 (18.3) | 0.008 |
| Circumflex artery, n (%) | 37 (18.4) | 20 (18.3) | 1 |
| Right coronary artery, n (%) | 71 (35.3) | 58 (53.2) | 0.003 |
| Left main stem coronary artery, n (%) | 27 (13.4) | 11 (10.1) | 0.47 |
| Multivessel lesion, n (%) | 48 (23.9) | 28 (25.7) | 0.78 |
| Therapy at hospital discharge | |||
| Beta blocker, n (%) ACEI/angiotensin receptor antagonist, n (%) | 179 (89.0) 196 (97.5) | 101 (92.6) 105 (96.3) | 0.42 0.81 |
| Diuretics, n (%) Calcium blocker, n (%) | 153 (76.1) 47 (23.3) | 79 (72.4) 26 (24.5) | 0.49 0.85 |
| Nitrates, n (%) Aspirin, n (%) P2Y12 inhibitor, n (%) Statin, n (%) | 141 (70.1) 201 (100) 201 (100) 198 (98.5) | 69 (63.3) 109 (100) 109 (100) 105 (96.3) | 0.25 1 1 0.98 |
| Echocardiographic indices at hospital discharge | |||
| End-diastolic LV diameter, cm/m2 | 2.9 ± 0.5 | 3.3 ± 0.6 | <0.001 |
| LV ejection fraction, % | 49 ± 12 | 36 ± 12 | <0.001 |
| Left atrial volume, mL | 79 ± 30 | 111 ± 50 | <0.001 |
| Indexed left atrial volume, mL/m2 | 42 ± 17 | 58 ± 28 | <0.001 |
| Left atrium diameter, cm | 4.4 ± 0.5 | 4.9 ± 0.6 | <0.001 |
| Left atrium surface, cm2 | 24 ± 6 | 29 ± 7 | <0.001 |
| Systolic pulmonary artery pressure, mmHg | 38 ± 10 | 44 ± 11 | <0.001 |
| Mitral regurgitant orifice area, mm2 | 24 ± 8 | 26 ± 11 | 0.046 |
| Mitral regurgitant volume, mL | 36 ± 15 | 39 ± 14 | 0.253 |
| E, cm/s | 73 ± 25 | 88 ± 29 | <0.001 |
| A, cm/s | 87 ± 36 | 72 ± 34 | <0.001 |
| E/A ratio | 0.94 ± 0.44 | 1.54 ± 1.03 | <0.001 |
| E-deceleration time, ms | 173 ± 72 | 164 ± 74 | 0.30 |
| e’, cm/s | 8.9 ± 3.3 | 6.5 ± 2 | <0.001 |
| E/e’ ratio | 8.8 ± 3.5 | 13.9 ± 4 | <0.001 |
| s’, cm/s | 8 ± 2.7 | 5.2 ± 1.8 | <0.001 |
| GLS, % | −18.9 ± 5.6 | −16 ± 5.5 | <0.001 |
| MD, msec | 52.85 ± 22 | 70 ± 16 | <0.001 |
| GLS/MD | −0.418 ± 0.2 | −0.239 ± 0.13 | <0.001 |
| Variable | Univariate HR (CI 95%) | p-Value | Multivariate HR (CI 95%) | p-Value |
|---|---|---|---|---|
| LV end-diastolic volume index | 2.612 (1.878–3.631) | <0.001 | 1.039 (0.645–1.676) | 0.874 |
| LVEF | 0.931 (0.914–0.948) | <0.001 | 0.968 (0.945–0.990) | 0.006 |
| Left atrial volume | 1.018 (1.013–1.024) | <0.001 | ||
| Indexed left atrial volume | 1.065 (1.045–1.086) | <0.001 | 1.005 (0.996–1.014) | 0.291 |
| SPAP | 1.042 (1.026–1.058) | <0.001 | 0.988 (0.971–1.006) | 0.184 |
| Mitral regurgitant orifice area | 1.020 (1.001–1.038) | <0.001 | 1.019 (0.997–1.041) | 0.090 |
| Mitral regurgitant volume | 1.008 (0.996–1.020) | 0.219 | ||
| TAPSE | 1.007 (0.996–1.017) | 0.228 | ||
| E velocity | 1.016 (1.010–1.023) | <0.001 | ||
| E-deceleration time | 0.998 (0.996–1.001) | 0.213 | ||
| A velocity | 0.985 (0.977–0.993) | <0.001 | ||
| E/A ratio | 1.948 (1.653–2.295) | <0.001 | 1.017 (0.743–1.393) | 0.914 |
| e’ velocity | 0.765 (0.703–0.833) | <0.001 | ||
| E/e’ ratio | 1.180 (1.143–1.219) | <0.001 | 1.190 (0.954–1.484) | 0.124 |
| s’ velocity | 0.569 (0.498–0.649) | <0.001 | 0.763 (0.654–0.891) | 0.001 |
| GLS | 1.091 (1.054–1.128) | <0.001 | 1.010 (0.950–1.074) | 0.745 |
| MD | 1.030 (1.021–1.039) | <0.001 | 1.009 (0.994–1.025) | 0.248 |
| GLS/MD ratio | 3.718 (1.239–1.6.197) | <0.001 | 3.621 (2.167–5.075) | 0.001 |
Disclaimer/Publisher’s Note: The statements, opinions and data contained in all publications are solely those of the individual author(s) and contributor(s) and not of MDPI and/or the editor(s). MDPI and/or the editor(s) disclaim responsibility for any injury to people or property resulting from any ideas, methods, instructions or products referred to in the content. |
© 2023 by the authors. Licensee MDPI, Basel, Switzerland. This article is an open access article distributed under the terms and conditions of the Creative Commons Attribution (CC BY) license (https://creativecommons.org/licenses/by/4.0/).
Share and Cite
Ionac, I.; Lazăr, M.-A.; Șoșdean, R.; Văcărescu, C.; Simonescu, M.; Luca, C.-T.; Mornoș, C. Considering Both GLS and MD for a Prognostic Value in Non-ST-Segment Elevated Acute Coronary Artery Syndrome. Diagnostics 2023, 13, 745. https://doi.org/10.3390/diagnostics13040745
Ionac I, Lazăr M-A, Șoșdean R, Văcărescu C, Simonescu M, Luca C-T, Mornoș C. Considering Both GLS and MD for a Prognostic Value in Non-ST-Segment Elevated Acute Coronary Artery Syndrome. Diagnostics. 2023; 13(4):745. https://doi.org/10.3390/diagnostics13040745
Chicago/Turabian StyleIonac, Ioana, Mihai-Andrei Lazăr, Raluca Șoșdean, Cristina Văcărescu, Marius Simonescu, Constantin-Tudor Luca, and Cristian Mornoș. 2023. "Considering Both GLS and MD for a Prognostic Value in Non-ST-Segment Elevated Acute Coronary Artery Syndrome" Diagnostics 13, no. 4: 745. https://doi.org/10.3390/diagnostics13040745
APA StyleIonac, I., Lazăr, M.-A., Șoșdean, R., Văcărescu, C., Simonescu, M., Luca, C.-T., & Mornoș, C. (2023). Considering Both GLS and MD for a Prognostic Value in Non-ST-Segment Elevated Acute Coronary Artery Syndrome. Diagnostics, 13(4), 745. https://doi.org/10.3390/diagnostics13040745

