Advanced Diffusion-Weighted Imaging Sequences for Breast MRI: Comprehensive Comparison of Improved Sequences and Ultra-High B-Values to Identify the Optimal Combination
Abstract
1. Introduction
2. Materials and Methods
2.1. Study Population
2.2. MRI-Image Acquisition
2.3. DWI
2.4. Post Processing
2.5. Image Analysis
- Preferred sequence.
- Preferred b-value for each sequence (i.e., b1500, b2000, or b2500).
- 3.
- Extracorporeal noise in the proximity of the breast surface.
- 4.
- Noise in the breast.
- 5.
- Signal inhomogeneities and artifacts.
2.6. ADC Comparison
2.7. Statistical Analysis
3. Results
3.1. Patients and Lesions
3.2. Preferred Sequence
3.3. Preferred B-Values
3.4. Combination of B-Value and Sequence
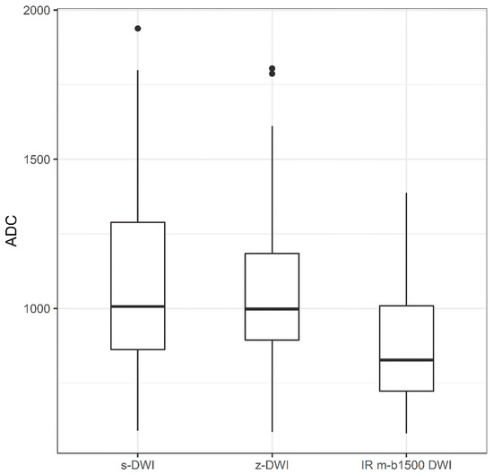
3.5. ADC Values
3.6. Noise in the Breast, Extracorporeal Noise, and Artifacts
3.7. Inter-Reader Agreement
4. Discussion
Limitations
5. Conclusions
Author Contributions
Funding
Institutional Review Board Statement
Informed Consent Statement
Data Availability Statement
Acknowledgments
Conflicts of Interest
Abbreviations
| BI-RADS | Breast Imaging Reporting and Data System |
| DCE-MRI | dynamic contrast-enhanced magnetic resonance imaging |
| DWI | diffusion-weighted imaging |
| SPAIR | spectral-attenuated inversion recovery |
| IR | inversion recovery |
| ADC | apparent diffusion coefficient |
| z-DWI | zoomed DWI |
| m-b-values | measured b-values |
| e-b-values | extrapolated b-values |
| s-DWI | standard DWI |
| fs | fat saturation |
| FOV | field of view |
| CNR | contrast-to-noise ratio |
| MB SENSE | multiband sensitivity-encoding |
| cDWI | conventional DWI |
References
- Mann, R.M.; Balleyguier, C.; Baltzer, P.A.; Bick, U.; Colin, C.; Cornford, E.; Evans, A.; Fallenberg, E.; Forrai, G.; Fuchsjäger, M.H.; et al. Breast MRI: EUSOBI recommendations for women’s information. Eur. Radiol. 2015, 25, 3669–3678. [Google Scholar] [CrossRef]
- Mann, R.M.; Kuhl, C.K.; Kinkel, K.; Boetes, C. Breast MRI: Guidelines from the European Society of Breast Imaging. Eur. Radiol. 2008, 18, 1307–1318. [Google Scholar] [CrossRef]
- Sardanelli, F.; Aase, H.S.; Alvarez, M.; Azavedo, E.; Baarslag, H.J.; Balleyguier, C.; Baltzer, P.A.; Beslagic, V.; Bick, U.; Bogdanovic-Stojanovic, D.; et al. Position paper on screening for breast cancer by the European Society of Breast Imaging (EUSOBI) and 30 national breast radiology bodies from Austria, Belgium, Bosnia and Herzegovina, Bulgaria, Croatia, Czech Republic, Denmark, Estonia, Finland, France, Germany, Greece, Hungary, Iceland, Ireland, Italy, Israel, Lithuania, Moldova, The Netherlands, Norway, Poland, Portugal, Romania, Serbia, Slovakia, Spain, Sweden, Switzerland and Turkey. Eur. Radiol. 2017, 27, 2737–2743. [Google Scholar]
- Bennani-Baiti, B.; Dietzel, M.; Baltzer, P.A. MRI for the assessment of malignancy in BI-RADS 4 mammographic microcalcifications. PLoS ONE 2017, 12, e0188679. [Google Scholar] [CrossRef]
- Radbruch, A.; Weberling, L.D.; Kieslich, P.J.; Hepp, J.; Kickingereder, P.; Wick, W.; Schlemmer, H.P.; Bendszus, M. High-signal intensity in the dentate nucleus and globus pallidus on unenhanced T1-weighted images: Evaluation of the macrocyclic gadolinium-based contrast agent gadobutrol. Investig. Radiol. 2015, 50, 805–810. [Google Scholar] [CrossRef]
- Weberling, L.D.; Kieslich, P.J.; Kickingereder, P.; Wick, W.; Bendszus, M.; Schlemmer, H.P.; Radbruch, A. Increased signal intensity in the dentate nucleus on unenhanced T1-weighted images after gadobenate dimeglumine administration. Investig. Radiol. 2015, 50, 743–748. [Google Scholar] [CrossRef]
- Padhani, A.R.; Weinreb, J.; Rosenkrantz, A.B.; Villeirs, G.; Turkbey, B.; Barentsz, J. Prostate Imaging-reporting and Data System Steering Committee: PI-RADS v2 status update and future directions. Eur. Urol. 2019, 75, 385–396. [Google Scholar] [CrossRef]
- Luczynska, E.; Heinze-Paluchowska, S.; Domalik, A.; Cwierz, A.; Kasperkiewicz, H.; Blecharz, P.; Jereczek-Fossa, B. The utility of diffusion weighted imaging (DWI) using apparent diffusion coefficient (ADC) values in discriminating between prostate cancer and normal tissue. Pol. J. Radiol. 2014, 79, 450–455. [Google Scholar]
- Barral, M.; Taouli, B.; Guiu, B.; Koh, D.M.; Luciani, A.; Manfredi, R.; Vilgrain, V.; Hoeffel, C.; Kanematsu, M.; Soyer, P. Diffusion-weighted MR imaging of the pancreas: Current status and recommendations. Radiology 2015, 274, 45–63. [Google Scholar] [CrossRef]
- Lo Gullo, R.; Sevilimedu, V.; Baltzer, P.; Le Bihan, D.; Camps-Herrero, J.; Clauser, P.; Gilbert, F.J.; Iima, M.; Mann, R.M.; Partridge, S.C.; et al. A survey by the European Society of Breast Imaging on the implementation of breast diffusion-weighted imaging in clinical practice. Eur. Radiol. 2022, 32, 6588–6597. [Google Scholar] [CrossRef]
- Dietzel, M.; Ellmann, S.; Schulz-Wendtland, R.; Clauser, P.; Wenkel, E.; Uder, M.; Baltzer, P.A.T. Breast MRI in the era of diffusion weighted imaging: Do we still need signal-intensity time curves? Eur. Radiol. 2020, 30, 47–56. [Google Scholar] [CrossRef]
- Shahbazi-Gahrouei, D.; Aminolroayaei, F.; Nematollahi, H.; Ghaderian, M.; Gahrouei, S.S. Advanced magnetic resonance imaging modalities for breast cancer diagnosis: An overview of recent findings and perspectives. Diagnostics 2022, 12, 2741. [Google Scholar] [CrossRef]
- Hahn, S.Y.; Ko, E.S.; Han, B.K.; Lim, Y.; Gu, S.; Ko, E.Y. Analysis of factors influencing the degree of detectability on diffusion-weighted MRI and diffusion background signals in patients with invasive breast cancer. Medicine 2016, 95, e4086. [Google Scholar] [CrossRef]
- Horvat, J.V.; Durando, M.; Milans, S.; Patil, S.; Massler, J.; Gibbons, G.; Giri, D.; Pinker, K.; Morris, E.A.; Thakur, S.B. Apparent diffusion coefficient mapping using diffusion-weighted MRI: Impact of background parenchymal enhancement, amount of fibroglandular tissue and menopausal status on breast cancer diagnosis. Eur. Radiol. 2018, 28, 2516–2524. [Google Scholar] [CrossRef]
- Baltzer, P.; Mann, R.M.; Iima, M.; Sigmund, E.E.; Clauser, P.; Gilbert, F.J.; Martincich, L.; Partridge, S.C.; Patterson, A.; Pinker, K.; et al. Diffusion-weighted imaging of the breast: A consensus and mission statement from the EUSOBI International Breast Diffusion-weighted Imaging working group. Eur. Radiol. 2020, 30, 1436–1450. [Google Scholar] [CrossRef]
- Hausmann, D.; Aksoz, N.; von Hardenberg, J.; Martini, T.; Westhoff, N.; Buettner, S.; Schoenberg, S.O.; Riffel, P. Prostate cancer detection among readers with different degree of experience using ultra-high b-value diffusion-weighted imaging: Is a non-contrast protocol sufficient to detect significant cancer? Eur. Radiol. 2018, 28, 869–876. [Google Scholar] [CrossRef]
- Bittencourt, L.K.; Attenberger, U.I.; Lima, D.; Strecker, R.; de Oliveira, A.; Schoenberg, S.O.; Gasparetto, E.L.; Hausmann, D. Feasibility study of computed vs. measured high b-value (1400 s/mm(2)) diffusion-weighted MR images of the prostate. World J. Radiol. 2014, 6, 374–380. [Google Scholar] [CrossRef]
- He, Y.L.; Hausmann, D.; Morelli, J.N.; Attenberger, U.I.; Schoenberg, S.O.; Riffel, P. Renal zoomed EPI-DWI with spatially-selective radiofrequency excitation pulses in two dimensions. Eur. J. Radiol. 2016, 85, 1773–1777. [Google Scholar] [CrossRef]
- Riffel, P.; Michaely, H.J.; Morelli, J.N.; Pfeuffer, J.; Attenberger, U.I.; Schoenberg, S.O.; Haneder, S. Zoomed EPI-DWI of the pancreas using two-dimensional spatially-selective radiofrequency excitation pulses. PLoS ONE 2014, 9, e89468. [Google Scholar] [CrossRef]
- Edwards, S.D.; Lipson, J.A.; Ikeda, D.M.; Lee, J.M. Updates and revisions to the BI-RADS magnetic resonance imaging lexicon. Magn. Reson. Imaging Clin. 2013, 21, 483–493. [Google Scholar] [CrossRef]
- Yeh, E.D.; Georgian-Smith, D.; Raza, S.; Bussolari, L.; Pawlisz-Hoff, J.; Birdwell, R.L. Positioning in breast MR imaging to optimize image quality. Radiographics 2014, 34, E1–E17. [Google Scholar] [CrossRef]
- Mann, R.M.; Cho, N.; Moy, L. Breast MRI: State of the art. Radiology 2019, 292, 520–536. [Google Scholar] [CrossRef]
- Finsterbusch, J. Fast-spin-echo imaging of inner fields-of-view with 2D-selective RF excitations. J. Magn. Reson. Imaging 2010, 31, 1530–1537. [Google Scholar] [CrossRef]
- Tanabe, M.; Higashi, M.; Benkert, T.; Imai, H.; Miyoshi, K.; Kameda, F.; Ariyoshi, S.; Ihara, K.; Ito, K. Reduced field-of-view diffusion-weighted magnetic resonance imaging of the pancreas with tilted excitation plane: A preliminary study. J. Magn. Reson. Imaging 2021, 54, 715–720. [Google Scholar] [CrossRef]
- Peng, R.D. Reproducible research and biostatistics. Biostatistics 2009, 10, 405–408. [Google Scholar] [CrossRef]
- Biswas, D.; Hippe, D.S.; Wang, Y.; DelPriore, M.R.; Zečević, M.; Scheel, J.R.; Rahbar, H.; Partridge, S.C. Accelerated breast diffusion-weighted imaging using multiband sensitivity encoding with the CAIPIRINHA method: Clinical experience at 3 T. Radiol. Imaging Cancer 2022, 4, e210063. [Google Scholar] [CrossRef]
- McDonald, E.S.; Hammersley, J.A.; Chou, S.H.; Rahbar, H.; Scheel, J.R.; Lee, C.I.; Liu, C.L.; Lehman, C.D.; Partridge, S.C. Performance of DWI as a rapid unenhanced technique for detecting mammographically occult breast cancer in elevated-risk women with dense breasts. Am. J. Roentgenol. 2016, 207, 205–216. [Google Scholar] [CrossRef]
- Partridge, S.C.; Nissan, N.; Rahbar, H.; Kitsch, A.E.; Sigmund, E.E. Diffusion-weighted breast MRI: Clinical applications and emerging techniques. J. Magn. Reson. Imaging 2017, 45, 337–355. [Google Scholar] [CrossRef]
- Hashem, L.M.B.; Gareer, S.W.Y.; Hashem, A.M.B.; Fakhry, S.; Tohamey, Y.M. Can DWI-MRI be an alternative to DCE-MRI in the diagnosis of troublesome breast lesions? Egypt. J. Radiol. Nucl. Med. 2021, 52, 1–12. [Google Scholar] [CrossRef]
- Lee, S.H.; Shin, H.J.; Moon, W.K. Diffusion-weighted magnetic resonance imaging of the breast: Standardization of image acquisition and interpretation. Korean J. Radiol. 2021, 22, 9. [Google Scholar] [CrossRef]
- Han, X.; Li, J.; Wang, X. Comparison and optimization of 3.0 T breast images quality of diffusion-weighted imaging with multiple b-values. Acad. Radiol. 2017, 24, 418–425. [Google Scholar] [CrossRef] [PubMed]
- Ohlmeyer, S.; Laun, F.B.; Bickelhaupt, S.; Palm, T.; Janka, R.; Weiland, E.; Uder, M.; Wenkel, E. Ultra-high b-value diffusion-weighted imaging-based abbreviated protocols for breast cancer detection. Investig. Radiol. 2021, 56, 629–636. [Google Scholar] [CrossRef] [PubMed]
- Tamura, T.; Murakami, S.; Naito, K.; Yamada, T.; Fujimoto, T.; Kikkawa, T. Investigation of the optimal b-value to detect breast tumors with diffusion weighted imaging by 1.5-T MRI. Cancer Imaging 2014, 14, 11. [Google Scholar] [CrossRef] [PubMed]
- Skare, S.; Newbould, R.D.; Clayton, D.B.; Albers, G.W.; Nagle, S.; Bammer, R. Clinical multishot DW-EPI through parallel imaging with considerations of susceptibility, motion, and noise. Magn. Reson. Med. 2007, 57, 881–890. [Google Scholar] [CrossRef]
- Partridge, S.C.; Amornsiripanitch, N. DWI in the assessment of breast lesions. Top Magn. Reson. Imaging 2017, 26, 201–209. [Google Scholar] [CrossRef] [PubMed]
- Raczeck, P.; Frenzel, F.; Woerner, T.; Graeber, S.; Bohle, R.M.; Ziegler, G.; Buecker, A.; Schneider, G.K. Noninferiority of monoparametric MRI versus multiparametric MRI for the detection of prostate cancer: Diagnostic accuracy of ADC ratios based on advanced “zoomed” diffusion-weighted imaging. Investig. Radiol. 2022, 57, 233–241. [Google Scholar] [CrossRef]
- Nogueira, L.; Brandao, S.; Nunes, R.G.; Ferreira, H.A.; Loureiro, J.; Ramos, I. Breast DWI at 3 T: Influence of the fat-suppression technique on image quality and diagnostic performance. Clin. Radiol. 2015, 70, 286–294. [Google Scholar] [CrossRef]
- DelPriore, M.R.; Biswas, D.; Hippe, D.S.; Zecevic, M.; Parsian, S.; Scheel, J.R.; Rahbar, H.; Partridge, S.C. Breast cancer conspicuity on computed versus acquired high b-value diffusion-weighted MRI. Acad. Radiol. 2021, 28, 1108–1117. [Google Scholar] [CrossRef]






| Parameters | s-DWI | z-DWI | IR m-b1500 DWI |
|---|---|---|---|
| Measured b-values (s/mm2) | 50; 800 | 50; 800 | 50; 1500 |
| Calculated b-values (s/mm2) | 1500; 2000; 2500 | 1500; 2000; 2500 | 2000; 2500 |
| Voxel size (mm3) | 1.7 × 1.7 × 4.0 | 1.7 × 1.7 × 4.0 | 1.2 (i) × 1.2 (i) × 4.0 |
| Field of view (mm2) | 163 × 340 | 163 × 340 | 212 × 340 |
| Fat saturation | SPAIR | SPAIR | IR |
| Acquisition time (min) | 2:34 | 2:23 | 3:22 |
| Echo time (ms) | 59 | 63 | 64 |
| Repetition time (ms) | 5300 | 5300 | 7560 |
| Sequence | b1500 | b2000 | b2500 |
|---|---|---|---|
| z-DWI | 6.1% | 13.6% | 18.4% |
| IR m-b1500 DWI | 4.1% | 6.8% | 11.6% |
| s-DWI | 8.2% | 13.6% | 17.7% |
| (a) With a Lesion | ||||
|---|---|---|---|---|
| Reader | Sequence | b1500 | b2000 | b2500 |
| Reader A | z-DWI | 10 | 0 | 0 |
| IR m-b1500 DWI | 7 | 3 | 0 | |
| Reader B | z-DWI | 7 | 2 | 0 |
| IR m-b1500 DWI | 7 | 4 | 0 | |
| Reader C | z-DWI | 6 | 0 | 0 |
| IR m-b1500 DWI | 9 | 5 | 0 | |
| Overall | z-DWI | 38.3% | 3.3% | 0 |
| IR m-b1500 DWI | 38.3% | 20% | 0 | |
| (b) Without a Lesion | ||||
| Reader | Sequence | b1500 | b2000 | b2500 |
| Reader A | z-DWI | 13 | 0 | 0 |
| IR m-b1500 DWI | 6 | 1 | 0 | |
| Reader B | z-DWI | 1 | 15 | 1 |
| IR m-b1500 DWI | 3 | 0 | 0 | |
| Reader C | z-DWI | 4 | 6 | 0 |
| IR m-b1500 DWI | 7 | 3 | 0 | |
| Overall | z-DWI | 30% | 35% | 1.7% |
| IR m-b1500 DWI | 26.7% | 6.7% | 0 | |
| s-DWI | Reader A vs. B | Reader A vs. C | Reader B vs. C |
|---|---|---|---|
| Extracorporeal noise | 0.071 | 0.022 | 0.032 |
| Noise in the breast | 0.072 | 0.112 | 0.037 |
| Artifacts | 0.547 | 0.375 | 0.554 |
| z-DWI | Reader A vs. B | Reader A vs. C | Reader B vs. C |
| Extracorporeal noise | 0.072 | 0.282 | 0.018 |
| Noise in the breast | 0.031 | 0.382 | 0.005 |
| Artifacts | 0.512 | 0.309 | 0.475 |
| m-b1500 DWI | Reader A vs. B | Reader A vs. C | Reader B vs. C |
| Extracorporeal noise | 0.070 | 0.559 | 0.236 |
| Noise in the breast | 0.386 | 0.406 | 0.324 |
| Artifacts | 0.719 | 0.587 | 0.519 |
Disclaimer/Publisher’s Note: The statements, opinions and data contained in all publications are solely those of the individual author(s) and contributor(s) and not of MDPI and/or the editor(s). MDPI and/or the editor(s) disclaim responsibility for any injury to people or property resulting from any ideas, methods, instructions or products referred to in the content. |
© 2023 by the authors. Licensee MDPI, Basel, Switzerland. This article is an open access article distributed under the terms and conditions of the Creative Commons Attribution (CC BY) license (https://creativecommons.org/licenses/by/4.0/).
Share and Cite
Hausmann, D.; Todorski, I.; Pindur, A.; Weiland, E.; Benkert, T.; Bosshard, L.; Prummer, M.; Kubik-Huch, R.A. Advanced Diffusion-Weighted Imaging Sequences for Breast MRI: Comprehensive Comparison of Improved Sequences and Ultra-High B-Values to Identify the Optimal Combination. Diagnostics 2023, 13, 607. https://doi.org/10.3390/diagnostics13040607
Hausmann D, Todorski I, Pindur A, Weiland E, Benkert T, Bosshard L, Prummer M, Kubik-Huch RA. Advanced Diffusion-Weighted Imaging Sequences for Breast MRI: Comprehensive Comparison of Improved Sequences and Ultra-High B-Values to Identify the Optimal Combination. Diagnostics. 2023; 13(4):607. https://doi.org/10.3390/diagnostics13040607
Chicago/Turabian StyleHausmann, Daniel, Inga Todorski, Alexandra Pindur, Elisabeth Weiland, Thomas Benkert, Lars Bosshard, Michael Prummer, and Rahel A. Kubik-Huch. 2023. "Advanced Diffusion-Weighted Imaging Sequences for Breast MRI: Comprehensive Comparison of Improved Sequences and Ultra-High B-Values to Identify the Optimal Combination" Diagnostics 13, no. 4: 607. https://doi.org/10.3390/diagnostics13040607
APA StyleHausmann, D., Todorski, I., Pindur, A., Weiland, E., Benkert, T., Bosshard, L., Prummer, M., & Kubik-Huch, R. A. (2023). Advanced Diffusion-Weighted Imaging Sequences for Breast MRI: Comprehensive Comparison of Improved Sequences and Ultra-High B-Values to Identify the Optimal Combination. Diagnostics, 13(4), 607. https://doi.org/10.3390/diagnostics13040607

