Computer-Aided Diagnosis of Laryngeal Cancer Based on Deep Learning with Laryngoscopic Images
Abstract
:1. Introduction
2. Materials and Methods
2.1. Study Population and Imaging Acquisitions
2.2. Structure of CNN Model
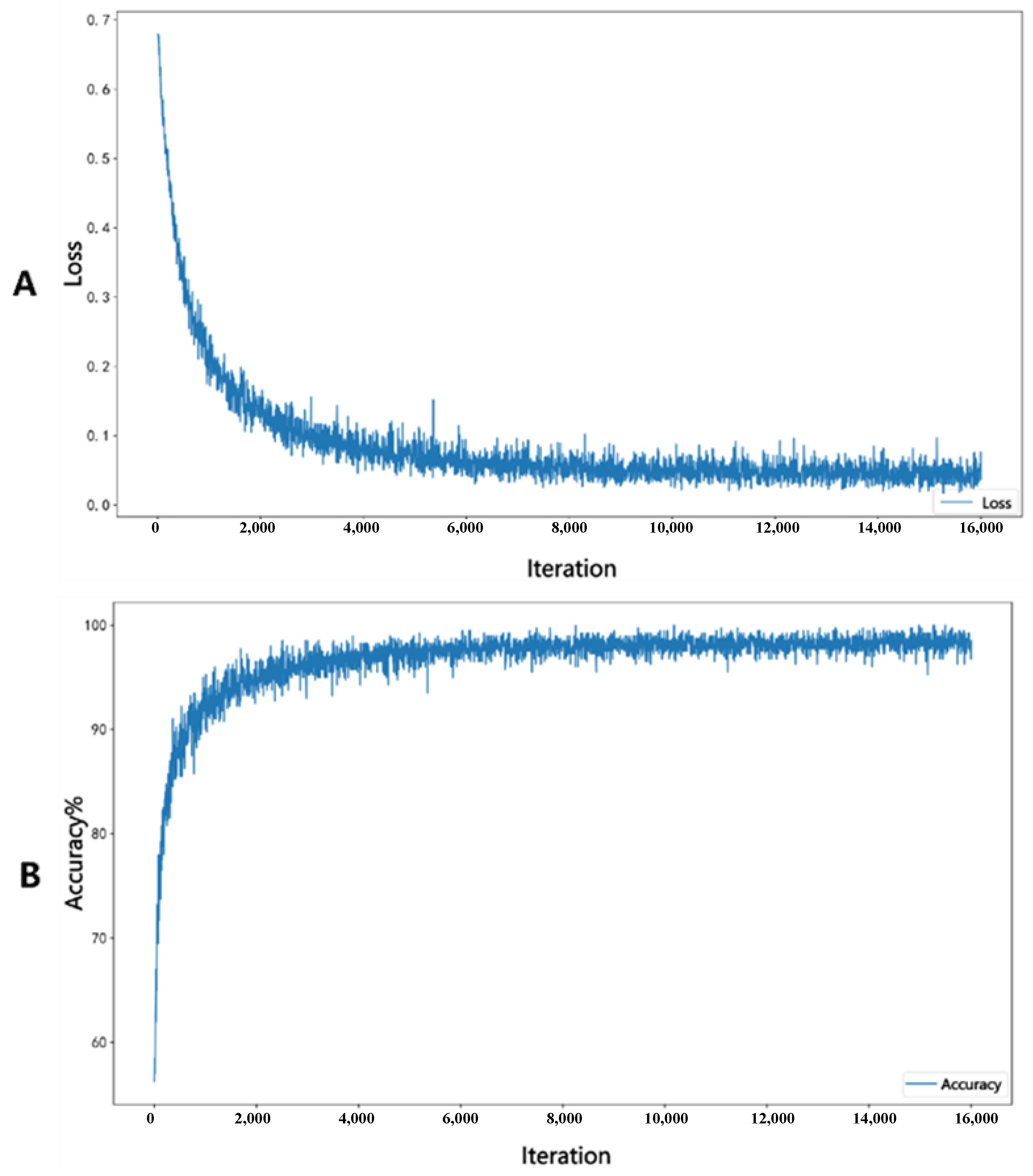
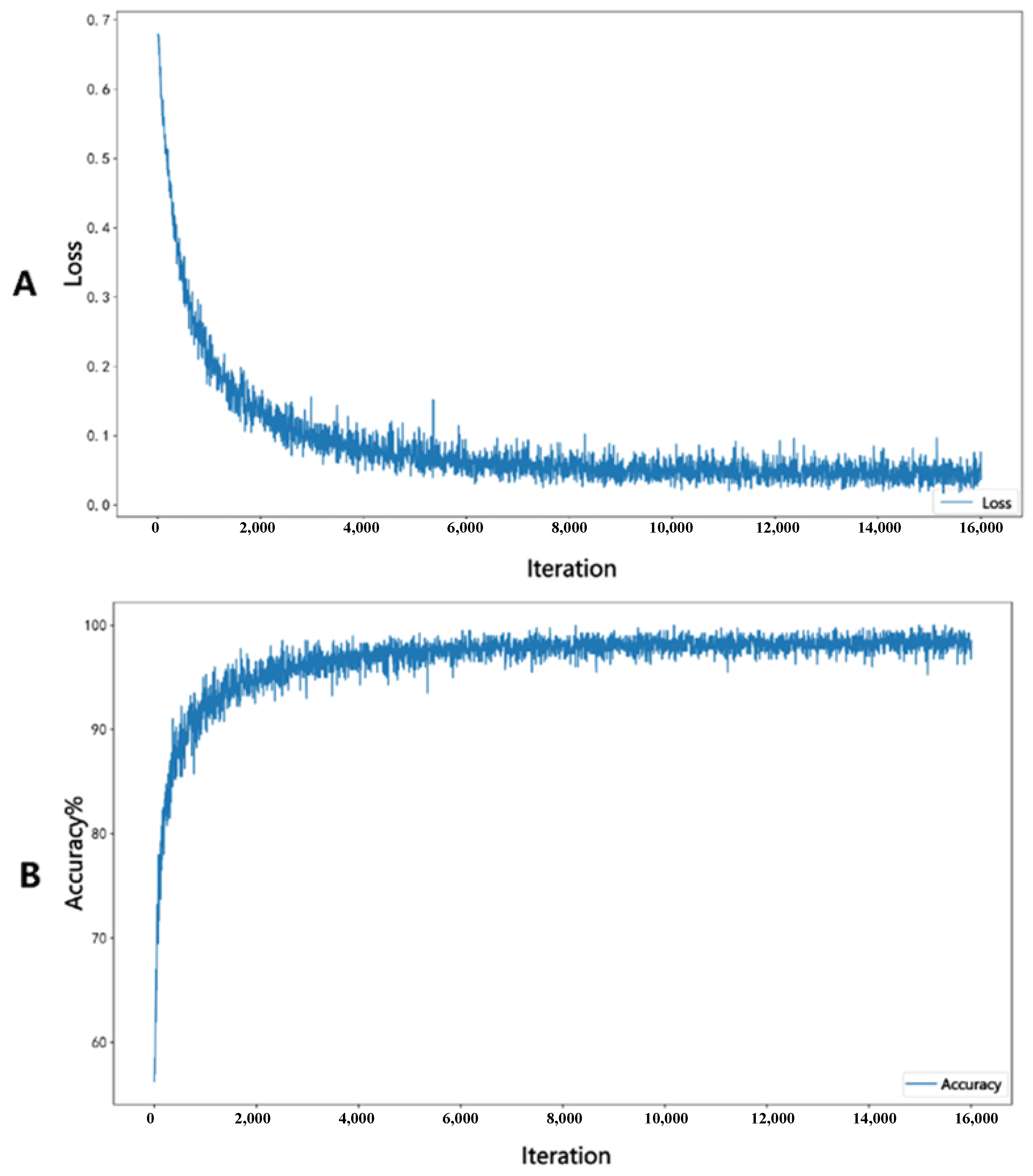
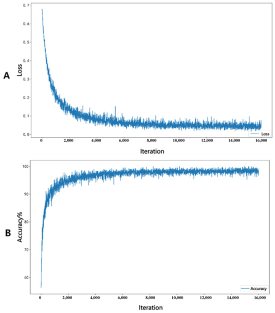
2.3. Training Process of DCNN Model
2.4. Statistical Analysis
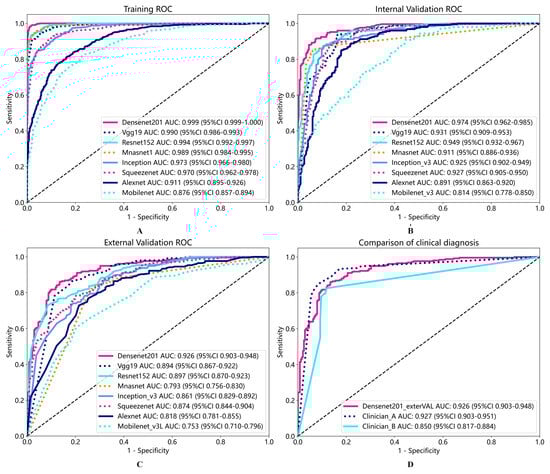
3. Results
4. Discussion
5. Conclusions
Author Contributions
Funding
Institutional Review Board Statement
Informed Consent Statement
Data Availability Statement
Conflicts of Interest
References
- World Health Organization (WHO). World Cancer Report. 2020. Available online: https://www.iarc.fr/cards_page/world-cancer-report/ (accessed on 20 January 2023).
- Wu, Y.; Zhang, Y.; Zheng, X.; Dai, F.; Gao, W. Circular RNA circCORO1C promotes laryngeal squamous cell carcinoma progression by modulating the let-7c-5p/PBX3 axis. Mol. Cancer 2020, 19, 99. [Google Scholar] [CrossRef] [PubMed]
- Cui, J.; Wang, L.; Zhong, W.; Chen, Z.; Liu, G. Development and validation of epigenetic signature predict survival for patients with laryngeal squamous cell carcinoma. DNA Cell Biol. 2021, 40, 247–264. [Google Scholar] [CrossRef] [PubMed]
- Sung, H.; Ferlay, J.; Siegel, R.L.; Laversanne, M.; Soerjomataram, I.; Jemal, A.; Bray, F. Global cancer statistics 2020: GLOBOCAN estimates of incidence and mortality worldwide for 36 cancers in 185 countries. CA Cancer J. Clin. 2021, 71, 209–249. [Google Scholar] [CrossRef] [PubMed]
- Bray, F.; Ferlay, J.; Soerjomataram, I.; Siegel, R.L.; Torre, L.A.; Jemal, A. Global cancer statistics 2018: Globocan estimates of incidence and mortality worldwide for 36 cancers in 185 countries. CA Cancer J. Clin. 2018, 68, 394–424. [Google Scholar] [CrossRef] [PubMed]
- Rao, D.; Singh, R. Automated segmentation of the larynx on computed tomography images: A review. Biomed. Eng. Lett. 2022, 12, 175–183. [Google Scholar] [CrossRef] [PubMed]
- Brandstorp-Boesen, J.; Sørum Falk, R.; Boysen, M.; Brøndbo, K. Impact of stage, management and recurrence on survival rates in laryngeal cancer. PLoS ONE 2017, 12, e0179371. [Google Scholar] [CrossRef] [PubMed]
- García Lorenzo, J.; Montoro Martínez, V.; Rigo Quera, A.; Codina Aroca, A.; López Vilas, M.; Quer Agustí, M.; León Vintró, X. Modifications in the treatment of advanced laryngeal cancer throughout the last 30 years. Eur. Arch. Otorhinolaryngol. 2017, 274, 3449–3455. [Google Scholar] [CrossRef]
- Joseph, J.S.; Vidyarthi, A.; Singh, V.P. An improved approach for initial stage detection of laryngeal cancer using effective hybrid features and ensemble learning method. In Multimedia Tools and Applications; Springer: Berlin/Heidelberg, Germany, 2023; pp. 1–23. [Google Scholar]
- Kraft, M.; Fostiropoulos, K.; Gurtler, N.; Arnoux, A.; Davaris, N.; Arens, C. Value of narrow band imaging in the early diagnosis of laryngeal cancer. Head Neck 2016, 38, 15–20. [Google Scholar] [CrossRef]
- De Vito, A.; Meccariello, G.; Vicini, C. Narrow band imaging as screening test for early detection of laryngeal cancer: A prospective study. Clin. Otolaryngol. 2017, 42, 347–353. [Google Scholar] [CrossRef]
- Sun, C.; Han, X.; Li, X.; Zhang, Y.; Du, X. Diagnostic performance of narrow band imaging for laryngeal Cancer: A systematic review and meta-analysis. Otolaryngol. Head Neck Surg. 2017, 156, 589–597. [Google Scholar] [CrossRef]
- Yang, Y.; Liu, J.; Song, F.; Zhang, S. The clinical diagnostic value of target biopsy using narrow-band imaging endoscopy and accurate laryngeal carcinoma pathologic specimen acquisition. Clin. Otolaryngol. 2017, 42, 38–45. [Google Scholar] [CrossRef] [PubMed]
- Zurek, M.; Jasak, K.; Niemczyk, K.; Rzepakowska, A. Artificial Intelligence in Laryngeal Endoscopy: Systematic Review and Meta-Analysis. J. Clin. Med. 2022, 11, 2752. [Google Scholar] [CrossRef] [PubMed]
- Hubel, D.H.; Wiesel, T.N. Receptive fields, binocular interaction and functional architecture in the cat’s visual cortex. J. Physiol. 1962, 160, 106–154. [Google Scholar] [CrossRef] [PubMed]
- Fukushima, K. Neocognitron: A self organizing neural network model for a mechanism of pattern recognition unaffected by shift in position. Biol. Cybern. 1980, 36, 193–202. [Google Scholar] [CrossRef] [PubMed]
- Hay, E.A.; Parthasarathy, R. Performance of convolutional neural networks for identification of bacteria in 3D microscopy datasets. PLoS Comput. Biol. 2018, 14, e1006628. [Google Scholar] [CrossRef]
- Strodthoff, N.; Strodthoff, C. Detecting and interpreting myocardial infarction using fully convolutional neural networks. Physiol. Meas. 2018, 40, 015001. [Google Scholar] [CrossRef]
- Long, E.; Lin, H.; Liu, Z.; Wu, X.; Wang, L.; Jiang, J.; An, Y.; Lin, Z.; Li, X.; Chen, J.; et al. An artificial intelligence platform for the multihospital collaborative management of congenital cataract. Nat. Biomed. Eng. 2017, 1, 24. [Google Scholar] [CrossRef]
- Mascharak, S.; Baird, B.J.; Holsinger, F.C. Detecting oropharyngeal carcinoma using multispectral, narrow-band imaging and machine learning. Laryngoscope 2018, 128, 2514–2520. [Google Scholar] [CrossRef]
- Paderno, A.; Piazza, C.; Del Bon, F.; Lancini, D.; Tanagli, S.; Deganello, A.; Peretti, G.; De Momi, E.; Patrini, I.; Ruperti, M.; et al. Deep learning for automatic segmentation of oral and oropharyngeal cancer using narrow band imaging: Preliminary experience in a clinical perspective. Front. Oncol. 2021, 11, 626602. [Google Scholar] [CrossRef]
- Esmaeili, N.; Illanes, A.; Boese, A.; Davaris, N.; Arens, C.; Navab, N.; Friebe, M. Laryngeal lesion classification based on vascular patterns in contact endoscopy and narrow band imaging: Manual versus automatic approach. Sensors 2020, 20, 4018. [Google Scholar] [CrossRef]
- Cho, W.K.; Choi, S.H. Comparison of convolutional neural network models for determination of vocal fold normality in laryngoscopic images. J. Voice 2020, 20, 30292–30297. [Google Scholar] [CrossRef] [PubMed]
- Xiong, H.; Lin, P.; Yu, J.G.; Ye, J.; Xiao, L.; Tao, Y.; Jiang, Z.; Lin, W.; Liu, M.; Xu, J.; et al. Computer-aided diagnosis of laryngeal cancer via deep learning based on laryngoscopic images. EBioMedicine 2019, 48, 92–99. [Google Scholar] [CrossRef] [PubMed]
- Ren, J.; Jing, X.; Wang, J.; Ren, X.; Xu, Y.; Yang, Q.; Ma, L.; Sun, Y.; Xu, W.; Yang, N.; et al. Automatic recognition of laryngoscopic images using a deep-learning technique. Laryngoscope 2020, 130, E686–E693. [Google Scholar] [CrossRef] [PubMed]
- Amin, M.B.; Greene, F.L.; Edge, S.B.; Compton, C.C.; Gershenwald, J.E.; Brookland, R.K.; Meyer, L.; Gress, D.M.; Byrd, D.R.; Winchester, D.P. The Eighth Edition AJCC Cancer Staging Manual: Continuing to build a bridge from a population-based to a more “personalized” approach to cancer staging. CA Cancer J. Clin. 2017, 67, 93–99. [Google Scholar] [CrossRef]
- Zhang, J.; Saha, A.; Zhu, Z.; Mazurowski, M.A. Hierarchical convolutional neural networks for segmentation of breast tumors in MRI with application to radiogenomics. IEEE Trans. Med. Imaging 2018, 38, 435–447. [Google Scholar] [CrossRef]
- Wang, J.; Zhu, H.; Wang, S.H.; Zhang, Y.D. A review of deep learning on medical image analysis. Mob. Netw. Appl. 2021, 26, 351–380. [Google Scholar] [CrossRef]
- Sahoo, P.K.; Mishra, S.; Panigrahi, R.; Bhoi, A.K.; Barsocchi, P. An improvised deep-learning-based mask R-CNN model for laryngeal cancer detection using CT images. Sensors 2022, 22, 8834. [Google Scholar] [CrossRef]
- Wang, Y.; Lei, D. Research progress in CT-based radiomics constructing hypopharyngeal cancer and multisystem tumor prediction model. Lin Chuang Er Bi Yan Hou Tou Jing Wai Ke Za Zhi 2022, 36, 158–162. (In Chinese) [Google Scholar] [CrossRef]
- Wang, M.; Zhu, J.; Li, Y.; Tie, C.; Wang, S.; Zhang, W.; Wang, G.; Ni, X. Automatic anatomical site recognition of laryngoscopic images using convolutional neural network. Lin Chuang Er Bi Yan Hou Tou Jing Wai Ke Za Zhi 2023, 37, 6–12. (In Chinese) [Google Scholar] [CrossRef]
- Rose, J.M.; Novoselov, S.S.; Robinson, P.A.; Cheetham, M.E. Molecular chaperone–mediated rescue of mitophagy by a parkin RING1 domain mutant. Hum. Mol. Genet. 2011, 20, 16–27. [Google Scholar] [CrossRef]
- Khosravi, P.; Kazemi, E.; Imielinsk, M.; Elemento, O.; Hajirasouliha, I. Deep convolutional neural networks enable discrimination of heterogeneous digital pathology images. EBioMedicine 2018, 27, 317–328. [Google Scholar] [CrossRef]
- Gulshan, V.; Peng, L.; Coram, M.; Stumpe, M.C.; Wu, D.; Narayanaswamy, A.; Venugopalan, S.; Widner, K.; Madams, T.; Cuadros, J.; et al. Development and validation of a deep learning algorithm for detection of diabetic retinopathy in retinal fundus photographs. JAMA 2016, 316, 2402–2410. [Google Scholar] [CrossRef]
- Kermany, D.S.; Goldbaum, M.; Cai, W.; Valentim, C.C.S.; Liang, H.; Baxter, S.L.; McKeown, A.; Yang, G.; Wu, X.; Yan, F.; et al. Identifying medical diagnoses and treatable diseases by image-based deep learning. Cell 2018, 172, 1122–1131. [Google Scholar] [CrossRef] [PubMed]
- Tama, B.A.; Kim, D.H.; Kim, G.; Kim, S.W.; Lee, S. Recent advances in the application of artificial intelligence in otorhinolaryngology-head and neck surgery. Clin. Exp. Otorhinolaryngol. 2020, 13, 326–339. [Google Scholar] [CrossRef] [PubMed]
- Fekri-Ershad, S.; Alsaffar, M.F. Developing a Tuned Three-Layer Perceptron Fed with Trained Deep Convolutional Neural Networks for Cervical Cancer Diagnosis. Diagnostics 2023, 13, 686. [Google Scholar] [CrossRef] [PubMed]
- Fekri-Ershad, S.; Al-Imari, M.J.; Hamad, M.H.; Alsaffar, M.F.; Hassan, F.G.; Hadi, M.E.; Mahdi, K.S. Cell Phenotype Classification Based on Joint of Texture Information and Multilayer Feature Extraction in DenseNet. Comput. Intell. Neurosci. 2022, 2022, 6895833. [Google Scholar] [CrossRef]
- Huang, G.; Liu, Z.; Van Der Maaten, L.; Weinberger, K.Q. Densely Connected Convolutional Networks. In Proceedings of the IEEE Conference on Computer Vision and Pattern Recognition (CVPR), Honolulu, HI, USA, 21–26 July 2017; pp. 4700–4708. [Google Scholar]
- Huang, G.; Wang, W. Densely connected convolutional networks with squeeze-and-excitation blocks. arXiv 2018, arXiv:1809.04186. [Google Scholar]
- He, K.; Zhang, X.; Ren, S.; Sun, J. Deep residual learning for image recognition. In Proceedings of the IEEE Conference on Computer Vision and Pattern Recognition (CVPR), Las Vegas, NV, USA, 27–30 June 2016; pp. 770–778. [Google Scholar]
- Szegedy, C.; Vanhoucke, V.; Ioffe, S.; Shlens, J.; Wojna, Z. Rethinking the inception architecture for computer vision. In Proceedings of the IEEE Conference on Computer Vision and Pattern Recognition (CVPR), Las Vegas, NV, USA, 27–30 June 2016; pp. 2818–2826. [Google Scholar]
- Hanley, J.A.; McNeil, B.J. The meaning and use of the area under a receiver operating characteristic (ROC) curve. Radiology 1982, 143, 29–36. [Google Scholar] [CrossRef]
- Demler, O.V.; Pencina, M.J.; D’AgostinoSr, R.B. Misuse of DeLong test to compare AUCs for nested models. Stat. Med. 2012, 31, 2577–2587. [Google Scholar] [CrossRef]
- Jin, H.; Ling, C.X. Using AUC and Accuracy in Evaluating Learning Algorithms. IEEE Trans. Knowl. Data Eng. 2005, 17, 299–310. [Google Scholar]






| Benign | Malignancy | |||||||||
|---|---|---|---|---|---|---|---|---|---|---|
| Cases | Male | Female | Age | Images | Cases | Male | Female | Age | Images | |
| Training cohort | 127 | 53 | 74 | 45 ± 12.3 | 677 | 105 | 102 | 3 | 52 ± 8.6 | 564 |
| Internal validation cohort | 53 | 20 | 33 | 46 ± 12.8 | 238 | 45 | 44 | 1 | 52 ± 9.6 | 251 |
| External validation cohort | 53 | 24 | 29 | 41 ± 11.2 | 266 | 45 | 44 | 1 | 53 ± 9.1 | 258 |
| Histopathological Results | Epiglottic Cyst | Granulomatous | Laryngeal Keratosis | Papiloma | Tuberculosis | Vocal Fold Cyst | Vocal Polyp | Total |
|---|---|---|---|---|---|---|---|---|
| No. of cases | 7 | 4 | 5 | 4 | 6 | 1 | 206 | 233 |
| Layers | Parameters | Output Size |
|---|---|---|
| Convolution | 7 × 7 conv, stride 2 | 112 × 112 |
| Dense Block 1 | × 6 | 56 × 56 |
| Transition Layers 1 | 1 × 1 conv | 56 × 56 |
| 2 × 2 average pool, stride 2 | 28 × 28 | |
| Dense Block 2 | × 12 | 28 × 28 |
| Transition Layers 2 | 1 × 1 conv | 28 × 28 |
| 2 × 2 average pool, stride 2 | 14 × 14 | |
| Dense Block 3 | × 48 | 14 × 14 |
| Transition Layers 3 | 1 × 1 conv | 14 × 14 |
| 2 × 2 average pool, stride 2 | 7 × 7 | |
| Dense Block 4 | × 32 | 7 × 7 |
| Classification Layers | 7 × 7 global average pool | 1 × 1 |
| Fully-connected, softmax |
| Model Name | Acc | AUC | 95% CI | Sensitivity | Specificity | Cohort |
|---|---|---|---|---|---|---|
| Densenet201 | 0.985 | 0.999 | 0.998–0.999 | 0.989 | 0.982 | Train |
| 0.920 | 0.974 | 0.962–0.985 | 0.916 | 0.924 | Internal Validation | |
| 0.863 | 0.926 | 0.903–0.948 | 0.860 | 0.865 | External Validation | |
| Alexnet | 0.826 | 0.911 | 0.895–0.926 | 0.810 | 0.839 | Train |
| 0.835 | 0.891 | 0.863–0.919 | 0.853 | 0.817 | Internal Validation | |
| 0.758 | 0.818 | 0.781–0.855 | 0.767 | 0.757 | External Validation | |
| Inception v3 | 0.908 | 0.973 | 0.965–0.980 | 0.847 | 0.958 | Train |
| 0.883 | 0.925 | 0.902–0.948 | 0.876 | 0.897 | Internal Validation | |
| 0.780 | 0.861 | 0.829–0.892 | 0.868 | 0.712 | External Validation | |
| Mnasnet | 0.959 | 0.989 | 0.983–0.994 | 0.958 | 0.961 | Train |
| 0.895 | 0.911 | 0.885–0.936 | 0.853 | 0.969 | Internal Validation | |
| 0.780 | 0.793 | 0.755–0.829 | 0.822 | 0.989 | External Validation | |
| Mobilenet v3 | 0.793 | 0.876 | 0.856–0.894 | 0.821 | 0.770 | Train |
| 0.728 | 0.814 | 0.778–0.850 | 0.908 | 0.555 | Internal Validation | |
| 0.698 | 0.753 | 0.710–0.796 | 0.605 | 0.798 | External Validation | |
| Resnet152 | 0.960 | 0.994 | 0.992–0.996 | 0.948 | 0.970 | Train |
| 0.887 | 0.949 | 0.932–0.966 | 0.861 | 0.913 | Internal Validation | |
| 0.819 | 0.897 | 0.870–0.923 | 0.729 | 0.932 | External Validation | |
| Squeezenet1 | 0.910 | 0.970 | 0.961–0.977 | 0.937 | 0.888 | Train |
| 0.874 | 0.927 | 0.904–0.950 | 0.884 | 0.870 | Internal Validation | |
| 0.790 | 0.874 | 0.844–0.903 | 0.783 | 0.798 | External Validation | |
| Vgg19 | 0.944 | 0.990 | 0.985–0.993 | 0.942 | 0.946 | Train |
| 0.885 | 0.931 | 0.909–0.952 | 0.936 | 0.870 | Internal Validation | |
| 0.841 | 0.894 | 0.866–0.922 | 0.868 | 0.915 | External Validation |
| Model Name | Acc | AUC | 95% CI | Sensitivity | Specificity | Data Cohort |
|---|---|---|---|---|---|---|
| Densenet201 | 0.863 | 0.926 | 0.9030–0.9482 | 0.860 | 0.866 | External Validation |
| Clinician A | 0.881 | 0.927 | 0.9029–0.9506 | 0.849 | 0.969 | External Validation |
| Clinician B | 0.853 | 0.85 | 0.8175–0.8835 | 0.826 | 0.972 | External Validation |
| Group | p-Value |
|---|---|
| Densenet201 and Clinician A | 0.0891 > 0.05 |
| Densenet201 and Clinician B | 0.0205 < 0.05 |
| Clinician A and Clinician B | 0.0191 < 0.05 |
Disclaimer/Publisher’s Note: The statements, opinions and data contained in all publications are solely those of the individual author(s) and contributor(s) and not of MDPI and/or the editor(s). MDPI and/or the editor(s) disclaim responsibility for any injury to people or property resulting from any ideas, methods, instructions or products referred to in the content. |
© 2023 by the authors. Licensee MDPI, Basel, Switzerland. This article is an open access article distributed under the terms and conditions of the Creative Commons Attribution (CC BY) license (https://creativecommons.org/licenses/by/4.0/).
Share and Cite
Xu, Z.-H.; Fan, D.-G.; Huang, J.-Q.; Wang, J.-W.; Wang, Y.; Li, Y.-Z. Computer-Aided Diagnosis of Laryngeal Cancer Based on Deep Learning with Laryngoscopic Images. Diagnostics 2023, 13, 3669. https://doi.org/10.3390/diagnostics13243669
Xu Z-H, Fan D-G, Huang J-Q, Wang J-W, Wang Y, Li Y-Z. Computer-Aided Diagnosis of Laryngeal Cancer Based on Deep Learning with Laryngoscopic Images. Diagnostics. 2023; 13(24):3669. https://doi.org/10.3390/diagnostics13243669
Chicago/Turabian StyleXu, Zhi-Hui, Da-Ge Fan, Jian-Qiang Huang, Jia-Wei Wang, Yi Wang, and Yuan-Zhe Li. 2023. "Computer-Aided Diagnosis of Laryngeal Cancer Based on Deep Learning with Laryngoscopic Images" Diagnostics 13, no. 24: 3669. https://doi.org/10.3390/diagnostics13243669
APA StyleXu, Z.-H., Fan, D.-G., Huang, J.-Q., Wang, J.-W., Wang, Y., & Li, Y.-Z. (2023). Computer-Aided Diagnosis of Laryngeal Cancer Based on Deep Learning with Laryngoscopic Images. Diagnostics, 13(24), 3669. https://doi.org/10.3390/diagnostics13243669

