Feasibility of Sentinel Lymph Node Biopsy in Early-Stage Epithelial Ovarian Cancer: A Systematic Review and Meta-Analysis
Abstract
:1. Introduction
2. Materials and Methods
2.1. Search Strategy and Selection Criteria
2.2. Inclusion and Exclusion Criteria
2.3. Data Extraction
2.4. Outcome
2.5. Assessment of Risk of Bias in Included Studies
2.6. Statistical Analysis
3. Results
3.1. Study Selection
3.2. Quality Assessment
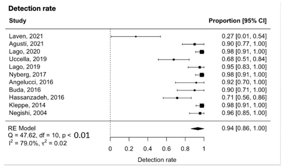
3.3. Sentinel Detection
4. Discussion
4.1. Tracers
4.2. Tracer Injection Sites
4.3. Ultrastaging
4.4. Strengths and Limitations
5. Conclusions
6. Future Directions
Author Contributions
Funding
Institutional Review Board Statement
Informed Consent Statement
Data Availability Statement
Conflicts of Interest
References
- Sung, H.; Ferlay, J.; Siegel, R.L.; Laversanne, M.; Soerjomataram, I.; Jemal, A.; Bray, F. Global Cancer Statistics 2020: GLOBOCAN Estimates of Incidence and Mortality Worldwide for 36 Cancers in 185 Countries. CA Cancer J. Clin. 2021, 71, 209–249. [Google Scholar] [CrossRef] [PubMed]
- SEER*Explorer: An Interactive Website for SEER Cancer Statistics; Surveillance Research Program; National Cancer Institute. SEER Incidence Data, November 2022 Submission (1975–2020). SEER 22 Registries. Available online: https://seer.cancer.gov/statistics-network/explorer/ (accessed on 19 April 2023).
- NHS England. Case-Mix Adjusted Percentage of Cancers Diagnosed at Stages 1 and 2 in England. 2020. Available online: https://digital.nhs.uk/data-and-information/publications/statistical/case-mix-adjusted-percentage-of-cancers-diagnosed-at-stages-1-and-2-in-england/2020 (accessed on 15 December 2022).
- Colombo, N.; Sessa, C.; du Bois, A.; Ledermann, J.; McCluggage, W.G.; McNeish, I.; Morice, P.; Pignata, S.; Ray-Coquard, I.; Vergote, I.; et al. ESMO–ESGO consensus conference recommendations on ovarian cancer: Pathology and molecular biology, early and advanced stages, borderline tumours and recurrent disease. Ann. Oncol. 2019, 30, 672–705. [Google Scholar] [CrossRef] [PubMed]
- Powless, C.A.; Aletti, G.D.; Bakkum-Gamez, J.N.; Cliby, W.A. Risk factors for lymph node metastasis in apparent early-stage epithelial ovarian cancer: Implications for surgical staging. Gynecol. Oncol. 2011, 122, 536–540. [Google Scholar] [CrossRef] [PubMed]
- Kleppe, M.; Wang, T.; Van Gorp, T.; Slangen, B.; Kruse, A.; Kruitwagen, R. Lymph node metastasis in stages I and II ovarian cancer: A review. Gynecol. Oncol. 2011, 123, 610–614. [Google Scholar] [CrossRef]
- Bizzarri, N.; du Bois, A.; Fruscio, R.; De Felice, F.; De Iaco, P.; Casarin, J.; Vizza, E.; Chiantera, V.; Corrado, G.; Cianci, S.; et al. Is there any therapeutic role of pelvic and para-aortic lymphadenectomy in apparent early stage epithelial ovarian cancer? Gynecol. Oncol. 2021, 160, 56–63. [Google Scholar] [CrossRef]
- Maggioni, A.; Panici, P.B.; Dell’Anna, T.; Landoni, F.; Lissoni, A.; Pellegrino, A.; Rossi, R.S.; Chiari, S.; Campagnutta, E.; Greggi, S.; et al. Randomised study of systematic lymphadenectomy in patients with epithelial ovarian cancer macroscopically confined to the pelvis. Br. J. Cancer 2006, 95, 699–704. [Google Scholar] [CrossRef]
- Harter, P.; Sehouli, J.; Lorusso, D.; Reuss, A.; Vergote, I.; Marth, C.; Kim, J.-W.; Raspagliesi, F.; Lampe, B.; Aletti, G.; et al. A Randomized Trial of Lymphadenectomy in Patients with Advanced Ovarian Neoplasms. N. Engl. J. Med. 2019, 380, 822–832. [Google Scholar] [CrossRef]
- Deng, T.; Huang, Q.; Wan, T.; Luo, X.; Feng, Y.; Huang, H.; Liu, J. The impact of lymph node dissection on survival in patients with clinical early-stage ovarian cancer. J. Gynecol. Oncol. 2021, 32, e40. [Google Scholar] [CrossRef]
- Cardoso, F.; Kyriakides, S.; Ohno, S.; Penault-Llorca, F.; Poortmans, P.; Rubio, I.T.; Zackrisson, S.; Senkus, E.; ESMO Guidelines Committee. Early breast cancer: ESMO Clinical Practice Guidelines for diagnosis, treatment and follow-up. Ann. Oncol. 2019, 30, 1194–1220. [Google Scholar] [CrossRef]
- Mok, C.W.; Tan, S.; Zheng, Q.; Shi, L. Network meta-analysis of novel and conventional sentinel lymph node biopsy techniques in breast cancer. BJS Open 2019, 3, 445–452. [Google Scholar] [CrossRef]
- Lawrie, T.A.; Patel, A.; Martin-Hirsch, P.P.; Bryant, A.; Ratnavelu, N.D.; Naik, R.; Ralte, A. Sentinel node assessment for diagnosis of groin lymph node involvement in vulval cancer. Cochrane Database Syst. Rev. 2014, 2016, CD010409. [Google Scholar] [CrossRef] [PubMed]
- Covens, A.; Vella, E.T.; Kennedy, E.B.; Reade, C.J.; Jimenez, W.; Le, T. Sentinel lymph node biopsy in vulvar cancer: Systematic review, meta-analysis and guideline recommendations. Gynecol. Oncol. 2015, 137, 351–361. [Google Scholar] [CrossRef] [PubMed]
- Frost, J.A.; Webster, K.E.; Bryant, A.; Morrison, J. Lymphadenectomy for the management of endometrial cancer. Cochrane Database Syst. Rev. 2017, 10, CD007585. [Google Scholar] [CrossRef] [PubMed]
- Nagar, H.; Wietek, N.; Goodall, R.J.; Hughes, W.; Schmidt-Hansen, M.; Morrison, J. Sentinel node biopsy for diagnosis of lymph node involvement in endometrial cancer. Cochrane Database Syst. Rev. 2021, 2021, CD013021. [Google Scholar] [CrossRef]
- Bats, A.-S.; Mathevet, P.; Buenerd, A.; Orliaguet, I.; Mery, E.; Zerdoud, S.; Le Frère-Belda, M.-A.; Froissart, M.; Querleu, D.; Martinez, A.; et al. The Sentinel Node Technique Detects Unexpected Drainage Pathways and Allows Nodal Ultrastaging in Early Cervical Cancer: Insights from the Multicenter Prospective SENTICOL Study. Ann. Surg. Oncol. 2012, 20, 413–422. [Google Scholar] [CrossRef]
- Lee, M.; Kim, S.W.; Paek, J.; Lee, S.H.; Yim, G.W.; Kim, J.W.; Kim, Y.T.; Nam, E.J. Comparisons of Surgical Outcomes, Complications, and Costs Between Laparotomy and Laparoscopy in Early-Stage Ovarian Cancer. Int. J. Gynecol. Cancer 2011, 21, 251–256. [Google Scholar] [CrossRef]
- Koo, Y.-J.; Kim, J.-E.; Kim, Y.-H.; Hahn, H.-S.; Lee, I.-H.; Kim, T.-J.; Lee, K.-H.; Shim, J.-U.; Lim, K.-T. Comparison of laparoscopy and laparotomy for the management of early-stage ovarian cancer: Surgical and oncological outcomes. J. Gynecol. Oncol. 2014, 25, 111–117. [Google Scholar] [CrossRef]
- Moher, D.; Liberati, A.; Tetzlaff, J.; Altman, D.G.; PRISMA Group. Preferred Reporting Items for Systematic Reviews and Meta-Analyses: The PRISMA Statement. Ann. Intern. Med. 2009, 151, 264–269. [Google Scholar] [CrossRef]
- Ouzzani, M.; Hammady, H.; Fedorowicz, Z.; Elmagarmid, A. Rayyan—A web and mobile app for systematic reviews. Syst. Rev. 2016, 5, 210. [Google Scholar] [CrossRef]
- Yang, B.; Mallett, S.; Takwoingi, Y.; Davenport, C.F.; Hyde, C.J.; Whiting, P.F.; Deeks, J.J.; Leeflang, M.M.; QUADAS-C Group. QUADAS-C: A Tool for Assessing Risk of Bias in Comparative Diagnostic Accuracy Studies. Ann. Intern. Med. 2021, 174, 1592–1599. [Google Scholar] [CrossRef]
- Viechtbauer, W. Conducting Meta-Analyses in R with the metafor Package. J. Stat. Softw. 2010, 36, 1–48. [Google Scholar] [CrossRef]
- IntHout, J.; Ioannidis, J.P.A.; Borm, G.F. The Hartung-Knapp-Sidik-Jonkman method for random effects meta-analysis is straightforward and considerably outperforms the standard DerSimonian-Laird method. BMC Med. Res. Methodol. 2014, 14, 25. [Google Scholar] [CrossRef] [PubMed]
- Egger, M.; Smith, G.D.; Schneider, M.; Minder, C. Bias in meta-analysis detected by a simple, graphical test. BMJ 1997, 315, 629–634. [Google Scholar] [CrossRef] [PubMed]
- Laven, P.; Kruitwagen, R.; Zusterzeel, P.; Slangen, B.; Van Gorp, T.; van der Pol, J.; Lambrechts, S. Sentinel lymph node identification in early stage ovarian cancer: Is it still possible after prior tumor resection? J. Ovarian Res. 2021, 14, 132. [Google Scholar] [CrossRef] [PubMed]
- Agustí, N.; Paredes, P.; Vidal-Sicart, S.; Glickman, A.; Fusté, P.; Carreras, N.; Pahisa, J.; Del Pino, M.; Fristch, A.; Torne, A.; et al. 834 Study of the lymphatic map and detection of the sentinel lymph node in ovaric masses with suspected malignancy. Int. J. Gynecol. Cancer 2021, 31, A278–A279. [Google Scholar] [CrossRef]
- Lago, V.; Bello, P.; Montero, B.; Matute, L.; Padilla-Iserte, P.; Lopez, S.; Marina, T.; Agudelo, M.; Domingo, S. Sentinel lymph node technique in early-stage ovarian cancer (SENTOV): A phase II clinical trial. Int. J. Gynecol. Cancer 2020, 30, 1390–1396. [Google Scholar] [CrossRef]
- Uccella, S.; Nero, C.; Vizza, E.; Vargiu, V.; Corrado, G.; Bizzarri, N.; Ghezzi, F.; Cosentino, F.; Turco, L.C.; Fagotti, A.; et al. Sentinel-node biopsy in early-stage ovarian cancer: Preliminary results of a prospective multicentre study (SELLY). Am. J. Obstet. Gynecol. 2019, 221, 324.e1–324.e10. [Google Scholar] [CrossRef]
- Lago, V.; Bello, P.; Montero, B.; Matute, L.; Padilla-Iserte, P.; Lopez, S.; Agudelo, M.; Domingo, S. Clinical application of the sentinel lymph node technique in early ovarian cancer: A pilot study. Int. J. Gynecol. Cancer 2018, 29, 377–381. [Google Scholar] [CrossRef]
- Nyberg, R.H.; Korkola, P.; Maenpaa, J.U. Sentinel Node and Ovarian Tumors: A Series of 20 Patients. Int. J. Gynecol. Cancer 2017, 27, 684–689. [Google Scholar] [CrossRef]
- Angelucci, M.; Corrado, G.; Mancini, E.; Baiocco, E.; Chiofalo, B.; Zampa, A.; Bufalo, A.; Vizza, E. Laparoscopic indocyanine green sentinel lymph node mapping in early ovarian cancer. A pilot study and review of the literature. Ital. J. Gynaecol. Obstet. 2016, 28, 23–28. [Google Scholar]
- Buda, A.; Passoni, P.; Corrado, G.; Bussi, B.; Cutillo, G.; Magni, S.; Vizza, E. Near-infrared Fluorescence-guided Sentinel Node Mapping of the Ovary with Indocyanine Green in a Minimally Invasive Setting: A Feasible Study. J. Minim. Invasive Gynecol. 2017, 24, 165–170. [Google Scholar] [CrossRef] [PubMed]
- Hassanzadeh, M.; Farahabadi, E.H.; Yousefi, Z.; Kadkhodayan, S.; Zarifmahmoudi, L.; Sadeghi, R. Lymphatic mapping and sentinel node biopsy in ovarian tumors: A study using intra-operative Tc-99m-Phytate and lymphoscintigraphy imaging. J. Ovarian Res. 2016, 9, 55. [Google Scholar] [CrossRef] [PubMed]
- Kleppe, M.; Brans, B.; Van Gorp, T.; Slangen, B.F.; Kruse, A.J.; Pooters, I.N.; Lotz, M.G.; Van de Vijver, K.K.; Kruitwagen, R.F. The Detection of Sentinel Nodes in Ovarian Cancer: A Feasibility Study. J. Nucl. Med. 2014, 55, 1799–1804. [Google Scholar] [CrossRef] [PubMed]
- Negishi, H.; Takeda, M.; Fujimoto, T.; Todo, Y.; Ebina, Y.; Watari, H.; Yamamoto, R.; Minakami, H.; Sakuragi, N. Lymphatic mapping and sentinel node identification as related to the primary sites of lymph node metastasis in early stage ovarian cancer. Gynecol. Oncol. 2004, 94, 161–166. [Google Scholar] [CrossRef]
- Yuan, Y.; Gu, Z.-X.; Tao, X.-F.; Liu, S.-Y. Computer tomography, magnetic resonance imaging, and positron emission tomography or positron emission tomography/computer tomography for detection of metastatic lymph nodes in patients with ovarian cancer: A meta-analysis. Eur. J. Radiol. 2012, 81, 1002–1006. [Google Scholar] [CrossRef]
- Agusti, N.; Viveros-Carreño, D.; Grillo-Ardila, C.; Izquierdo, N.; Paredes, P.; Vidal-Sicart, S.; Torne, A.; Díaz-Feijoo, B. Sentinel lymph node detection in early-stage ovarian cancer: A systematic review and meta-analysis. Int. J. Gynecol. Cancer 2023, 33, 1493–1501. [Google Scholar] [CrossRef]
- Wang, L.; Liu, S.; Xu, T.; Yuan, L.; Yang, X. Sentinel lymph node mapping in early-stage cervical cancer: Meta-analysis. Medicine 2021, 100, e27035. [Google Scholar] [CrossRef]
- Concin, N.; Matias-Guiu, X.; Vergote, I.; Cibula, D.; Mirza, M.R.; Marnitz, S.; Ledermann, J.; Bosse, T.; Chargari, C.; Fagotti, A.; et al. ESGO/ESTRO/ESP guidelines for the management of patients with endometrial carcinoma. Int. J. Gynecol. Cancer 2021, 31, 12–39. [Google Scholar] [CrossRef]
- Deken, M.M.; van Doorn, H.C.; Verver, D.; Boogerd, L.S.; de Valk, K.S.; Rietbergen, D.D.; van Poelgeest, M.I.; de Kroon, C.D.; Beltman, J.J.; van Leeuwen, F.W.; et al. Near-infrared fluorescence imaging compared to standard sentinel lymph node detection with blue dye in patients with vulvar cancer—A randomized controlled trial. Gynecol. Oncol. 2020, 159, 672–680. [Google Scholar] [CrossRef]
- Freytag, D.; Pape, J.; Dhanawat, J.; Günther, V.; Maass, N.; Gitas, G.; Laganà, A.S.; Allahqoli, L.; Meinhold-Heerlein, I.; Moawad, G.N.; et al. Challenges Posed by Embryonic and Anatomical Factors in Systematic Lymphadenectomy for Endometrial Cancer. J. Clin. Med. 2020, 9, 4107. [Google Scholar] [CrossRef]
- Zammarrelli, W.A.; Afonso, A.M.; Broach, V.; Sonoda, Y.; Zivanovic, O.; Mueller, J.J.; Leitao, M.M.; Chan, A.; Abu-Rustum, N.R. Sentinel lymph node biopsy in patients with endometrial cancer and an indocyanine green or iodinated contrast reaction—A proposed management algorithm. Gynecol. Oncol. 2021, 162, 262–267. [Google Scholar] [CrossRef] [PubMed]
- Green, C. Technetium-99m production issues in the United Kingdom. J. Med. Phys. 2012, 37, 66–71. [Google Scholar] [CrossRef] [PubMed]
- Oonk, M.H.M.; Planchamp, F.; Baldwin, P.; Mahner, S.; Mirza, M.R.; Fischerová, D.; Creutzberg, C.L.; Guillot, E.; Garganese, G.; Lax, S.; et al. European Society of Gynaecological Oncology Guidelines for the Management of Patients with Vulvar Cancer—Update 2023. Int. J. Gynecol. Cancer 2023, 33, 1023–1043. [Google Scholar] [CrossRef] [PubMed]
- Du, J.; Zhang, Y.; Ming, J.; Liu, J.; Zhong, L.; Liang, Q.; Fan, L.; Jiang, J. Evaluation of the tracing effect of carbon nanoparticle and carbon nanoparticle-epirubicin suspension in axillary lymph node dissection for breast cancer treatment. World J. Surg. Oncol. 2016, 14, 164. [Google Scholar] [CrossRef] [PubMed]
- Krishnan, G.; Berg, N.S.v.D.; Nishio, N.; Juniper, G.; Pei, J.; Zhou, Q.; Lu, G.; Lee, Y.-J.; Ramos, K.; Iagaru, A.H.; et al. Metastatic and sentinel lymph node mapping using intravenously delivered Panitumumab-IRDye800CW. Theranostics 2021, 11, 7188–7198. [Google Scholar] [CrossRef]
- Kleppe, M.; Kraima, A.C.; Kruitwagen, R.F.; Van Gorp, T.; Smit, N.N.; van Munsteren, J.C.; DeRuiter, M.C. Understanding Lymphatic Drainage Pathways of the Ovaries to Predict Sites for Sentinel Nodes in Ovarian Cancer. Int. J. Gynecol. Cancer 2015, 25, 1405–1414. [Google Scholar] [CrossRef]
- Collins, A.; Phillips, A. Sentinel lymph node mapping in the modern management of gynaecological malignancy. Obstet. Gynaecol. 2023, 25, 210–219. [Google Scholar] [CrossRef]
- Euscher, E.D.; Malpica, A.; Atkinson, E.N.; Levenback, C.F.; Frumovitz, M.; Deavers, M.T. Ultrastaging Improves Detection of Metastases in Sentinel Lymph Nodes of Uterine Cervix Squamous Cell Carcinoma. Am. J. Surg. Pathol. 2008, 32, 1336–1343. [Google Scholar] [CrossRef]
- NCT05184140—Mapping Sentinel Lymph Node in Initial Stages of Ovarian Cancer (MELISA). Available online: https://clinicaltrials.gov/ct2/show/NCT05184140 (accessed on 30 July 2023).
- NCT03563781—SEntine Lymph Node in Early Ovarian Cancer (SELLY). Available online: https://clinicaltrials.gov/ct2/show/NCT03563781 (accessed on 30 July 2023).
- NCT05937620—Sentinel Node Detection with Technetium-99m Albumin Nanocolloid and ICG in Patients with Epithelial Ovarian Cancer (Melisa-II). Available online: https://clinicaltrials.gov/ct2/show/NCT05937620 (accessed on 30 July 2023).
- NCT05375526—Magtrial: Magtrace® as Tracer for Sentinel Lymph Node Detection in Early Stage Epithelial Ovarian Cancer. Available online: https://clinicaltrials.gov/ct2/show/NCT05375526 (accessed on 30 July 2023).
- NCT04051502—ICG-Enabled Mapping of Ovarian Sentinel Lymph Nodes: A Feasibility Study. Available online: https://clinicaltrials.gov/ct2/show/NCT04051502 (accessed on 30 July 2023).
- NCT04714931—Sentinel Lymph Node Assessment in Ovarian Cancer (TRSGO-SLN-OO5). Available online: https://clinicaltrials.gov/ct2/show/NCT04714931 (accessed on 30 July 2023).
- NCT05927818—Sentinel Lymph Node Biopsy in Early-Stage Ovarian Cancer. Available online: https://clinicaltrials.gov/ct2/show/NCT05927818 (accessed on 30 July 2023).


| Study | Test | Risk of Bias | Applicability Concerns | ||||||
|---|---|---|---|---|---|---|---|---|---|
| P | I | R | FT | P | I | R | |||
| Laven, 2021 [26] | Blue dye and 99mTc | ? | ? | ? | ✓ | ✓ | ✓ | ✓ | |
| Agustí, 2021 [27] | ICG and 99mTc | ? | ? | ? | ✓ | ✓ | ✓ | ✓ | |
| Lago, 2020 [28] | ICG and 99mTc | ? | ? | ? | ✓ | ✓ | ✓ | ✓ | |
| Uccella, 2019 [29] | ICG | ? | ? | ? | ✓ | ✓ | ✓ | ✓ | |
| Lago, 2019 [30] | ICG and 99mTc | ? | ? | ? | ✓ | ✓ | ✓ | ✓ | |
| Nyberg, 2017 [31] | Blue dye and 99mTc | ? | ? | ? | ✓ | ✓ | ✓ | ✓ | |
| Angelucci, 2016 [32] | ICG | ? | ? | ? | ✓ | ✓ | ✓ | ✓ | |
| Buda, 2016 [33] | ICG | ? | ? | ? | ✓ | ✓ | ✓ | ✓ | |
| Hassanzadeh, 2016 [34] | 99mTc | ? | ? | ? | ✓ | ✓ | ✓ | ✓ | |
| Kleppe, 2014 [35] | Blue dye and 99mTc | ? | ? | ? | ? | ✓ | ✓ | ✓ | |
| Negishi, 2004 [36] | Charcoal solution | ? | ? | ? | ✓ | ✓ | ✓ | ✓ | |
| Study No. | Year | Country | Study Name | Participants | Age | BMI | Menopausal Status | Surgery | Approach | FIGO Stage | Histological Type |
|---|---|---|---|---|---|---|---|---|---|---|---|
| 1 | 2021 | Netherlands | Laven et al. [26] | 11 | Median age: 57 (range 44–79) | N/A | Post: 7 (63.6%) Pre: 3 (27.3%) Unknown: 1 (9.1%) | Frozen section and surgical staging: 8 (72.7%) 2nd surgery for staging: 3 (27.3%) | N/A | IA: 6 (54.6%) IC: 4 (36.3%) IIC: 1 (9.1%) | Clear cell: 5 (45.5%) Εndometroid: 3 (27.2%) Serous: 1 (9.1%) Mucinous: 2 (18.2%) |
| 2 | 2021 | Spain | Agustí et al. [27] | 20 patients with masses (8 had Ca) | N/A | N/A | N/A | N/A | N/A | N/A | N/A |
| 3 | 2020 | Spain | Lago et al. [28] | 20 | Mean age: 50 (range 35–68) | Mean BMI: 25 | N/A | Frozen section and surgical staging: 11 (55%) 2nd surgery for staging: 9 (45%) | LPS: 9 (45%) LPT: 11 (55%) | IA: 7 (35%) IC: 11 (55%) IIA: 1 (5%) IIIB: 1 (5%) * | Serous: 4 (20) Endometrioid: 8 (40%) Clear cell: 5 (25%) Mucinous: 2 (10%) Other: 1 (5%) |
| 4 | 2019 | Italy | Uccella et al. [29] | 31 | Mean age: 56 (range 49–64) | Mean BMI: 25 | N/A | Immediate surgical staging: 18 (58.1%) 2nd surgery for staging: 13 (41.9%) | LPS: 26 (83.9%) RBT: 4 (12.9%) LPT: 1 (3.2%) | IA: 12 (38.7%) IB: 3 (9.7%) IC3: 1 (3.2%) IIA: 4 (12.9%) IIB: 6 (19.4%) IIIA1: 2 (6.5%) * IIIA2: 2 (6.4%) * IIIB: 1 (3.2%) * | Serous: 15 (48.4%) Endometrioid: 8 (25.8%) Clear cell: 5 (16.1%) Mixed serous–mucinous: 2 (6.5%) Undifferentiated: 1 (3.2%) |
| 5 | 2019 | Spain | Lago et al. [30] | 10 | Mean age: 45 (range 26–74) | Mean BMI: 25 | N/A | N/A | LPS: 3 (30%) LPT: 7 (70%) | IA: 1 (10%) IC: 5 (50%), IIA: 1 (10%) IIIA1: 2 (20%) * IIIA2: 1 (10%) * | Serous: 6 (60%) Clear cell: 3 (30%) Endometrioid: 1 (10%) |
| 6 | 2017 | Finland | Nyberg et al. [31] | 20 | Mean age: 63 (range 41–81) | Mean BMI: 26 | N/A | N/A | LPS: 0 (0%) LPT: 20 (100%) | IC2: 1 (20%) IIA: 1 (20%) IIIA1: 1 (20%) IIIA2: 1 (20%) Metastatic: 1 (20%) | Benign: 11 (55%) Borderline tumour: 4 (20%) Serous: 3 (15%) Endometrioid: 1 (5%) Metastatic breast: 1 (5%) |
| 7 | 2016 | Italy | Angelucci et al. [32] | 5 | Mean age: 55 (range 43–67) | N/A | N/A | Immediate surgical staging: 5 (100%) | LPS: 5 (100%) LPT: 0 (0%) | IA: 2 (40%) IC: 2 (40%) IIB: 1 (20%) | Serous: 3 (60%) Endometrioid: 2 (40%) |
| 8 | 2016 | Italy | Buda et al. [33] | 10 † | Mean age: 51 (range 35–66) | Mean BMI: 21 (range 17–23) | N/A | Immediate surgical staging: 10 (100%) | LPS: 5 (100%) LPT: 0 (0%) | IA: 3 (43%) IC: 3 (43%) IIB: 1 (14%) | N/A |
| 9 | 2016 | Iran | Hassanzadeh et al. [34] | 35 ‡ | Mean age: 41 (range 16–68) | N/A | N/A | Immediate surgical staging: 35 (35%) | LPS: 0 (0%) LPT: 35 (100%) | N/A | Benign: 21 (60%) Serous: 10 (30%) Granulosa cell: 2 (6%) Mucinous: 1 (2%) Borderline: 1 (2%) |
| 10 | 2014 | Netherlands | Kleppe et al. [35] | 21 | N/A | N/A | N/A | Immediate surgical staging: 21 (100%) | LPS: 0 (0%) LPT: 21 (100%) | N/A | Benign: 7 (33%) Borderline: 8 (38%) Epithelial ovarian cancer: 6 (29%) |
| 11 | 2004 | Japan | Negishi et al. [36] | 11 | Mean age: 59 (range 49–71) | N/A | N/A | Immediate surgical staging: 11 (100%) | LPS: 0 (0%) LPT: 11 (100%) | N/A | Endometrioid endometrial: 9 (82%) Carcinosarcoma: 1 (9%) Serous: 1 (9%) |
| Study No. | Tracer Used | Location of Injection | Surgery | No. of LNs Median | Location of LN | Detection Rate | Intra-operative Complications | Comments | ||||||||
|---|---|---|---|---|---|---|---|---|---|---|---|---|---|---|---|---|
| Blue Dye | ICG | Tc-99m | IPL | UOL | Cortex | Primary | Secondary | Full LND | PA | PN | Both | |||||
| 1 | ✓ 0.2 mL | – | ✓ 20 MBq | ✓ | ✓ | – | ✓ 8/11 | ✓ 3/11 | 0 | N/A | 66.7% | – | 33.3% | 3/11 (27%) | 0/11 (0%) | No SLN detected by blue dye |
| 2 | – | ✓ | ✓ | ✓ | ✓ | – | ✓ | – | If Ca 8/20 | N/A | 28% | 6% | 66% | 18/20 90% | 0/20 (0%) | 1 +ve SLN |
| 3 | – | ✓ 0.5 mL * | ✓ 37 MBq | ✓ | ✓ 15/20 | – | ✓ | – | If Ca 20/30 | PN 2.2 PA 3.3 | 5% | 0% | 95% | PN: 14/15 (93.3%) PA: 20/20 (100%) Tc-99m: 20/20 (100%) ICG: 19/20 (95%) | 2 (10%) vascular injury | No +ve LN |
| 4 | – | ✓ 2 mL * | – | ✓ | ✓ 15/31 | – | ✓ 18/31 | ✓ 13/31 | ✓ 30/31 | 2 (1–7) | 62% | 19% | 19% | Overall: 67.7% Primary staging: 5/13 (38.5%) Secondary staging: 16/18 (88.9%) | 1 (3.2%) superficial bladder injury | 4 +ve SLN, 0 +ve non-SLN |
| 5 | – | ✓ 0.5 mL * | ✓ 37 MBq | ✓ | ✓ 7/10 | – | ✓ | – | If Ca 10/16 | PN: 1.86 PA: 1.50 | 30% | 30% | 40% | 100% | 1 (10%) vascular injury | 1/2 +ve SLN, 1/2 +ve non-SLN PA node (tracer did not migrate) |
| 6 | ✓ 2 mL | – | ✓ 1 mL | – | ✓ | – | ✓ | – | If Ca 3/11 | N/A | 60% | 10% | 30% | 100% | N/A | 1 patient had +ve SLN and non-SLN |
| 7 | – | ✓0.5–1 mL † | – | – | ✓ | ✓ 3/5 | ✓ | – | 5/5 | N/A | 40% | 20% | 40% | 100% | 0 (0%) | All nodes negative |
| 8 | – | ✓ 0.5–1 mL † | – | ✓ | ✓ | – | ✓ | – | 10/10 | PN: 2.2 PA: 3.3 | 80% | 20% | – | 90% | 1 (10%) vena cava injury | All nodes negative |
| 9 | ✓ | – | ✓ | ✓ 25/35 | ✓ 25/35 | ✓ 10/35 | ✓ | – | If Ca 13/35 | 2 | 79% | 7% | 14% | Overall: 71.4% Cortex: 40% IPL: 84% | 0 (0%) | 4 patients had ovarian torsion and SLN could not be identified; 3/3 non-SLN +ve also had SLN +ve |
| 10 | ✓ 0.2–0.5 mL | – | ✓ 20 MBq | ✓ | ✓ | – | ✓ | – | If Ca 6/21 | PN: 1.86 PA: 1.50 | 67% | 9% | 24% | 100% | N/A | 1 patient had +ve SLN and non-SLN |
| 11 | – | – | – | – | – | ✓ | ✓ | – | – | N/A | 64% | – | 36% | 100% | N/A | – |
| Study Name | No. of Participants | Type of Study | Condition | Tracer | Location of Injection | Primary Outcome | Expected Completion Date |
|---|---|---|---|---|---|---|---|
| MELISA (NCT05184140) | 62 | Prospective, single group assignment | Stage I and II ovarian cancer | Tc-99m and ICG | IPL and UOL | Detection rate of SLN technique | 1 May 2023 |
| SELLY (NCT03563781) | 176 | Prospective, single group assignment | Stage I ovarian cancer | Blue dye or ICG | IPL and UOL | 1. Detection rate of SLN technique 2. No. of participants with procedure related adverse events | 5 May 2023 |
| MELISA II (NCT05937620) | 62 | Prospective, single group assignment | Stage I and II ovarian cancer | Tc-99m and ICG | N/A | Evaluation of the diagnostic efficiency of both tracers in SLN detection | October 2026 |
| MagTrial (NCT05375526) | 10 | Prospective, single group assignment | Stage I and II ovarian cancer | MagTrace® and Tc-99m | IPL and UOL | Assessment of the use of MagTrace® as a tracer in SLN sampling | 1 June 2024 |
| NCT04051502 | 48 | Prospective, observational | 1. Ovarian cancer 2. Adnexal mass | ICG | 1: Fallopian tube 2: 4 sites (dorsal and ventral side of the IPL and UOL) 3: IPL after removal of adnexal mass 4: IPL before removal of adnexal mass | Number and location of ovarian SLN visually identified after injection of ICG dye | August 2024 |
| TRSGO-SLN-OO5 (NCT04714931) | 200 | Prospective, single group assignment | Stage I and II ovarian cancer | Blue dye or ICG | IPL and UOL | 1. SLN localisation 2. SLN technique accuracy 3. PPV and NPV of SLN 4. Adverse events 5. Detection rate | 1 April 2022 |
| NCT05927818 | 100 | Prospective, single group assignment | 1. Adnexal mass 2. Stage I and II ovarian cancer | Sterile charcoal stain | IPL or mesovarium | Efficacy of SLN biopsy in highly suspicious adnexal masses | 15 October 2025 |
Disclaimer/Publisher’s Note: The statements, opinions and data contained in all publications are solely those of the individual author(s) and contributor(s) and not of MDPI and/or the editor(s). MDPI and/or the editor(s) disclaim responsibility for any injury to people or property resulting from any ideas, methods, instructions or products referred to in the content. |
© 2023 by the authors. Licensee MDPI, Basel, Switzerland. This article is an open access article distributed under the terms and conditions of the Creative Commons Attribution (CC BY) license (https://creativecommons.org/licenses/by/4.0/).
Share and Cite
Zachou, G.; Yongue, G.; Chandrasekaran, D. Feasibility of Sentinel Lymph Node Biopsy in Early-Stage Epithelial Ovarian Cancer: A Systematic Review and Meta-Analysis. Diagnostics 2023, 13, 3209. https://doi.org/10.3390/diagnostics13203209
Zachou G, Yongue G, Chandrasekaran D. Feasibility of Sentinel Lymph Node Biopsy in Early-Stage Epithelial Ovarian Cancer: A Systematic Review and Meta-Analysis. Diagnostics. 2023; 13(20):3209. https://doi.org/10.3390/diagnostics13203209
Chicago/Turabian StyleZachou, Georgia, Gabriella Yongue, and Dhivya Chandrasekaran. 2023. "Feasibility of Sentinel Lymph Node Biopsy in Early-Stage Epithelial Ovarian Cancer: A Systematic Review and Meta-Analysis" Diagnostics 13, no. 20: 3209. https://doi.org/10.3390/diagnostics13203209
APA StyleZachou, G., Yongue, G., & Chandrasekaran, D. (2023). Feasibility of Sentinel Lymph Node Biopsy in Early-Stage Epithelial Ovarian Cancer: A Systematic Review and Meta-Analysis. Diagnostics, 13(20), 3209. https://doi.org/10.3390/diagnostics13203209

