Machine Learning Models for Prediction of Severe Pneumocystis carinii Pneumonia after Kidney Transplantation: A Single-Center Retrospective Study
Abstract
:1. Background
2. Methods
2.1. Study Population
2.2. Variable Collection
2.3. Data Preprocessing
2.4. Variable Screening
2.5. Correlation Analysis
2.6. Hyperparameter Optimisation
2.7. Model Evaluation
2.8. SHAP and Variable Importance of the Best Model
2.9. Statistical Analysis
3. Results
3.1. Patients and Variables
3.2. Parameter Optimization and Model Fitting
3.3. Model Interpretation
4. Discussion
5. Conclusions
Supplementary Materials
Author Contributions
Funding
Institutional Review Board Statement
Informed Consent Statement
Data Availability Statement
Conflicts of Interest
References
- Alsayed, A.R.; Al-Dulaimi, A.; Alkhatib, M.; Al Maqbali, M.; Al-Najjar, M.A.A.; Al-Rshaidat, M.M. A comprehensive clinical guide for Pneumocystis jirovecii pneumonia: A missing therapeutic target in HIV-uninfected patients. Expert Rev. Respir. Med. 2022, 16, 1167–1190. [Google Scholar] [CrossRef]
- Hosseini-Moghaddam, S.M.; Shokoohi, M.; Singh, G.; Dufresne, S.F.; Boucher, A.; Jevnikar, A.; Prasad, G.V.R.; Shoker, A.; Kabbani, D.; Hebert, M.J.; et al. A Multicenter Case-control Study of the Effect of Acute Rejection and Cytomegalovirus Infection on Pneumocystis Pneumonia in Solid Organ Transplant Recipients. Clin. Infect. Dis. 2019, 68, 1320–1326. [Google Scholar] [CrossRef]
- Iriart, X.; Le Bouar, M.; Kamar, N.; Berry, A. Pneumocystis Pneumonia in Solid-Organ Transplant Recipients. J. Fungi 2015, 1, 293–331. [Google Scholar] [CrossRef]
- Lang, Q.; Li, L.; Zhang, Y.; He, X.; Liu, Y.; Liu, Z.; Yan, H. Development and Validation of a Diagnostic Nomogram for Pneumocystis jirovecii Pneumonia in Non-HIV-Infected Pneumonia Patients Undergoing Oral Glucocorticoid Treatment. Infect. Drug Resist. 2023, 16, 755–767. [Google Scholar] [CrossRef]
- Tang, G.; Tong, S.; Yuan, X.; Lin, Q.; Luo, Y.; Song, H.; Liu, W.; Wu, S.; Mao, L.; Liu, W.; et al. Using Routine Laboratory Markers and Immunological Indicators for Predicting Pneumocystis jiroveci Pneumonia in Immunocompromised Patients. Front. Immunol. 2021, 12, 652383. [Google Scholar] [CrossRef]
- Azoulay, E.; Roux, A.; Vincent, F.; Kouatchet, A.; Argaud, L.; Rabbat, A.; Mayaux, J.; Perez, P.; Pène, F.; Nyunga, M.; et al. A Multivariable Prediction Model for Pneumocystis jirovecii Pneumonia in Hematology Patients with Acute Respiratory Failure. Am. J. Respir. Crit. Care Med. 2018, 198, 1519–1526. [Google Scholar] [CrossRef] [PubMed]
- Cai, X.-Y.; Cheng, Y.-C.; Ge, S.-W.; Xu, G. Clinical characteristics and risk factor analysis of Pneumocystis jirovecii pneumonia in patients with CKD: A machine learning-based approach. Eur. J. Clin. Microbiol. Infect. Dis. 2023, 42, 323–338. [Google Scholar] [CrossRef]
- Wan, R.; Bai, L.; Yan, Y.; Li, J.; Luo, Q.; Huang, H.; Huang, L.; Xiang, Z.; Luo, Q.; Gu, Z.; et al. A Clinically Applicable Nomogram for Predicting the Risk of Invasive Mechanical Ventilation in Pneumocystis jirovecii Pneumonia. Front. Cell. Infect. Microbiol. 2022, 12, 850741. [Google Scholar] [CrossRef]
- Zhang, J.; Sun, X.; Xu, J.; Gu, X.; Chen, Q.; Gao, J.; Xu, X.; Zhang, T. Outcomes and factors contributing to poor prognosis of Pneumocystis jirovecii pneumonia in HIV-negative patients: A cross-sectional retrospective study in a Chinese single center. Eur. J. Clin. Microbiol. Infect. Dis. 2023, 42, 109–112. [Google Scholar] [CrossRef] [PubMed]
- Hassanzadeh, R.; Farhadian, M.; Rafieemehr, H. Hospital mortality prediction in traumatic injuries patients: Comparing different SMOTE-based machine learning algorithms. BMC Med. Res. Methodol. 2023, 23, 101. [Google Scholar] [CrossRef] [PubMed]
- Zou, J.; Qiu, T.; Zhou, J.; Wang, T.; Ma, X.; Jin, Z.; Xu, Y.; Zhang, L.; Chen, Z. Clinical Manifestations and Outcomes of Renal Transplantation Patients with Pneumocystis jirovecii Pneumonia and Cytomegalovirus Co-infection. Front. Med. 2022, 9, 860644. [Google Scholar] [CrossRef] [PubMed]
- Sproston, N.R.; Ashworth, J.J. Role of C-Reactive Protein at Sites of Inflammation and Infection. Front. Immunol. 2018, 9, 754. [Google Scholar] [CrossRef] [PubMed]
- Rizo-Téllez, S.A.; Sekheri, M.; Filep, J.G. C-reactive protein: A target for therapy to reduce inflammation. Front. Immunol. 2023, 14, 1237729. [Google Scholar] [CrossRef]
- Plebani, M. Why C-reactive protein is one of the most requested tests in clinical laboratories? Clin. Chem. Lab. Med. 2023, 61, 1540–1545. [Google Scholar] [CrossRef]
- Almeida, A.; Faria, G.; Moreira, H.; Pinto-De-Sousa, J.; Correia-Da-Silva, P.; Maia, J.C. Elevated serum C-reactive protein as a predictive factor for anastomotic leakage in colorectal surgery. Int. J. Surg. 2012, 10, 87–91. [Google Scholar] [CrossRef]
- Tan, C.; Huang, Y.; Shi, F.; Tan, K.; Ma, Q.; Chen, Y.; Jiang, X.; Li, X. C-reactive protein correlates with computed tomographic findings and predicts severe COVID-19 early. J. Med. Virol. 2020, 92, 856–862. [Google Scholar] [CrossRef] [PubMed]
- Sun, J.; Su, J.; Xie, Y.; Yin, M.T.; Huang, Y.; Xu, L.; Zhou, Q.; Zhu, B. Plasma IL-6/IL-10 Ratio and IL-8, LDH, and HBDH Level Predict the Severity and the Risk of Death in AIDS Patients with Pneumocystis Pneumonia. J. Immunol. Res. 2016, 2016, 1583951. [Google Scholar] [CrossRef]
- Sage, E.K.; Noursadeghi, M.; Evans, H.E.; Parker, S.J.; Copas, A.J.; Edwards, S.G.; Miller, R.F. Prognostic value of C-reactive protein in HIV-infected patients with Pneumocystis jirovecii pneumonia. Int. J. STD AIDS 2010, 21, 288–292. [Google Scholar] [CrossRef]
- Shiba, H.; Kotani, T.; Nagai, K.; Hata, K.; Yamamoto, W.; Yoshikawa, A.; Wada, Y.; Hiramatsu, Y.; Makino, H.; Ueda, Y.; et al. Prognostic Factors Affecting Death in Patients with Rheumatoid Arthritis Complicated by Pneumocystis jirovecii Pneumonia and One-Year Clinical Course: The ANSWER Cohort Study. Int. J. Mol. Sci. 2023, 24, 7399. [Google Scholar] [CrossRef]
- Hou, J.-N.; Liu, H.-D.; Tan, Q.-Y.; Cao, F.-A.; Wang, S.-L.; Yao, M.-Y.; Zhao, Y.-C. Risk factors of in-hospital mortality in patients with Pneumocystis pneumonia diagnosed by metagenomics next-generation sequencing. Front. Cell. Infect. Microbiol. 2022, 12, 994175. [Google Scholar] [CrossRef]
- Toubi, E.; Vadasz, Z. Innate immune-responses and their role in driving autoimmunity. Autoimmun. Rev. 2019, 18, 306–311. [Google Scholar] [CrossRef] [PubMed]
- Violi, F.; Cangemi, R.; Romiti, G.F.; Ceccarelli, G.; Oliva, A.; Alessandri, F.; Pirro, M.; Pignatelli, P.; Lichtner, M.; Carraro, A.; et al. Is Albumin Predictor of Mortality in COVID-19? Antioxid. Redox Signal. 2021, 35, 139–142. [Google Scholar] [CrossRef] [PubMed]
- Wu, M.-Y.; Yao, L.; Wang, Y.; Zhu, X.-Y.; Wang, X.-F.; Tang, P.-J.; Chen, C. Clinical evaluation of potential usefulness of serum lactate dehydrogenase (LDH) in 2019 novel coronavirus (COVID-19) pneumonia. Respir. Res. 2020, 21, 171. [Google Scholar] [CrossRef] [PubMed]
- Oh, T.K.; Song, I.A.; Lee, J.H. Clinical usefulness of C-reactive protein to albumin ratio in predicting 30-day mortality in critically ill patients: A retrospective analysis. Sci. Rep. 2018, 8, 14977. [Google Scholar] [CrossRef]
- Viasus, D.; Garcia-Vidal, C.; Simonetti, A.; Manresa, F.; Dorca, J.; Gudiol, F.; Carratalà, J. Prognostic value of serum albumin levels in hospitalized adults with community-acquired pneumonia. J. Infect. 2013, 66, 415–423. [Google Scholar] [CrossRef]
- Kim, M.H.; Ahn, J.Y.; Song, J.E.; Choi, H.; Ann, H.W.; Kim, J.K.; Kim, J.H.; Jeon, Y.D.; Kim, S.B.; Jeong, S.J.; et al. The C-Reactive Protein/Albumin Ratio as an Independent Predictor of Mortality in Patients with Severe Sepsis or Septic Shock Treated with Early Goal-Directed Therapy. PLoS ONE 2015, 10, e0132109. [Google Scholar] [CrossRef]
- Lee, J.H.; Kim, J.; Kim, K.; Jo, Y.H.; Rhee, J.; Kim, T.Y.; Na, S.H.; Hwang, S.S. Albumin and C-reactive protein have prognostic significance in patients with community-acquired pneumonia. J. Crit. Care 2011, 26, 287–294. [Google Scholar] [CrossRef]
- Dizdar, O.S.; Ersoy, A.; Akalin, H. Pneumonia after kidney transplant: Incidence, risk factors, and mortality. Exp. Clin. Transplant. 2014, 12, 205–211. [Google Scholar]
- Tan, J.; Li, N.; Gong, Y.; Yuan, L.; Zhou, J.; Luo, G. Procalcitonin kinetics early after severe burn injury and its value in diagnosis of sepsis. Burns 2021, 47, 1802–1809. [Google Scholar] [CrossRef]
- Ali, W.A.; Bazan, N.S.; Elberry, A.A.; Hussein, R.R.S. A randomized trial to compare procalcitonin and C-reactive protein in assessing severity of sepsis and in guiding antibacterial therapy in Egyptian critically ill patients. Ir. J. Med. Sci. 2021, 190, 1487–1495. [Google Scholar] [CrossRef]
- Berka, I.; Korcek, P.; Stranak, Z. C-Reactive Protein, Interleukin-6, and Procalcitonin in Diagnosis of Late-Onset Bloodstream Infection in Very Preterm Infants. J. Pediatr. Infect. Dis. Soc. 2021, 10, 1004–1008. [Google Scholar] [CrossRef] [PubMed]
- Salzer, H.J.; Schäfer, G.; Hoenigl, M.; Günther, G.; Hoffmann, C.; Kalsdorf, B.; Alanio, A.; Lange, C. Clinical, Diagnostic, and Treatment Disparities between HIV-Infected and Non-HIV-Infected Immunocompromised Patients with Pneumocystis jirovecii Pneumonia. Respiration 2018, 96, 52–65. [Google Scholar] [CrossRef]
- Roux, A.; Canet, E.; Valade, S.; Gangneux-Robert, F.; Hamane, S.; Lafabrie, A.; Maubon, D.; Debourgogne, A.; Le Gal, S.; Dalle, F.; et al. Pneumocystis jirovecii pneumonia in patients with or without AIDS, France. Emerg. Infect. Dis. 2014, 20, 1490–1497. [Google Scholar] [CrossRef] [PubMed]
- Bienvenu, A.-L.; Traore, K.; Plekhanova, I.; Bouchrik, M.; Bossard, C.; Picot, S. Pneumocystis pneumonia suspected cases in 604 non-HIV and HIV patients. Int. J. Infect. Dis. 2016, 46, 11–17. [Google Scholar] [CrossRef] [PubMed]
- Reid, A.B.; Chen, S.C.; Worth, L.J. Pneumocystis jirovecii pneumonia in non-HIV-infected patients: New risks and diagnostic tools. Curr. Opin. Infect. Dis. 2011, 24, 534–544. [Google Scholar] [CrossRef] [PubMed]
- Matsumura, Y.; Shindo, Y.; Iinuma, Y.; Yamamoto, M.; Shirano, M.; Matsushima, A.; Nagao, M.; Ito, Y.; Takakura, S.; Hasegawa, Y.; et al. Clinical characteristics of Pneumocystis pneumonia in non-HIV patients and prognostic factors including microbiological genotypes. BMC Infect. Dis. 2011, 11, 76. [Google Scholar] [CrossRef]
- Li, M.-C.; Lee, N.-Y.; Lee, C.-C.; Lee, H.-C.; Chang, C.-M.; Ko, W.-C. Pneumocystis jiroveci pneumonia in immunocompromised patients: Delayed diagnosis and poor outcomes in non-HIV-infected individuals. J. Microbiol. Immunol. Infect. 2014, 47, 42–47. [Google Scholar] [CrossRef]
- Yu, Q.; Jia, P.; Su, L.; Zhao, H.; Que, C. Outcomes and prognostic factors of non-HIV patients with Pneumocystis jirovecii pneumonia and pulmonary CMV co-infection: A Retrospective Cohort Study. BMC Infect. Dis. 2017, 17, 392. [Google Scholar] [CrossRef]
- Keykavousi, K.; Nourbakhsh, F.; Abdollahpour, N.; Fazeli, F.; Sedaghat, A.; Soheili, V.; Sahebkar, A. A Review of Routine Laboratory Biomarkers for the Detection of Severe COVID-19 Disease. Int. J. Anal. Chem. 2022, 2022, 9006487. [Google Scholar] [CrossRef]
- Walzer, P.D.; Evans, H.E.R.; Copas, A.J.; Edwards, S.G.; Grant, A.D.; Miller, R.F. Early predictors of mortality from Pneumocystis jirovecii pneumonia in HIV-infected patients: 1985–2006. Clin. Infect. Dis. 2008, 46, 625–633. [Google Scholar] [CrossRef]
- Miller, R.F.; Allen, E.; Copas, A.; Singer, M.; Edwards, S.G. Improved survival for HIV infected patients with severe Pneumocystis jirovecii pneumonia is independent of highly active antiretroviral therapy. Thorax 2006, 61, 716–721. [Google Scholar] [CrossRef] [PubMed]
- Gaborit, B.J.; Tessoulin, B.; Lavergne, R.-A.; Morio, F.; Sagan, C.; Canet, E.; Lecomte, R.; Leturnier, P.; Deschanvres, C.; Khatchatourian, L.; et al. Outcome and prognostic factors of Pneumocystis jirovecii pneumonia in immunocompromised adults: A prospective observational study. Ann. Intensive Care 2019, 9, 131. [Google Scholar] [CrossRef] [PubMed]
- Jin, F.; Liang, H.; Chen, W.-C.; Xie, J.; Wang, H.-L. Development and validation of tools for predicting the risk of death and ICU admission of non-HIV-infected patients with Pneumocystis jirovecii pneumonia. Front. Public Health 2022, 10, 972311. [Google Scholar] [CrossRef] [PubMed]







| All, n = 88 | Training, n = 62 | Test, n = 26 | p-Value | |
|---|---|---|---|---|
| Age, yr | 43.97 ± 9.93 | 42.81 ± 10.22 | 46.73 ± 8.78 | 0.091 |
| Male, n | 60 (68.2%) | 37 (59.7%) | 23 (88.5%) | 0.017 |
| Post-transplant time, months | 7.00 [5.00, 10.00] | 7.00 [5.00, 10.00] | 7.00 [4.25, 10.00] | 0.72 |
| Clinical presentation | ||||
| Fever, n | 64 (72.7%) | 45 (72.6%) | 19 (73.1%) | 1 |
| Dry cough, n | 25 (28.4%) | 17 (27.4%) | 8 (30.8%) | 0.953 |
| Progressive dyspnea, n | 49 (55.7%) | 38 (61.3%) | 11 (42.3%) | 0.161 |
| Laboratory results | ||||
| GM test number | 469.30 [174.74, 600.00] | 436.35 [162.26, 600.00] | 571.00 [253.41, 612.15] | 0.423 |
| GM test, n | 76 (86.4%) | 53 (85.5%) | 23 (88.5%) | 0.975 |
| CRP, mg/L | 71.10 [43.70, 92.75] | 76.00 [44.18, 99.17] | 61.55 [41.75, 75.62] | 0.101 |
| PCT, ng/ml | 0.20 [0.10, 0.34] | 0.20 [0.11, 0.40] | 0.18 [0.10, 0.30] | 0.711 |
| PCT ≥ 0.5 ng/mL, n | 17 (19.3%) | 14 (22.6%) | 3 (11.5%) | 0.367 |
| Neut, 1 × 109 | 6.26 [4.16, 8.81] | 6.10 [4.41, 8.81] | 6.60 [3.83, 8.57] | 0.671 |
| Hb, g/L | 113.00 [98.50, 121.25] | 113.00 [96.00, 121.00] | 113.50 [102.25, 123.50] | 0.355 |
| Plt, 1 × 109 | 210.00 [163.50, 246.50] | 212.00 [175.75, 239.50] | 188.50 [150.00, 247.50] | 0.209 |
| BUN, mg/dL | 12.28 [8.96, 19.16] | 12.60 [9.21, 19.38] | 12.00 [8.77, 17.62] | 0.791 |
| Glu, mmol/L | 6.35 [5.30, 8.20] | 6.12 [5.26, 7.80] | 7.12 [5.75, 8.39] | 0.167 |
| WBC, 1 × 109 | 7.69 [5.02, 10.14] | 7.69 [5.36, 10.27] | 7.58 [4.76, 9.85] | 0.586 |
| LYM, 1 × 109 | 0.53 [0.36, 0.89] | 0.52 [0.34, 0.86] | 0.53 [0.40, 0.90] | 0.742 |
| ALB, g/L | 37.40 [33.65, 40.00] | 37.75 [34.35, 40.00] | 35.05 [33.05, 39.30] | 0.583 |
| GLB, g/L | 21.25 [18.80, 23.79] | 21.15 [18.65, 23.38] | 21.80 [19.30, 24.09] | 0.22 |
| Scr, μmol/L | 151.50 [122.50, 195.25] | 158.00 [134.25, 198.25] | 134.50 [113.50, 172.00] | 0.034 |
| Previous history | ||||
| ATG induction, n | 33 (37.5%) | 23 (37.1%) | 10 (38.5%) | 1 |
| ATG dose, mg | 0.00 [0.00, 75.00] | 0.00 [0.00, 75.00] | 0.00 [0.00, 75.00] | 1 |
| Rejection, n | 39 (44.3%) | 29 (46.8%) | 10 (38.5%) | 0.63 |
| CMV infection, n | 40 (45.5%) | 31 (50.0%) | 9 (34.6%) | 0.031 |
| ICU, n | 18 (20.5%) | 14 (22.6%) | 4 (15.4%) | 0.636 |
| Death, n | 11 (12.5%) | 8 (12.9%) | 3 (11.5%) | 1 |
| Duration of hospitalization, days | 28.50 [19.00, 36.25] | 29.00 [19.25, 37.00] | 28.00 [17.25, 36.00] | 0.277 |
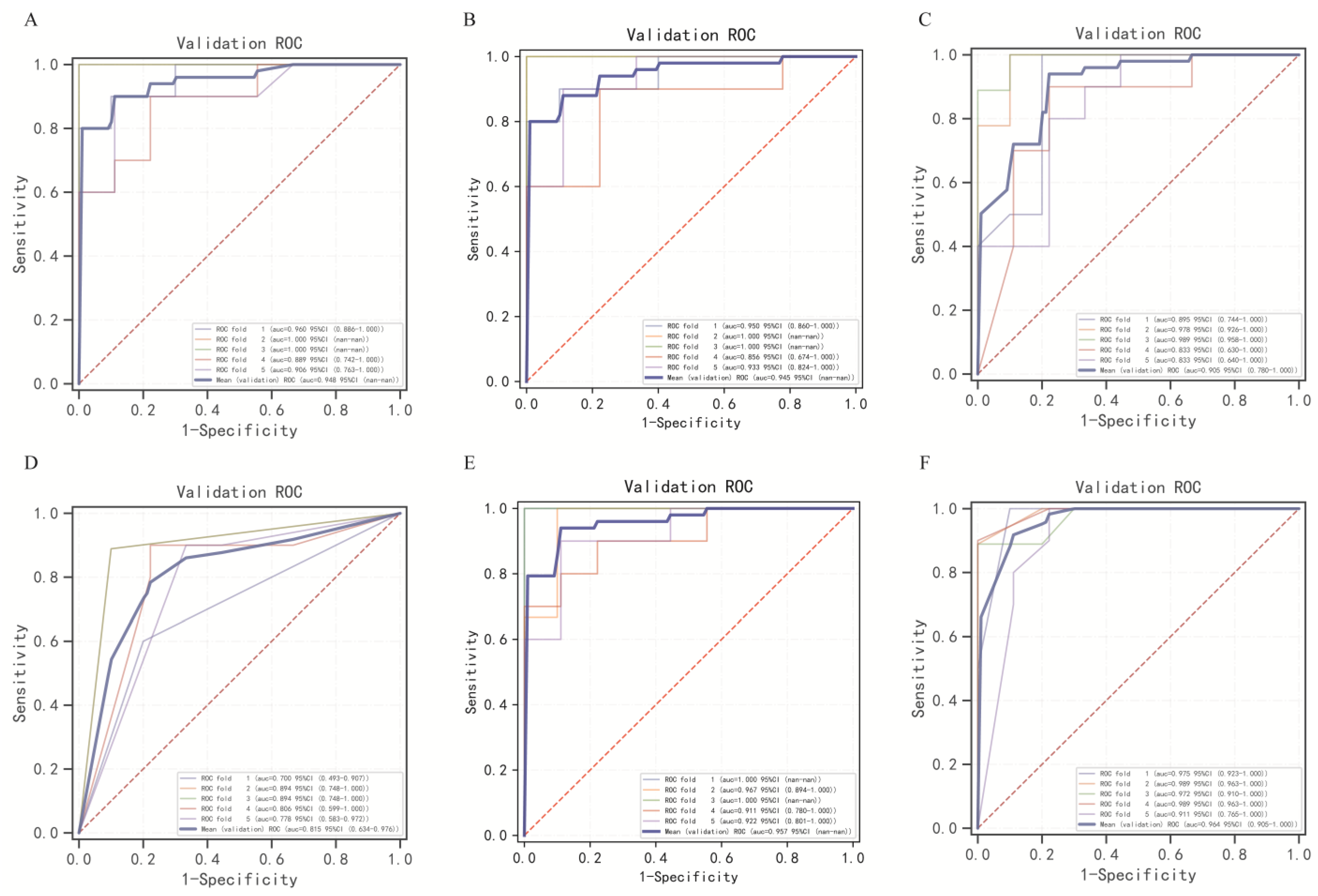
| AUC | Accuracy | Sensitivity | Specificity | PPV | NPV | F1_Score | |
|---|---|---|---|---|---|---|---|
| RF | 0.920 (0.810–1.000) | 0.885 | 1 | 0.864 | 0.667 | 0.913 | 0.8 |
| LR | 0.886 (0.752–1.000) | 0.846 | 1 | 0.818 | 0.5 | 0.875 | 0.667 |
| XGB | 0.909 (0.786–1.000) | 0.846 | 1 | 0.909 | 0.5 | 0.909 | 0.667 |
| SVM | 0.875 (0.740–1.000) | 0.808 | 1 | 0.818 | 0.4 | 0.905 | 0.571 |
| KNN | 0.909 (0.794–1.000) | 0.846 | 1 | 0.864 | 0.5 | 0.909 | 0.667 |
| LGBM | 0.693 (0.391–0.996) | 0.846 | 0.5 | 0.909 | 0.5 | 0.909 | 0.5 |
Disclaimer/Publisher’s Note: The statements, opinions and data contained in all publications are solely those of the individual author(s) and contributor(s) and not of MDPI and/or the editor(s). MDPI and/or the editor(s) disclaim responsibility for any injury to people or property resulting from any ideas, methods, instructions or products referred to in the content. |
© 2023 by the authors. Licensee MDPI, Basel, Switzerland. This article is an open access article distributed under the terms and conditions of the Creative Commons Attribution (CC BY) license (https://creativecommons.org/licenses/by/4.0/).
Share and Cite
Liu, Y.; Qiu, T.; Hu, H.; Kong, C.; Zhang, Y.; Wang, T.; Zhou, J.; Zou, J. Machine Learning Models for Prediction of Severe Pneumocystis carinii Pneumonia after Kidney Transplantation: A Single-Center Retrospective Study. Diagnostics 2023, 13, 2735. https://doi.org/10.3390/diagnostics13172735
Liu Y, Qiu T, Hu H, Kong C, Zhang Y, Wang T, Zhou J, Zou J. Machine Learning Models for Prediction of Severe Pneumocystis carinii Pneumonia after Kidney Transplantation: A Single-Center Retrospective Study. Diagnostics. 2023; 13(17):2735. https://doi.org/10.3390/diagnostics13172735
Chicago/Turabian StyleLiu, Yiting, Tao Qiu, Haochong Hu, Chenyang Kong, Yalong Zhang, Tianyu Wang, Jiangqiao Zhou, and Jilin Zou. 2023. "Machine Learning Models for Prediction of Severe Pneumocystis carinii Pneumonia after Kidney Transplantation: A Single-Center Retrospective Study" Diagnostics 13, no. 17: 2735. https://doi.org/10.3390/diagnostics13172735
APA StyleLiu, Y., Qiu, T., Hu, H., Kong, C., Zhang, Y., Wang, T., Zhou, J., & Zou, J. (2023). Machine Learning Models for Prediction of Severe Pneumocystis carinii Pneumonia after Kidney Transplantation: A Single-Center Retrospective Study. Diagnostics, 13(17), 2735. https://doi.org/10.3390/diagnostics13172735

