PTC-MAS: A Deep Learning-Based Preoperative Automatic Assessment of Lymph Node Metastasis in Primary Thyroid Cancer
Abstract
1. Introduction
2. Materials
| Characteristics | Dataset A (YOLOS) | Dataset B (PTC-MAS) | ||
|---|---|---|---|---|
| Nodules | LNM Status | |||
| Benign | Malignant | Yes | No | |
| Age (y) | 49 ± 13 | 43 ± 12 | 37 ± 12 | 44 ± 12 |
| Sex | ||||
| Female | 1021 (81.3%) | 873 (74.3%) | 286 (64.9%) | 459 (81.8%) |
| Male | 235 (18.7%) | 302 (25.7%) | 155 (35.1%) | 102 (18.2%) |
| Tumor size (cm) | ||||
| ≤0.5 | 140 (11.1%) | 218 (18.6%) | 25 (5.7%) | 121 (21.6%) |
| 0.5–1.0 | 270 (21.5%) | 593 (50.5%) | 183 (41.5%) | 318 (56.7%) |
| 1.0–2.0 | 301 (24.0%) | 267 (22.7%) | 161 (36.5%) | 100 (17.8%) |
| >2.0 | 545 (43.4%) | 97 (8.3%) | 72 (16.3%) | 21 (3.7%) |
| TI-RADS | ||||
| 2 | 25 (2.0%) | 0 (0.0%) | \ | \ |
| 3 | 566 (45.1%) | 20 (18.2%) | 4 (0.9%) | 3 (0.5%) |
| 4A | 334 (26.6%) | 84 (7.1%) | 21 (4.8%) | 39 (7.0%) |
| 4B | 223 (17.8%) | 345 (29.4%) | 124 (28.1%) | 183 (32.6%) |
| 4C | 105 (8.4%) | 670 (57.0%) | 246 (55.8%) | 324 (57.8%) |
| 5 | 3 (0.2%) | 56 (4.8%) | 46 (10.3%) | 12 (2.1%) |
| FNA | 301 (24.0%) | 30 (2.6%) | 0 (0%) | 0 (0%) |
| Surgery | 955 (76.0%) | 1145 (97.4%) | 441 (100%) | 561 (100%) |
| No. of LN | ||||
| <3 | \ | \ | 49 (11.1%) | 196 (34.9%) |
| 3–5 | \ | \ | 74 (16.8%) | 166 (29.6%) |
| ≥5 | \ | \ | 318 (72.1%) | 199 (35.5%) |
| Total | 1256 | 1175 | 441 | 561 |
3. Methods

3.1. Image Preprocessing
3.2. Extraction of ROIs Using YOLOS
3.3. Assessment of LNM Status
3.3.1. Image Cropping Methods
3.3.2. Assessment of LNM Probability
3.3.3. Parameters of the Three Networks
4. Results
4.1. Evaluation Criteria
4.2. YOLOS Automatic ROIs Extraction Performance

4.3. Thyroid Cancer LNM Recognition Model Performance
| Fold 1 | Fold 2 | Fold 3 | Fold 4 | Fold 5 | Average | |
|---|---|---|---|---|---|---|
| DenseNet | 0.864 | 0.849 | 0.885 | 0.892 | 0.887 | 0.875 |
| ResNet | 0.850 | 0.875 | 0.872 | 0.829 | 0.821 | 0.849 |
| GoogLeNet | 0.860 | 0.897 | 0.858 | 0.899 | 0.878 | 0.878 |

| DenseNet | ResNet | GoogLeNet | Majority Voting | |||||
|---|---|---|---|---|---|---|---|---|
| Method II | Method III | Method II | Method III | Method II | Method III | Method II | Method III | |
| AUC (95% CI) | 0.736 (0.659–0.803) | 0.802 (0.731–0.862) | 0.761 (0.685–0.826) | 0.837 (0.769–0.892) | 0.669 (0.620–0.771) | 0.823 (0.753–0.880) | 0.759 (0.683–0.824) | 0.858 (0.793–0.909) |
| Sensitivity (95% CI) | 0.603 (0.477–0.717) | 0.706 (0.581–0.807) | 0.676 (0.551–0.782) | 0.721 (0.597–0.819) | 0.603 (0.477–0.717) | 0.721 (0.597–0.819) | 0.632 (0.506–0.744) | 0.735 (0.612–0.831) |
| Specificity (95% CI) | 0.814 (0.712–0.887) | 0.802 (0.670–0.877) | 0.756 (0.649–0.839) | 0.978 (0.911–0.996) | 0.698 (0.588–0.790) | 0.837 (0.739–0.905) | 0.779 (0.674–0.859) | 0.907 (0.820–0.956) |
| Accuracy | 0.721 | 0.760 | 0.721 | 0.864 | 0.656 | 0.786 | 0.714 | 0.838 |
| 0.656 | 0.721 | 0.681 | 0.824 | 0.607 | 0.748 | 0.662 | 0.794 | |
| PPV (95% CI) | 0.719 (0.583–0.826) | 0.738 (0.612–0.836) | 0.687 (0.560–0.791) | 0.961 (0.854–0.993) | 0.612 (0.485–0.726) | 0.778 (0.652–0.869) | 0.694 (0.561–0.801) | 0.862 (0.741–0.934) |
| NPV (95% CI) | 0.722 (0.620–0.806) | 0.775 (0.672–0.854) | 0.747 (0.641–0.832) | 0.816 (0.724–0.883) | 0.690 (0.580–0.782) | 0.791 (0.691–0.867) | 0.728 (0.624–0.813) | 0.813 (0.717–0.882) |
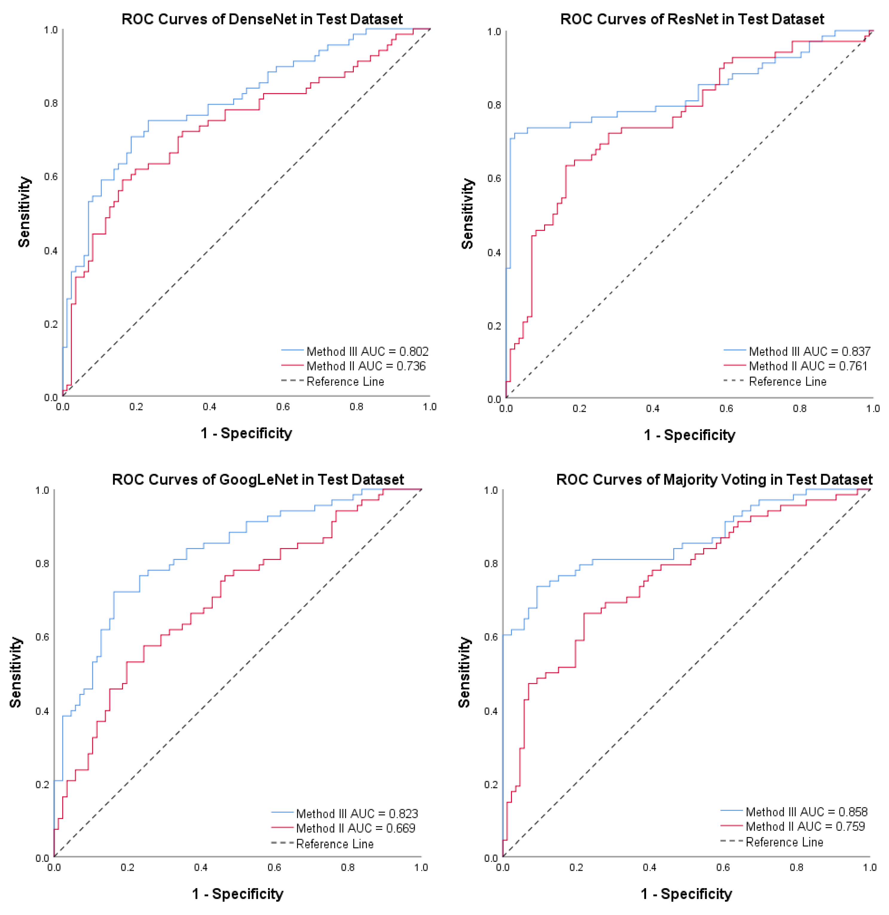
4.4. Performance of Different Image Extension Methods


| Method III (95% CI) | Method II (95% CI) | p Value | |
|---|---|---|---|
| DenseNet | 0.802 (0.731–0.862) | 0.736 (0.659–0.803) | 0.0437 |
| ResNet | 0.837 (0.769–0.892) | 0.761 (0.685–0.826) | 0.0253 |
| GoogLeNet | 0.823 (0.753–0.880) | 0.669 (0.620–0.771) | 0.0014 |
| Majority Voting | 0.858 (0.793–0.909) | 0.759 (0.683–0.824) | 0.0001 |
5. Discussion
6. Conclusions
Author Contributions
Funding
Institutional Review Board Statement
Informed Consent Statement
Data Availability Statement
Acknowledgments
Conflicts of Interest
Sample Availability
Abbreviations
| LNM | Lymph Node Metastasis |
| PTC-MAS | Primary Thyroid Cancer Lymph Node Metastasis Assessment System |
| ROI | Region of Interest |
| YOLOS | YOLO Thyroid Nodule Recognition System |
| AUC | Receiver Operating Characteristic Curve |
| AJCC | The American Joint Committee on Cancer |
| SAHCMU | The Second Affiliated Hospital of Chongqing Medical University |
| FNA | Fine-Needle Aspiration |
| ACR | American College of Radiology |
| TI-RADS | Thyroid Imaging Reporting and Data System |
| PACS | The Picture Archiving and Communication System |
| CAM | Class Activation Maps |
| TP | True Positives |
| FP | False Positives |
| TN | True Negatives |
| FN | False Negatives |
| PPV | Positive Predictive Value |
| NPV | Negative Predictive Value |
| CI | Confidence Interval |
References
- Lortet-Tieulent, J.; Franceschi, S.; Dal Maso, L.; Vaccarella, S. Thyroid cancer “epidemic” also occurs in low-and middle-income countries. Int. J. Cancer 2019, 144, 2082–2087. [Google Scholar] [CrossRef] [PubMed]
- Miranda-Filho, A.; Lortet-Tieulent, J.; Bray, F.; Cao, B.; Franceschi, S.; Vaccarella, S.; Dal Maso, L. Thyroid cancer incidence trends by histology in 25 countries: A population-based study. Lancet Diabetes Endocrinol. 2021, 9, 225–234. [Google Scholar] [CrossRef] [PubMed]
- Haugen, B.R.; Alexander, E.K.; Bible, K.C.; Doherty, G.M.; Mandel, S.J.; Nikiforov, Y.E.; Pacini, F.; Randolph, G.W.; Sawka, A.M.; Schlumberger, M.; et al. 2015 American Thyroid Association management guidelines for adult patients with thyroid nodules and differentiated thyroid cancer: The American Thyroid Association guidelines task force on thyroid nodules and differentiated thyroid cancer. Thyroid 2016, 26, 1–133. [Google Scholar] [CrossRef] [PubMed]
- Leboulleux, S.; Girard, E.; Rose, M.; Travagli, J.P.; Sabbah, N.; Caillou, B.; Hartl, D.M.; Lassau, N.; Baudin, E.; Schlumberger, M. Ultrasound criteria of malignancy for cervical lymph nodes in patients followed up for differentiated thyroid cancer. J. Clin. Endocrinol. Metab. 2007, 92, 3590–3594. [Google Scholar] [CrossRef]
- Carty, S.E.; Cooper, D.S.; Doherty, G.M.; Duh, Q.Y.; Kloos, R.T.; Mandel, S.J.; Randolph, G.W.; Stack, B.C., Jr.; Steward, D.L.; Terris, D.J.; et al. Consensus statement on the terminology and classification of central neck dissection for thyroid cancer: The American thyroid association surgery working group with participation from the American association of endocrine surgeons, American academy of otolaryngology—head and neck surgery, and American head and neck society. Thyroid 2009, 19, 1153–1158. [Google Scholar]
- Patel, K.N.; Yip, L.; Lubitz, C.C.; Grubbs, E.G.; Miller, B.S.; Shen, W.; Angelos, P.; Chen, H.; Doherty, G.M.; Fahey, T.J., III; et al. The American Association of Endocrine Surgeons guidelines for the definitive surgical management of thyroid disease in adults. Ann. Surg. 2020, 271, e21–e93. [Google Scholar] [CrossRef]
- Prativadi, R.; Dahiya, N.; Kamaya, A.; Bhatt, S. Ultrasound characteristics of benign vs malignant cervical lymph nodes. Semin. Ultrasound CT MRI 2017, 38, 506–515. [Google Scholar] [CrossRef]
- Choi, J.S.; Kim, J.; Kwak, J.Y.; Kim, M.J.; Chang, H.S.; Kim, E.K. Preoperative staging of papillary thyroid carcinoma: Comparison of ultrasound imaging and CT. Am. J. Roentgenol. 2009, 193, 871–878. [Google Scholar] [CrossRef]
- Hwang, H.S.; Orloff, L.A. Efficacy of preoperative neck ultrasound in the detection of cervical lymph node metastasis from thyroid cancer. Laryngoscope 2011, 121, 487–491. [Google Scholar] [CrossRef]
- Lee, D.; Ji, Y.; Sung, E.; Park, J.; Lee, Y.; Park, D.; Tae, K. Roles of ultrasonography and computed tomography in the surgical management of cervical lymph node metastases in papillary thyroid carcinoma. Eur. J. Surg. Oncol. (EJSO) 2013, 39, 191–196. [Google Scholar] [CrossRef]
- Yeh, M.W.; Bauer, A.J.; Bernet, V.A.; Ferris, R.L.; Loevner, L.A.; Mandel, S.J.; Orloff, L.A.; Randolph, G.W.; Steward, D.L.; American Thyroid Association Surgical Affairs Committee Writing Task Force. American Thyroid Association statement on preoperative imaging for thyroid cancer surgery. Thyroid 2015, 25, 3–14. [Google Scholar] [CrossRef]
- Randolph, G.W.; Duh, Q.Y.; Heller, K.S.; LiVolsi, V.A.; Mandel, S.J.; Steward, D.L.; Tufano, R.P.; American Thyroid Association Surgical Affairs Committee’s Taskforce on Thyroid Cancer Nodal Surgery. The prognostic significance of nodal metastases from papillary thyroid carcinoma can be stratified based on the size and number of metastatic lymph nodes, as well as the presence of extranodal extension. Thyroid 2012, 22, 1144–1152. [Google Scholar] [CrossRef]
- Lim, H.; Devesa, S.S.; Sosa, J.A.; Check, D.; Kitahara, C.M. Trends in thyroid cancer incidence and mortality in the United States, 1974–2013. JAMA 2017, 317, 1338–1348. [Google Scholar] [CrossRef]
- Sapuppo, G.; Tavarelli, M.; Russo, M.; Malandrino, P.; Belfiore, A.; Vigneri, R.; Pellegriti, G. Lymph node location is a risk factor for papillary thyroid cancer-related death. J. Endocrinol. Investig. 2018, 41, 1349–1353. [Google Scholar] [CrossRef]
- Tavarelli, M.; Sarfati, J.; Chereau, N.; Tissier, F.; Golmard, J.L.; Ghander, C.; Lussey-Lepoutre, C.; Trésallet, C.; Menegaux, F.; Leenhardt, L.; et al. Heterogeneous prognoses for pT3 papillary thyroid carcinomas and impact of delayed risk stratification. Thyroid 2017, 27, 778–786. [Google Scholar] [CrossRef]
- Liu, C.; Xiao, C.; Chen, J.; Li, X.; Feng, Z.; Gao, Q.; Liu, Z. Risk factor analysis for predicting cervical lymph node metastasis in papillary thyroid carcinoma: A study of 966 patients. BMC Cancer 2019, 19, 1–10. [Google Scholar] [CrossRef]
- Feng, J.W.; Yang, X.H.; Wu, B.Q.; Sun, D.L.; Jiang, Y.; Qu, Z. Predictive factors for central lymph node and lateral cervical lymph node metastases in papillary thyroid carcinoma. Clin. Transl. Oncol. 2019, 21, 1482–1491. [Google Scholar] [CrossRef]
- Feng, J.W.; Qu, Z.; Qin, A.C.; Pan, H.; Ye, J.; Jiang, Y. Significance of multifocality in papillary thyroid carcinoma. Eur. J. Surg. Oncol. 2020, 46, 1820–1828. [Google Scholar] [CrossRef]
- Guang, Y.; He, W.; Zhang, W.; Zhang, H.; Zhang, Y.; Wan, F. Clinical study of ultrasonographic risk factors for central lymph node metastasis of papillary thyroid carcinoma. Front. Endocrinol. 2021, 12, 791970. [Google Scholar] [CrossRef]
- Choi, Y.J.; Yun, J.S.; Kook, S.H.; Jung, E.C.; Park, Y.L. Clinical and imaging assessment of cervical lymph node metastasis in papillary thyroid carcinomas. World J. Surg. 2010, 34, 1494–1499. [Google Scholar] [CrossRef]
- Park, V.Y.; Lee, E.; Lee, H.S.; Kim, H.J.; Yoon, J.; Son, J.; Song, K.; Moon, H.J.; Yoon, J.H.; Kim, G.R.; et al. Combining radiomics with ultrasound-based risk stratification systems for thyroid nodules: An approach for improving performance. Eur. Radiol. 2021, 31, 2405–2413. [Google Scholar] [CrossRef] [PubMed]
- Tong, Y.; Li, J.; Huang, Y.; Zhou, J.; Liu, T.; Guo, Y.; Yu, J.; Zhou, S.; Wang, Y.; Chang, C. Ultrasound-based radiomic nomogram for predicting lateral cervical lymph node metastasis in papillary thyroid carcinoma. Acad. Radiol. 2021, 28, 1675–1684. [Google Scholar] [CrossRef] [PubMed]
- Liu, T.; Zhou, S.; Yu, J.; Guo, Y.; Wang, Y.; Zhou, J.; Chang, C. Prediction of lymph node metastasis in patients with papillary thyroid carcinoma: A radiomics method based on preoperative ultrasound images. Technol. Cancer Res. Treat. 2019, 18, 1533033819831713. [Google Scholar] [CrossRef] [PubMed]
- Li, F.; Pan, D.; He, Y.; Wu, Y.; Peng, J.; Li, J.; Wang, Y.; Yang, H.; Chen, J. Using ultrasound features and radiomics analysis to predict lymph node metastasis in patients with thyroid cancer. BMC Surg. 2020, 20, 315. [Google Scholar] [CrossRef] [PubMed]
- Yu, J.; Deng, Y.; Liu, T.; Zhou, J.; Jia, X.; Xiao, T.; Zhou, S.; Li, J.; Guo, Y.; Wang, Y.; et al. Lymph node metastasis prediction of papillary thyroid carcinoma based on transfer learning radiomics. Nat. Commun. 2020, 11, 4807. [Google Scholar] [CrossRef] [PubMed]
- Zhou, S.C.; Liu, T.T.; Zhou, J.; Huang, Y.X.; Guo, Y.; Yu, J.H.; Wang, Y.Y.; Chang, C. An ultrasound radiomics nomogram for preoperative prediction of central neck lymph node metastasis in papillary thyroid carcinoma. Front. Oncol. 2020, 10, 1591. [Google Scholar] [CrossRef]
- Valdora, F.; Houssami, N.; Rossi, F.; Calabrese, M.; Tagliafico, A.S. Rapid review: Radiomics and breast cancer. Breast Cancer Res. Treat. 2018, 169, 217–229. [Google Scholar] [CrossRef]
- Scapicchio, C.; Gabelloni, M.; Barucci, A.; Cioni, D.; Saba, L.; Neri, E. A deep look into radiomics. La Radiol. Medica 2021, 126, 1296–1311. [Google Scholar] [CrossRef]
- Van Timmeren, J.E.; Cester, D.; Tanadini-Lang, S.; Alkadhi, H.; Baessler, B. Radiomics in medical imaging—“how-to” guide and critical reflection. Insights Imaging 2020, 11, 1–16. [Google Scholar] [CrossRef]
- Wang, F.; Casalino, L.P.; Khullar, D. Deep learning in medicine—promise, progress, and challenges. JAMA Intern. Med. 2019, 179, 293–294. [Google Scholar] [CrossRef]
- Hannun, A.Y.; Rajpurkar, P.; Haghpanahi, M.; Tison, G.H.; Bourn, C.; Turakhia, M.P.; Ng, A.Y. Cardiologist-level arrhythmia detection and classification in ambulatory electrocardiograms using a deep neural network. Nat. Med. 2019, 25, 65–69. [Google Scholar] [CrossRef]
- Qian, X.; Pei, J.; Zheng, H.; Xie, X.; Yan, L.; Zhang, H.; Han, C.; Gao, X.; Zhang, H.; Zheng, W.; et al. Prospective assessment of breast cancer risk from multimodal multiview ultrasound images via clinically applicable deep learning. Nat. Biomed. Eng. 2021, 5, 522–532. [Google Scholar] [CrossRef]
- Zhu, J.; Zheng, J.; Li, L.; Huang, R.; Ren, H.; Wang, D.; Dai, Z.; Su, X. Application of machine learning algorithms to predict central lymph node metastasis in T1-T2, non-invasive, and clinically node negative papillary thyroid carcinoma. Front. Med. 2021, 8, 635771. [Google Scholar] [CrossRef]
- Zou, Y.; Shi, Y.; Liu, J.; Cui, G.; Yang, Z.; Liu, M.; Sun, F. A comparative analysis of six machine learning models based on ultrasound to distinguish the possibility of central cervical lymph node metastasis in patients with papillary thyroid carcinoma. Front. Oncol. 2021, 11, 656127. [Google Scholar] [CrossRef]
- Wu, Y.; Rao, K.; Liu, J.; Han, C.; Gong, L.; Chong, Y.; Liu, Z.; Xu, X. Machine learning algorithms for the prediction of central lymph node metastasis in patients with papillary thyroid cancer. Front. Endocrinol. 2020, 11, 577537. [Google Scholar] [CrossRef]
- Liu, W.; Wang, S.; Xia, X.; Guo, M. A proposed heterogeneous ensemble algorithm model for predicting central lymph node metastasis in papillary thyroid cancer. Int. J. Gen. Med. 2022, 4717–4732. [Google Scholar] [CrossRef]
- Wu, X.; Li, M.; Cui, X.w.; Xu, G. Deep multimodal learning for lymph node metastasis prediction of primary thyroid cancer. Phys. Med. Biol. 2022, 67, 035008. [Google Scholar] [CrossRef]
- Zou, Y.; Shi, Y.; Sun, F.; Liu, J.; Guo, Y.; Zhang, H.; Lu, X.; Gong, Y.; Xia, S. Extreme gradient boosting model to assess risk of central cervical lymph node metastasis in patients with papillary thyroid carcinoma: Individual prediction using SHapley Additive exPlanations. Comput. Methods Programs Biomed. 2022, 225, 107038. [Google Scholar] [CrossRef]
- Bochkovskiy, A.; Wang, C.Y.; Liao, H.Y.M. Yolov4: Optimal speed and accuracy of object detection. arXiv 2020, arXiv:2004.10934. [Google Scholar]
- Huang, G.; Liu, Z.; Van Der Maaten, L.; Weinberger, K.Q. Densely connected convolutional networks. In Proceedings of the IEEE Conference on Computer Vision and Pattern Recognition, Honolulu, HI, USA, 21–26 July 2017; pp. 4700–4708. [Google Scholar]
- He, K.; Zhang, X.; Ren, S.; Sun, J. Deep residual learning for image recognition. In Proceedings of the IEEE Conference on Computer Vision and Pattern Recognition, Las Vegas, NV, USA, 27–30 June 2016; pp. 770–778. [Google Scholar]
- Szegedy, C.; Liu, W.; Jia, Y.; Sermanet, P.; Reed, S.; Anguelov, D.; Erhan, D.; Vanhoucke, V.; Rabinovich, A. Going deeper with convolutions. In Proceedings of the IEEE Conference on Computer Vision and Pattern Recognition, Boston, MA, USA, 7–12 June 2015; pp. 1–9. [Google Scholar]
- Kumar, M.; Husain, D.; Upreti, N.; Gupta, D. Genetic algorithm: Review and application. SSRN 2010. [Google Scholar] [CrossRef]
- Zhou, H.; Wang, K.; Tian, J. Online transfer learning for differential diagnosis of benign and malignant thyroid nodules with ultrasound images. IEEE Trans. Biomed. Eng. 2020, 67, 2773–2780. [Google Scholar] [CrossRef] [PubMed]
- Thomas, J.; Haertling, T. AIBx, artificial intelligence model to risk stratify thyroid nodules. Thyroid 2020, 30, 878–884. [Google Scholar] [CrossRef] [PubMed]
- Yun, S.; Han, D.; Oh, S.J.; Chun, S.; Choe, J.; Yoo, Y. Cutmix: Regularization strategy to train strong classifiers with localizable features. In Proceedings of the IEEE/CVF International Conference on Computer Vision, Seoul, Republic of Korea, 27 October–2 November 2019; pp. 6023–6032. [Google Scholar]
- Loshchilov, I.; Hutter, F. Decoupled weight decay regularization. arXiv 2017, arXiv:1711.05101. [Google Scholar]
- Zhou, B.; Khosla, A.; Lapedriza, A.; Oliva, A.; Torralba, A. Learning deep features for discriminative localization. In Proceedings of the IEEE Conference on Computer Vision and Pattern Recognition, Las Vegas, NV, USA, 27–30 June 2016; pp. 2921–2929. [Google Scholar]
- Peng, S.; Liu, Y.; Lv, W.; Liu, L.; Zhou, Q.; Yang, H.; Ren, J.; Liu, G.; Wang, X.; Zhang, X.; et al. Deep learning-based artificial intelligence model to assist thyroid nodule diagnosis and management: A multicentre diagnostic study. Lancet Digit. Health 2021, 3, e250–e259. [Google Scholar] [CrossRef]
- Liu, T.; Guo, Q.; Lian, C.; Ren, X.; Liang, S.; Yu, J.; Niu, L.; Sun, W.; Shen, D. Automated detection and classification of thyroid nodules in ultrasound images using clinical-knowledge-guided convolutional neural networks. Med Image Anal. 2019, 58, 101555. [Google Scholar] [CrossRef]
- Ko, S.Y.; Lee, J.H.; Yoon, J.H.; Na, H.; Hong, E.; Han, K.; Jung, I.; Kim, E.K.; Moon, H.J.; Park, V.Y.; et al. Deep convolutional neural network for the diagnosis of thyroid nodules on ultrasound. Head Neck 2019, 41, 885–891. [Google Scholar] [CrossRef]
- Wang, Y.; Nie, F.; Wang, G.; Liu, T.; Dong, T.; Sun, Y. Value of combining clinical factors, conventional ultrasound, and contrast-enhanced ultrasound features in preoperative prediction of central lymph node metastases of different sized papillary thyroid carcinomas. Cancer Manag. Res. 2021, 3403–3415. [Google Scholar] [CrossRef]




Disclaimer/Publisher’s Note: The statements, opinions and data contained in all publications are solely those of the individual author(s) and contributor(s) and not of MDPI and/or the editor(s). MDPI and/or the editor(s) disclaim responsibility for any injury to people or property resulting from any ideas, methods, instructions or products referred to in the content. |
© 2023 by the authors. Licensee MDPI, Basel, Switzerland. This article is an open access article distributed under the terms and conditions of the Creative Commons Attribution (CC BY) license (https://creativecommons.org/licenses/by/4.0/).
Share and Cite
Fu, R.; Yang, H.; Zeng, D.; Yang, S.; Luo, P.; Yang, Z.; Teng, H.; Ren, J. PTC-MAS: A Deep Learning-Based Preoperative Automatic Assessment of Lymph Node Metastasis in Primary Thyroid Cancer. Diagnostics 2023, 13, 1723. https://doi.org/10.3390/diagnostics13101723
Fu R, Yang H, Zeng D, Yang S, Luo P, Yang Z, Teng H, Ren J. PTC-MAS: A Deep Learning-Based Preoperative Automatic Assessment of Lymph Node Metastasis in Primary Thyroid Cancer. Diagnostics. 2023; 13(10):1723. https://doi.org/10.3390/diagnostics13101723
Chicago/Turabian StyleFu, Ruqian, Hao Yang, Dezhi Zeng, Shuhan Yang, Peng Luo, Zhijie Yang, Hua Teng, and Jianli Ren. 2023. "PTC-MAS: A Deep Learning-Based Preoperative Automatic Assessment of Lymph Node Metastasis in Primary Thyroid Cancer" Diagnostics 13, no. 10: 1723. https://doi.org/10.3390/diagnostics13101723
APA StyleFu, R., Yang, H., Zeng, D., Yang, S., Luo, P., Yang, Z., Teng, H., & Ren, J. (2023). PTC-MAS: A Deep Learning-Based Preoperative Automatic Assessment of Lymph Node Metastasis in Primary Thyroid Cancer. Diagnostics, 13(10), 1723. https://doi.org/10.3390/diagnostics13101723

