Low-Frequency Magnetic Resonance Imaging Identifies Hand Joint Subclinical Inflammation in Systemic Sclerosis
Abstract
1. Introduction
2. Patients and Methods
2.1. Inflammation Assessment Using MRI
2.1.1. Synovitis Score
2.1.2. Bone Lesion Score
2.1.3. Assessment of Tenosynovitis
2.2. Statistical Analysis
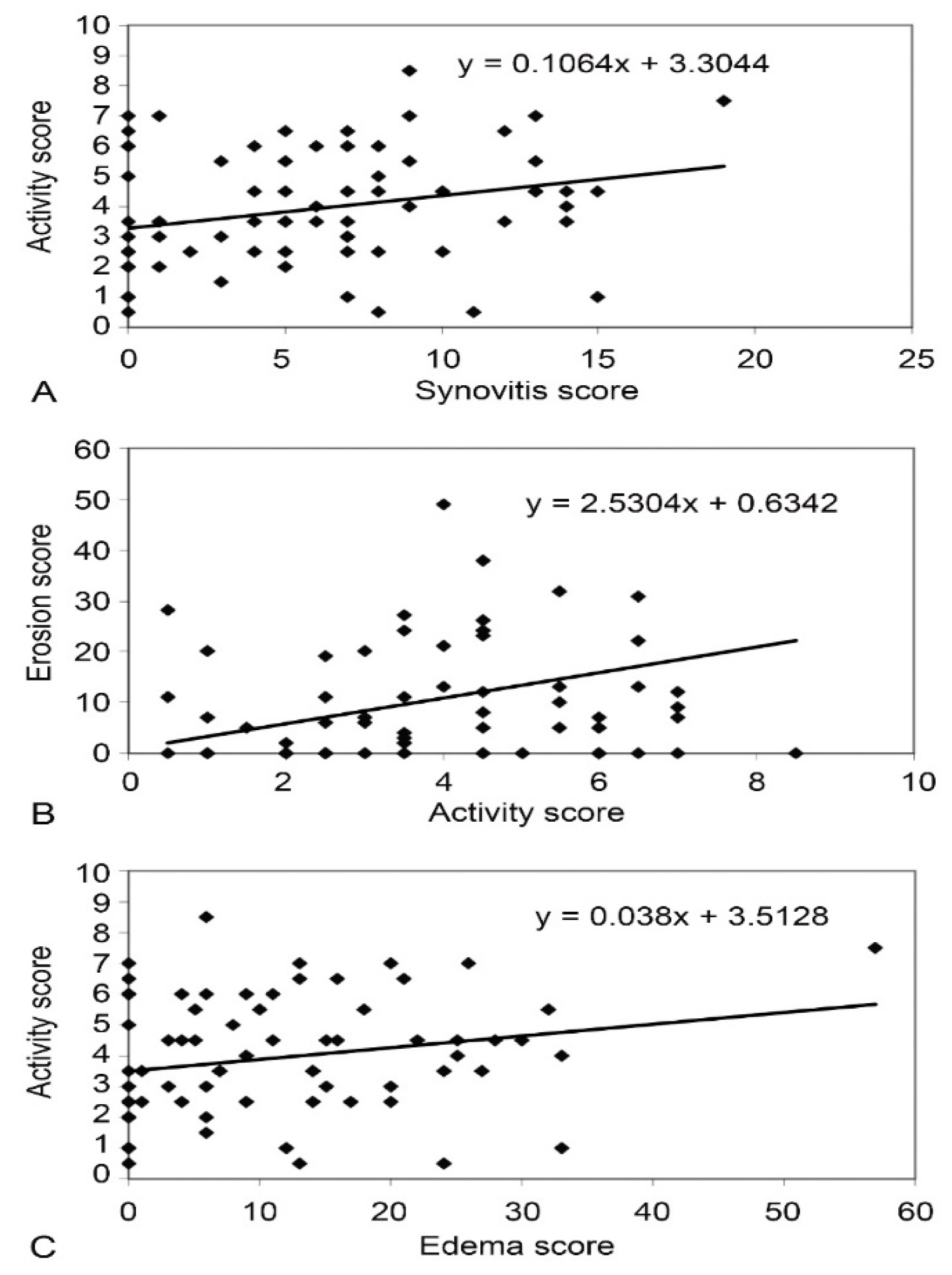
3. Results
Comparing MRI Scan Results with Clinical and Radiographic Musculoskeletal Manifestations in Patients with Systemic Sclerosis
4. Discussion
5. Conclusions
Supplementary Materials
Author Contributions
Funding
Institutional Review Board Statement
Informed Consent Statement
Data Availability Statement
Conflicts of Interest
Abbreviations
| ACA | Anticentromere antibodies; |
| ACPA | Anti-citrullinated protein antibodies; |
| ANA | Antinuclear antibodies; |
| ATA | Anti-topoisomerase antibodies; |
| CPK | Creatine phosphokinase; |
| DIP | Distal interphalangeal; |
| DRUJ | Distal radio-ulnar joints; |
| EScSG-AI | European Scleroderma Study Group Activity Index; |
| MCP | Metacarpophalangeal; |
| MRI | Magnetic resonance imaging; |
| MSM | Musculoskeletal manifestations; |
| OMERACT | Outcome Measures in Rheumatology; |
| PIP | Proximal interphalangeal; |
| RA | Rheumatoid arthritis; |
| RAMRIS | Rheumatoid Arthritis Magnetic Resonance Imaging Scoring System; |
| RF | Rheumatoid factor; |
| SSc | Systemic sclerosis; |
| MCTD | Mixed connective tissue disease; |
| STIR | Short Time Inversion Recovery. |
References
- Varga, J.; Trojanowska, M.; Kuwana, M. Pathogenesis of systemic sclerosis: Recent insights of molecular and cellular mechanisms and therapeutic opportunities. J. Scleroderma Relat. Disord. 2017, 2, 137–152. [Google Scholar] [CrossRef]
- Sandler, R.D.; Matucci-Cerinic, M.; Hughes, M. Musculoskeletal hand involvement in systemic sclerosis. Semin. Arthritis Rheum. 2020, 50, 329–334. [Google Scholar] [CrossRef] [PubMed]
- Amanzi, L.; Braschi, F.; Fiori, G.; Galluccioz, F.; Miniati, I.; Guiducci, S.; Conforti, M.-L.; Kaloudi, O.; Nacci, F.; Sacu, O.; et al. Digital ulcers in scleroderma: Staging, characteristics and sub-setting through observation of 1614 digital lesions. Rheumatology 2010, 49, 1374–1382. [Google Scholar] [CrossRef]
- Herrick, A.L.; Gallas, A. Systemic sclerosis-related calcinosis. J. Scleroderma Relat. Disord. 2016, 1, 194–203. [Google Scholar] [CrossRef]
- Avouac, J.; Guerini, H.; Wipff, J.; Assous, N.; Chevrot, A.; Kahan, A.; Allanore, Y. Radiological hand involvement in systemic sclerosis. Ann. Rheum. Dis. 2006, 65, 1088–1092. [Google Scholar] [CrossRef] [PubMed]
- Avouac, J.; Mogavero, G.; Guerini, H.; Drapé, J.L.; Mathieu, A.; Kahan, A.; Allanore, Y. Predictive factors of hand radiographic lesions in systemic sclerosis: A prospective study. Ann. Rheum. Dis. 2011, 70, 630–633. [Google Scholar] [CrossRef]
- Østergaard, M.; Edmonds, J.; McQueen, F.; Peterfy, C.; Lassere, M.; Ejbjerg, B.; Bird, P.; Emery, P.; Genant, H.; Conaghan, P. An introduction to the EULAR-OMERACT rheumatoid arthritis MRI reference image atlas. Ann. Rheum. Dis. 2005, 64, i3–i7. [Google Scholar] [CrossRef]
- Schirmer, C.; Scheel, A.K.; Althoff, C.E.; Schink, T.; Eshed, I.; Lembcke, A.; Burmester, G.-R.; Backhaus, M.; Hamm, B.; Hermann, K.-G.A. Diagnostic quality and scoring of synovitis, tenosynovitis and erosions in low-field MRI of patients with rheumatoid arthritis: A comparison with conventional MRI. Ann. Rheum. Dis. 2007, 66, 522–529. [Google Scholar] [CrossRef]
- Eshed, I.; Althoff, C.E.; Schink, T.; Scheel, A.K.; Schirmer, C.; Backhaus, M.; Lembcke, A.; Bollow, M.; Hamm, B.; Hermann, K.-G.A. Low-field MRI for assessing synovitis in patients with rheumatoid arthritis. Impact of Gd-DTPA dose on synovitis scoring. Scand. J. Rheumatol. 2006, 35, 277–282. [Google Scholar] [CrossRef]
- Duer-Jensen, A.; Ejbjerg, B.; Albrecht-Beste, E.; Vestergaard, A.; Døhn, U.M.; Hetland, M.L.; Østergaard, M. Does low-field dedicated extremity MRI (E-MRI) reliably detect bone erosions in rheumatoid arthritis? A comparison of two different E-MRI units and conventional radiography with high-resolution CT scanning. Ann. Rheum. Dis. 2009, 68, 1296–1302. [Google Scholar] [CrossRef]
- van den Hoogen, F.; Khanna, D.; Fransen, J.; Johnson, S.R.; Baron, M.; Tyndall, A.; Matucci-cerinic, M.; Naden, R.P.; Medsger, T.A.; Carreira, P.E. 2013 classification criteria for systemic sclerosis: An American college of rheumatology/European league against rheumatism collaborative initiative. Ann. Rheum. Dis. 2013, 72, 1747–1755. [Google Scholar] [CrossRef] [PubMed]
- LeRoy, E.C.; Black, C.; Fleischmajer, R.; Jablonska, S.; Krieg, T.; Medsger, T.A., Jr.; Rowell, N.; Wollheim, F. Scleroderma (systemic sclerosis): Classification, subsets and pathogenesis. J. Rheumatol. 1988, 15, 202–205. [Google Scholar]
- Aletaha, D.; Neogi, T.; Silman, A.J.; Funovits, J.; Felson, D.T.; Bingham, C.O., III; Neal, S.B.; Gerd, R.B.; Vivian, P.B.; Marc, D.C.; et al. Rheumatoid arthritis classification criteria: An American College of Rheumatology/European League Against Rheumatism collaborative initiative. Arthritis Rheum. 2010, 62, 2569–2581. [Google Scholar] [CrossRef] [PubMed]
- Valentini, G.; Iudici, M.; Walker, U.A. The European Scleroderma Trials and Research Group (EUSTAR) task force for the development of revised activity criteria for systemic sclerosis: Derivation and validation of a preliminarily revised EUSTAR activity index. Ann. Rheum. Dis. 2017, 76, 270–276. [Google Scholar] [CrossRef] [PubMed]
- Black, C.M.; Matucci-Cerinic, M.; Guillevin, L. Progress in systemic sclerosis: A 10-year perspective. Rheumatology 2009, 48, iii1–iii2. [Google Scholar] [CrossRef][Green Version]
- Khanna, D.; Furst, D.E.; Clements, P.J.; Allanore, Y.; Baron, M.; Czirjak, L.; Distler, O.; Foeldvari, I.; Kuwana, M.; Matucci-Cerinic, M.; et al. Standardization of the modified Rodnan skin score for use in clinical trials of systemic sclerosis. J. Scleroderma Relat. Dis. 2017, 2, 11–18. [Google Scholar] [CrossRef]
- Ejbjerg, B.J.; Narvestad, E.; Jacobsen, S.; Thomsen, H.S.; Ostergaard, M. Optimised, low cost, low field dedicated extremity MRI is highly specific and sensitive for synovitis and bone erosions in rheumatoid arthritis wrist and finger joints: Comparison with conventional high field MRI and radiography. Ann. Rheum. Dis. 2005, 64, 1280–1287. [Google Scholar] [CrossRef]
- Ejbjerg, B.; McQueen, F.; Lassere, M.; Haavardsholm, E.; Conaghan, P.; O’Connor, P.; Bird, P.; Peterfy, C.; Edmonds, J.; Szkudlarek, M.; et al. The EULAR-OMERACT rheumatoid arthritis MRI reference image atlas: The wrist joint. Ann. Rheum. Dis. 2005, 64, i23–i47. [Google Scholar] [CrossRef]
- Avouac, J.; Clements, P.J.; Khanna, D.; Furst, D.E.; Allanore, Y. Articular involvement in systemic sclerosis. Rheumatology 2012, 51, 1347–1356. [Google Scholar] [CrossRef]
- Avouac, J.; Walker, U.; Tyndall, A.; Kahan, A.; Matucci-Cerinic, M.; Allanore, Y. Characteristics of joint involvement and relationships with systemic inflammation in systemic sclerosis: Results from the EULAR Scleroderma Trial and Research Group (EUSTAR) database. J. Rheumatol. 2010, 37, 1488–1501. [Google Scholar] [CrossRef]
- Bellando-Randone, S.; Guiducci, S.; Matucci-Cerinic, M. Musculoskeletal involvement in systemic sclerosis. Best Pract. Res. Clin. Rheumatol. 2008, 22, 339–350. [Google Scholar] [CrossRef]
- Molina-Rios, S.; Ordonez, C.E.; Quintana-Lopez, G. Osteoarticular manifestations of systemic sclerosis: A systematic review of the literature. Rev. Colomb. Reumatol. 2020, 27, 85–110. [Google Scholar] [CrossRef]
- Chitale, S.; Ciapetti, A.; Hodgson, R.; Grainger, A.; O’Connor, P.; Goodson, N.J.; Thompson, R.N.; Estrach, C.; Moots, R.J.; Grassi, W.; et al. Magnetic resonance imaging and musculoskeletal ultrasonography detect and characterize covert inflammatory arthropathy in systemic sclerosis patients with arthralgia. Rheumatology 2010, 49, 2357–2361. [Google Scholar] [CrossRef]
- Abdel-Magiedt, R.A.; Lotfi, A.; Abdelgawad, E.A. Magnetic resonance imaging versus musculoskeletal ultrasonography in detecting inflammatory arthropathy in systemic sclerosis patients with hand arthralgia. Rheumatol. Int. 2013, 33, 1961–1966. [Google Scholar] [CrossRef] [PubMed]
- Akbayrak, E.; Dinser, R.; Müller-Ladner, U.; Tarner, I.H. Low-field magnetic resonance imaging study on carpal arthritis in systemic sclerosis-low-grade erosive arthritis of carpal bones is an unexpected and frequent disease manifestation. Arthritis Res. Ther. 2013, 15, 2–9. [Google Scholar] [CrossRef] [PubMed]
- Yoshioka, H.; Ito, S.; Handa, S.; Tomiha, S.; Kose, K.; Haishi, T.; Tsutsumi, A.; Sumida, T. Low-field compact magnetic resonance imaging system for the hand and wrist in rheumatoid arthritis. J. Magn. Reson. Imaging 2006, 23, 370–376. [Google Scholar] [CrossRef] [PubMed]
- Hori, M.; Hagiwara, A.; Goto, M.; Wada, A.; Aoki, S. Low-Field Magnetic Resonance Imaging: Its History and Renaissance. Investig. Radiol. 2021, 56, 669–679. [Google Scholar] [CrossRef]
- Denton, C.P. Therapeutic targets in systemic sclerosis. Arthritis Res. Ther. 2007, 9, S6. [Google Scholar] [CrossRef] [PubMed]
- Distler, J.H.W.; Distrel, O. Tyrosine kinase inhibitors for the treatment of fibrotic diseases such as systemic sclerosis: Towards molecular targeted therapies. Ann. Rheum. Dis. 2010, 69, i48–i51. [Google Scholar] [CrossRef]
- Bruni, C.; Praino, E.; Guiducci, S.; Bellando-Randone, S.; Furst, D.E.; Matucci-Cerinic, M. Hydroxychloroquine and joint involvement in systemic sclerosis: Preliminary beneficial results from a retrospective case-control series of an EUSTAR center. Jt. Bone Spine 2017, 84, 747–748. [Google Scholar] [CrossRef]
- Elhai, M.; Meunier, M.; Matucci-Cerinic, M.; Maurer, B.; Riemekasten, G.; Leturcq, T.; Pellerito, R.; Von Mühlen, C.A.; Vacca, A.; Airo, P.; et al. Outcomes of patients with systemic sclerosis-associated polyarthritis and myopathy treated with tocilizumab or abatacept: A EUSTAR observational study. Ann. Rheum. Dis. 2013, 72, 1217–1220. [Google Scholar] [CrossRef]
- Daoussis, D.; Melissaropoulos, K.; Sakellaropoulos, G.; Antonopoulos, I.; Markatseli, T.E.; Simopoulou, T.; Georgiou, T.; Andonopoulos, A.P.; Drosos, A.A.; Sakkas, L.; et al. A multicenter, open-label, comparative study of B-cell depletion therapy with rituximab for systemic sclerosis-associated interstitial lung disease. Semin. Arthritis Rheum. 2017, 46, 625–631. [Google Scholar] [CrossRef] [PubMed]
- Gordon, J.K.; Martyanov, V.; Franks, J.M.; Bernstein, E.J.; Szymonifka, J.; Magro, C.; Wildman, H.F.; Wood, T.A.; Whitfield, M.L.; Spiera, R.F. Belimumab for the treatment of early diffuse systemic sclerosis: Results of a randomized, double-blind, placebo-controlled, pilot trial. Arthritis Rheumatol. 2018, 70, 308–316. [Google Scholar] [CrossRef] [PubMed]
- Low, A.H.; Lax, M.; Johnson, S.R.; Lee, P. Magnetic resonance imaging of the hand in systemic sclerosis. J. Rheumatol. 2009, 36, 961–964. [Google Scholar] [CrossRef] [PubMed]
- Stamenković, B.; Stanković, A.; Dimić, A.; Damjanov, N.; Nedović, J.; Stojanović, S.; Savić, V.; Đorđević, D. The clinical significance of antibody determination to cyclic citrullinated peptides in systemic sclerosis. Srp. Arh. Celok. Lek. 2012, 140, 350–354. [Google Scholar] [CrossRef]
- Laustriat, G.; Ruyssen-Witrand, A.; Constantin, A.; Barnetche, T.; Adoue, D.; Cantagrel, A.; Degboé, Y. Anti-citrullinated peptides antibodies in systemic sclerosis: Meta-analysis of frequency and meaning. Jt. Bone Spine 2018, 85, 147–153. [Google Scholar] [CrossRef]
- Allanore, Y.; Seror, R.; Chevrot, A.; Kahan, A.; Drapé, J.L. Hand vascular involvement assessed by magnetic resonance angiography in systemic sclerosis. Arthritis Rheum. 2007, 56, 2747–2754. [Google Scholar] [CrossRef]
- Morrisroe, K.B.; Nikpour, M.; Proudman, S.M. Musculoskeletal manifestations of systemic sclerosis. Rheum. Dis. Clin. N. Am. 2015, 41, 507–518. [Google Scholar] [CrossRef]
- Lorand, V.; Czirjak, L.; Minier, T. Musculoskeletal involvement in systemic sclerosis. Presse Méd. 2014, 43, e315–e328. [Google Scholar] [CrossRef]
- Freire, V.; Bazeli, R.; Elhai, M.; Campagna, R.; Pessis, É.; Avouac, J.; Allanore, Y.; Drapé, J.L.; Guérini, H. Hand and wrist involvement in systemic sclerosis: US features. Radiology 2013, 269, 824–830. [Google Scholar] [CrossRef]
- Johnstone, E.M.; Hutchinson, A.V.; Chevance, A.; Herrick, A.L. Acro-osteolysis in systemic sclerosis is associated with digital ischaemia and severe calcinosis. Rheumatology 2012, 51, 2234–2238. [Google Scholar] [CrossRef]
- Koutaissoffz, S.; Vanthuyne, M.; Smith, V.; De Langhe, E.; Depresseux, G.; Westhovens, R.; De Keyser, F.; Malghem, J.; Houssiau, F.A. Hand radiological damage in systemic sclerosis: Comparison with a control group and clinical and functional correlations. Semin. Arthritis Rheum. 2011, 40, 455–460. [Google Scholar] [CrossRef] [PubMed]
- Morardet, L.; Avouac, J.; Sammour, M.; Baron, M.; Kahan, A.; Feydy, A.; Allanore, Y. Late Nailfold Videocapillaroscopy Pattern Associated with Hand Calcinosis and Acro-Osteolysis in Systemic Sclerosis. Arthritis Care Res. 2016, 68, 366–373. [Google Scholar] [CrossRef] [PubMed]
- McQueen, F.M. A vital clue to deciphering bone pathology: MRI bone oedema in rheumatoid arthritis and osteoarthritis. Ann. Rheum. Dis. 2007, 66, 1549–1552. [Google Scholar] [CrossRef] [PubMed]
- Freeston, J.E.; Bird, P.; Conaghan, P.G. The role of MRI in rheumatoid arthritis: Research and clinical issues. Curr. Opin. Rheum. 2009, 21, 95–101. [Google Scholar] [CrossRef]
- Ostergaard, M.; Peterfy, C.; Conaghan, P.; McQueen, F.; Bird, P.; Ejbjerg, B.; Shnier, R.; O’Connor, P.; Klarlund, M.; Emery, P.; et al. OMERACT rheumatoid arthritis magnetic resonance imaging studies: Core set of MRI acquisitions, joint pathology definitions, and the OMERACT RA-MRI scoring system. J. Rheumatol. 2003, 30, 1385–1386, Erratum in J. Rheumatol. 2004, 31, 198. [Google Scholar]
- Hodgson, R.J.; O’Connor, P.; Moots, R. MRI of Rheumatoid arthritis: Scoring systems. Rheumatology 2008, 47, 13–21. [Google Scholar] [CrossRef]
- Boutry, N.; Lardé, A.; Lapègue, F.; Solau-Gervais, E.; Flipo, R.M.; Cotton, A. Magnetic resonance imaging appearance of the hands and feet in patients with early rheumatoid arthritis. J. Rheumatol. 2003, 30, 671–679. [Google Scholar]
- Lescoat, A.; Ballerie, A.; Belhomme, N.; Cazalets, C.; de Carlan, M.; Droitcourt, C.; Perdriger, A.; Jégo, P.; Coiffier, G. Synovial involvement assessed by power Doppler ultra-sonography in systemic sclerosis: Results of a cross-sectional study. Rheumatology 2018, 57, 2012–2021. [Google Scholar] [CrossRef] [PubMed]
- Scheiman-Elazary, A.; Ranganath, V.K.; Ben-Artzi, A.; Kafaja, S.; Borazan, H.; Woodworth, T.; Duon, L.; Elashoff, D.; Clements, P.; Furst, D. Validation of Sonography findings of synovitis and tenosynovitis of hands and wrists in patients with systemic sclerosis. J. Scleroderma Rel. Dis. 2018, 3, 228–236. [Google Scholar] [CrossRef]
- Avouac, J.; Walker, U.A.; Hachulla, E.; Riemekasten, G.; Cuomo, G.; Carreira, P.E.; Caramaschi, P.; Ananieva, L.P.; Matucci-Cerinic, M.; Czirjak, L.; et al. Joint and tendon involvement predict disease progression in systemic sclerosis: A EUSTAR prospective study. Ann. Rheum. Dis. 2016, 75, 103–109. [Google Scholar] [CrossRef] [PubMed]

| Characteristics | Patients with SSc (n = 82) |
|---|---|
| Age | 54.45 ± 12.51 |
| Men/women | 5 (6.1%)/77 (93.9%) |
| Duration of disease (years) | 8.41 ± 6.12 |
| Cutaneous subtype | |
| Limited | 59 (72.0%) |
| Diffuse | 23 (28.0%) |
| Raynaud’s phenomenon | 80 (97.6%) |
| Digital ulcerations | 27 (32.9%) |
| HAQ | 1.22 ± 0.74 |
| HAQ > 1.5 | 36 (43.9%) |
| Muscle weakness | 5 (6.1%) |
| Lung fibrosis | 42 (51.2%) |
| Increased systolic pulmonary arterial pressure | 17 (20.7%) |
| Kidney involvement | 8 (9.8%) |
| Positive antinuclear antibodies | 63 (77.8%) |
| Positive antitopoisomerase-1 antibody | 14 (17.1%) |
| Positive anticentromeric antibodies | 23 (29.5%) |
| Elevated creatine phosphokinase | 3 (3.7%) |
| Increase in acute phase reactants | 30 (36.6%) |
| Positive RF | 12 (14.6%) |
| Positive anti-CCP At | 11 (13.4%) |
| Proteinuria | - |
| Active disease according to the European score (EScSG-AI) | 47 (57.3%) |
| Findings | MRI Synovitis | Total | ||
|---|---|---|---|---|
| No | Yes | |||
| Clinical Swollen Joints | No | 18 (22.0%) | 50 (61.0%) | 68 (82.9%) |
| Yes | - | 14 (17.1%) | 14 (17.1%) | |
| Total | 18 (22.0%) | 64 (78.0%) | 82 (100.0%) | |
| Joint Manifestations | Clinical Finding (n = 82) | Radiographic Finding (n = 82) | MRI (n = 82) | p |
|---|---|---|---|---|
| Joint Involvement | ||||
| Synovitis | 14 (17.1%) | 64 (78.0%) | <0.001 | |
| Arthralgia | 66 (80.5%) | |||
| Tendon friction rubs | 12 (14.6%) | 11 (14.1%) | 0.375 | |
| Joint contracture | 28 (34.1%) | 25 (32.1%) | 0.617 | |
| Erosions | 22 (27.5%) | 52 (63.4%) | <0.001 | |
| Wrist | 9 (11.5%) | 42 (51.2%) | <0.001 | |
| MCP | 7 (9.0%) | 37 (45.1%) | <0.001 | |
| PIP | 10 (12.8%) | |||
| DIP | 16 (20.5%) | |||
| Joint space narrowing | 36 (46.2%) | |||
| Wrist | 20 (25.6%) | |||
| MCP | 27 (34.6%) | |||
| PIP | 29 (37.2%) | |||
| DIP | 28 (35.9%) | |||
| RÖ arthritis | 14 (17.9%) | |||
| Wrist | 19 (54.3%) | |||
| MCP | 15 (42.9%) | |||
| PIP | 6 (17.6%) | |||
| Bone Tissue Involvement | ||||
| Radiological demineralization | 24 (29.6%) | |||
| Acroosteolysis | 17 (21.3%) | 22 (27.5%) | 0.357 | |
| Bone edema | 62 (75.6%) | |||
| Soft tissue involvement | ||||
| Flexion contractures | 28 (34.1%) | 25 (32.1%) | 0.617 | |
| Calcinosis | 31 (38.8%) |
| Localization (Min. and Max. Values) | MRI Score in SSc | MRI Score in RA | p |
|---|---|---|---|
| Wrist | |||
| Synovitis (0–7) | 2.69 ± 2.29 | 4.37 ± 1.31 | <0.001 |
| Erosions (0–73) | 6.58 ± 10.89 | 20.57 ± 10.23 | <0.001 |
| bone edema (0–33) | 6.84 ± 7.43 | 18.60 ± 5.01 | <0.001 |
| MCP Joints | |||
| Synovitis (0–12) | 3.15 ± 2.95 | 5.26 ± 2.09 | <0.001 |
| Erosions (0–80) | 3.99 ± 9.82 | 10.51 ± 7.90 | <0.001 |
| bone edema (0–24) | 4.04 ± 4.76 | 9.69 ± 4.27 | <0.001 |
| Localization | Patients with SSc | Patients with RA |
|---|---|---|
| Wrist | ||
| synovitis | DRUJ (50; 61.0%) | DRUJ (35; 100%) |
| erosions | capitate bone (33; 40.2%) | lunate bone (32; 91.4%) |
| bone edema | capitate bone (46; 56.1%) | lunate bone (35; 100%) |
| MCP Joints | ||
| synovitis | MCP2 (46; 56.1%) | MCP2 (34; 97.1%) |
| erosions | MCP2 (28; 34.1%) | MCP3 (32; 91.4%) |
| bone edema | MCP3 (38; 46.3%) | MCP3, MCP5 (34; 97.1%) |
| Erosions—MRI | Erosions—Radiography | Total | ||
|---|---|---|---|---|
| No | Yes | |||
| RA group | No | 1 (2.9%) | - | 1 (2.9%) |
| Yes | 28 (80.0%) | 6 (17.1%) | 34 (97.1%) | |
| Total | 29 (82.9%) | 6 (17.1%) | 35 (100.0%) | |
| SSc group | No | 26 (32.5%) | 4 (5.1%) | 30 (37.5%) |
| Yes | 32 (40.0%) | 18 (22.5%) | 52 (63.4%) | |
| Total | 58 (72.5%) | 22 (27.5%) | 82 (100.0%) | |
| Characteristics | OR | 95% IP Limits for OR | p | |
|---|---|---|---|---|
| Lower | Upper | |||
| Age | 1.024 | 0.982 | 1.069 | 0.271 |
| Duration of disease | 1.061 | 0.963 | 1.168 | 0.233 |
| Female sex | 0.953 | 0.100 | 9.128 | 0.967 |
| Duration of disease longer than 5 years | 1.143 | 0.372 | 3.511 | 0.816 |
| Diffuse SSc | 0.745 | 0.215 | 2.578 | 0.642 |
| Raynaud’s phenomenon | 0.000 | 0.000 | . | 0.999 |
| Digital ulcerations | 4.687 | 1.002 | 22.256 | 0.049 |
| HAQ > 1.5 | 8.226 | 1.740 | 38.896 | 0.008 |
| Resorption of the distal phalanx of the Fingers | 3.488 | 0.727 | 16.732 | 0.118 |
| Muscle weakness | 1.049 | 0.110 | 10.048 | 0.967 |
| DLCO < 75% | 1.971 | 0.566 | 6.867 | 0.286 |
| FVC < 75% | 1.130 | 0.277 | 4.616 | 0.864 |
| sPAP > 30 mmHg | 5.224 | 0.641 | 42.563 | 0.122 |
| Positive ANA | 1.099 | 0.309 | 3.904 | 0.884 |
| Positive anti topo-1 At | 4.000 | 0.485 | 32.984 | 0.198 |
| Positive ACA | 0.447 | 0.143 | 1.398 | 0.166 |
| Elevated creatine phosphokinase | 0.000 | 0.999 | ||
| Positive CRP | 2.656 | 0.549 | 12.841 | 0.224 |
| Positive RF | 0.000 | 0.999 | ||
| Active disease | 3.132 | 1.027 | 9.551 | 0.045 |
| Characteristics | SSc Patients (n = 82) | Patients with lSSc (n = 59) | Patients with dSSc (n = 23) | |||||||||
|---|---|---|---|---|---|---|---|---|---|---|---|---|
| With Inflammation (n = 65) | Without Inflammation (n = 17) | p | OR (95% CI) | With Inflammation (n = 46) | Without Inflammation (n = 13) | p | OR (95% CI) | With Inflammation (n = 19) | Without Inflammation (n = 4) | p | OR (95% CI) | |
| Age | 55.23 ± 13.18 | 51.47 ± 9.27 | 0.271 | 1.02 (0.98–1.06) | 56.39 ± 11.77 | 52.46 ± 7.70 | 0.260 | 1.03 (0.97–1.09) | 52.42 ± 16.10 | 48.25 ± 14.24 | 0.621 | 1.01 (0.94–1.09) |
| Duration of disease | 8.82 ± 6.40 | 6.82 ± 4.70 | 0.233 | 1.06 (0.96–1.16) | 9.10 ± 6.68 | 6.77 ± 5.03 | 0.249 | 1.06 (0.95–1.18) | 8.16 ± 5.81 | 7.00 ± 4.08 | 0.696 | 1.04 (0.84–1.28) |
| Women | 61 (93.8%) | 16 (94.1%) | 0.999 | 0.95 (0.10–9.12) | 45 (97.8%) | 13 (100.0%) | 0.999 | 1.28 (1.12–1.48) | 16 (84.2%) | 3 (75.0%) | 0.999 | 1.77 (0.13–23.39) |
| Joint contractures | 24 (36.9%) | 4 (23.5%) | 0.395 | 1.90 (0.55–6.50) | 14 (30.4%) | 2 (15.4%) | 0.481 | 2.40 (0.47–12.30) | 10 (52.6%) | 2 (50.0%) | 0.999 | 1.11 (0.12–9.60) |
| Raynaud’s phenomenon | 63 (96.9%) | 17 (100.0%) | 0.999 | - | 44 (95.7%) | 13 (100.0%) | 0.999 | 1.29 (1.12–1.49) | 19 (100.0%) | 4 (100.0%) | - | - |
| Digital ulcerations | 25 (38.5%) | 2 (11.8%) | 0.044 | 4.68 (1.002–22.25) | 16 (34.8%) | 1 (7.7%) | 0.084 | 6.40 (0.76–53.76) | 9 (47.4%) | 1 (25.0%) | 0.604 | 2.70 (0.23–30.84) |
| HAQ > 1.5 | 34 (52.3%) | 2 (11.8%) | 0.003 | 8.22 (1.74–38.89) | 21 (45.7%) | 1 (7.7%) | 0.020 | 10.08 (1.20–84.05) | 13 (68.4%) | 1 (25.0%) | 0.260 | 6.50 (0.55–76.17) |
| Muscle weakness | 4 (6.2%) | 1 (5.9%) | 0.999 | 1.04 (0.11–10.04) | 2 (4.3%) | 1 (7.7%) | 0.533 | 0.54 (0.04–6.53) | 2 (10.5%) | - | 0.999 | - |
| Lung fibrosis | 35 (53.8%) | 7 (41.2%) | 0.420 | 1.66 (0.56–4.91) | 22 (47.8%) | 5 (38.5%) | 0.754 | 1.46 (0.41–5.16) | 13 (68.4%) | 2 (50.0%) | 0.589 | 2.16 (0.24–19.27) |
| Increased systolic lung arterial pressure | 16 (24.6%) | 1 (5.9%) | 0.107 | 5.22 (0.64–42.56) | 11 (23.9%) | - | 0.100 | - | 5 (26.3%) | 1 (25.0%) | 0.999 | 1.07 (0.08–12.83) |
| Renal crisis | 8 (12.3%) | - | 0.195 | - | 6 (13%) | - | 0.322 | - | 2 (10.5%) | - | 0.999 | - |
| Positive antinuclear antibodies | 50 (78.1%) | 13 (76.5%) | 0.999 | 1.09 (0.30–3.90) | 33 (73.3%) | 10 (76.9%) | 0.999 | 0.82 (0.19–3.51) | 17 (89.5%) | 3 (75.0%) | 0.453 | 2.83 (0.19–41.99) |
| Positive antitopoisomerase-1 antibody | 13 (20.0%) | 1 (5.9%) | 0.280 | 4.00 (0.48–32.98) | 3 (6.5%) | - | 0.999 | - | 10 (52.6%) | 1 (25.0%) | 0.590 | 3.33 (0.29–38.08) |
| Positive anticentromeric antibodies | 16 (25.8%) | 7 (43.8%) | 0.219 | 0.44 (0.14–1.39) | 14 (31.8%) | 6 (50.0%) | 0.313 | 0.46 (0.12–1.70) | 2 (11.1%) | 1 (25.0%) | 0.470 | 0.37 (0.02–5.57) |
| Elevated value of creatine phosphokinase (CPK) | 3 (4.6%) | - | 0.999 | - | 2 (4.3%) | - | 0.999 | - | 1 (5.3%) | - | 0.999 | - |
| Increased acute phase reactants | 25 (38.5%) | 5 (29.4%) | 0.580 | 1.50 (0.47–4.76) | 15 (32.6%) | 4 (30.8%) | 0.999 | 1.08 (0.28–4.11) | 10 (52.6%) | 1 (25.0%) | 0.590 | 3.33 (0.29–38.08) |
| Proteinuria | - | - | 0.999 | - | - | - | 0.999 | - | - | - | 0.999 | - |
Publisher’s Note: MDPI stays neutral with regard to jurisdictional claims in published maps and institutional affiliations. |
© 2022 by the authors. Licensee MDPI, Basel, Switzerland. This article is an open access article distributed under the terms and conditions of the Creative Commons Attribution (CC BY) license (https://creativecommons.org/licenses/by/4.0/).
Share and Cite
Stamenkovic, B.; Stojanovic, S.; Zivkovic, V.; Djordjevic, D.; Bojanovic, M.; Stankovic, A.; Rancic, N.; Damjanov, N.; Matucci Cerinic, M. Low-Frequency Magnetic Resonance Imaging Identifies Hand Joint Subclinical Inflammation in Systemic Sclerosis. Diagnostics 2022, 12, 2165. https://doi.org/10.3390/diagnostics12092165
Stamenkovic B, Stojanovic S, Zivkovic V, Djordjevic D, Bojanovic M, Stankovic A, Rancic N, Damjanov N, Matucci Cerinic M. Low-Frequency Magnetic Resonance Imaging Identifies Hand Joint Subclinical Inflammation in Systemic Sclerosis. Diagnostics. 2022; 12(9):2165. https://doi.org/10.3390/diagnostics12092165
Chicago/Turabian StyleStamenkovic, Bojana, Sonja Stojanovic, Valentina Zivkovic, Dragan Djordjevic, Mila Bojanovic, Aleksandra Stankovic, Natasa Rancic, Nemanja Damjanov, and Marco Matucci Cerinic. 2022. "Low-Frequency Magnetic Resonance Imaging Identifies Hand Joint Subclinical Inflammation in Systemic Sclerosis" Diagnostics 12, no. 9: 2165. https://doi.org/10.3390/diagnostics12092165
APA StyleStamenkovic, B., Stojanovic, S., Zivkovic, V., Djordjevic, D., Bojanovic, M., Stankovic, A., Rancic, N., Damjanov, N., & Matucci Cerinic, M. (2022). Low-Frequency Magnetic Resonance Imaging Identifies Hand Joint Subclinical Inflammation in Systemic Sclerosis. Diagnostics, 12(9), 2165. https://doi.org/10.3390/diagnostics12092165

