The Role of Chest CT Radiomics in Diagnosis of Lung Cancer or Tuberculosis: A Pilot Study
Abstract
:1. Introduction
2. Materials and Methods
2.1. Patient Population and Study Design
2.2. CT Acquisition Technique
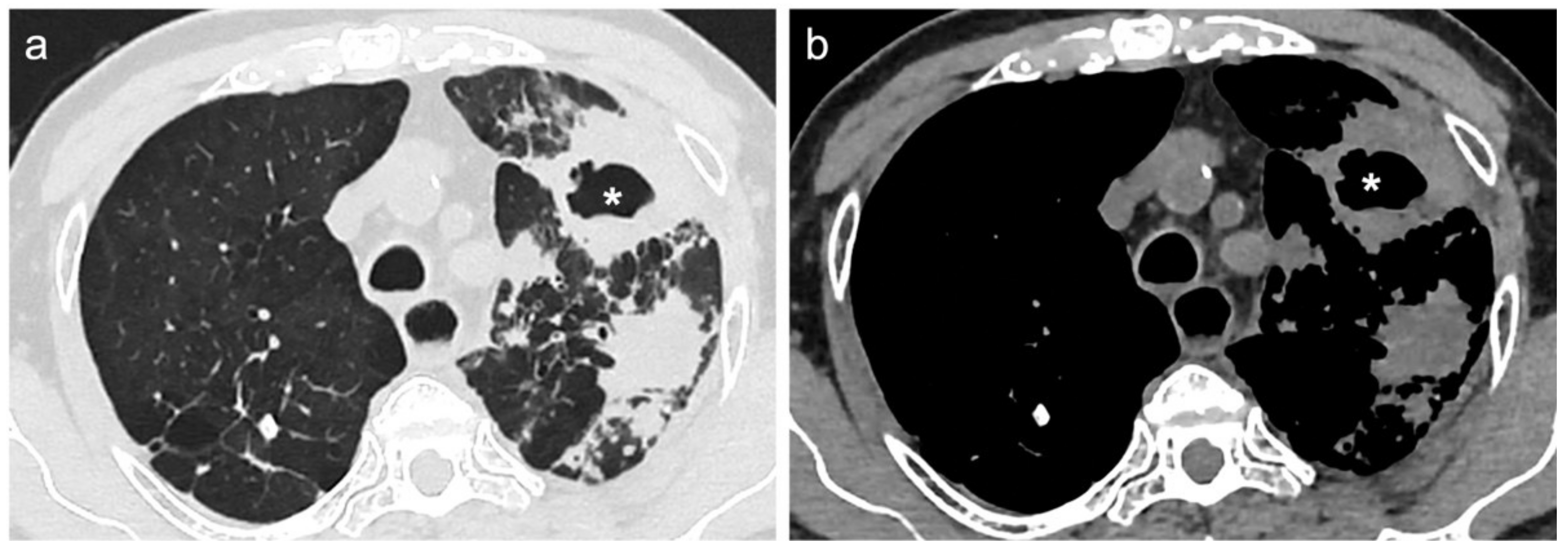
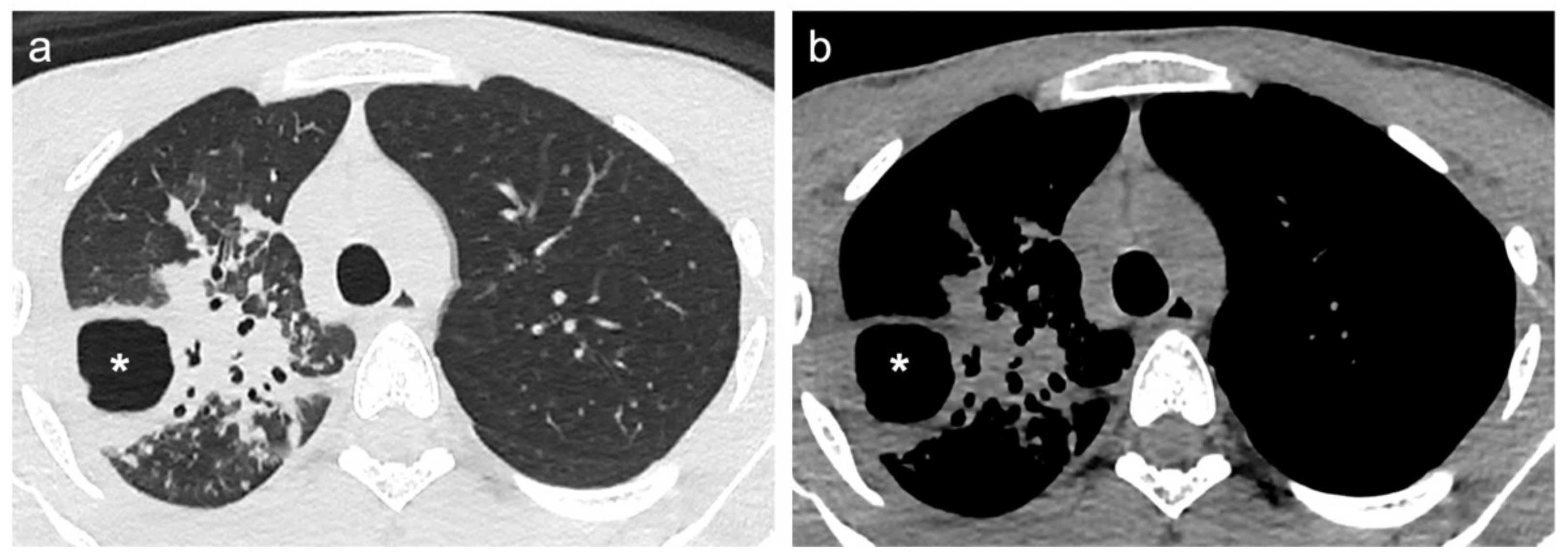
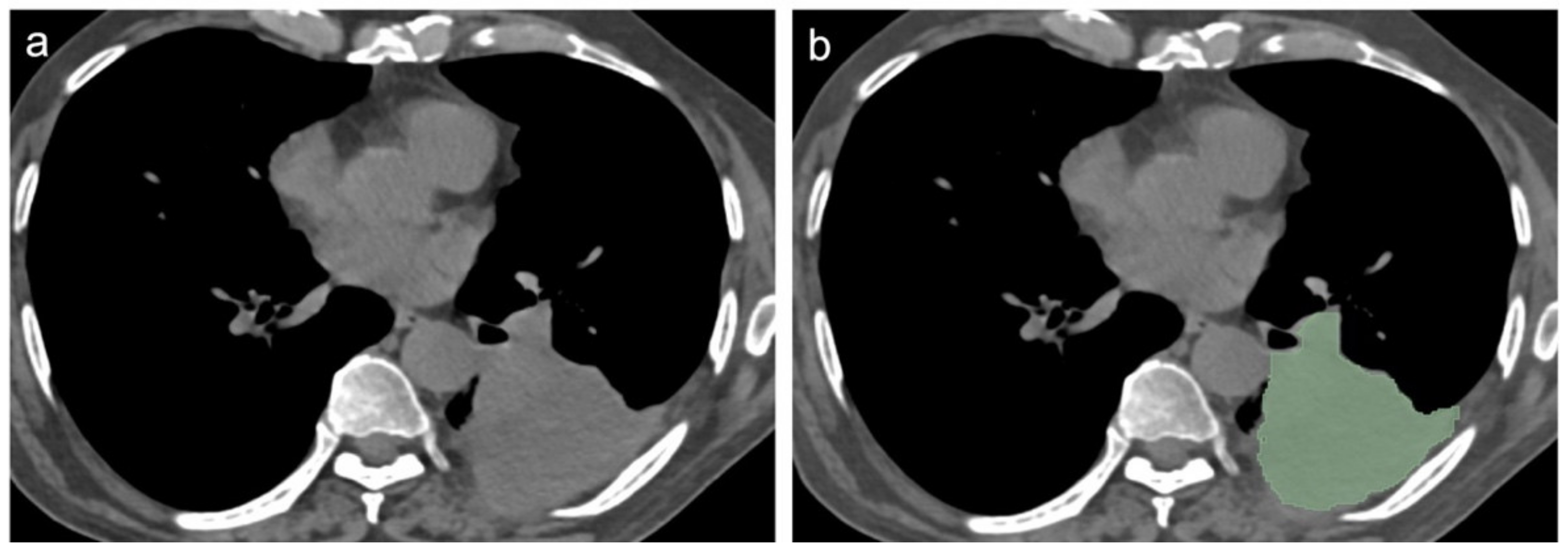
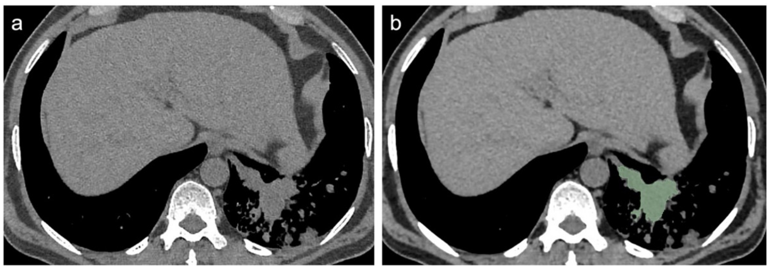
2.3. CT Scans Evaluation and Segmentation Analysis
2.4. Radiomic Features Extraction
2.5. Statistical Analysis
3. Results
3.1. Study Population and Patients Data
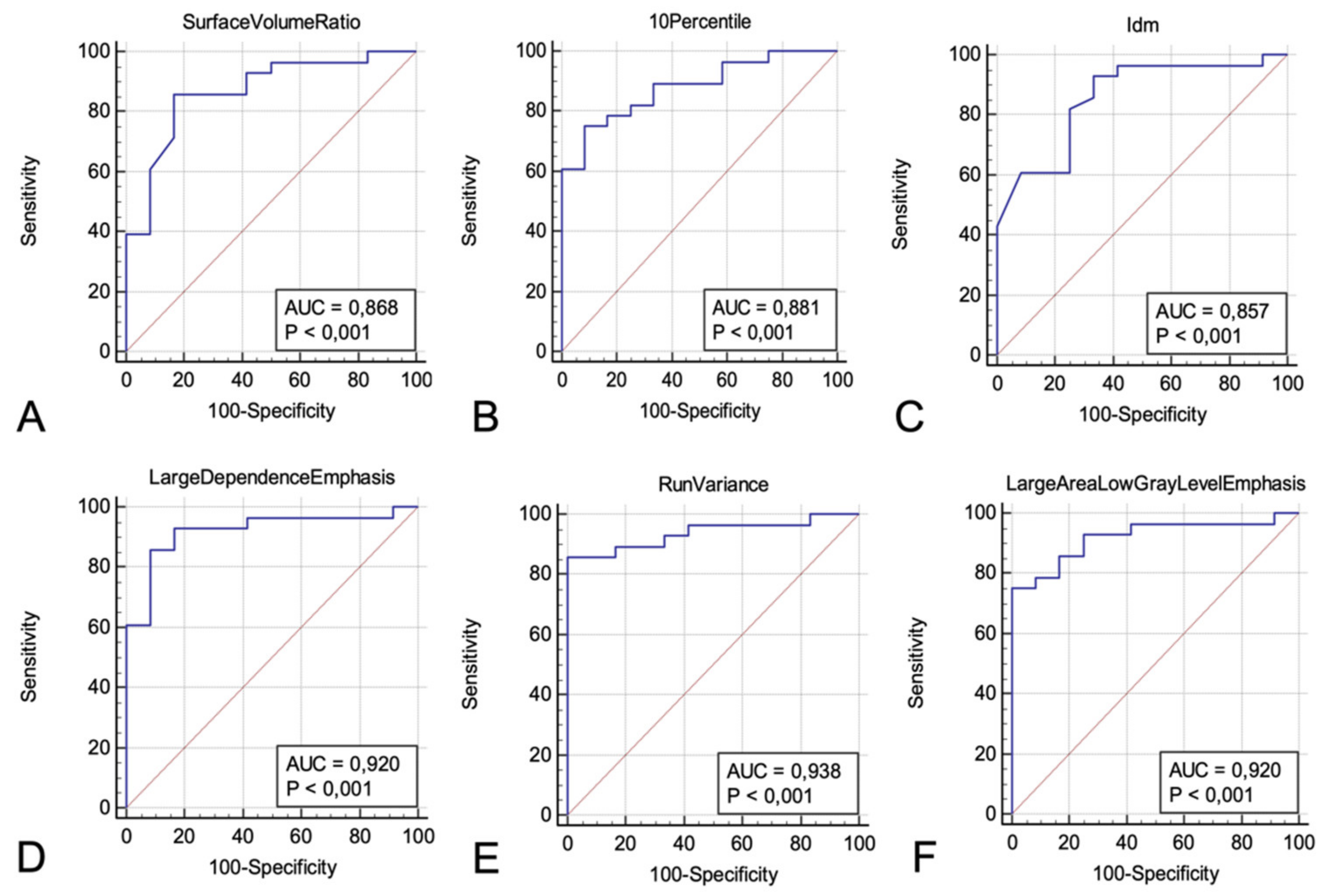
3.2. 3D Segmentation and Radiomic Features
4. Discussion
Author Contributions
Funding
Institutional Review Board Statement
Informed Consent Statement
Data Availability Statement
Conflicts of Interest
References
- Floyd, K.; Glaziou, P.; Zumla, A.; Raviglione, M. The global tuberculosis epidemic and progress in care, prevention, and research: An overview in year 3 of the End TB era. Lancet Respir. Med. 2018, 6, 299–314. [Google Scholar] [CrossRef]
- Sung, H.; Ferlay, J.; Siegel, R.L.; Laversanne, M.; Soerjomataram, I.; Jemal, A.; Bray, F. Global Cancer Statistics 2020: GLOBOCAN Estimates of Incidence and Mortality Worldwide for 36 Cancers in 185 Countries. CA Cancer J. Clin. 2021, 71, 209–249. [Google Scholar] [CrossRef] [PubMed]
- Roy, D.; Ehtesham, N.Z.; Hasnain, S.E. Is Mycobacterium tuberculosis carcinogenic to humans? FASEB J. 2021, 35, e21853. [Google Scholar] [CrossRef] [PubMed]
- Nalbandian, A.; Yan, B.S.; Pichugin, A.; Bronson, R.T.; Kramnik, I. Lung carcinogenesis induced by chronic tuberculosis infection: The experimental model and genetic control. Oncogene 2009, 28, 1928–1938. [Google Scholar] [CrossRef] [Green Version]
- Ho, J.C.; Leung, C.C. Management of co-existent tuberculosis and lung cancer. Lung Cancer 2018, 122, 83–87. [Google Scholar] [CrossRef]
- Zheng, L.; Yin, J.; Wang, S.; Jiang, H.; Hu, P.; Kang, Z.; Lv, P.; Li, W.; Cai, C. Associated factors of co-existent pulmonary tuberculosis and lung cancer: A case-control study. Eur. J. Clin. Investig. 2021, 51, e13432. [Google Scholar] [CrossRef]
- Keikha, M.; Esfahani, B.N. The Relationship between Tuberculosis and Lung Cancer. Adv. Biomed. Res. 2018, 7, 58. [Google Scholar] [CrossRef]
- Dobler, C.C. Biologic Agents and Tuberculosis. Microbiol. Spectr. 2016, 4, 623–635. [Google Scholar] [CrossRef]
- Hasan, T.; Au, E.; Chen, S.; Tong, A.; Wong, G. Screening and prevention for latent tuberculosis in immunosuppressed patients at risk for tuberculosis: A systematic review of clinical practice guidelines. BMJ Open 2018, 8, e022445. [Google Scholar] [CrossRef]
- Jain, A.; Lodha, R. Management of Latent Tuberculosis Infection in Children from Developing Countries. Indian J. Pediatr. 2019, 86, 740–745. [Google Scholar] [CrossRef]
- Shiferaw, M.B.; Zegeye, A.M. Delay in tuberculosis diagnosis and treatment in Amhara state, Ethiopia. BMC Health Serv. Res. 2019, 19, 232. [Google Scholar] [CrossRef]
- Getnet, F.; Demissie, M.; Assefa, N.; Mengistie, B.; Worku, A. Delay in diagnosis of pulmonary tuberculosis in low-and middle-income settings: Systematic review and meta-analysis. BMC Pulm. Med. 2017, 17, 202. [Google Scholar] [CrossRef]
- Snow, K.J.; Cruz, A.T.; Seddon, J.A.; Ferrand, R.A.; Chiang, S.S.; Hughes, J.A.; Kampmann, B.; Graham, S.M.; Dodd, P.J.; Houben, R.M.; et al. Adolescent tuberculosis. Lancet Child Adolesc. Health 2020, 4, 68–79. [Google Scholar] [CrossRef]
- Skoura, E.; Zumla, A.; Bomanji, J. Imaging in tuberculosis. Int. J. Infect. Dis. 2015, 32, 87–93. [Google Scholar] [CrossRef] [Green Version]
- Kim, H.; Kim, H.Y.; Goo, J.M.; Kim, Y. Lung Cancer CT Screening and Lung-RADS in a Tuberculosis-endemic Country: The Korean Lung Cancer Screening Project (K-LUCAS). Radiology 2020, 296, 181–188. [Google Scholar] [CrossRef]
- Cicenas, S.; Vencevicius, V. Lung cancer in patients with tuberculosis. World J. Surg. Oncol. 2007, 5, 22. [Google Scholar] [CrossRef] [Green Version]
- Saleemi, S.A.; Alothman, B.; Alamer, M.; Alsayari, S.; Almogbel, A.; Mohammed, S. Tuberculosis presenting as metastatic lung cancer. Int. J. Mycobacteriol. 2021, 10, 327–329. [Google Scholar]
- Van Griethuysen, J.J.M.; Fedorov, A.; Parmar, C.; Hosny, A.; Aucoin, N.; Narayan, V.; Beets-Tan, R.G.H.; Fillion-Robin, J.C.; Pieper, S.; Aerts, H. Computational Radiomics System to Decode the Radiographic Phenotype. Cancer Res. 2017, 77, e104–e107. [Google Scholar] [CrossRef] [Green Version]
- Caruso, D.; Zerunian, M.; Pucciarelli, F.; Bracci, B.; Polici, M.; D’Arrigo, B.; Polidori, T.; Guido, G.; Barbato, L.; Polverari, D.; et al. Influence of Adaptive Statistical Iterative Reconstructions on CT Radiomic Features in Oncologic Patients. Diagnostics 2021, 11, 1000. [Google Scholar] [CrossRef]
- Caruso, D.; Polici, M.; Zerunian, M.; Pucciarelli, F.; Guido, G.; Polidori, T.; Landolfi, F.; Nicolai, M.; Lucertini, E.; Tarallo, M.; et al. Radiomics in Oncology, Part 1: Technical Principles and Gastrointestinal Application in CT and MRI. Cancers 2021, 13, 2522. [Google Scholar] [CrossRef]
- Caruso, D.; Polici, M.; Zerunian, M.; Pucciarelli, F.; Guido, G.; Polidori, T.; Landolfi, F.; Nicolai, M.; Lucertini, E.; Tarallo, M.; et al. Radiomics in Oncology, Part 2: Thoracic, Genito-Urinary, Breast, Neurological, Hematologic and Musculoskeletal Applications. Cancers 2021, 13, 2681. [Google Scholar] [CrossRef] [PubMed]
- Zerunian, M.; Caruso, D.; Zucchelli, A.; Polici, M.; Capalbo, C.; Filetti, M.; Mazzuca, F.; Marchetti, P.; Laghi, A. CT based radiomic approach on first line pembrolizumab in lung cancer. Sci. Rep. 2021, 11, 6633. [Google Scholar] [CrossRef]
- Caruso, D.; Zerunian, M.; Daffina, J.; Polici, M.; Polidori, T.; Tipaldi, M.A.; Ronconi, E.; Pucciarelli, F.; Lucertini, E.; Rossi, M.; et al. Radiomics and functional imaging in lung cancer: The importance of radiological heterogeneity beyond FDG PET/CT and lung biopsy. Eur. J. Radiol. 2021, 142, 109874. [Google Scholar] [CrossRef] [PubMed]
- Xing, Z.; Ding, W.; Zhang, S.; Zhong, L.; Wang, L.; Wang, J.; Wang, K.; Xie, Y.; Zhao, X.; Li, N.; et al. Machine Learning-Based Differentiation of Nontuberculous Mycobacteria Lung Disease and Pulmonary Tuberculosis Using CT Images. Biomed. Res. Int. 2020, 2020, 6287545. [Google Scholar] [CrossRef] [PubMed]
- Cui, E.N.; Yu, T.; Shang, S.J.; Wang, X.Y.; Jin, Y.L.; Dong, Y.; Zhao, H.; Luo, Y.H.; Jiang, X.R. Radiomics model for distinguishing tuberculosis and lung cancer on computed tomography scans. World J. Clin. Cases 2020, 8, 5203–5212. [Google Scholar] [CrossRef] [PubMed]
- Feng, B.; Chen, X.; Chen, Y.; Liu, K.; Li, K.; Liu, X.; Yao, N.; Li, Z.; Li, R.; Zhang, C.; et al. Radiomics nomogram for preoperative differentiation of lung tuberculoma from adenocarcinoma in solitary pulmonary solid nodule. Eur. J. Radiol. 2020, 128, 109022. [Google Scholar] [CrossRef] [PubMed]
- Holm, S. A simple sequentially rejective multiple test procedure. Scand. J. Stat. 1979, 6, 65–70. [Google Scholar]
- Dennie, C.; Thornhill, R.; Sethi-Virmani, V.; Souza, C.A.; Bayanati, H.; Gupta, A.; Maziak, D. Role of quantitative computed tomography texture analysis in the differentiation of primary lung cancer and granulomatous nodules. Quant. Imaging Med. Surg. 2016, 6, 6–15. [Google Scholar] [CrossRef] [PubMed]
- Feng, B.; Chen, X.; Chen, Y.; Lu, S.; Liu, K.; Li, K.; Liu, Z.; Hao, Y.; Li, Z.; Zhu, Z.; et al. Solitary solid pulmonary nodules: A CT-based deep learning nomogram helps differentiate tuberculosis granulomas from lung adenocarcinomas. Eur. Radiol. 2020, 30, 6497–6507. [Google Scholar] [CrossRef]






| Patients Data | Total Patients (n = 40) | LC Patients (n = 28) | TB Patients (n = 12) | p Values |
|---|---|---|---|---|
| Mean age | 59 ± 13 | 61 ± 8 | 55 ± 20 | <0.001 |
| Years (range) | 21–82 | 52–77 | 21–82 | |
| Male | 31 (77%) | 23 (82%) | 8 (67%) | 0.289 |
| Female | 9 (23%) | 5 (21%) | 4 (33%) | |
| Smokers | 19 (48%) | 16 (57%) | 3 (25%) | |
| Non-smokers | 30 (52%) | 12 (43%) | 9 (75%) | 0.065 |
| Comorbidities | 29 (73%) | 21 (75%) | 8 (67%) | 0.593 |
| Blood test data | ||||
| Normal WBC count | 32 (80%) | 25 (89%) | 7 (58%) | 0.019 |
| Reduced WBC count | 3 (7%) | 2 (7%) | 1 (8%) | |
| Increased WBC count | 5 (13%) | 1 (3%) | 4 (33%) | |
| Normal ESR | 16 (40%) | 14 (50%) | 2 (17%) | 0.052 |
| Increased ESR | 24 (60%) | 14 (50%) | 10 (83%) | |
| Normal HB | 11 (28%) | 21 (75%) | 8 (67%) | |
| Reduces HB | 29 (72%) | 7 (25%) | 4 (33%) | |
| Signs and symptoms | ||||
| Dyspnea | 7 (18%) | 6 (21%) | 1 (8%) | 0.445 |
| Cough | 16 (40%) | 13 (46%) | 3 (25%) | 0.291 |
| Fever | 11 (28%) | 7 (25%) | 4(33%) | 0.298 |
| Weight-loss | 9 (23%) | 4 (14%) | 5 (42%) | 0.431 |
| Asymptomatic | 7 (18%) | 4 (14%) | 3 (25%) | 0.609 |
| RADIOMIC FEATURES | LC Patients | TB Patients | |
|---|---|---|---|
| SHAPE | Mean ± SD | Mean ± SD | p Value * |
| Surface Volume Ratio | 0.19 ± 0.07 | 0.40 ± 0.29 | 0.0003 |
| FIRST ORDER | |||
| 10Percentile | −17.00 ± 98.34 | −272.02 ± 365.81 | 0.0002 |
| Mean | 21.39 ± 28.18 | −41.16 ± 77.67 | 0.0003 |
| GLCM | |||
| Difference Average | 0.35 ± 0.41 | 1.31± 0.97 | 0.0004 |
| Idm | 0.90 ± 0.08 | 0.75 ± 0.11 | 0.0004 |
| GLDM | |||
| Large Dependence Emphasis | 412.52 ± 99.93 | 217.46 ± 101.43 | <0.0001 |
| Small Dependence Emphasis | 0.05 ± 0.03 | 0.13 ± 0.05 | <0.0001 |
| GLRLM | |||
| Long Run Emphasis | 26.40 ± 17.96 | 6.57 ± 3.61 | <0.0001 |
| Run Length Non Uniformity Normalized | 0.26 ± 0.11 | 0.47 ± 0.15 | <0.0001 |
| Run Percentage | 0.32 ± 0.12 | 0.57 ± 0.15 | <0.0001 |
| Run Variance | 11.48 ± 7.45 | 2.71 ± 1.77 | <0.0001 |
| Short Run Emphasis | 0.50 ± 0.12 | 0.70 ± 0.11 | <0.0001 |
| GLSZM | |||
| Large Area Emphasis | 101,975.94 ± 128,709.67 | 12,348.75 ± 14,796.78 | 0.0002 |
| Large Area Low Gray Level Emphasis | 5224.23 ± 21,362.92 | 58.69 ± 53.66 | <0.0001 |
| Zone Percentage | 0.05 ± 0.04 | 0.15 ± 0.08 | <0.0001 |
| Zone Variance | 100,830.32 ± 127,515.59 | 12,256.00 ± 14,766.60 | 0.0002 |
Publisher’s Note: MDPI stays neutral with regard to jurisdictional claims in published maps and institutional affiliations. |
© 2022 by the authors. Licensee MDPI, Basel, Switzerland. This article is an open access article distributed under the terms and conditions of the Creative Commons Attribution (CC BY) license (https://creativecommons.org/licenses/by/4.0/).
Share and Cite
Thattaamuriyil Padmakumari, L.; Guido, G.; Caruso, D.; Nacci, I.; Del Gaudio, A.; Zerunian, M.; Polici, M.; Gopalakrishnan, R.; Sayed Mohamed, A.K.; De Santis, D.; et al. The Role of Chest CT Radiomics in Diagnosis of Lung Cancer or Tuberculosis: A Pilot Study. Diagnostics 2022, 12, 739. https://doi.org/10.3390/diagnostics12030739
Thattaamuriyil Padmakumari L, Guido G, Caruso D, Nacci I, Del Gaudio A, Zerunian M, Polici M, Gopalakrishnan R, Sayed Mohamed AK, De Santis D, et al. The Role of Chest CT Radiomics in Diagnosis of Lung Cancer or Tuberculosis: A Pilot Study. Diagnostics. 2022; 12(3):739. https://doi.org/10.3390/diagnostics12030739
Chicago/Turabian StyleThattaamuriyil Padmakumari, Lekshmi, Gisella Guido, Damiano Caruso, Ilaria Nacci, Antonella Del Gaudio, Marta Zerunian, Michela Polici, Renuka Gopalakrishnan, Aziz Kallikunnel Sayed Mohamed, Domenico De Santis, and et al. 2022. "The Role of Chest CT Radiomics in Diagnosis of Lung Cancer or Tuberculosis: A Pilot Study" Diagnostics 12, no. 3: 739. https://doi.org/10.3390/diagnostics12030739
APA StyleThattaamuriyil Padmakumari, L., Guido, G., Caruso, D., Nacci, I., Del Gaudio, A., Zerunian, M., Polici, M., Gopalakrishnan, R., Sayed Mohamed, A. K., De Santis, D., Laghi, A., Cioni, D., & Neri, E. (2022). The Role of Chest CT Radiomics in Diagnosis of Lung Cancer or Tuberculosis: A Pilot Study. Diagnostics, 12(3), 739. https://doi.org/10.3390/diagnostics12030739

