Dual-Energy CT Pulmonary Angiography for the Assessment of Surgical Accessibility in Patients with Chronic Thromboembolic Pulmonary Hypertension
Abstract
:1. Introduction
2. Methods
2.1. CTPA Acquisition and Image Reconstruction
2.2. Data Collection
2.3. Analysis of Pulmonary Arteries
2.4. Analysis of Perfusion Defects
2.5. Statistical Analysis
3. Results
3.1. Patient Characteristics
3.2. CT Categorization of Thromboembolic Level of Disease
3.2.1. Interobserver Comparison
3.2.2. Consensus Classification
3.2.3. Assessment of Dual-Energy Iodine Maps
3.3. Hemodynamic Changes after Surgery
4. Discussion
5. Limitations
6. Conclusions
Author Contributions
Funding
Institutional Review Board Statement
Informed Consent Statement
Data Availability Statement
Conflicts of Interest
Abbreviations
References
- Kim, N.H.; Delcroix, M.; Jais, X.; Madani, M.M.; Matsubara, H.; Mayer, E.; Ogo, T.; Tapson, V.F.; Ghofrani, H.A.; Jenkins, D.P. Chronic thromboembolic pulmonary hypertension. Eur. Respir. J. 2019, 53, 1801915. [Google Scholar] [CrossRef] [PubMed]
- Simonneau, G.; Torbicki, A.; Dorfmuller, P.; Kim, N. The pathophysiology of chronic thromboembolic pulmonary hypertension. Eur. Respir. Rev. 2017, 26, 160112. [Google Scholar] [CrossRef] [PubMed] [Green Version]
- Held, M.; Hesse, A.; Gott, F.; Holl, R.; Hubner, G.; Kolb, P.; Langen, H.J.; Romen, T.; Walter, F.; Schafers, H.J.; et al. A symptom-related monitoring program following pulmonary embolism for the early detection of CTEPH: A prospective observational registry study. BMC Pulm. Med. 2014, 14, 141. [Google Scholar] [CrossRef] [PubMed]
- Poli, D.; Grifoni, E.; Antonucci, E.; Arcangeli, C.; Prisco, D.; Abbate, R.; Miniati, M. Incidence of recurrent venous thromboembolism and of chronic thromboembolic pulmonary hypertension in patients after a first episode of pulmonary embolism. J. Thromb. Thrombolysis 2010, 30, 294–299. [Google Scholar] [CrossRef] [PubMed]
- Delcroix, M.; Lang, I.; Pepke-Zaba, J.; Jansa, P.; D’Armini, A.M.; Snijder, R.; Bresser, P.; Torbicki, A.; Mellemkjaer, S.; Lewczuk, J.; et al. Long-Term Outcome of Patients With Chronic Thromboembolic Pulmonary Hypertension: Results From an International Prospective Registry. Circulation 2016, 133, 859–871. [Google Scholar] [CrossRef]
- Mueller-Mottet, S.; Stricker, H.; Domenighetti, G.; Azzola, A.; Geiser, T.; Schwerzmann, M.; Weilenmann, D.; Schoch, O.; Fellrath, J.M.; Rochat, T.; et al. Long-term data from the Swiss pulmonary hypertension registry. Respiration 2015, 89, 127–140. [Google Scholar] [CrossRef] [Green Version]
- Taniguchi, Y.; Jais, X.; Jevnikar, M.; Boucly, A.; Weatherald, J.; Brenot, P.; Planche, O.; Parent, F.; Savale, L.; Fadel, E.; et al. Predictors of survival in patients with not-operated chronic thromboembolic pulmonary hypertension. J. Heart Lung Transplant. 2019, 38, 833–842. [Google Scholar] [CrossRef] [Green Version]
- Jenkins, D.; Madani, M.; Fadel, E.; D’Armini, A.M.; Mayer, E. Pulmonary endarterectomy in the management of chronic thromboembolic pulmonary hypertension. Eur. Respir. Rev. 2017, 26, 160111. [Google Scholar] [CrossRef] [PubMed] [Green Version]
- Madani, M.; Mayer, E.; Fadel, E.; Jenkins, D.P. Pulmonary Endarterectomy. Patient Selection, Technical Challenges, and Outcomes. Ann. Am. Thorac. Soc. 2016, 13 (Suppl. S3), S240–S247. [Google Scholar] [CrossRef]
- Thistlethwaite, P.A.; Mo, M.; Madani, M.M.; Deutsch, R.; Blanchard, D.; Kapelanski, D.P.; Jamieson, S.W. Operative classification of thromboembolic disease determines outcome after pulmonary endarterectomy. J. Thorac. Cardiovasc. Surg. 2002, 124, 1203–1211. [Google Scholar] [CrossRef] [Green Version]
- Manczak, R.; Kurzyna, M.; Pilka, M.; Darocha, S.; Florczyk, M.; Wieteska-Milek, M.; Manczak, M.; Torbicki, A. Prediction of Prognostic Hemodynamic Indices in Pulmonary Hypertension Using Non-Invasive Parameters. Diagnostics 2020, 10, 644. [Google Scholar] [CrossRef] [PubMed]
- Remy-Jardin, M.; Ryerson, C.J.; Schiebler, M.L.; Leung, A.N.C.; Wild, J.M.; Hoeper, M.M.; Alderson, P.O.; Goodman, L.R.; Mayo, J.; Haramati, L.B.; et al. Imaging of Pulmonary Hypertension in Adults: A Position Paper from the Fleischner Society. Radiology 2021, 298, 531–549. [Google Scholar] [CrossRef] [PubMed]
- Eberhard, M.; Mastalerz, M.; Pavicevic, J.; Frauenfelder, T.; Nietlispach, F.; Maisano, F.; Tanner, F.C.; Nguyen-Kim, T.D.L. Value of CT signs and measurements as a predictor of pulmonary hypertension and mortality in symptomatic severe aortic valve stenosis. Int. J. Cardiovasc. Imaging 2017, 33, 1637–1651. [Google Scholar] [CrossRef] [PubMed]
- Perez Nunez, M.; Alonso Charterina, S.; Perez-Olivares, C.; Revilla Ostolaza, Y.; Morales Ruiz, R.; Enguita Valls, A.B.; Tenorio, J.A.; Gallego Zazo, N.; De Pablo Gafas, A.; Lapunzina, P.; et al. Radiological Findings in Multidetector Computed Tomography (MDCT) of Hereditary and Sporadic Pulmonary Veno-Occlusive Disease: Certainties and Uncertainties. Diagnostics 2021, 11, 141. [Google Scholar] [CrossRef] [PubMed]
- Ende-Verhaar, Y.M.; Meijboom, L.J.; Kroft, L.J.M.; Beenen, L.F.M.; Boon, G.; Middeldorp, S.; Nossent, E.J.; Symersky, P.; Huisman, M.V.; Bogaard, H.J.; et al. Usefulness of standard computed tomography pulmonary angiography performed for acute pulmonary embolism for identification of chronic thromboembolic pulmonary hypertension: Results of the InShape III study. J. Heart Lung Transplant. 2019, 38, 731–738. [Google Scholar] [CrossRef] [PubMed]
- Dong, C.; Zhou, M.; Liu, D.; Long, X.; Guo, T.; Kong, X. Diagnostic accuracy of computed tomography for chronic thromboembolic pulmonary hypertension: A systematic review and meta-analysis. PLoS ONE 2015, 10, e0126985. [Google Scholar] [CrossRef]
- Masy, M.; Giordano, J.; Petyt, G.; Hossein-Foucher, C.; Duhamel, A.; Kyheng, M.; De Groote, P.; Fertin, M.; Lamblin, N.; Bervar, J.F.; et al. Dual-energy CT (DECT) lung perfusion in pulmonary hypertension: Concordance rate with V/Q scintigraphy in diagnosing chronic thromboembolic pulmonary hypertension (CTEPH). Eur. Radiol. 2018, 28, 5100–5110. [Google Scholar] [CrossRef]
- Reichelt, A.; Hoeper, M.M.; Galanski, M.; Keberle, M. Chronic thromboembolic pulmonary hypertension: Evaluation with 64-detector row CT versus digital substraction angiography. Eur. J. Radiol. 2009, 71, 49–54. [Google Scholar] [CrossRef] [PubMed]
- Rodriguez Chaverri, A.; Revilla Ostolaza, Y.; Lopez-Gude, M.J.; Velazquez, M.T.; Ponz de Antonio, I.; Alonso Charterina, S.; Albarran Gonzalez-Trevilla, A.; Perez Nunez, M.; Perez Vela, J.L.; Morales Ruiz, R.; et al. Feasibility of a Noninvasive Operability Assessment in Chronic Thromboembolic Pulmonary Hypertension under Real-World Practice. Diagnostics 2020, 10, 855. [Google Scholar] [CrossRef]
- McInnis, M.C.; Wang, D.; Donahoe, L.; Granton, J.; Thenganatt, J.; Tan, K.; Kavanagh, J.; de Perrot, M. Importance of computed tomography in defining segmental disease in chronic thromboembolic pulmonary hypertension. ERJ Open Res. 2020, 6, 00461–02020. [Google Scholar] [CrossRef] [PubMed]
- Galie, N.; Humbert, M.; Vachiery, J.L.; Gibbs, S.; Lang, I.; Torbicki, A.; Simonneau, G.; Peacock, A.; Vonk Noordegraaf, A.; Beghetti, M.; et al. 2015 ESC/ERS Guidelines for the diagnosis and treatment of pulmonary hypertension: The Joint Task Force for the Diagnosis and Treatment of Pulmonary Hypertension of the European Society of Cardiology (ESC) and the European Respiratory Society (ERS): Endorsed by: Association for European Paediatric and Congenital Cardiology (AEPC), International Society for Heart and Lung Transplantation (ISHLT). Eur. Respir. J. 2015, 46, 903–975. [Google Scholar] [CrossRef] [PubMed]
- Braams, N.J.; Ruigrok, D.; Schokker, M.G.M.; Padervinskiene, L.; de Man, F.S.; Marcus, J.T.; Lely, R.J.; Beijk, M.A.M.; Klok, F.A.; Huisman, M.V.; et al. Pulmonary vascular imaging characteristics after pulmonary endarterectomy for chronic thromboembolic pulmonary hypertension. J. Heart Lung Transpl. 2020, 39, 248–256. [Google Scholar] [CrossRef] [PubMed]
- Dorfmuller, P.; Gunther, S.; Ghigna, M.R.; Thomas de Montpreville, V.; Boulate, D.; Paul, J.F.; Jais, X.; Decante, B.; Simonneau, G.; Dartevelle, P.; et al. Microvascular disease in chronic thromboembolic pulmonary hypertension: A role for pulmonary veins and systemic vasculature. Eur. Respir. J. 2014, 44, 1275–1288. [Google Scholar] [CrossRef] [PubMed] [Green Version]
- Wang, M.; Wu, D.; Ma, R.; Zhang, Z.; Zhang, H.; Han, K.; Xiong, C.; Wang, L.; Fang, W. Comparison of V/Q SPECT and CT Angiography for the Diagnosis of Chronic Thromboembolic Pulmonary Hypertension. Radiology 2020, 296, 420–429. [Google Scholar] [CrossRef] [PubMed]
- Tsutsumi, Y.; Iwano, S.; Okumura, N.; Adachi, S.; Abe, S.; Kondo, T.; Kato, K.; Naganawa, S. Assessment of Severity in Chronic Thromboembolic Pulmonary Hypertension by Quantitative Parameters of Dual-Energy Computed Tomography. J. Comput. Assist. Tomogr. 2020, 44, 578–585. [Google Scholar] [CrossRef] [PubMed]




| Female | 18 (42%) | |
| Age at diagnosis [years] | 57 ± 16 | |
| Height [cm] | 173 ± 9 | |
| Weight [m] | 82 ± 18 | |
| NYHA classification at diagnosis | I | 1 (2%) |
| II | 13 (30%) | |
| III | 25 (58%) | |
| IV | 4 (9%) | |
| Smoking status | Current | 7 (16%) |
| Former | 18 (42%) | |
| Never | 18 (42%) | |
| Pack years | 31 ± 24 | |
| Pulmonary artery pressure—systolic [mmHg] | 67 ± 16 | |
| Pulmonary artery pressure—mean [mmHg] | 42 ± 10 | |
| Pulmonary vascular resistance [Wood Units] | 6.4 ± 2.8 | |
| Cardiac Index [l/min] | 2.6 [2.2, 3.2] | |
| Right ventricular—right atrial (RV-RA) gradient [mmHg] | 59 [45, 70] | |
| Six-minute walking test—distance [m] | 423 ± 129 | |
| Radiological Consensus Classification (Level) | Surgical Classification (Level) | ||||
| 1 | 2 | 3 | 4 | ||
| 1 | 10 | 2 | 0 | 0 | |
| 2a | 4 | 10 | 9 | 0 | |
| 2b | 0 | 0 | 3 | 0 | |
| 3 | 0 | 0 | 4 | 1 | |
| Level of Disease Classification According to CT | ||||
|---|---|---|---|---|
| 1 (n = 12) | 2a (n = 23) | 2b/3 (n = 8) | p-Value | |
| Age (years) | 66 ± 11 * | 54 ± 17 | 47 ± 11 * | 0.018 |
| Male sex (%) | 9 (75%) | 12 (52%) | 4 (50%) | 0.38 |
| Six-minute walking test [m] | 377 ± 117 * | 412 ± 122 | 523 ± 128 * | 0.034 |
| Moderate or severe tricuspid regurgitation | 2 (16%) | 7 (30%) | 2 (25%) | 0.81 |
| Tricuspid regurgitation pressure gradient [mmHg] | 61 [42, 75] | 59 [38, 70] | 63 [47, 72] | 0.86 |
| LV ejection fraction [%] | 61 ± 4 | 60 ± 7 | 62 ± 4 | 0.77 |
| Systolic pulmonary artery pressure [mmHg] | 72 ± 13 | 66 ± 16 | 65 ± 18 | 0.55 |
| Mean pulmonary artery pressure [mmHg] | 46 ± 9 | 41 ± 10 | 38 ± 8 | 0.22 |
| Cardiac index [l/min] | 2.4 [1.9, 2.7] | 3.0 [2.3, 3.3] | 2.6 [2.1, 2.9] | 0.12 |
| Pulmonary vascular resistance [Wood Units] | 8.3 ± 3.3 * | 5.4 ± 2.0 * | 6.3 ± 2.7 | 0.045 |
| Thromboembolism Classification According to CT | ||||
|---|---|---|---|---|
| 1 (n = 12) | 2a (n = 23) | 2b and 3 (n = 8) | p-Value | |
| Tricuspid regurgitation pressure gradient [mmHg] | 31 ± 27 | 18 ± 24 | 25 ± 14 | 0.37 |
| Systolic pulmonary artery pressure [mmHg] | 35 ± 18 | 25 ± 19 | 15 ± 15 | 0.079 |
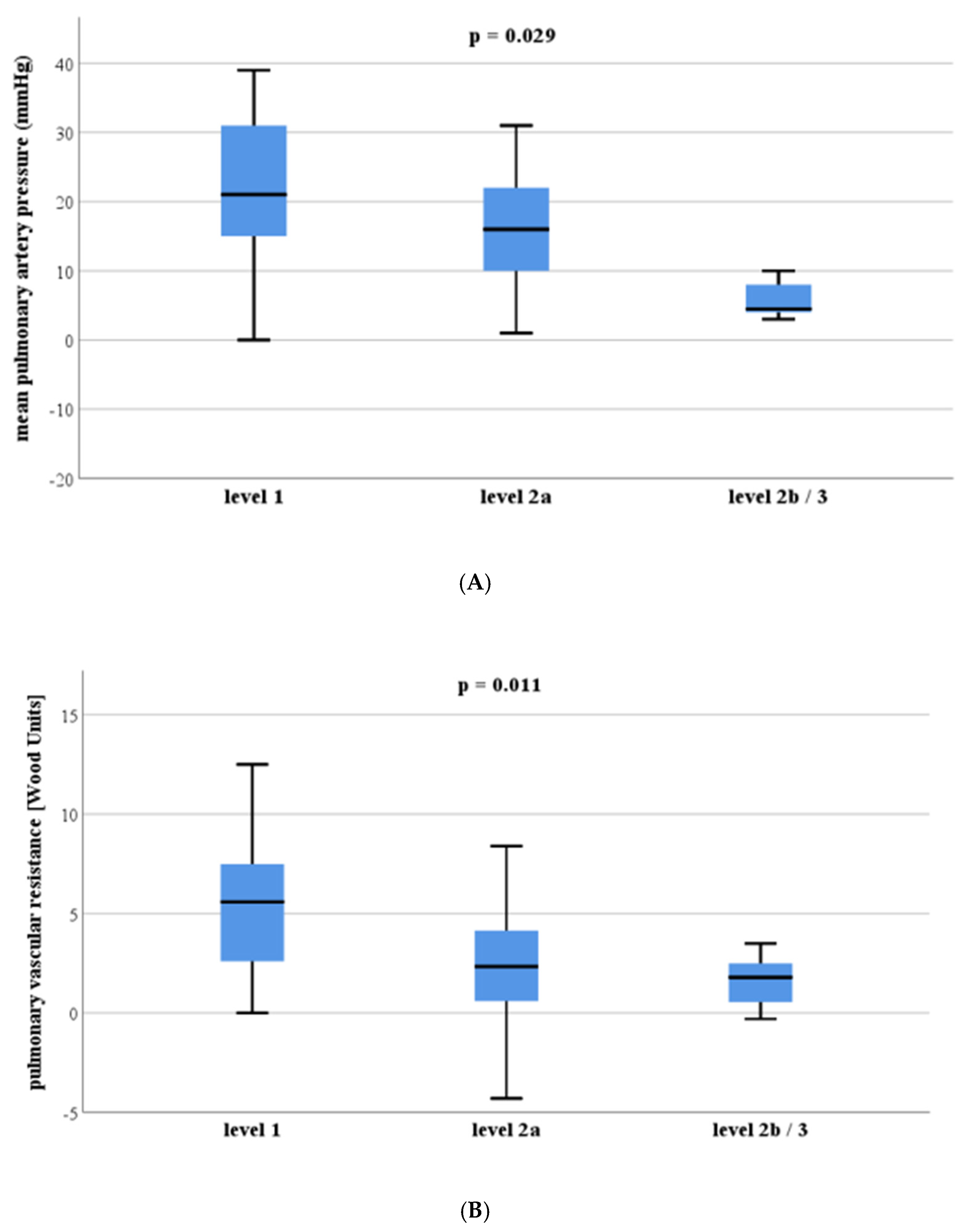
| Mean pulmonary artery pressure [mmHg] | 22 ± 12 a | 14 ± 11 | 8 ± 6 a | 0.029 |
| Pulmonary vascular resistance [Wood Units] | 5.3 ± 3.7 b,c | 2.1 ± 2.8 c | 1.6 ± 1.4 b | 0.011 |
Publisher’s Note: MDPI stays neutral with regard to jurisdictional claims in published maps and institutional affiliations. |
© 2022 by the authors. Licensee MDPI, Basel, Switzerland. This article is an open access article distributed under the terms and conditions of the Creative Commons Attribution (CC BY) license (https://creativecommons.org/licenses/by/4.0/).
Share and Cite
Eberhard, M.; McInnis, M.; de Perrot, M.; Lichtblau, M.; Ulrich, S.; Inci, I.; Opitz, I.; Frauenfelder, T. Dual-Energy CT Pulmonary Angiography for the Assessment of Surgical Accessibility in Patients with Chronic Thromboembolic Pulmonary Hypertension. Diagnostics 2022, 12, 228. https://doi.org/10.3390/diagnostics12020228
Eberhard M, McInnis M, de Perrot M, Lichtblau M, Ulrich S, Inci I, Opitz I, Frauenfelder T. Dual-Energy CT Pulmonary Angiography for the Assessment of Surgical Accessibility in Patients with Chronic Thromboembolic Pulmonary Hypertension. Diagnostics. 2022; 12(2):228. https://doi.org/10.3390/diagnostics12020228
Chicago/Turabian StyleEberhard, Matthias, Micheal McInnis, Marc de Perrot, Mona Lichtblau, Silvia Ulrich, Ilhan Inci, Isabelle Opitz, and Thomas Frauenfelder. 2022. "Dual-Energy CT Pulmonary Angiography for the Assessment of Surgical Accessibility in Patients with Chronic Thromboembolic Pulmonary Hypertension" Diagnostics 12, no. 2: 228. https://doi.org/10.3390/diagnostics12020228
APA StyleEberhard, M., McInnis, M., de Perrot, M., Lichtblau, M., Ulrich, S., Inci, I., Opitz, I., & Frauenfelder, T. (2022). Dual-Energy CT Pulmonary Angiography for the Assessment of Surgical Accessibility in Patients with Chronic Thromboembolic Pulmonary Hypertension. Diagnostics, 12(2), 228. https://doi.org/10.3390/diagnostics12020228

