The Investigation of Associations between TP53 rs1042522, BBC3 rs2032809, CCND1 rs9344, EGFR rs2227983 Polymorphisms and Breast Cancer Phenotype and Prognosis
Abstract
1. Introduction
2. Materials and Methods
2.1. Study Subject
2.2. DNA Extraction and Genotyping
2.3. Statistical Analysis
3. Results
3.1. Subjects Characteristics
3.2. The Distribution of TP53 rs1042522, BBC3 rs2032809, CCND1 rs9344 and EGFR rs2227983 Genotypes in Patients with Breast Cancer
3.3. The Associations between TP53 rs1042522, BBC3 rs2032809, CCND1 rs9344 and EGFR rs2227983 Polymorphisms and Clinicopathological Features
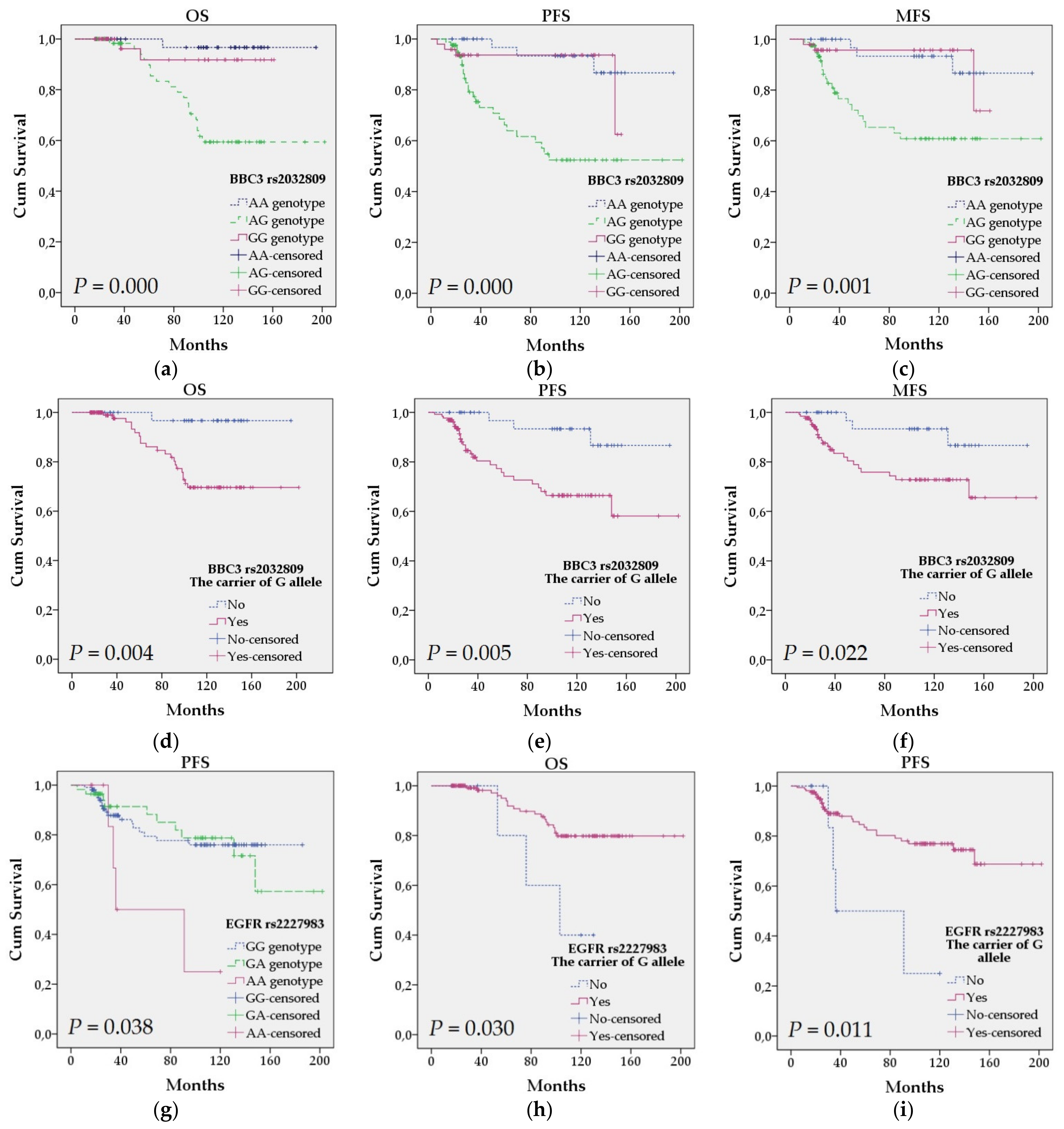
3.4. Survival Analysis
4. Discussion
5. Conclusions
Author Contributions
Funding
Institutional Review Board Statement
Informed Consent Statement
Data Availability Statement
Acknowledgments
Conflicts of Interest
References
- Sun, Y.S.; Zhao, Z.; Yang, Z.N.; Xu, F.; Lu, H.J.; Zhu, Z.Y.; Shi, W.; Jiang, J.; Yao, P.-P.; Zhu, H.-P. Risk factors and preventions of breast cancer. Int. J. Biol. Sci. 2017, 13, 1387–1397. [Google Scholar] [CrossRef] [PubMed]
- Dey, B.; Kumar, A. Review Article on Breast Cancer. Int. J. Pharm. Pharm. Res. 2018, 11, 284–298. [Google Scholar]
- Lee, H.B.; Han, W. Unique Features of Young Age Breast Cancer and Its Management. J. Breast Cancer 2014, 17, 301–307. [Google Scholar] [CrossRef] [PubMed]
- Wang, X.; Simpson, E.R.; Brown, K.A. p53: Protection against Tumor Growth beyond Effects on Cell Cycle and Apoptosis. Cancer Res. 2020, 75, 5001–5007. [Google Scholar] [CrossRef] [PubMed]
- Masuda, H.; Zhang, D.; Bartholomeusz, C.; Doihara, H.; Hortobagyi, G.N.; Ueno, N.T. Role of epidermal growth factor receptor in breast cancer. Breast Cancer Res. Treat. 2012, 136, 331–345. [Google Scholar] [CrossRef]
- Roberts, C.G.; Millar, E.K.A.; O’Toole, S.A.; McNeil, C.M.; Lehrbach, G.M.; Pinese, M.; Tobelmann, P.; McCloy, R.A.; Musgrove, E.A.; Sutherland, R.L.; et al. Identification of PUMA as an estrogen target gene that mediates the apoptotic response to tamoxifen in human breast cancer cells and predicts patient outcome and tamoxifen responsiveness in breast cancer. Oncogene 2011, 30, 3186–3197. [Google Scholar] [CrossRef] [PubMed]
- Shah, R.; Rosso, K.; Nathanson, S.D. Pathogenesis, prevention, diagnosis and treatment of breast cancer. World J. Clin. Oncol. 2014, 5, 283–298. [Google Scholar] [CrossRef]
- Huang, X.; Wu, F.; Zhang, Z.; Shao, Z. Association between TP53 rs1042522 gene polymorphism and the risk of malignant bone tumors: A meta-analysis. Biosci. Rep. 2019, 39, BSR20181832. [Google Scholar] [CrossRef] [PubMed]
- Thomas, M.; Kalita, A.; Labrecque, S.; Pim, D.; Banks, L.; Matlashewski, G. Two polymorphic variants of wild-type p53 differ biochemically and biologically. Mol. Cell. Biol. 1999, 19, 1092–1100. [Google Scholar] [CrossRef]
- Hikisz, P.; Kiliańska, Z. PUMA, a critical mediator of cell death—one decade on from its discovery. Cell. Mol. Lett. 2012, 17, 646–669. [Google Scholar] [CrossRef]
- Zhou, Z.; Sturgis, E.M.; Liu, Z.; Wang, L.E.; Wei, Q.; Li, G. Genetic variants of a BH3-only pro-apoptotic gene, PUMA, and risk of HPV16-associated squamous cell carcinoma of the head and neck. Mol. Carcinog. 2012, 51, E54–E64. [Google Scholar] [CrossRef] [PubMed]
- Jeon, S.; Kim, Y.; Jeong, Y.M.; Bae, J.S.; Jung, C.K. CCND1 splice variant as a novel diagnostic and predictive biomarker for thyroid cancer. Cancers 2018, 10, 437. [Google Scholar] [CrossRef] [PubMed]
- Qiu, H.; Cheng, C.; Wang, Y.; Kang, M.; Tang, W.; Chen, S.; Gu, H.; Liu, C.; Chen, Y. Investigation of cyclin D1 rs9344 G> A polymorphism in colorectal cancer: A meta-analysis involving 13,642 subjects. OncoTargets Ther. 2016, 9, 6641–6650. [Google Scholar] [CrossRef] [PubMed]
- Wang, Y.; Zha, L.; Liao, D.; Li, X. A meta-analysis on the relations between EGFR R521K polymorphism and risk of cancer. Int. J. Genom. 2014, 2014, 312102. [Google Scholar] [CrossRef] [PubMed]
- Maeda, H.; Hazama, S.; Iwamoto, S.; Oba, K.; Tsunedomi, R.; Okayama, N.; Suehiro, Y.; Yamasaki, T.; Nakagami, Y.; Suzuki, N.; et al. Association between polymorphisms in EGFR and tumor response during cetuximab and oxaliplatin-based combination therapy in metastatic colorectal cancer: Analysis of data from two clinical trials. Oncol. Lett. 2019, 18, 4555–4562. [Google Scholar] [CrossRef] [PubMed]
- Moriai, T.; Kobrin, M.S.; Hope, C.; Speck, L.; Korc, M. A variant epidermal growth factor receptor exhibits altered type alpha transforming growth factor binding and transmembrane signaling. Proc. Natl. Acad. Sci. USA 1994, 91, 10217–10221. [Google Scholar] [CrossRef]
- Jin, Q.; Wang, B.; Wang, J.; Liu, T.; Yu, X.; Jia, C.; Fang, X.; Peng, Y.; Ma, X. Association between TP53 gene Arg72Pro polymorphism and idiopathic infertility in southeast Chinese Han males. Syst. Biol. Reprod. Med. 2013, 59, 342–346. [Google Scholar] [CrossRef][Green Version]
- Liu, L.C.; Su, C.H.; Wang, H.C.; Chang, W.S.; Tsai, C.W.; Maa, M.C.; Tsai, C.H.; Tsai, F.J.; Bau, D.T. Contribution of personalized Cyclin D1 genotype to triple negative breast cancer risk. Biomedicine 2014, 4, 3. [Google Scholar] [CrossRef]
- Kallel, I.; Rebai, M.; Khabir, A.; Farid, N.R.; Rebaï, A. Genetic polymorphisms in the EGFR (R521K) and estrogen receptor (T594T) genes, EGFR and ErbB-2 protein expression, and breast cancer risk in Tunisia. J. Biomed. Biotechnol. 2009, 2009, 753683. [Google Scholar] [CrossRef]
- Dahabreh, I.J.; Schmid, C.H.; Lau, J.; Varvarigou, V.; Murray, S.; Trikalinos, T.A. Genotype misclassification in genetic association studies of the rs1042522 TP53 (Arg72Pro) polymorphism: A systematic review of studies of breast, lung, colorectal, ovarian, and endometrial cancer. Am. J. Epidemiol. 2013, 177, 1317–1325. [Google Scholar] [CrossRef]
- Ayoubi, S.E.; Elkarroumi, M.; El Khachibi, M.; Idrissi, H.H.; Ayoubi, H.; Ennachit, S.; Arazzakou, M.; Nadifi, S. The 72Pro variant of the tumor protein 53 is associated with an increased breast Cancer risk in the Moroccan population. Pathobiology 2018, 85, 247–253. [Google Scholar] [CrossRef]
- Kalacas, N.A.; Garcia, J.A.; Ortin, T.S.; Valdez, A., Jr.; Fellizar, A.; Ramos, M.C.; Albano, P.M. GSTM1 and GSTT1 Genetic Polymorphisms and Breast Cancer Risk in Selected Filipino Cases. Asian Pac. J. Cancer Prev. 2019, 20, 529–535. [Google Scholar] [CrossRef] [PubMed]
- Anoushirvani, A.A.; Aghabozorgi, R.; Ahmadi, A.; Arjomandzadegan, M.; Sahraei, M.; Khalili, S.; Fereydouni, T.; Khademi, Z. Association of rs1042522 SNP with clinicopathologic factors of breast cancer patients in the Markazi province of Iran. Open Access Maced. J. Med. Sci. 2018, 6, 2277–2282. [Google Scholar] [CrossRef]
- Al-Eitan, L.N.; Rababa’h, D.M.; Alghamdi, M.A.; Khasawneh, R.H. Correlation between candidate single nucleotide variants and several Clinicopathological risk factors related to breast Cancer in Jordanian women: A genotype-phenotype study. J. Cancer 2019, 10, 4647–4654. [Google Scholar] [CrossRef] [PubMed]
- Icen-Taskin, I.; Irtegun-Kandemir, S.; Munzuroglu, O. TP53 rs1042522 polymorphism and early-onset breast cancer. J. Res. Med Sci. Off. J. Isfahan Univ. Med. Sci. 2020, 25, 25. [Google Scholar] [CrossRef]
- Tommiska, J.; Eerola, H.; Heinonen, M.; Salonen, L.; Kaare, M.; Tallila, J.; Ristimäki, A.; von Smitten, K.; Aittomäki, K.; Heikkilä, P.; et al. Breast cancer patients with p53 Pro72 homozygous genotype have a poorer survival. Clin. Cancer Res. 2005, 11, 5098–5103. [Google Scholar] [CrossRef] [PubMed]
- Rodrigues, P.; Furriol, J.; Tormo, E.; Ballester, S.; Lluch, A.; Eroles, P. Epistatic interaction of Arg72Pro TP53 and -710 C/T VEGFR1 polymorphisms in breast cancer: Predisposition and survival. Mol. Cell. Biochem. 2013, 379, 181–190. [Google Scholar] [CrossRef]
- Schuetz, J.M.; Grundy, A.; Lee, D.G.; Lai, A.S.; Kobayashi, L.C.; Richardson, H.; Long, J.; Zheng, W.; Aronson, K.J.; Spinelli, J.J.; et al. Genetic variants in genes related to inflammation, apoptosis and autophagy in breast cancer risk. PLoS ONE 2019, 14, e0209010. [Google Scholar] [CrossRef]
- Anjum, F.; Razvi, N.; Masood, M.A. Breast cancer therapy: A mini review. MOJ Drug Des. Dev. Ther. 2017, 1, 00006. [Google Scholar] [CrossRef]
- Akhter, N.; Alzahrani, F.A.; Dar, S.A.; Wahid, M.; Satter, R.S.A.; Hussain, S.; Haque, S.; Ansari, S.A.; Jawed, A.; Mandal, R.K.; et al. AA genotype of cyclin D1 G870A polymorphism increases breast cancer risk: Findings of a case-control study and meta-analysis. J. Cell. Biochem. 2019, 120, 16452–16466. [Google Scholar] [CrossRef]
- Polyak, K. Is p53 a breast cancer gene? Cancer Biol. Ther. 2002, 1, 37–38. [Google Scholar] [CrossRef] [PubMed][Green Version]
- Turner, N.C.; Jones, A.L. Management of breast cancer—Part II. BMJ 2008, 337, 107–110. [Google Scholar] [CrossRef]
- Absenger, G.; Benhaim, L.; Szkandera, J.; Zhang, W.; Yang, D.; Labonte, M.J.; Pichler, M.; Stotz, M.; Samonigg, H.; Renner, W.; et al. The cyclin D1 (CCND1) rs9344 G> A polymorphism predicts clinical outcome in colon cancer patients treated with adjuvant 5-FU-based chemotherapy. Pharm. J. 2014, 14, 130–134. [Google Scholar] [CrossRef] [PubMed]
- Sobral-Leite, M.; Lips, E.H.; de Andrade Vieira-Monteiro, H.; Giacomin, L.C.; Freitas-Alves, D.R.; Cornelissen, S.; Mulder, L.; Wesseling, J.; Schmidt, M.K.; Vianna-Jorge, R. Evaluation of the EGFR polymorphism R497K in two cohorts of neoadjuvantly treated breast cancer patients. PLoS ONE 2017, 12, e0189750. [Google Scholar] [CrossRef]
- Leite, M.S.; Giacomin, L.C.; Piranda, D.N.; Festa-Vasconcellos, J.S.; Indio-do-Brasil, V.; Koifman, S.; de Moura-Neto, R.S.; de Carvalho, M.A.; Vianna-Jorge, R. Epidermal growth factor receptor gene polymorphisms are associated with prognostic features of breast cancer. BMC Cancer 2014, 14, 190. [Google Scholar] [CrossRef] [PubMed]
- Hsieh, Y.Y.; Tzeng, C.H.; Chen, M.H.; Chen, P.M.; Wang, W.S. Epidermal growth factor receptor R 521 K polymorphism shows favorable outcomes in KRAS wild-type colorectal cancer patients treated with cetuximab-based chemotherapy. Cancer Sci. 2012, 103, 791–796. [Google Scholar] [CrossRef]
- Zhang, H.; Paez, D.; Giamas, G.; Filipovic, A.; Yang, D.; Bohanes, P.; Ning, Y.; Gerger, A.; LaBonte, M.J.; Stebbing, J.; et al. Genetic variants in human epidermal growth factor receptor (HER) family gene predict tumor recurrence in breast cancer. In Proceedings of the 103rd Annual Meeting of the American Association for Cancer Research; Chicago, IL, USA, 31 March–4 April 2012, AACR: Philadelphia, PA, USA, 2012; Volume 72. [Google Scholar] [CrossRef]

| Gene, SNP | Primers Sequences | Annealing Temperature | Cycles of PCR | Size of PCR Product |
|---|---|---|---|---|
| TP53 rs10425221 | ||||
| forward primer: | 5′-TTGCCGTCCCAAGCAATGGATGA-3′ | 61.8 °C | 40 | 199 bp |
| reverse primer: | 5′-TCTGGGAAGGGACAGAAGATGAC-3′ | |||
| BBC3 rs20328092 | ||||
| forward primer: | 5′-GAATAATCGGGGAAAGCGAAAGAAG-3′ | 58 °C | 35 | 191 bp |
| reverse primer: | 5′-AGTGTGGGGCTGGCTGAGTAAG-3 | |||
| CCND1 rs93443 | ||||
| forward primer: | 5′-GTGAAGTTCATTTCCAATCCGC-3′ | 53 °C | 40 | 167 bp |
| reverse primer: | 5′-GGGACATCACCCTCACTTAC-3 | |||
| EGFR rs22279834 | ||||
| forward primer: | 5′-TGCTGTGACCCACTCTGTCT-3′ | 63 °C | 40 | 155 bp |
| reverse primer: | 5′-CCAGAAGGTTGCACTTGTCC-3 |
| Clinicopathological Features | n | % |
|---|---|---|
| Age (range 30–75) | ||
| ≤50 years | 128 | 74.9 |
| >50 years | 43 | 25.1 |
| Differentiation degree (G) | ||
| G1 (well differentiated) | 12 | 7 |
| G2 (moderately differentiated) | 120 | 70.2 |
| G3 (poorly differentiated) | 39 | 22.8 |
| Tumor size (T) | ||
| T1 (≤2 cm) | 114 | 66.7 |
| T2 (2–5 cm) | 57 | 33.3 |
| Estrogen receptor (ER) | ||
| Negative | 55 | 32.2 |
| Positive | 116 | 67.8 |
| Progesterone receptor (PR) | ||
| Negative | 70 | 40.9 |
| Positive | 101 | 59.1 |
| Human epidermal growth factor receptor 2 (HER2) | ||
| Negative | 139 | 81.3 |
| Positive | 32 | 18.7 |
| Lymph node (N) | ||
| N0 (negative) | 105 | 61.4 |
| N1 (positive) | 66 | 38.6 |
| The presence of disease progression | ||
| Absent | 32 | 18.7 |
| Present | 139 | 81.3 |
| Development of metastasis | ||
| Absent | 27 | 15.8 |
| Present | 144 | 84.2 |
| Death | ||
| Absent | 22 | 12.9 |
| Present | 149 | 87.1 |
| Gene, SNP | Genotype or Allele | Feature | OR | 95% CI | p |
|---|---|---|---|---|---|
| BBC3 rs2032809 | AG versus AA (ref.) GG versus AA (ref.) The carrier of G allele versus non-carrier | Age at the time of diagnosis | 4.808 6.552 5.421 | 1.348–17.144 1.758–24.415 1.578–18.620 | 0.015 * 0.005 0.007 |
| AG versus AA (ref.) | Disease progression | 5.409 | 1.524–19.205 | 0.009 | |
| AG versus AA (ref.) | Metastasis | 4.246 | 1.184–15.222 | 0.026 * | |
| AG versus AA (ref.) | Death | 11.762 | 1.514–91.379 | 0.018 * | |
| CCND1 rs9344 | The carrier of G allele versus non-carrier | Tumor size | 0.461 | 0.220–0.964 | 0.040 * |
| Gene, SNP | Dependent | Covariates | Model No. 1 | Model No. 2 | Model No. 3 | ||||||
|---|---|---|---|---|---|---|---|---|---|---|---|
| Odds | 95% CI | p | Odds | 95% CI | p | Odds | 95% CI | p | |||
| BBC3 rs2032809 | Older age (≥50 years) | The carrier of G allele vs. non-carrier | - | - | - | 5.838 | 1.652–20.632 | 0.006 | 6.554 | 1.799–23.880 | 0.004 |
| Age 1 | - | - | - | - | - | - | - | - | - | ||
| T (T2 vs. T1) | 1.273 | 0.521–3.115 | 0.596 | 1.388 | 0.547–3.520 | 0.490 | |||||
| N (Pos vs. Neg) | 0.287 | 0.112–0.735 | 0.009 | 0.250 | 0.094–0.663 | 0.005 | |||||
| G (G3 vs. G1+G2) | 0.201 | 0.056–0.728 | 0.015 | 0.360 | 0.090–1.444 | 0.150 | |||||
| ER (Pos vs. Neg) | 3.334 | 0.930–11.950 | 0.064 | ||||||||
| PR (Pos vs. Neg) | 1.252 | 0.410–3.827 | 0.693 | ||||||||
| HER2 (Pos vs. Neg) | 1.502 | 0.506–4.463 | 0.464 | ||||||||
| Disease progression | AG vs. AA (ref.) | 7.892 | 2.178–28.593 | 0.002 | 8.165 | 2.219–30.048 | 0.002 | 7.415 | 1.961–28.045 | 0.003 | |
| Age 1 | 0.056 | 0.007–0.432 | 0.006 | 0.064 | 0.008–0.507 | 0.009 | 0.068 | 0.008–0.552 | 0.012 | ||
| T (T2 vs. T1) | 0.754 | 0.289–1.966 | 0.564 | 0.752 | 0.285–1.984 | 0.564 | |||||
| N (Pos vs. Neg) | 2.333 | 0.923–5.895 | 0.073 | 2.327 | 0.905–5.985 | 0.080 | |||||
| G (G3 vs. G1+G2) | 0.846 | 0.315–2.274 | 0.740 | 0.655 | 0.206–2.085 | 0.474 | |||||
| ER (Pos vs. Neg) | 1.195 | 0.385–3.708 | 0.758 | ||||||||
| PR (Pos vs. Neg) | 0.573 | 0.174–1.893 | 0.361 | ||||||||
| HER2 (Pos vs. Neg) | 0.740 | 0.215–2.540 | 0.632 | ||||||||
| Metastasis | AG vs. AA (ref.) | 5.917 | 1.622–21.593 | 0.007 | 5.952 | 1.606–22.050 | 0.008 | 5.601 | 1.446–21.694 | 0.013 | |
| Age 1 | 0.075 | 0.010–0.580 | 0.013 | 0.090 | 0.011–0.723 | 0.023 | 0.094 | 0.011–0.775 | 0.028 | ||
| T (T2 vs. T1) | 1.128 | 0.427–2.981 | 0.808 | 1.105 | 0.411–2.970 | 0.843 | |||||
| N (Pos vs. Neg) | 2.373 | 0.900–6.259 | 0.081 | 2.312 | 0.856–6.246 | 0.098 | |||||
| G (G3 vs. G1+G2) | 0.900 | 0.324–2.496 | 0.839 | 0.687 | 0.208–2.272 | 0.538 | |||||
| ER (Pos vs. Neg) | 1.271 | 0.399–4.043 | 0.685 | ||||||||
| PR (Pos vs. Neg) | 0.509 | 0.149–1.738 | 0.281 | ||||||||
| HER2 (Pos vs. Neg) | 0.920 | 0.263–3.224 | 0.896 | ||||||||
| Death | AG vs. AA (ref.) | 17.100 | 2.178–134.257 | 0.007 | 17.106 | 2.158–135.56 | 0.007 | 19.723 | 2.257–172.322 | 0.007 | |
| Age 1 | 0.000 | 0.000 | 0.997 | 0.000 | 0.000 | 0.997 | 0.000 | 0.000 | 0.997 | ||
| T (T2 vs. T1) | 1.112 | 0.380–3.254 | 0.847 | 1.068 | 0.352–3.243 | 0.907 | |||||
| N (Pos vs. Neg) | 2.141 | 0.731–6.270 | 0.165 | 1.922 | 0.629–5.869 | 0.251 | |||||
| G (G3 vs. G1+G2) | 1.316 | 0.447–3.868 | 0.618 | 1.022 | 0.287–3.643 | 0.973 | |||||
| ER (Pos vs. Neg) | 1.604 | 0.446–5.765 | 0.469 | ||||||||
| PR (Pos vs. Neg) | 0.379 | 0.095–1.513 | 0.169 | ||||||||
| HER2 (Pos vs. Neg) | 1.802 | 0.456–7.119 | 0.401 | ||||||||
| Gene, SNP | Dependent | Covariates | Model No. 1 | Model No. 2 | Model No. 3 | ||||||
|---|---|---|---|---|---|---|---|---|---|---|---|
| Odds | 95% CI | p | Odds | 95% CI | p | Odds | 95% CI | p | |||
| CCND1 rs9344 | Larger T (T2) | The carrier of G allele vs. non-carriers | 0.450 | 0.214–0.946 | 0.035 * | 0.434 | 0.195–0.965 | 0.041 * | 0.359 | 0.156–0.826 | 0.016 * |
| Age 1 | 0.680 | 0.315–1.472 | 0.328 | 1.222 | 0.520–2.869 | 0.646 | 1.196 | 0.495–2.889 | 0.691 | ||
| N (Pos vs. Neg) | 4.164 | 2.022–8.573 | 0.000 | 3.737 | 1.775–7.870 | 0.001 | |||||
| G (G3 vs. G1+G2) | 2.194 | 0.982–4.906 | 0.056 | 1.873 | 0.725–4.842 | 0.195 | |||||
| ER (Pos vs. Neg) | 1.982 | 0.711–5.525 | 0.191 | ||||||||
| PR (Pos vs. Neg) | 0.380 | 0.140–1.029 | 0.057 | ||||||||
| HER2 (Pos vs. Neg) | 1.308 | 0.520–3.287 | 0.569 | ||||||||
| Gene, SNP | Genotype or Allele | Features | HR | 95% CI | p |
|---|---|---|---|---|---|
| BBC3 rs2032809 | AG versus AA (ref.) The carrier of G allele versus non-carrier | OS | 14.454 10.358 | 1.934–108.040 1.393–77.034 | 0.009 0.022 |
| AG versus AA (ref.) The carrier of G allele versus non-carrier | PFS | 6.754 4.735 | 2.031–22.459 1.438–15.593 | 0.002 0.011 | |
| AG versus AA (ref.) The carrier of G allele versus non-carrier | MFS | 5.303 3.696 | 1.577–17.830 1.110–12.303 | 0.007 0.033 |
| Gene, SNP | Genotype or Allele | Features | HR | 95% CI | p |
|---|---|---|---|---|---|
| EGFR rs2227983 | The carrier of G allele versus non-carrier | OS | 0.282 | 0.083–0.955 | 0.042 |
| AA versus GG (ref.) The carrier of G allele versus non-carrier | PFS | 3.358 0.275 | 1.116–10.105 0.095–0.795 | 0.031 0.017 |
| Gene, SNP | Dependent | Covariates | Model No. 1 | Model No. 2 | Model No. 3 | ||||||
|---|---|---|---|---|---|---|---|---|---|---|---|
| Odds | 95% CI | p | Odds | 95% CI | p | Odds | 95% CI | p | |||
| BBC3 rs2032809 | OS | The carrier of G allele vs. non-carriers | 10.423 | 1.402–77.511 | 0.022 | 10.658 | 1.432–79.294 | 0.021 | 11.030 | 1.446–84.120 | 0.021 |
| Age 1 | 0.000 | 0.000 | 0.981 | 0.000 | 0.000 | 0.981 | 0.000 | 0.000 | 0.981 | ||
| T (T2 vs. T1) | 1.318 | 0.553–3.140 | 0.533 | 1.214 | 0.483–3.050 | 0.680 | |||||
| N (Pos vs. Neg) | 2.103 | 0.855–5.177 | 0.106 | 1.940 | 0.754–4.992 | 0.169 | |||||
| G (G3 vs. G1+G2) | 1.082 | 0.448–5.614 | 0.861 | 0.881 | 0.317–2.450 | 0.808 | |||||
| ER (Pos vs. Neg) | 1.485 | 0.550–4.004 | 0.435 | ||||||||
| PR (Pos vs. Neg) | 0.447 | 0.151–1.323 | 0.146 | ||||||||
| HER2 (Pos vs. Neg) | 1.166 | 0.395–3.437 | 0.781 | ||||||||
| PFS | The carrier of G allele vs. non-carriers | 5.060 | 1.537–16.653 | 0.008 | 5.384 | 1.631–17.769 | 0.006 | 5.108 | 1.515–17.218 | 0.009 | |
| Age 1 | 0.234 | 0.031–1.778 | 0.160 | 0.265 | 0.034–2.040 | 0.202 | 0.279 | 0.036–2.181 | 0.224 | ||
| T (T2 vs. T1) | 0.887 | 0.417–1.886 | 0.755 | 0.889 | 0.411–1.924 | 0.765 | |||||
| N (Pos vs. Neg) | 2.340 | 1.098–4.985 | 0.028 | 2.363 | 1.089–5.126 | 0.030 | |||||
| G (G3 vs. G1+G2) | 0.860 | 0.393–1.882 | 0.705 | 0.756 | 0.301–1.895 | 0.550 | |||||
| ER (Pos vs. Neg) | 1.319 | 0.560–3.107 | 0.527 | ||||||||
| PR (Pos vs. Neg) | 0.633 | 0.265–1.511 | 0.303 | ||||||||
| HER2 (Pos vs. Neg) | 0.741 | 0.273–2.015 | 0.558 | ||||||||
| MFS | The carrier of G vs. non-carriers | 3.924 | 1.179–13.067 | 0.026 | 4.165 | 1.248–13.898 | 0.020 | 4.119 | 1.193–14.219 | 0.025 | |
| Age 1 | 0.296 | 0.038–2.292 | 0.244 | 0.347 | 0.044–2.721 | 0.314 | 0.348 | 0.043–2.791 | 0.320 | ||
| T (T2 vs. T1) | 1.257 | 0.565–2.798 | 0.575 | 1.230 | 0.538–2.814 | 0.623 | |||||
| N (Pos vs. Neg) | 2.383 | 1.033–5.496 | 0.042 | 2.328 | 0.985–5.504 | 0.054 | |||||
| G (G3 vs. G1+G2) | 0.862 | 0.371–2.000 | 0.729 | 0.752 | 0.277–2.039 | 0.576 | |||||
| ER (Pos vs. Neg) | 1.425 | 0.564–3.597 | 0.454 | ||||||||
| PR (Pos vs. Neg) | 0.565 | 0.221–1.446 | 0.234 | ||||||||
| HER2 (Pos vs. Neg) | 0.854 | 0.301–2.424 | 0.767 | ||||||||
| EGFR rs2227983 | OS | The carrier of G allele vs. non-carriers | 0.285 | 0.084–0.963 | 0.043 | 0.259 | 0.072–0.938 | 0.040 | 0.270 | 0.066–1.109 | 0.069 |
| Age 1 | 0.000 | 0.000 | 0.984 | 0.000 | 0.000 | 0.983 | 0.000 | 0.000 | 0.983 | ||
| T (T2 vs. T1) | 0.979 | 0.395–2.425 | 0.963 | 0.904 | 0.342–2.386 | 0.838 | |||||
| N (Pos vs. Neg) | 1.609 | 0.655–3.952 | 0.299 | 1.466 | 0.556–3.864 | 0.439 | |||||
| G (G3 vs. G1+G2) | 1.437 | 0.555–3.720 | 0.455 | 1.206 | 0.388–3.749 | 0.746 | |||||
| ER (Pos vs. Neg) | 1.584 | 0.518–4.844 | 0.420 | ||||||||
| PR (Pos vs. Neg) | 0.414 | 0.136–1.263 | 0.121 | ||||||||
| HER2 (Pos vs. Neg) | 1.059 | 0.360–3.119 | 0.917 | ||||||||
| PFS | AA vs. GG (ref.) | 3.358 | 1.116–10.105 | 0.031 | 3.437 | 1.082–10.916 | 0.036 | 3.269 | 0.926–11.531 | 0.066 | |
| Age 1 | 0.338 | 0.044–2.600 | 0.298 | 0.405 | 0.052–3.169 | 0.389 | 0.413 | 0.052–3.258 | 0.401 | ||
| T (T2 vs. T1) | 0.877 | 0.392–1.958 | 0.748 | 0.898 | 0.394–2.046 | 0.798 | |||||
| N (Pos vs. Neg) | 2.036 | 0.968–4.281 | 0.061 | 1.997 | 0.914–4.364 | 0.083 | |||||
| G (G3 vs. G1+G2) | 1.011 | 0.442–2.309 | 0.980 | 0.838 | 0.317–2.215 | 0.722 | |||||
| ER (Pos vs. Neg) | 1.354 | 0.522–3.514 | 0.533 | ||||||||
| PR (Pos vs. Neg) | 0.584 | 0.227–1.503 | 0.265 | ||||||||
| HER2 (Pos vs. Neg) | 0.617 | 0.229–1.667 | 0.341 | ||||||||
| The carrier of G allele vs. non-carriers | 0.302 | 0.104–0.877 | 0.028 | 0.297 | 0.098–0.897 | 0.031 | 0.327 | 0.098–1.094 | 0.070 | ||
| Age 1 | 0.339 | 0.044–2.603 | 0.298 | 0.405 | 0.052–3.169 | 0.389 | 0.415 | 0.053–3.269 | 0.403 | ||
| T (T2 vs. T1) | 0.868 | 0.395–1.911 | 0.726 | 0.872 | 0.389–1.955 | 0.739 | |||||
| N (Pos vs. Neg) | 2.039 | 0.970–4.284 | 0.060 | 2.018 | 0.927–4.391 | 0.077 | |||||
| G (G3 vs. G1+G2) | 1.006 | 0.442–2.289 | 0.989 | 0.831 | 0.315–2.191 | 0.708 | |||||
| ER (Pos vs. Neg) | 1.311 | 0.511–3.364 | 0.573 | ||||||||
| PR (Pos vs. Neg) | 0.614 | 0.248–1.522 | 0.293 | ||||||||
| HER2 (Pos vs. Neg) | 0.614 | 0.228–1.663 | 0.339 | ||||||||
Publisher’s Note: MDPI stays neutral with regard to jurisdictional claims in published maps and institutional affiliations. |
© 2021 by the authors. Licensee MDPI, Basel, Switzerland. This article is an open access article distributed under the terms and conditions of the Creative Commons Attribution (CC BY) license (https://creativecommons.org/licenses/by/4.0/).
Share and Cite
Bekampytė, J.; Bartnykaitė, A.; Savukaitytė, A.; Ugenskienė, R.; Korobeinikova, E.; Gudaitienė, J.; Juozaitytė, E. The Investigation of Associations between TP53 rs1042522, BBC3 rs2032809, CCND1 rs9344, EGFR rs2227983 Polymorphisms and Breast Cancer Phenotype and Prognosis. Diagnostics 2021, 11, 1419. https://doi.org/10.3390/diagnostics11081419
Bekampytė J, Bartnykaitė A, Savukaitytė A, Ugenskienė R, Korobeinikova E, Gudaitienė J, Juozaitytė E. The Investigation of Associations between TP53 rs1042522, BBC3 rs2032809, CCND1 rs9344, EGFR rs2227983 Polymorphisms and Breast Cancer Phenotype and Prognosis. Diagnostics. 2021; 11(8):1419. https://doi.org/10.3390/diagnostics11081419
Chicago/Turabian StyleBekampytė, Justina, Agnė Bartnykaitė, Aistė Savukaitytė, Rasa Ugenskienė, Erika Korobeinikova, Jurgita Gudaitienė, and Elona Juozaitytė. 2021. "The Investigation of Associations between TP53 rs1042522, BBC3 rs2032809, CCND1 rs9344, EGFR rs2227983 Polymorphisms and Breast Cancer Phenotype and Prognosis" Diagnostics 11, no. 8: 1419. https://doi.org/10.3390/diagnostics11081419
APA StyleBekampytė, J., Bartnykaitė, A., Savukaitytė, A., Ugenskienė, R., Korobeinikova, E., Gudaitienė, J., & Juozaitytė, E. (2021). The Investigation of Associations between TP53 rs1042522, BBC3 rs2032809, CCND1 rs9344, EGFR rs2227983 Polymorphisms and Breast Cancer Phenotype and Prognosis. Diagnostics, 11(8), 1419. https://doi.org/10.3390/diagnostics11081419

