Association of Skeletal Muscle and Adipose Tissue Distribution with Histologic Severity of Non-Alcoholic Fatty Liver
Abstract
1. Introduction
2. Methods
2.1. Patients
2.2. Histopathological Evaluation
2.3. Assessment of Skeletal Muscle Mass and Adipose Tissue Distribution
2.4. Assessment of Clinical and Laboratory Variables
2.5. Statistical Analyses
3. Results
3.1. Baseline Characteristics
3.2. Skeletal Muscle and Adipose Tissue Distribution According to Severe Non-Alcoholic Steatohepatitis and Advanced Fibrosis
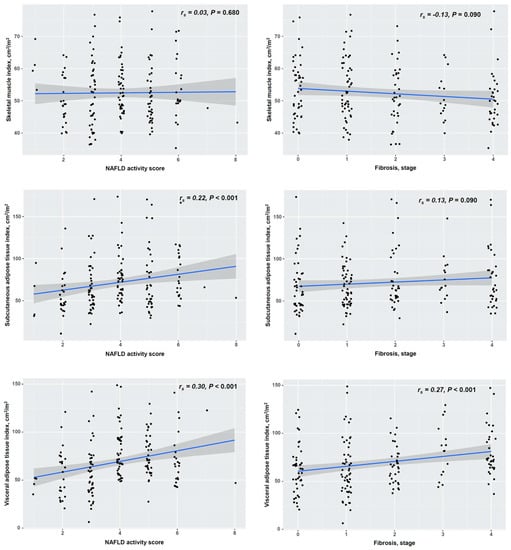
3.3. Correlation of Histologic Findings with Skeletal Muscle and Adipose Tissue Distribution
3.4. Association of Skeletal Muscle and Adipose Tissue Distribution with Advanced Fibrosis
4. Discussion
Supplementary Materials
Author Contributions
Funding
Institutional Review Board Statement
Informed Consent Statement
Data Availability Statement
Conflicts of Interest
References
- Williams, R.; Aspinall, R.; Bellis, M.; Camps-Walsh, G.; Cramp, M.; Dhawan, A.; Ferguson, J.; Forton, D.; Foster, G.; Gilmore, I.; et al. Addressing liver disease in the UK: A blueprint for attaining excellence in health care and reducing premature mortality from lifestyle issues of excess consumption of alcohol, obesity, and viral hepatitis. Lancet 2014, 384, 1953–1997. [Google Scholar] [CrossRef]
- NatCen Social Research; University College London Department of Epidemiology and Public Health. Health Survey for England; UK Data Archive: Colchester, UK, 2012. [Google Scholar]
- Brunt, E.M.; Wong, V.W.; Nobili, V.; Day, C.P.; Sookoian, S.; Maher, J.J.; Bugianesi, E.; Sirlin, C.B.; Neuschwander-Tetri, B.A.; Rinella, M.E. Nonalcoholic fatty liver disease. Nat. Rev. Dis. Primers 2015, 1, 15080. [Google Scholar] [CrossRef] [PubMed]
- Mantovani, A.; Byrne, C.D.; Bonora, E.; Targher, G. Nonalcoholic Fatty Liver Disease and Risk of Incident Type 2 Diabetes: A Meta-analysis. Diabetes Care 2018, 41, 372–382. [Google Scholar] [CrossRef] [PubMed]
- Kang, M.K.; Park, J.G.; Kim, M.C. Association between Atrial Fibrillation and Advanced Liver Fibrosis in Patients with Non-Alcoholic Fatty Liver Disease. Yonsei Med. J. 2020, 61, 860–867. [Google Scholar] [CrossRef] [PubMed]
- Liu, Z.; Zhang, Y.; Graham, S.; Wang, X.; Cai, D.; Huang, M.; Pique-Regi, R.; Dong, X.C.; Chen, Y.E.; Willer, C.; et al. Causal relationships between NAFLD, T2D and obesity have implications for disease subphenotyping. J. Hepatol. 2020, 73, 263–276. [Google Scholar] [CrossRef] [PubMed]
- Reijrink, M.; de Boer, S.A.; Spoor, D.S.; Lefrandt, J.D.; Lambers Heerspink, H.J.; Boellaard, R.; Greuter, M.J.; Borra, R.J.H.; Hillebrands, J.L.; Slart, R.; et al. Visceral adipose tissue volume is associated with premature atherosclerosis in early type 2 diabetes mellitus independent of traditional risk factors. Atherosclerosis 2019, 290, 87–93. [Google Scholar] [CrossRef] [PubMed]
- Yu, A.H.; Duan-Mu, Y.Y.; Zhang, Y.; Wang, L.; Guo, Z.; Yu, Y.Q.; Wang, Y.S.; Cheng, X.G. Correlation between Non-Alcoholic Fatty Liver Disease and Visceral Adipose Tissue in Non-Obese Chinese Adults: A CT Evaluation. Korean J. Radiol. 2018, 19, 923–929. [Google Scholar] [CrossRef]
- Despres, J.P.; Lemieux, I. Abdominal obesity and metabolic syndrome. Nature 2006, 444, 881–887. [Google Scholar] [CrossRef]
- Tchernof, A.; Despres, J.P. Pathophysiology of human visceral obesity: An update. Physiol. Rev. 2013, 93, 359–404. [Google Scholar] [CrossRef]
- Bjorntorp, P. “Portal” adipose tissue as a generator of risk factors for cardiovascular disease and diabetes. Arteriosclerosis 1990, 10, 493–496. [Google Scholar] [CrossRef]
- Cordeiro, A.; Costa, R.; Andrade, N.; Silva, C.; Canabrava, N.; Pena, M.J.; Rodrigues, I.; Andrade, S.; Ramalho, A. Does adipose tissue inflammation drive the development of non-alcoholic fatty liver disease in obesity? Clin. Res. Hepatol. Gastroenterol. 2020, 44, 294–402. [Google Scholar] [CrossRef] [PubMed]
- Mizgier, M.L.; Casas, M.; Contreras-Ferrat, A.; Llanos, P.; Galgani, J.E. Potential role of skeletal muscle glucose metabolism on the regulation of insulin secretion. Obes. Rev. 2014, 15, 587–597. [Google Scholar] [CrossRef] [PubMed]
- Moon, J.S.; Yoon, J.S.; Won, K.C.; Lee, H.W. The role of skeletal muscle in development of nonalcoholic Fatty liver disease. Diabetes Metab. J. 2013, 37, 278–285. [Google Scholar] [CrossRef]
- Kang, M.K.; Kim, K.O.; Kim, M.C.; Park, J.G.; Jang, B.I. Sarcopenia Is a New Risk Factor of Nonalcoholic Fatty Liver Disease in Patients with Inflammatory Bowel Disease. Dig. Dis. 2020, 38, 507–514. [Google Scholar] [CrossRef]
- Kang, M.K.; Park, J.G. Low Skeletal Muscle Mass Is a Risk Factor for Subclinical Atherosclerosis in Patients with Nonalcoholic Fatty Liver Disease. Diagnostics 2021, 11, 854. [Google Scholar] [CrossRef] [PubMed]
- Koo, B.K.; Kim, D.; Joo, S.K.; Kim, J.H.; Chang, M.S.; Kim, B.G.; Lee, K.L.; Kim, W. Sarcopenia is an independent risk factor for non-alcoholic steatohepatitis and significant fibrosis. J. Hepatol. 2017, 66, 123–131. [Google Scholar] [CrossRef] [PubMed]
- Chalasani, N.; Younossi, Z.; Lavine, J.E.; Diehl, A.M.; Brunt, E.M.; Cusi, K.; Charlton, M.; Sanyal, A.J. The diagnosis and management of non-alcoholic fatty liver disease: Practice Guideline by the American Association for the Study of Liver Diseases, American College of Gastroenterology, and the American Gastroenterological Association. Hepatology 2012, 55, 2005–2023. [Google Scholar] [CrossRef]
- Yoo, J.J.; Kim, W.; Kim, M.Y.; Jun, D.W.; Kim, S.G.; Yeon, J.E.; Lee, J.W.; Cho, Y.K.; Park, S.H.; Sohn, J.H.; et al. Recent research trends and updates on nonalcoholic fatty liver disease. Clin. Mol. Hepatol. 2019, 25, 1–11. [Google Scholar] [CrossRef]
- Kleiner, D.E.; Brunt, E.M.; Van Natta, M.; Behling, C.; Contos, M.J.; Cummings, O.W.; Ferrell, L.D.; Liu, Y.C.; Torbenson, M.S.; Unalp-Arida, A.; et al. Design and validation of a histological scoring system for nonalcoholic fatty liver disease. Hepatology 2005, 41, 1313–1321. [Google Scholar] [CrossRef]
- Kang, S.H.; Jeong, W.K.; Baik, S.K.; Cha, S.H.; Kim, M.Y. Impact of sarcopenia on prognostic value of cirrhosis: Going beyond the hepatic venous pressure gradient and MELD score. J. Cachexia Sarcopenia Muscle 2018, 9, 860–870. [Google Scholar] [CrossRef]
- Ebadi, M.; Tandon, P.; Moctezuma-Velazquez, C.; Ghosh, S.; Baracos, V.E.; Mazurak, V.C.; Montano-Loza, A.J. Low subcutaneous adiposity associates with higher mortality in female patients with cirrhosis. J. Hepatol. 2018, 69, 608–616. [Google Scholar] [CrossRef]
- Kim, S.S.; Kim, J.H.; Jeong, W.K.; Lee, J.; Kim, Y.K.; Choi, D.; Lee, W.J. Semiautomatic software for measurement of abdominal muscle and adipose areas using computed tomography: A STROBE-compliant article. Medicine 2019, 98, e15867. [Google Scholar] [CrossRef]
- Carey, E.J.; Lai, J.C.; Wang, C.W.; Dasarathy, S.; Lobach, I.; Montano-Loza, A.J.; Dunn, M.A.; Fitness, L.E. Exercise in Liver Transplantation, C. A multicenter study to define sarcopenia in patients with end-stage liver disease. Liver Transplant. 2017, 23, 625–633. [Google Scholar] [CrossRef] [PubMed]
- Oh, S.W. Obesity and metabolic syndrome in Korea. Diabetes Metab. J. 2011, 35, 561–566. [Google Scholar] [CrossRef] [PubMed]
- American Diabetes Association. Standards of medical care in diabetes—2013. Diabetes Care 2013, 36 (Suppl. 1), S11–S66. [Google Scholar] [CrossRef]
- Kim, J.A.; Choi, K.M. Sarcopenia and fatty liver disease. Hepatol. Int. 2019, 13, 674–687. [Google Scholar] [CrossRef]
- Cai, C.; Song, X.; Chen, Y.; Chen, X.; Yu, C. Relationship between relative skeletal muscle mass and nonalcoholic fatty liver disease: A systematic review and meta-analysis. Hepatol. Int. 2020, 14, 115–126. [Google Scholar] [CrossRef] [PubMed]
- Kang, M.K.; Park, J.G.; Lee, H.J.; Kim, M.C. Association of low skeletal muscle mass with advanced liver fibrosis in patients with non-alcoholic fatty liver disease. J. Gastroenterol. Hepatol. 2019, 34, 1633–1640. [Google Scholar] [CrossRef]
- Jo, M.H.; Lim, T.S.; Jeon, M.Y.; Lee, H.W.; Kim, B.K.; Park, J.Y.; Kim, D.Y.; Ahn, S.H.; Han, K.H.; Kim, S.U. Predictors of Discordance in the Assessment of Skeletal Muscle Mass between Computed Tomography and Bioimpedance Analysis. J. Clin. Med. 2019, 8, 322. [Google Scholar] [CrossRef]
- Kalinkovich, A.; Livshits, G. Sarcopenic obesity or obese sarcopenia: A cross talk between age-associated adipose tissue and skeletal muscle inflammation as a main mechanism of the pathogenesis. Ageing Res. Rev. 2017, 35, 200–221. [Google Scholar] [CrossRef]
- Rosso, C.; Kazankov, K.; Younes, R.; Esmaili, S.; Marietti, M.; Sacco, M.; Carli, F.; Gaggini, M.; Salomone, F.; Moller, H.J.; et al. Crosstalk between adipose tissue insulin resistance and liver macrophages in non-alcoholic fatty liver disease. J. Hepatol. 2019, 71, 1012–1021. [Google Scholar] [CrossRef] [PubMed]
- Ayonrinde, O.T.; Olynyk, J.K.; Beilin, L.J.; Mori, T.A.; Pennell, C.E.; de Klerk, N.; Oddy, W.H.; Shipman, P.; Adams, L.A. Gender-specific differences in adipose distribution and adipocytokines influence adolescent nonalcoholic fatty liver disease. Hepatology 2011, 53, 800–809. [Google Scholar] [CrossRef]
- Ibrahim, M.M. Subcutaneous and visceral adipose tissue: Structural and functional differences. Obes. Rev. 2010, 11, 11–18. [Google Scholar] [CrossRef] [PubMed]
- Xu, C.; Ma, Z.; Wang, Y.; Liu, X.; Tao, L.; Zheng, D.; Guo, X.; Yang, X. Visceral adiposity index as a predictor of NAFLD: A prospective study with 4-year follow-up. Liver Int. 2018, 38, 2294–2300. [Google Scholar] [CrossRef]
- Kim, D.; Chung, G.E.; Kwak, M.S.; Seo, H.B.; Kang, J.H.; Kim, W.; Kim, Y.J.; Yoon, J.H.; Lee, H.S.; Kim, C.Y. Body Fat Distribution and Risk of Incident and Regressed Nonalcoholic Fatty Liver Disease. Clin. Gastroenterol. Hepatol. 2016, 14, 132–138.e4. [Google Scholar] [CrossRef]
- Petta, S.; Amato, M.C.; Di Marco, V.; Camma, C.; Pizzolanti, G.; Barcellona, M.R.; Cabibi, D.; Galluzzo, A.; Sinagra, D.; Giordano, C.; et al. Visceral adiposity index is associated with significant fibrosis in patients with non-alcoholic fatty liver disease. Aliment. Pharmacol. Ther. 2011, 35, 238–247. [Google Scholar] [CrossRef] [PubMed]
- Choudhary, N.S.; Duseja, A.; Kalra, N.; Das, A.; Dhiman, R.K.; Chawla, Y.K. Correlation of adipose tissue with liver histology in Asian Indian patients with nonalcoholic fatty liver disease (NAFLD). Ann. Hepatol. 2012, 11, 478–486. [Google Scholar] [CrossRef]
- Sobhonslidsuk, A.; Jongjirasiri, S.; Thakkinstian, A.; Wisedopas, N.; Bunnag, P.; Puavilai, G. Visceral fat and insulin resistance as predictors of non-alcoholic steatohepatitis. World J. Gastroenterol. 2007, 13, 3614–3618. [Google Scholar] [CrossRef] [PubMed]
- Kim, T.N.; Park, M.S.; Lim, K.I.; Yang, S.J.; Yoo, H.J.; Kang, H.J.; Song, W.; Seo, J.A.; Kim, S.G.; Kim, N.H.; et al. Skeletal muscle mass to visceral fat area ratio is associated with metabolic syndrome and arterial stiffness: The Korean Sarcopenic Obesity Study (KSOS). Diabetes Res. Clin. Pract. 2011, 93, 285–291. [Google Scholar] [CrossRef]
- Shida, T.; Oshida, N.; Oh, S.; Okada, K.; Shoda, J. Progressive reduction in skeletal muscle mass to visceral fat area ratio is associated with a worsening of the hepatic conditions of non-alcoholic fatty liver disease. Diabetes Metab. Syndr. Obes. 2019, 12, 495–503. [Google Scholar] [CrossRef]
- Shida, T.; Akiyama, K.; Oh, S.; Sawai, A.; Isobe, T.; Okamoto, Y.; Ishige, K.; Mizokami, Y.; Yamagata, K.; Onizawa, K.; et al. Skeletal muscle mass to visceral fat area ratio is an important determinant affecting hepatic conditions of non-alcoholic fatty liver disease. J. Gastroenterol. 2018, 53, 535–547. [Google Scholar] [CrossRef] [PubMed]
- Hagstrom, H.; Nasr, P.; Ekstedt, M.; Hammar, U.; Stal, P.; Hultcrantz, R.; Kechagias, S. Fibrosis stage but not NASH predicts mortality and time to development of severe liver disease in biopsy-proven NAFLD. J. Hepatol. 2017, 67, 1265–1273. [Google Scholar] [CrossRef] [PubMed]




| Variable | Biopsy-Proven NAFLD Patients n = 178 |
|---|---|
| Age, year | 53.5 [38.0–64.0] |
| Male, n (%) | 86 (48.3) |
| Body mass index, kg/m2 | 26.8 [24.4–29.5] |
| Comorbidities, n (%) | |
| Obesity | 123 (69.1) |
| Diabetes mellitus | 54 (30.7) |
| Hypertension | 60 (34.1) |
| Liver function profiles | |
| Aspartate aminotransferase, IU/L | 62.0 [43.0–96.0] |
| Alanine aminotransferase, IU/L | 78.5 [43.0–96.0] |
| Platelet count, ×109/uL | 216.5 [179.0–274.0] |
| Gamma-glutamyl transferase, IU/L | 62.5 [36.0–100.0] |
| Serum albumin, g/dL | 4.4 [4.1–4.7] |
| Prothrombin time, INR | 1.1 [1.0–1.1] |
| Metabolic profiles | |
| Fasting plasma glucose, mg/dL | 108.5 [96.0–123.5] |
| Total cholesterol, mg/dL | 177.5 [158.0–210.0] |
| Triglyceride, mg/dL | 146.0 [106.5–223.5] |
| High-density lipoprotein, mg/dL | 45.8 [35.0–53.2] |
| Low-density lipoprotein, mg/dL | 99.7 [78.5–133.0] |
| C-reactive protein, mg/dL | 0.2 [0.1–0.3] |
| Biopsy profiles | |
| NAFLD activity score | 4.0 [3.0–5.0] |
| NAFLD activity score ≥ 5, n (%) | 61 (34.3) |
| NASH, n (%) | 131 (73.6) |
| Severe NASH, n (%) | 61 (34.3) |
| Fibrosis stage, 0/1/2/3/4, n (%) | 44/53/34/15/32 (24.7/29.8/19.1/8.4/18.0) |
| Advanced liver fibrosis, n (%) | 47 (26.4) |
| Cirrhosis, n (%) | 32 (18.0) |
| Muscle and fat distribution based on CT | |
| Skeletal muscle mass cm2/m2 | 51.0 [45.8–58.2] |
| Subcutaneous adipose tissue index cm2/m2 | 64.4 [48.1–86.1] |
| Visceral adipose tissue index cm2/m2 | 66.7 [50.2–86.1] |
| Parameter | Univariate | Multivariate | ||||
|---|---|---|---|---|---|---|
| OR | 95% CI | p-Value | OR | 95% CI | p-Value | |
| Age, years | 1.12 | 1.08–1.16 | <0.001 | 1.09 | 1.02–1.19 | 0.025 |
| Male (yes/no) | 3.79 | 1.80–7.94 | <0.001 | |||
| Obesity (yes/no) | 1.23 | 0.59–2.58 | 0.576 | |||
| Diabetes mellitus (yes/no) | 4.40 | 2.14–9.02 | <0.001 | 3.81 | 1.04–15.98 | 0.051 |
| Hypertension (yes/no) | 5.85 | 2.81–12.15 | <0.001 | 3.79 | 0.99–15.89 | 0.056 |
| ALT, U/L | 0.98 | 0.98–0.99 | 0.002 | |||
| GGT, U/L | 1.00 | 1.00–1.00 | 0.753 | |||
| PLT, ×109/L | 0.97 | 0.97–0.98 | <0.001 | 0.98 | 0.96–0.99 | <0.001 |
| Albumin, g/dL | 1.06 | 0.94–1.19 | 0.360 | |||
| PT INR | 0.91 | 0.59–1.41 | 0.669 | |||
| CRP, mg/dL | 0.76 | 0.37–1.56 | 0.458 | |||
| HDL, mg/dL | 0.98 | 0.95–1.01 | 0.187 | |||
| LDL, mg/dL | 0.98 | 0.97–1.00 | 0.005 | |||
| TG, mg/dL | 0.99 | 0.99–1.00 | 0.020 | |||
| Severe NASH (yes/no) | 3.85 | 1.92–7.74 | <0.001 | 8.66 | 2.13–46.40 | 0.005 |
| SMI (high/low) | 0.23 | 0.05–1.03 | 0.055 | |||
| SATI (high/low) | 1.13 | 0.57–2.21 | 0.732 | |||
| VATI (high/low) | 6.90 | 3.28–14.54 | <0.001 | 6.77 | 1.81–29.90 | 0.007 |
Publisher’s Note: MDPI stays neutral with regard to jurisdictional claims in published maps and institutional affiliations. |
© 2021 by the authors. Licensee MDPI, Basel, Switzerland. This article is an open access article distributed under the terms and conditions of the Creative Commons Attribution (CC BY) license (https://creativecommons.org/licenses/by/4.0/).
Share and Cite
Kang, M.-K.; Baek, J.-H.; Kweon, Y.-O.; Tak, W.-Y.; Jang, S.-Y.; Lee, Y.-R.; Hur, K.; Kim, G.; Lee, H.-W.; Han, M.-H.; et al. Association of Skeletal Muscle and Adipose Tissue Distribution with Histologic Severity of Non-Alcoholic Fatty Liver. Diagnostics 2021, 11, 1061. https://doi.org/10.3390/diagnostics11061061
Kang M-K, Baek J-H, Kweon Y-O, Tak W-Y, Jang S-Y, Lee Y-R, Hur K, Kim G, Lee H-W, Han M-H, et al. Association of Skeletal Muscle and Adipose Tissue Distribution with Histologic Severity of Non-Alcoholic Fatty Liver. Diagnostics. 2021; 11(6):1061. https://doi.org/10.3390/diagnostics11061061
Chicago/Turabian StyleKang, Min-Kyu, Jung-Hun Baek, Young-Oh Kweon, Won-Young Tak, Se-Young Jang, Yu-Rim Lee, Keun Hur, Gyeonghwa Kim, Hye-Won Lee, Man-Hoon Han, and et al. 2021. "Association of Skeletal Muscle and Adipose Tissue Distribution with Histologic Severity of Non-Alcoholic Fatty Liver" Diagnostics 11, no. 6: 1061. https://doi.org/10.3390/diagnostics11061061
APA StyleKang, M.-K., Baek, J.-H., Kweon, Y.-O., Tak, W.-Y., Jang, S.-Y., Lee, Y.-R., Hur, K., Kim, G., Lee, H.-W., Han, M.-H., Choi, J.-H., Park, S.-Y., & Park, J.-G. (2021). Association of Skeletal Muscle and Adipose Tissue Distribution with Histologic Severity of Non-Alcoholic Fatty Liver. Diagnostics, 11(6), 1061. https://doi.org/10.3390/diagnostics11061061

