The Development of a Standardized Quality Assessment Material to Support Xpert® HIV-1 Viral Load Testing for ART Monitoring in South Africa
Abstract
1. Introduction
2. Materials and Methods
2.1. Panel Material Preparation
2.2. Xpert® HIV-1 VL Quality Panel Testing
2.3. Result Return and Performance Scoring
2.4. Verification and EQA Pilot Field Evaluation
2.5. Stability Testing
3. Results
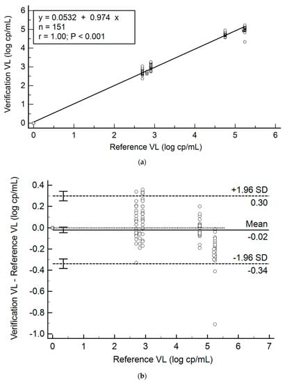
3.1. Verification Panel Performance
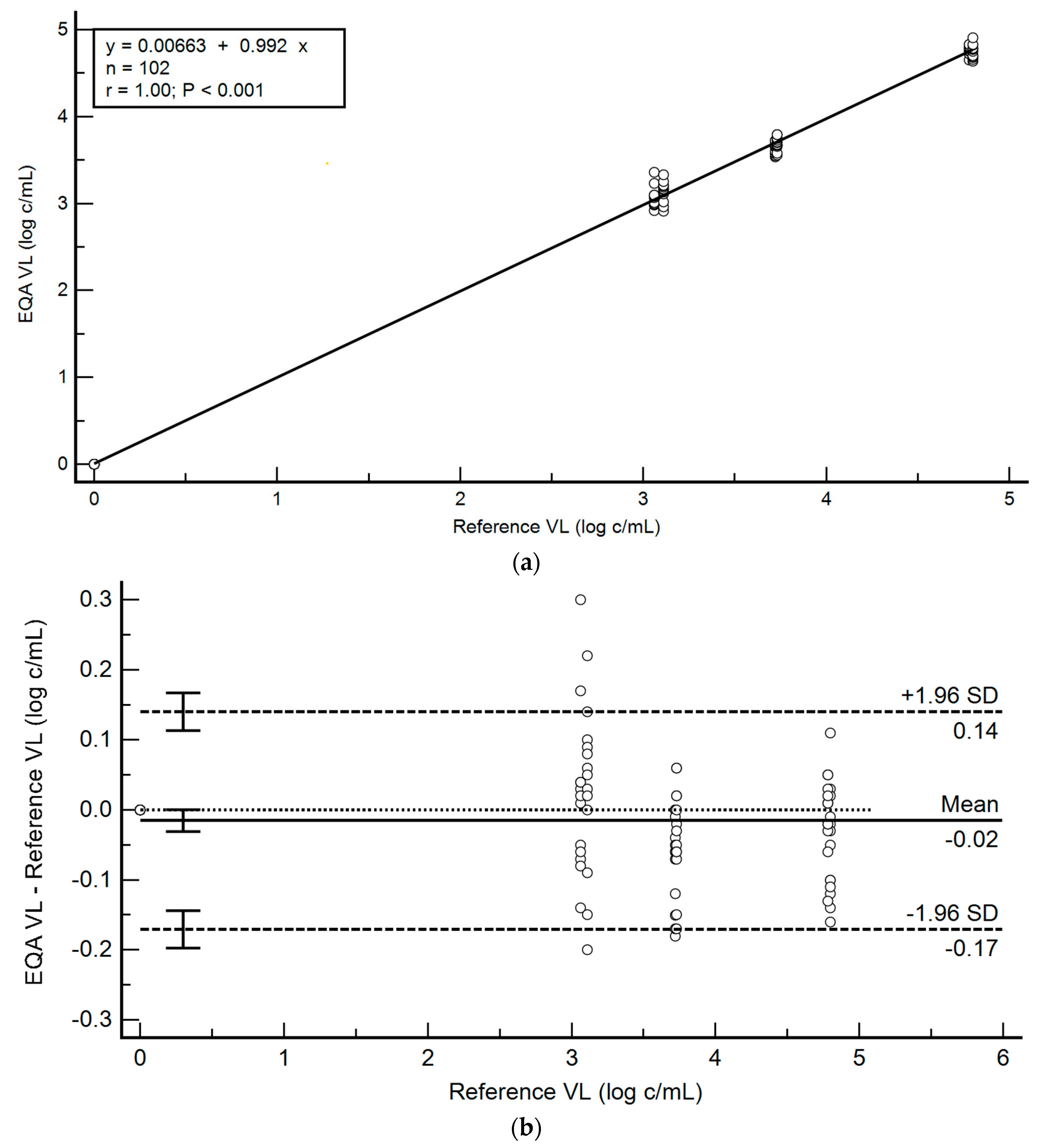
3.2. Pilot EQA Performance
3.3. Retrospective Result Analysis
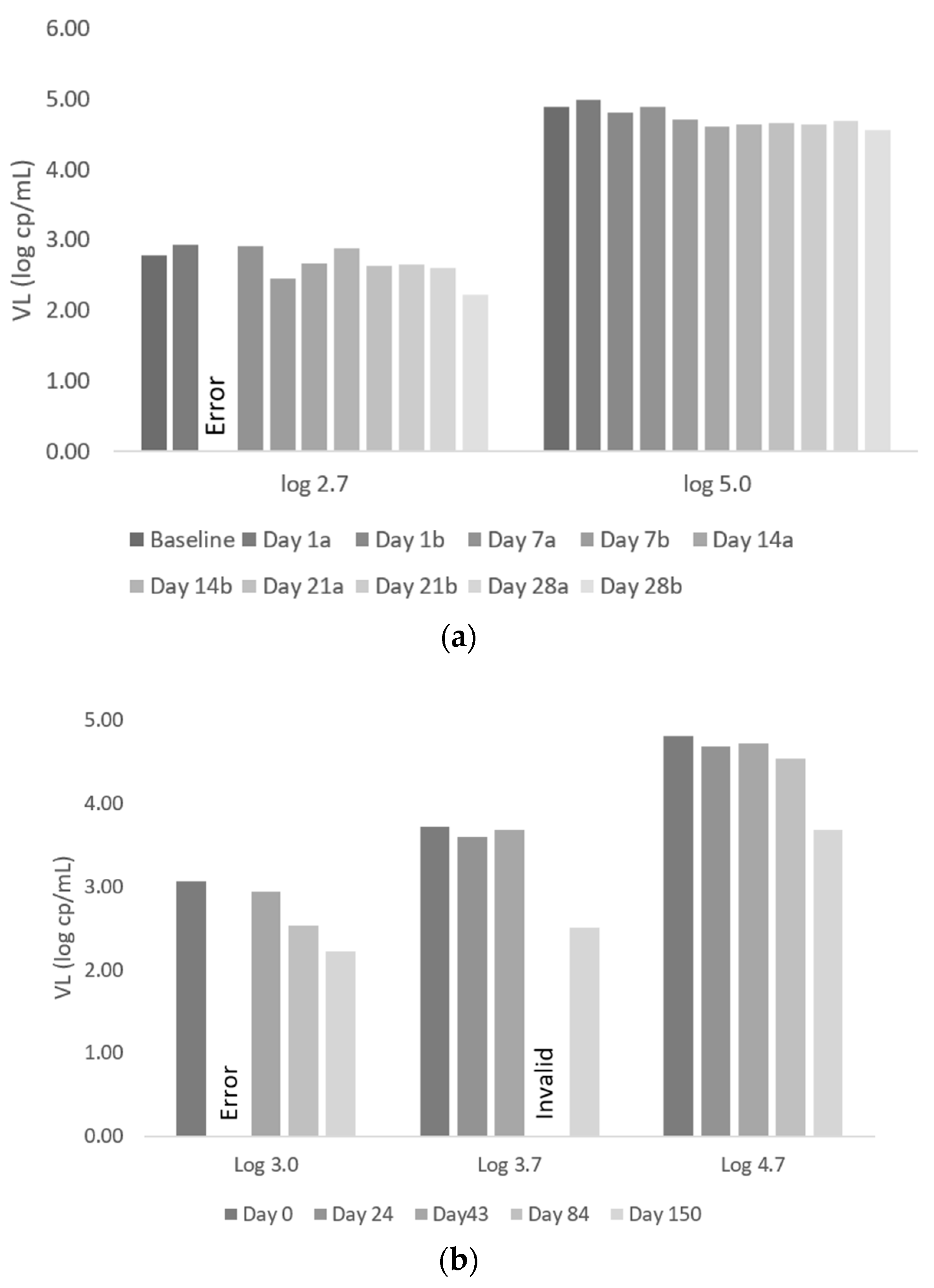
3.4. Specimen Stability
4. Discussion
Supplementary Materials
Author Contributions
Funding
Institutional Review Board Statement
Informed Consent Statement
Acknowledgments
Conflicts of Interest
References
- Joint United Nations Programme for HIV/AIDS. 90–90–90—An Ambitious Treatment Target to Help End the Aids Epidemic; UNAIDS: Geneva, Switzerland, 2014; Available online: https://www.unaids.org/sites/default/files/media_asset/90-90-90_en.pdf (accessed on 30 November 2020).
- UNAIDS. Fast-Track: Ending the AIDS Epidemic by 2030. 2014. Available online: http://www.unaids.org/sites/default/files/media_asset/JC2686_WAD2014report_en.pdf (accessed on 28 July 2018).
- UNAIDS. Global HIV and AIDS Statistics—2020 Fact Sheet. 2020. Available online: https://unaids.org/en/resources/fact-sheet (accessed on 25 November 2020).
- UNAIDS. UNAIDS Data 2020. 2020. Available online: https://www.unaids.org/sites/default/files/media_asset/2020-aids-data-book_en.pdf (accessed on 25 November 2020).
- World Health Organisation. Consolidated Guidelines on the Use of Anitretroviral Drugs for Treating and Preventing HIV Infection: Recommendations for a Public Health Approach, 2nd ed.; World Health Organisation: Geneva, Switzerland, 2016. [Google Scholar]
- Berger, A.; Scherzed, L.; Sturmer, M.; Preiser, W.; Doerr, H.W.; Rabenau, H.F. Comparative evaluation of the Cobas Amplicor HIV-1 Monitor Ultrasensitive Test, the new Cobas AmpliPrep/Cobas Amplicor HIV-1 Monitor Ultrasensitive Test and the Versant HIV RNA 3.0 assays for quantitation of HIV-1 RNA in plasma samples. J. Clin. Virol. Off. Publ. Pan Am. Soc. Clin. Virol. 2005, 33, 43–51. [Google Scholar] [CrossRef] [PubMed]
- De Mendoza, C.; Koppelman, M.; Montes, B.; Ferre, V.; Soriano, V.; Cuypers, H.; Segondy, M.; Oosterlaken, T. Multicenter evaluation of the NucliSens EasyQ HIV-1 v1.1 assay for the quantitative detection of HIV-1 RNA in plasma. J. Virol. Methods 2005, 127, 54–59. [Google Scholar] [CrossRef] [PubMed]
- Stevens, W.; Horsfield, P.; Scott, L.E. Evaluation of the performance of the automated NucliSENS easyMAG and EasyQ systems versus the Roche AmpliPrep-AMPLICOR combination for high-throughput monitoring of human immunodeficiency virus load. J. Clin. Microbiol. 2007, 45, 1244–1249. [Google Scholar] [CrossRef] [PubMed][Green Version]
- Scott, L.E.; Noble, L.D.; Moloi, J.; Erasmus, L.; Venter, W.D.; Stevens, W. Evaluation of the Abbott m2000 RealTime human immunodeficiency virus type 1 (HIV-1) assay for HIV load monitoring in South Africa compared to the Roche Cobas AmpliPrep-Cobas Amplicor, Roche Cobas AmpliPrep-Cobas TaqMan HIV-1, and BioMerieux NucliSENS EasyQ HIV-1 assays. J. Clin. Microbiol. 2009, 47, 2209–2217. [Google Scholar] [CrossRef] [PubMed]
- Chung, E.; Ferns, R.B.; He, M.; Rigatti, R.; Grant, P.; McCormick, A.; Bhagani, S.; Webster, D.P.; Nastouli, E.; Waters, L.J. Ultra-deep sequencing provides insights into the virology of hepatitis C super-infections in a case of three sequential infections with different genotypes. J. Clin. Virol. Off. Publ. Pan Am. Soc. Clin. Virol. 2015, 70, 63–66. [Google Scholar] [CrossRef] [PubMed]
- Manak, M.M.; Hack, H.R.; Nair, S.V.; Worlock, A.; Malia, J.A.; Peel, S.A.; Jagodzinski, L.L. Evaluation of Hologic Aptima HIV-1 Quant Dx Assay on the Panther System on HIV Subtypes. J. Clin. Microbiol. 2016, 54, 2575–2581. [Google Scholar] [CrossRef][Green Version]
- Sam, S.S.; Kurpewski, J.R.; Cu-Uvin, S.; Caliendo, A.M. Evaluation of Performance Characteristics of the Aptima HIV-1 Quant Dx Assay for Detection and Quantitation of Human Immunodeficiency Virus Type 1 in Plasma and Cervicovaginal Lavage Samples. J. Clin. Microbiol. 2016, 54, 1036–1041. [Google Scholar] [CrossRef]
- Longo, S.; Bon, I.; Musumeci, G.; Bertoldi, A.; D’Urbano, V.; Calza, L.; Re, M.C. Comparison of the Aptima HIV-1 Quant Dx assay with the COBAS AmpliPrep/COBAS TaqMan HIV-1 v2.0 Test for HIV-1 viral load quantification in plasma samples from HIV-1-infected patients. Health Sci. Rep. 2018, 1, e31. [Google Scholar] [CrossRef]
- Sacks, J.A.; Fong, Y.; Gonzalez, M.P.; Andreotti, M.; Baliga, S.; Garrett, N.; Jordan, J.; Karita, E.; Kulkarni, S.; Mor, O.; et al. Performance of Cepheid Xpert HIV-1 viral load plasma assay to accurately detect treatment failure. Aids 2019, 33, 1881–1889. [Google Scholar] [CrossRef]
- Carmona, S.; Peter, T.; Berrie, L. HIV viral load scale-up: Multiple interventions to meet the HIV treatment cascade. Curr. Opin. HIV AIDS 2017, 12, 157–164. [Google Scholar] [CrossRef]
- Nichols, B.E.; Girdwood, S.J.; Crompton, T.; Stewart-Isherwood, L.; Berrie, L.; Chimhamhiwa, D.; Moyo, C.; Kuehnle, J.; Stevens, W.; Rosen, S.; et al. Monitoring viral load for the last mile: What will it cost? J. Int. AIDS Soc. 2019, 22, e25337. [Google Scholar] [CrossRef] [PubMed]
- Amellal, B.; Murphy, R.; Maiga, A.; Brucker, G.; Katlama, C.; Calvez, V.; Marcelin, A.G. Stability of HIV RNA in plasma specimens stored at different temperatures. HIV Med. 2008, 9, 790–793. [Google Scholar] [CrossRef] [PubMed]
- Vandamme, A.M.; Van Laethem, K.; Schmit, J.C.; Van Wijngaerden, E.; Reynders, M.; Debyser, Z.; Witvrouw, M.; Van Ranst, M.; De Clercq, E.; Desmyter, J. Long-term stability of human immunodeficiency virus viral load and infectivity in whole blood. Eur. J. Clin. Investig. 1999, 29, 445–452. [Google Scholar] [CrossRef] [PubMed]
- Hardie, D.; Korsman, S.; Ameer, S.; Vojnov, L.; Hsiao, N.Y. Reliability of plasma HIV viral load testing beyond 24 hours: Insights gained from a study in a routine diagnostic laboratory. PLoS ONE 2019, 14, e0219381. [Google Scholar] [CrossRef]
- Abbott RealTime HIV1 Kit Insert 51-602100/R10 [Internet]. 2014. Available online: https://www.who.int/diagnostics_laboratory/evaluations/pq-list/hiv-vrl/160530_0145_027_00_final_public_report_v2.pdf (accessed on 30 November 2020).
- Roche CAP/CTM HIV-1 v2.0 EXPT-IVD [Internet]. 2018. Available online: https://pim-eservices.roche.com/eLD/api/downloads/ee10c6ed-0bff-e911-fa90-005056a71a5d?countryIsoCode=za (accessed on 30 November 2020).
- Goedhals, D.; Scott, L.E.; Moretti, S.; Cooper, M.A.; Opperman, W.J.; Rossouw, I. Evaluation of the use of plasma preparation tubes for HIV viral load testing on the COBAS AmpliPrep/COBAS TaqMan HIV-1 version 2.0. J. Virol. Methods 2013, 187, 248–250. [Google Scholar] [CrossRef] [PubMed]
- Luo, R.; Markby, J.; Sacks, J.; Vojnov, L. Systematic review of the accuracy of plasma preparation tubes for HIV viral load testing. PLoS ONE 2019, 14, e0225393. [Google Scholar] [CrossRef]
- Ginocchio, C.C.; Wang, X.P.; Kaplan, M.H.; Mulligan, G.; Witt, D.; Romano, J.W.; Cronin, M.; Carroll, R. Effects of specimen collection, processing, and storage conditions on stability of human immunodeficiency virus type 1 RNA levels in plasma. J. Clin. Microbiol. 1997, 35, 2886–2893. [Google Scholar] [CrossRef]
- Dickover, R.E.; Herman, S.A.; Saddiq, K.; Wafer, D.; Dillon, M.; Bryson, Y.J. Optimization of specimen-handling procedures for accurate quantitation of levels of human immunodeficiency virus RNA in plasma by reverse transcriptase PCR. J. Clin. Microbiol. 1998, 36, 1070–1073. [Google Scholar] [CrossRef]
- Sikombe, K.; Hantuba, C.; Musukuma, K.; Sharma, A.; Padian, N.; Holmes, C.; Czaicki, N.; Simbeza, S.; Somwe, P.; Bolton-Moore, C.; et al. Accurate dried blood spots collection in the community using non-medically trained personnel could support scaling up routine viral load testing in resource limited settings. PLoS ONE 2019, 14, e0223573. [Google Scholar] [CrossRef]
- Rutstein, S.E.; Hosseinipour, M.C.; Kamwendo, D.; Soko, A.; Mkandawire, M.; Biddle, A.K.; Miller, W.C.; Weinberger, M.; Wheeler, S.B.; Sarr, A.; et al. Dried blood spots for viral load monitoring in Malawi: Feasible and effective. PLoS ONE 2015, 10, e0124748. [Google Scholar] [CrossRef]
- Barnabas, R.; Coombs, R.; Chang, M.; Schaafsma, T.; Asiimwe, S.; Thomas, K.; Baeten, J.; Celum, C. Dried Blood Spots Provide Accurate Enumeration of HIV-1 Viral Load in East Africa. In Proceedings of the 21st International AIDS Conference, Durban, South Africa, 18–22 July 2016. [Google Scholar]
- Schmitz, M.E.; Agolory, S.; Junghae, M.; Broyles, L.N.; Kimeu, M.; Ombayo, J.; Umuro, M.; Mukui, I.; Alwenya, K.; Baraza, M.; et al. Field evaluation of Dried Blood Spots for HIV-1 viral load monitoring in adults and children receiving antiretroviral treatment in Kenya: Implications for scale-up in resource-limited settings. J. Acquir. Immune Defic. Syndr. 2017. [Google Scholar] [CrossRef] [PubMed]
- Pollack, T.M.; Duong, H.T.; Truong, P.T.; Pham, T.T.; Do, C.D.; Colby, D. Sensitivity and specificity of two dried blood spot methods for HIV-1 viral load monitoring among patients in Hanoi, Vietnam. PLoS ONE 2018, 13, e0191411. [Google Scholar] [CrossRef] [PubMed]
- Zeh, C.; Ndiege, K.; Inzaule, S.; Achieng, R.; Williamson, J.; Chih-Wei Chang, J.; Ellenberger, D.; Nkengasong, J. Evaluation of the performance of Abbott m2000 and Roche COBAS Ampliprep/COBAS Taqman assays for HIV-1 viral load determination using dried blood spots and dried plasma spots in Kenya. PLoS ONE 2017, 12, e0179316. [Google Scholar] [CrossRef] [PubMed]
- Zida, S.; Tuaillon, E.; Barro, M.; Kwimatouo Lekpa Franchard, A.; Kagone, T.; Nacro, B.; Ouedraogo, A.S.; Bollore, K.; Sanosyan, A.; Plantier, J.C.; et al. Estimation of HIV-1 DNA Level Interfering with Reliability of HIV-1 RNA Quantification Performed on Dried Blood Spots Collected from Successfully Treated Patients. J. Clin. Microbiol. 2016, 54, 1641–1643. [Google Scholar] [CrossRef] [PubMed]
- Smit, P.W.; Sollis, K.A.; Fiscus, S.; Ford, N.; Vitoria, M.; Essajee, S.; Barnett, D.; Cheng, B.; Crowe, S.M.; Denny, T.; et al. Systematic review of the use of dried blood spots for monitoring HIV viral load and for early infant diagnosis. PLoS ONE 2014, 9, e86461. [Google Scholar] [CrossRef] [PubMed]
- Inzaule, S.C.; Hamers, R.L.; Zeh, C.E.; Rinke de Wit, T.F. Stringent HIV Viral Load Threshold for Virological Failure Using Dried Blood Spots: Is the Perfect the Enemy of the Good? J. Acquir. Immune Defic. Syndr. 2016, 71, e30–e33. [Google Scholar] [CrossRef]
- Cassim, N.; Coetzee, L.M.; Stevens, W.S.; Glencross, D.K. Addressing antiretroviral therapy-related diagnostic coverage gaps across South Africa using a programmatic approach. Afr. J. Lab. Med. 2018, 7, 681. [Google Scholar] [CrossRef]
- Glencross, D.K.; Coetzee, L.M.; Cassim, N. An integrated tiered service delivery model (ITSDM) based on local CD4 testing demands can improve turn-around times and save costs whilst ensuring accessible and scalable CD4 services across a national programme. PLoS ONE 2014, 9, e114727. [Google Scholar] [CrossRef]
- Gous, N.; Scott, L.; Berrie, L.; Stevens, W. Options to Expand HIV Viral Load Testing in South Africa: Evaluation of the GeneXpert(R) HIV-1 Viral Load Assay. PLoS ONE 2016, 11, e0168244. [Google Scholar] [CrossRef]
- World Health Organisation. WHO Prequalification of In Vitro Diagnostics PUBLIC REPORT Product: Xpert® HIV-1 Viral Load with GeneXpert® Dx, GeneXpert® Infinity-48, GeneXpert® Infinity-48s and GeneXpert® Infinity-80; WHO Reference Numbers: PQDx 0192-070-00, PQDx 0193-070-00, PQDx 0194-070-00, PQDx 0195-070-00. Available online: http://www.who.int/diagnostics_laboratory/evaluations/pq-list/hiv-vrl/170720_final_pq_report_pqdx_0192_0193_0194_0195_070-00.pdf?ua=1 (accessed on 2 August 2017).
- Payne, D.A.; Russomando, G.; Linder, M.W.; Baluchova, K.; Ashavaid, T.; Steimer, W.; Ahmad-Nejad, P. External quality assessment (EQA) and alternative assessment procedures (AAPs) in molecular diagnostics: Findings of an international survey. Clin. Chem. Lab. Med. 2020. [Google Scholar] [CrossRef]
- World Health Organisation. Global TB Programme and Department of HIV/AIDS Information Note: Considerations for Adoption and Use of Multidesease Testing Devices in Integrated Laboratory Networks. 2017. Available online: https://www.who.int/tb/publications/2017/considerations_multidisease_testing_devices_2017/en/ (accessed on 12 December 2019).
- Parekh, B.S.; Anyanwu, J.; Patel, H.; Downer, M.; Kalou, M.; Gichimu, C.; Keipkerich, B.S.; Clement, N.; Omondi, M.; Mayer, O.; et al. Dried tube specimens: A simple and cost-effective method for preparation of HIV proficiency testing panels and quality control materials for use in resource-limited settings. J. Virol. Methods 2010, 163, 295–300. [Google Scholar] [CrossRef] [PubMed]
- Nguyen, S.; Ramos, A.; Chang, J.; Li, B.; Shanmugam, V.; Boeras, D.; Nkengasong, J.N.; Yang, C.; Ellenberger, D. Monitoring the quality of HIV-1 viral load testing through a proficiency testing program using dried tube specimens in resource-limited settings. J. Clin. Microbiol. 2015, 53, 1129–1136. [Google Scholar] [CrossRef] [PubMed]
- Ramos, A.; Nguyen, S.; Garcia, A.; Subbarao, S.; Nkengasong, J.N.; Ellenberger, D. Generation of dried tube specimen for HIV-1 viral load proficiency test panels: A cost-effective alternative for external quality assessment programs. J. Virol. Methods 2013, 188, 1–5. [Google Scholar] [CrossRef]
- Scott, L.E.; Carmona, S.; Gous, N.; Horsfield, P.; Mackay, M.; Stevens, W. Use of a prequalification panel for rapid scale-up of high-throughput HIV viral load testing. J. Clin. Microbiol. 2012, 50, 4083–4086. [Google Scholar] [CrossRef][Green Version]
- Gous, N.; Bethlehem, L.; Subramunian, C.; Coetzee, J.; Stevens, W.; Scott, L.E. New Options for HIV Viral Load testing: The Panther Aptima HIV-1 Quant Dx assay (Hologics, Inc.). In Proceedings of the African Society for Laboratory Medicine, Cape Town, South Africa, 3–8 December 2016. [Google Scholar]
- Scott, L.; Gous, N.; Carmona, S.; Stevens, W. Laboratory evaluation of the Liat HIV Quant (IQuum) whole-blood and plasma HIV-1 viral load assays for point-of-care testing in South Africa. J. Clin. Microbiol. 2015, 53, 1616–1621. [Google Scholar] [CrossRef] [PubMed]
- Scott, L.; Gous, N.; Carmona, S.; Stevens, W. Performance of Xpert® HIV-1 Quant compared to Roche CAP/CTM v2 and Abbott RealTime HIV-1 on a prequalification plasma validation panel. In Proceedings of the African Society of Laboratory Medicine (ASLM), Cape Town, South Africa, 30 November–4 December 2014. [Google Scholar]
- Evaluation of Automatic Class III Designation for PrimeStore MTM Decision Summary. 2018. Available online: https://www.accessdata.fda.gov/cdrh_docs/reviews/DEN170029.pdf (accessed on 11 December 2019).
- Daum, L.T.; Fourie, P.B.; Peters, R.P.; Rodriguez, J.D.; Worthy, S.A.; Khubbar, M.; Bhattacharyya, S.; Gradus, M.S.; Mboneni, T.; Marubini, E.E.; et al. Xpert((R)) MTB/RIF detection of Mycobacterium tuberculosis from sputum collected in molecular transport medium. Int. J. Tuberc Lung. Dis. 2016, 20, 1118–1124. [Google Scholar] [CrossRef] [PubMed]
- Daum, L.T.; Choi, Y.; Worthy, S.A.; Rodriguez, J.D.; Chambers, J.P.; Fischer, G.W. A molecular transport medium for collection, inactivation, transport, and detection of Mycobacterium tuberculosis. Int. J. Tuberc. Lung Dis. 2014, 18, 847–849. [Google Scholar] [CrossRef] [PubMed]
- Mboneni, T.A.; Eales, O.O.; Maningi, N.e.; Hugo, J.F.M.; Fourie, P.B. Detection by RT-PCR of Mycobacterium tuberculosis from oral swab specimens using PrimeStore(R) molecular transport medium. In Proceedings of the 20th European Congress of Clinical Microbiology and Infectious Diseases, Amsterdam, The Netherlands, 13–16 April 2019. [Google Scholar]
- Molina-Moya, B.; Ciobanu, N.; Hernandez, M.; Prat-Aymerich, C.; Crudu, V.; Adams, E.R.; Codreanu, A.; Sloan, D.J.; Cuevas, L.E.; Dominguez, J. Molecular Detection of Mycobacterium tuberculosis in Oral Mucosa from Patients with Presumptive Tuberculosis. J. Clin. Med. 2020, 9, 4124. [Google Scholar] [CrossRef]
- Bimba, J.S.; Lawson, L.; Kontogianni, K.; Edwards, T.; Ekpenyong, B.E.; Dodd, J.; Adams, E.R.; Sloan, D.J.; Creswell, J.; Dominguez, J.; et al. PrimeStore MTM and OMNIgene Sputum for the Preservation of Sputum for Xpert MTB/RIF Testing in Nigeria. J. Clin. Med. 2019, 8, 2146. [Google Scholar] [CrossRef]
- Schlaudecker, E.P.; Heck, J.P.; MacIntyre, E.T.; Martinez, R.; Dodd, C.N.; McNeal, M.M.; Staat, M.A.; Heck, J.E.; Steinhoff, M.C. Comparison of a new transport medium with universal transport medium at a tropical field site. Diagn. Microbiol. Infect. Dis. 2014, 80, 107–110. [Google Scholar] [CrossRef]
- Daum, L.T.; Worthy, S.A.; Yim, K.C.; Nogueras, M.; Schuman, R.F.; Choi, Y.W.; Fischer, G.W. A clinical specimen collection and transport medium for molecular diagnostic and genomic applications. Epidemiol. Infect. 2011, 139, 1764–1773. [Google Scholar] [CrossRef] [PubMed]
- Daum, L.T.; Rodriguez, J.D.; Fischer, J.D.; Fischer, G.W. Influenza Viral Detection from Nasal Wash, Throat, and Nasophayngeal Swabs Collected and Preserved in PrimeStore Molecular Transport Medium. In Proceedings of the 6th ISIRV-AVG Conference, Washington, DC, USA, 13–15 November 2018. [Google Scholar]
- Van Bockel, D.; Munier, C.M.L.; Turville, S.; Badman, S.G.; Walker, G.; Stella, A.O.; Aggarwal, A.; Yeang, M.; Condylios, A.; Kelleher, A.D.; et al. Evaluation of Commercially Available Viral Transport Medium (VTM) for SARS-CoV-2 Inactivation and Use in Point-of-Care (POC) Testing. Viruses 2020, 12, 1208. [Google Scholar] [CrossRef] [PubMed]
- Gous, N.; Scott, L.; Stevens, W. Can dried blood spots or whole blood liquid transport media extend access to HIV viral load testing? In Proceedings of the African Society for Laboratory Medicine Conference, Cape Town, South Africa, 30 November–2 December 2014. [Google Scholar]
- Hengel, B.; Causer, L.; Matthews, S.; Smith, K.; Andrewartha, K.; Badman, S.; Spaeth, B.; Tangey, A.; Cunningham, P.; Phillips, E.; et al. A decentralised point-of-care testing model to address inequities in the COVID-19 response. Lancet. Infect. Dis. 2020. [Google Scholar] [CrossRef]
- Cunningham, B.; Scott, L.; Molapo, S.; Gous, N.; Erasmus, L.; Stevens, W. Web-based automated EQA and Instrument Verification reporting tool for the Xpert® MTB/RIF assay. In Proceedings of the 3rd South African TB Conference, Durban, South Africa, 2–5 June 2012. [Google Scholar]
- Senechal, B.; James, V.L. Ten years of external quality assessment of human immunodeficiency virus type 1 RNA quantification. J. Clin. Microbiol. 2012, 50, 3614–3619. [Google Scholar] [CrossRef] [PubMed]
- Brambilla, D.; Granger, S.; Bremer, J. Variation in HIV RNA assays at low RNA concentration, abstr 774. In Proceedings of the 7th Conference on Retroviruses and Opportunistic Infections (ROI), San Francisco, CA, USA, 30 January–2 February 2000. [Google Scholar]
- Gous, N.; Cunningham, B.; Kana, B.; Stevens, W.; Scott, L.E. Performance monitoring of mycobacterium tuberculosis dried culture spots for use with the GeneXpert system within a national program in South Africa. J. Clin. Microbiol. 2013, 51, 4018–4021. [Google Scholar] [CrossRef]
- Scott, L.E.; Gous, N.; Cunningham, B.E.; Kana, B.D.; Perovic, O.; Erasmus, L.; Coetzee, G.J.; Koornhof, H.; Stevens, W. Dried culture spots for Xpert MTB/RIF external quality assessment: Results of a phase 1 pilot study in South Africa. J. Clin. Microbiol. 2011, 49, 4356–4360. [Google Scholar] [CrossRef][Green Version]
- Lin, L.I.-K. A note on the concordance correlation coefficient. Biometrics 2000, 56, 324–325. [Google Scholar]
- Lin, L.I.-K. A concordance correlation coefficient to evaluate reproducibility. Biometrics 1989, 45, 255–268. [Google Scholar] [CrossRef]
- Bland, J.M.; Altman, D.G. Measuring agreement in method comparison studies. Stat. Methods Med. Res. 1999, 8, 135–160. [Google Scholar] [CrossRef]
- Bland, J.M.; Altman, D.G. Statistical methods for assessing agreement between two methods of clinical measurement. Lancet 1986, 1, 307–310. [Google Scholar] [CrossRef]
- World Health Organization. Laboratory Quality Management System (LQMS) Training Toolkit, Modules 10: External Quality Assessment (EQA): Module 10; World Health Organization: Geneva, Switzerland, 2011; Available online: https://www.who.int/ihr/training/laboratory_quality/eqa_assessment/en/ (accessed on 16 January 2021).
- Gous, N.M.; Onyebujoh, P.C.; Abimiku, A.; Macek, C.; Takle, J. The role of connected diagnostics in strengthening regional, national and continental African disease surveillance. Afr. J. Lab. Med. 2018, 7, 775. [Google Scholar] [CrossRef] [PubMed]
- Nash, M.; Huddart, S.; Badar, S.; Baliga, S.; Saravu, K.; Pai, M. Performance of the Xpert HIV-1 Viral Load Assay: A Systematic Review and Meta-analysis. J. Clin. Microbiol. 2018, 56. [Google Scholar] [CrossRef] [PubMed]
- International Air Transport Association. Infectious Substances Shipping Guidelines, 15th ed.; International Air Transport Association, Ed.; International Air Transport Association: Montreal, QC, Canada, 2020. [Google Scholar]
- Reeve, B.W.P.; McFall, S.M.; Song, R.; Warren, R.; Steingart, K.R.; Theron, G. Commercial products to preserve specimens for tuberculosis diagnosis: A systematic review. Int. J. Tuberc. Lung Dis. 2018, 22, 741–753. [Google Scholar] [CrossRef] [PubMed]
- Nolte, F.S. Impact of viral load testing on patient care. Arch. Pathol. Lab. Med. 1999, 123, 1011–1014. [Google Scholar] [CrossRef]




| Specimen Score | Results | Outcome |
|---|---|---|
| 2/2 | Correct result | Pass |
| 1/2 | Error, Invalid, No result >1.0 log cp/mL quantifiable result bias | Acceptable |
| 0/2 | Incorrect result (e.g., HIV positive reported as HIV negative) | Concern |
| Verification Score | Percentage Performance | Outcome |
| 6/6 | 100% | Pass |
| 5/6 | 83.3% | Acceptable |
| ≤4/6 | 66.7% | Unacceptable |
| EQA Score | Percentage Performance | Outcome |
| 8/8 | 100% | Pass |
| 7/8 | 87.5% | Acceptable |
| 6/8 | 75.0% | Concern |
| ≤5/8 | 62.5% | Unacceptable |
| Panel | Expected Viral Load (log cp/mL) | Reference Viral Load (log cp/mL) | Tested (n) | Result Obtained (n (%)) | Viral Load Bias (Mean (Median) Range) (log cp/mL) | Standard DeViation of Mean Bias (log cp/mL) | Error (n) | Invalid (n) | Reference vs. Mean (log cp/mL) |
|---|---|---|---|---|---|---|---|---|---|
| 1 | Negative | Negative | 52 | 39 (75.0) | 0 | 0 | 12 | 1 | 0 |
| 2 c | Negative | Negative | 5 | 5 (100) | 0 | 0 | 0 | 0 | 0 |
| 1 | 2.70 | 2.70 | 26 | 23 (88.5) | 0.04 (0.06) −0.33, 0.34 | 0.15 | 2 | 1 | −0.04 |
| 2 c | 2.70 | 2.81 | 5 | 5 (100) | −0.11 (−0.10)) −0.19, −0.06 | 0.06 | 0 | 0 | 0.11 |
| Overall (log 2.70) | - | 31 | 28 (90.3) | 0.02 (−0.02) −0.33, 0.34 b | 0.15 | 2 | 1 | - | |
| 1 | 3.00 | 2.91 | 26 | 25 (96.2) | 0.13 (0.13) (−0.17, 0.36) | 0.16 | 1 | 0 | −0.14 |
| 1 | 4.70 | 4.75 | 26 | 25 (96.2) | −0.01 (0.00) −0.19, 0.20 | 0.09 | 1 | 0 | 0.01 |
| 1 | 5.00 | 5.24 | 26 | 25 (96.2) | −0.22 (−0.20) −0.91 a, −0.01 | 0.18 | 1 | 0 | 0.22 a |
| 2 c | 5.00 | 5.21 | 5 | 4 (80.0) | −0.25 (−0.25) −0.30; −0.20 | 0.04 | 0 | 1 | 0.25 |
| Overall (log 5.00) | - | 31 | 29 (93.6) | −0.23 (−0.22) −0.91; −0.01 | 0.17 | 1 | 1 | - | |
| Overall (57 verification panels) | 171 | 151/171 (88.3) Quantified: 107/114 (93.9) | −0.02 (0.00) (−0.91, 0.36) | 0.16 | 17 9.9% | 3 1.8% | 0.07 | ||
| Panel | Expected Viral Load (log cp/mL) | Reference Viral Load (log cp/mL) | Tested (n) | Result Obtained(n (%)) | Viral Load Bias (Mean (Median) Range) (log cp/mL) | Standard Deviation of Mean Bias(log cp/mL) | Error (n) | Reference vs. Mean(log cp/mL) |
|---|---|---|---|---|---|---|---|---|
| 1 | Negative | Negative | 13 | 13 (100) | 0 | 0 | - | 0 |
| 2 | Negative | Negative | 13 | 13 (100) | 0 | 0 | - | 0 |
| 1 | 3.00 | 3.06 | 13 | 12 (92.3) | 0.02 (0.02) −0.14, 0.30 | 0.11 | 1 | −0.02 |
| 2 | 3.00 | 3.11 | 13 | 13 (100) | 0.02 (0.04) −0.20, 0.22 | 0.12 | - | 0.05 |
| Overall (log 3.00) | 3.09 | 26 | 25 (96.2) | 0.02 (0.02) −0.20, 0.30 | 0.11 | 1 | - | |
| 1 | 3.70 | 3.72 | 13 | 13 (100) | −0.06 (−0.06) −0.18, 0.05 | 0.07 | - | 0.06 |
| 2 | 3.70 | 3.73 | 13 | 13 (100) | −0.04 (−0.04) −0.17, 0.06 | 0.07 | - | 0.01 |
| Overall (log 3.70) | 3.73 | 26 | 26 (100) | −0.05 (−0.05) −0.18, 0.06 | 0.07 | - | - | |
| 1 | 4.70 | 4.80 | 13 | 13 (100) | −0.05 (−0.04) −0.16; 0.11 | 0.08 | - | 0.05 |
| 2 | 4.70 | 4.78 | 13 | 12 (92.3) | −0.01 (0.01) −0.13, 0.05 | 0.05 | 1 | −0.02 |
| Overall (log 4.70) | 4.79 | 26 | 25 (96.2) | −0.03 (−0.02) −0.16; 0.11 | 0.07 | 1 | - | |
| Overall (26 EQA panels panels) | 104 | 102/104 (98.1) | −0.02 (−0.02) −0.20, 0.30 | 0.09 | 2 1.9% | - | ||
Publisher’s Note: MDPI stays neutral with regard to jurisdictional claims in published maps and institutional affiliations. |
© 2021 by the authors. Licensee MDPI, Basel, Switzerland. This article is an open access article distributed under the terms and conditions of the Creative Commons Attribution (CC BY) license (http://creativecommons.org/licenses/by/4.0/).
Share and Cite
Noble, L.D.; Scott, L.E.; Bongwe, A.; Da Silva, P.; Stevens, W.S. The Development of a Standardized Quality Assessment Material to Support Xpert® HIV-1 Viral Load Testing for ART Monitoring in South Africa. Diagnostics 2021, 11, 160. https://doi.org/10.3390/diagnostics11020160
Noble LD, Scott LE, Bongwe A, Da Silva P, Stevens WS. The Development of a Standardized Quality Assessment Material to Support Xpert® HIV-1 Viral Load Testing for ART Monitoring in South Africa. Diagnostics. 2021; 11(2):160. https://doi.org/10.3390/diagnostics11020160
Chicago/Turabian StyleNoble, Lara Dominique, Lesley Erica Scott, Asiashu Bongwe, Pedro Da Silva, and Wendy Susan Stevens. 2021. "The Development of a Standardized Quality Assessment Material to Support Xpert® HIV-1 Viral Load Testing for ART Monitoring in South Africa" Diagnostics 11, no. 2: 160. https://doi.org/10.3390/diagnostics11020160
APA StyleNoble, L. D., Scott, L. E., Bongwe, A., Da Silva, P., & Stevens, W. S. (2021). The Development of a Standardized Quality Assessment Material to Support Xpert® HIV-1 Viral Load Testing for ART Monitoring in South Africa. Diagnostics, 11(2), 160. https://doi.org/10.3390/diagnostics11020160

