Racial Differences in Functional and Sleep Outcomes with Positive Airway Pressure Treatment
Abstract
1. Introduction
2. Materials and Methods
2.1. Participants and Study Design
2.2. Measurements
2.2.1. Sample Characteristics
2.2.2. Subjective Measures of Sleepiness and Functional Outcomes
2.2.3. Objective Measures of Sleep
2.2.4. PAP Device and Adherence Data
2.2.5. Statistical Analyses
3. Results
3.1. Sample Characteristics
3.2. Group Comparisons of Subjective and Objective Sleep Outcomes
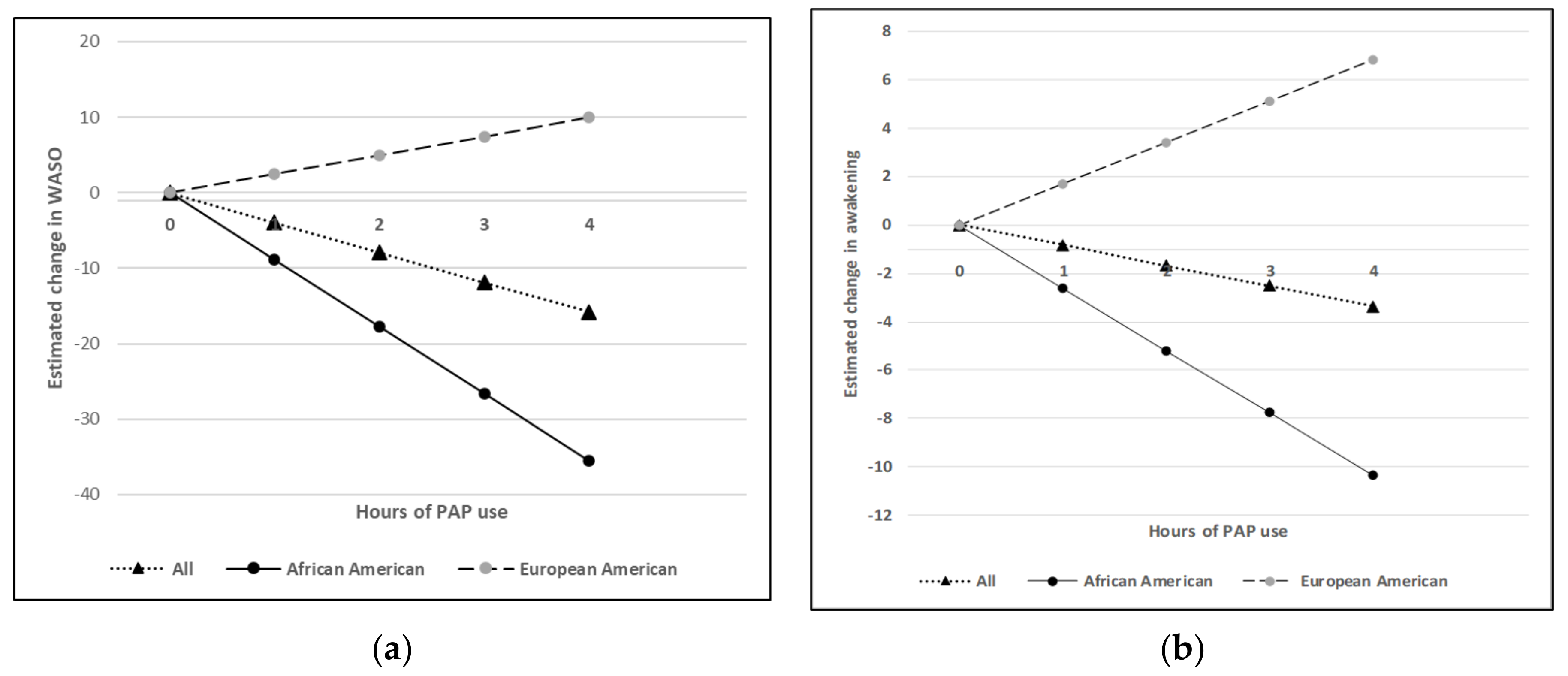
3.3. PAP Responsiveness between Groups
4. Discussion
5. Conclusions
Supplementary Materials
Author Contributions
Funding
Institutional Review Board Statement
Informed Consent Statement
Data Availability Statement
Conflicts of Interest
References
- Gottlieb, D.J.; Punjabi, N.M. Diagnosis and Management of Obstructive Sleep Apnea: A Review. JAMA 2020, 323, 1389–1400. [Google Scholar] [CrossRef]
- Javaheri, S.; Barbe, F.; Campos-Rodriguez, F.; Dempsey, J.A.; Khayat, R.; Javaheri, S.; Malhotra, A.; Martinez-Garcia, M.A.; Mehra, R.; Pack, A.I.; et al. Sleep Apnea: Types, Mechanisms, and Clinical Cardiovascular Consequences. J. Am. Coll. Cardiol. 2017, 69, 841–858. [Google Scholar] [CrossRef]
- Stepnowsky, C.; Johnson, S.; Dimsdale, J.; Ancoli-Israel, S. Sleep apnea and health-related quality of life in African-American elderly. Ann. Behav. Med. 2000, 22, 116–120. [Google Scholar] [CrossRef] [PubMed]
- Olafiranye, O.; Akinboboye, O.; Mitchell, J.E.; Ogedegbe, G.; Jean-Louis, G. Obstructive sleep apnea and cardiovascular disease in blacks: A call to action from the Association of Black Cardiologists. Am. Heart J. 2013, 165, 468–476. [Google Scholar] [CrossRef]
- Chasens, E.R.; Ratcliffe, S.J.; Weaver, T.E. Development of the FOSQ-10: A short version of the Functional Outcomes of Sleep Questionnaire. Sleep 2009, 32, 915–919. [Google Scholar] [CrossRef] [PubMed]
- Lee, I.S.; Bardwell, W.; Ancoli-Israel, S.; Natarajan, L.; Loredo, J.S.; Dimsdale, J.E. The Relationship between psychomotor vigilance performance and quality of life in obstructive sleep apnea. J. Clin. Sleep Med. 2011, 7, 254–260. [Google Scholar] [CrossRef] [PubMed]
- Schwab, R.J.; Badr, S.M.; Epstein, L.J.; Gay, P.C.; Gozal, D.; Kohler, M.; Lévy, P.; Malhotra, A.; Phillips, B.A.; Rosen, I.M.; et al. An official American Thoracic Society statement: Continuous positive airway pressure adherence tracking systems. The optimal monitoring strategies and outcome measures in adults. Am. J. Respir. Crit. Care Med. 2013, 188, 613–620. [Google Scholar] [CrossRef]
- Jonas, D.E.; Amick, H.R.; Feltner, C.; Weber, R.P.; Arvanitis, M.; Stine, A.; Lux, L.; Harris, R.P. Screening for Obstructive Sleep Apnea in Adults: Evidence Report and Systematic Review for the US Preventive Services Task Force. JAMA 2017, 317, 415–433. [Google Scholar] [CrossRef]
- Giles, T.L.; Lasserson, T.J.; Smith, B.J.; White, J.; Wright, J.; Cates, C.J. Continuous positive airways pressure for obstructive sleep apnoea in adults. Cochrane Database Syst. Rev. 2006, 1, CD001106. [Google Scholar] [CrossRef]
- McEvoy, R.D.; Antic, N.A.; Heeley, E.; Luo, Y.; Ou, Q.; Zhang, X.; Mediano, O.; Chen, R.; Drager, L.F.; Liu, Z.; et al. CPAP for Prevention of Cardiovascular Events in Obstructive Sleep Apnea. N. Engl. J. Med. 2016, 375, 919–931. [Google Scholar] [CrossRef]
- Labarca, G.; Saavedra, D.; Dreyse, J.; Jorquera, J.; Barbe, F. Efficacy of CPAP for Improvements in Sleepiness, Cognition, Mood, and Quality of Life in Elderly Patients With OSA: Systematic Review and Meta-analysis of Randomized Controlled Trials. Chest 2020, 158, 751–764. [Google Scholar] [CrossRef] [PubMed]
- Fulop, T.; Hickson, D.A.; Wyatt, S.B.; Bhagat, R.; Rack, M.; Gowdy, O., Jr.; Flessner, M.F.; Taylor, H.A. Sleep-disordered breathing symptoms among African-Americans in the Jackson Heart Study. Sleep Med. 2012, 13, 1039–1049. [Google Scholar] [CrossRef] [PubMed]
- Redline, S.; Tishler, P.V.; Hans, M.G.; Tosteson, T.D.; Strohl, K.P.; Spry, K. Racial differences in sleep-disordered breathing in African-Americans and Caucasians. Am. J. Respir. Crit. Care Med. 1997, 155, 186–192. [Google Scholar] [CrossRef] [PubMed]
- Ancoli-Israel, S.; Klauber, M.R.; Stepnowsky, C.; Estline, E.; Chinn, A.; Fell, R. Sleep-disordered breathing in African-American elderly. Am. J. Respir. Crit. Care Med. 1995, 152, 1946–1949. [Google Scholar] [CrossRef]
- Goldstein, N.A.; Abramowitz, T.; Weedon, J.; Koliskor, B.; Turner, S.; Taioli, E. Racial/ethnic differences in the prevalence of snoring and sleep disordered breathing in young children. J. Clin. Sleep Med. 2011, 7, 163–171. [Google Scholar] [CrossRef] [PubMed]
- Fiorentino, L.; Marler, M.; Stepnowsky, C.; Johnson, S.; Ancoli-Israel, S. Sleep in older African Americans and Caucasians at risk for sleep-disordered breathing. Behav. Sleep Med. 2006, 4, 164–178. [Google Scholar] [CrossRef]
- Prasad, B.; Steffen, A.D.; Van Dongen, H.P.A.; Pack, F.M.; Strakovsky, I.; Staley, B.; Dinges, D.F.; Maislin, G.; Pack, A.I.; Weaver, T.E. Determinants of sleepiness in obstructive sleep apnea. Sleep 2018, 41, zsx199. [Google Scholar] [CrossRef]
- Johnson, D.A.; Guo, N.; Rueschman, M.; Wang, R.; Wilson, J.G.; Redline, S. Prevalence and correlates of obstructive sleep apnea among African Americans: The Jackson Heart Sleep Study. Sleep 2018, 41, zsy154. [Google Scholar] [CrossRef]
- Alkhazna, A.; Bhat, A.; Ladesich, J.; Barthel, B.; Bohnam, A.J. Severity of obstructive sleep apnea between black and white patients. Hosp. Pract. 2011, 39, 82–86. [Google Scholar] [CrossRef]
- Ye, L.; Pack, A.I.; Maislin, G.; Dinges, D.; Hurley, S.; McCloskey, S.; Weaver, T.E. Predictors of continuous positive airway pressure use during the first week of treatment. J. Sleep Res. 2012, 21, 419–426. [Google Scholar] [CrossRef]
- Means, M.K.; Ulmer, C.S.; Edinger, J.D. Ethnic differences in continuous positive airway pressure (CPAP) adherence in veterans with and without psychiatric disorders. Behav. Sleep Med. 2010, 8, 260–273. [Google Scholar] [CrossRef]
- Wallace, D.M.; Shafazand, S.; Aloia, M.S.; Wohlgemuth, W.K. The association of age, insomnia, and self-efficacy with continuous positive airway pressure adherence in black, white, and Hispanic U.S. Veterans. J. Clin. Sleep Med. 2013, 9, 885–895. [Google Scholar] [CrossRef] [PubMed]
- Wickwire, E.M.; Jobe, S.L.; Oldstone, L.M.; Scharf, S.M.; Johnson, A.M.; Albrecht, J.S. Lower socioeconomic status and co-morbid conditions are associated with reduced continuous positive airway pressure adherence among older adult medicare beneficiaries with obstructive sleep apnea. Sleep 2020, 43, zsaa122. [Google Scholar] [CrossRef]
- Simon-Tuval, T.; Reuveni, H.; Greenberg-Dotan, S.; Oksenberg, A.; Tal, A.; Tarasiuk, A. Low socioeconomic status is a risk factor for CPAP acceptance among adult OSAS patients requiring treatment. Sleep 2009, 32, 545–552. [Google Scholar] [CrossRef]
- Weaver, T.E.; Grunstein, R.R. Adherence to continuous positive airway pressure therapy: The challenge to effective treatment. Proc. Am. Thorac. Soc. 2008, 5, 173–178. [Google Scholar] [CrossRef] [PubMed]
- Bjornsdottir, E.; Janson, C.; Sigurdsson, J.F.; Gehrman, P.; Perlis, M.; Juliusson, S.; Arnardottir, E.S.; Kuna, S.T.; Pack, A.I.; Gislason, T.; et al. Symptoms of insomnia among patients with obstructive sleep apnea before and after two years of positive airway pressure treatment. Sleep 2013, 36, 1901–1909. [Google Scholar] [CrossRef] [PubMed]
- Billings, M.E.; Auckley, D.; Benca, R.; Foldvary-Schaefer, N.; Iber, C.; Redline, S.; Rosen, C.L.; Zee, P.; Kapur, V.K. Race and residential socioeconomics as predictors of CPAP adherence. Sleep 2011, 34, 1653–1658. [Google Scholar] [CrossRef]
- Billings, M.E.; Rosen, C.L.; Wang, R.; Auckley, D.; Benca, R.; Foldvary-Schaefer, N.; Iber, C.; Zee, P.; Redline, S.; Kapur, V.K. Is the relationship between race and continuous positive airway pressure adherence mediated by sleep duration? Sleep 2013, 36, 221–227. [Google Scholar] [CrossRef] [PubMed][Green Version]
- Wallace, D.M.; Wohlgemuth, W.K. Does race-ethnicity moderate the relationship between CPAP adherence and functional outcomes of sleep in US veterans with obstructive sleep apnea syndrome? J. Clin. Sleep Med. 2014, 10, 1083–1091. [Google Scholar] [CrossRef]
- Kuna, S.T.; Townsend, R.R.; Keenan, B.T.; Maislin, D.; Gislason, T.; Benediktsdottir, B.; Gudmundsdottir, S.; Arnardottir, E.S.; Sifferman, A.; Staley, B.; et al. Blood pressure response to treatment of obese vs non-obese adults with sleep apnea. J. Clin. Hypertens. 2019, 21, 1580–1590. [Google Scholar] [CrossRef]
- Flanagan, B.E.; Hallisey, E.J.; Adams, E.; Lavery, A. Measuring Community Vulnerability to Natural and Anthropogenic Hazards: The Centers for Disease Control and Prevention’s Social Vulnerability Index. J. Environ. Health 2018, 80, 34–36. [Google Scholar] [PubMed]
- Johns, M.W. A new method for measuring daytime sleepiness: The Epworth sleepiness scale. Sleep 1991, 14, 540–545. [Google Scholar] [CrossRef] [PubMed]
- Lim, J.; Dinges, D.F. Sleep deprivation and vigilant attention. Ann. N. Y. Acad. Sci. 2008, 1129, 305–322. [Google Scholar] [CrossRef] [PubMed]
- Patel, S.; Kon, S.S.C.; Nolan, C.M.; Barker, R.E.; Simonds, A.K.; Morrell, M.J.; Man, W.D. The Epworth Sleepiness Scale: Minimum Clinically Important Difference in Obstructive Sleep Apnea. Am. J. Respir. Crit. Care Med. 2018, 197, 961–963. [Google Scholar] [CrossRef]
- Prasad, B.; Saxena, R.; Goel, N.; Patel, S.R. Genetic Ancestry for Sleep Research: Leveraging Health Inequalities to Identify Causal Genetic Variants. Chest 2018, 153, 1478–1496. [Google Scholar] [CrossRef] [PubMed]
- Weaver, T.E.; Maislin, G.; Dinges, D.F.; Bloxham, T.; George, C.F.; Greenberg, H.; Kader, G.; Mahowald, M.; Younger, J.; Pack, A.I. Relationship between hours of CPAP use and achieving normal levels of sleepiness and daily functioning. Sleep 2007, 30, 711–719. [Google Scholar] [CrossRef] [PubMed]
- Chen, X.; Wang, R.; Zee, P.; Lutsey, P.L.; Javaheri, S.; Alcantara, C.; Jackson, C.L.; Williams, M.A.; Redline, S. Racial/Ethnic Differences in Sleep Disturbances: The Multi-Ethnic Study of Atherosclerosis (MESA). Sleep 2015, 38, 877–888. [Google Scholar] [CrossRef]
- Carnethon, M.R.; De Chavez, P.J.; Zee, P.C.; Kim, K.Y.; Liu, K.; Goldberger, J.J.; Ng, J.; Knutson, K.L. Disparities in sleep characteristics by race/ethnicity in a population-based sample: Chicago Area Sleep Study. Sleep Med. 2016, 18, 50–55. [Google Scholar] [CrossRef]
- Van Dyke, M.E.; Vaccarino, V.; Quyyumi, A.A.; Lewis, T.T. Socioeconomic status discrimination is associated with poor sleep in African-Americans, but not Whites. Soc. Sci. Med. 2016, 153, 141–147. [Google Scholar] [CrossRef]
- Platt, A.B.; Field, S.H.; Asch, D.A.; Chen, Z.; Patel, N.P.; Gupta, R.; Roche, D.F.; Gurubhagavatula, I.; Christie, J.D.; Kuna, S.T. Neighborhood of residence is associated with daily adherence to CPAP therapy. Sleep 2009, 32, 799–806. [Google Scholar] [CrossRef]
- Johnson, D.A.; Simonelli, G.; Moore, K.; Billings, M.; Mujahid, M.S.; Rueschman, M.; Kawachi, I.; Redline, S.; Roux, A.V.D.; Patel, S.R. The Neighborhood Social Environment and Objective Measures of Sleep in the Multi-Ethnic Study of Atherosclerosis. Sleep 2017, 40, 1–8. [Google Scholar] [CrossRef]
- Pandey, A.; Mereddy, S.; Combs, D.; Shetty, S.; Patel, S.I.; Mashaq, S.; Seixas, A.; Littlewood, K.; Jean-Luis, G.; Parthasarathy, S. Socioeconomic Inequities in Adherence to Positive Airway Pressure Therapy in Population-Level Analysis. J. Clin. Med. 2020, 9, 442. [Google Scholar] [CrossRef]
- Johnson, D.A.; Jackson, C.L.; Williams, N.J.; Alcantara, C. Are sleep patterns influenced by race/ethnicity—A marker of relative advantage or disadvantage? Evidence to date. Nat. Sci. Sleep 2019, 11, 79–95. [Google Scholar] [CrossRef]
- Mezick, E.J.; Matthews, K.A.; Hall, M.; Strollo, P.J., Jr.; Buysse, D.J.; Kamarck, T.W.; Owens, J.F.; Reis, S.E. Influence of race and socioeconomic status on sleep: Pittsburgh SleepSCORE project. Psychosom. Med. 2008, 70, 410–416. [Google Scholar] [CrossRef] [PubMed]
- Hall, M.H.; Matthews, K.A.; Kravitz, H.M.; Gold, E.B.; Buysse, D.J.; Bromberger, J.T.; Owens, J.F.; Sowers, M. Race and financial strain are independent correlates of sleep in midlife women: The SWAN sleep study. Sleep 2009, 32, 73–82. [Google Scholar]
- Weaver, T.E.; Menno, D.M.; Bron, M.; Crosby, R.D.; Morris, S.; Mathias, S.D. Determination of thresholds for minimally important difference and clinically important response on the functional outcomes of sleep questionnaire short version in adults with narcolepsy or obstructive sleep apnea. Sleep Breath. 2021, 25, 1707–1715. [Google Scholar] [CrossRef] [PubMed]
- Weaver, T.E.; Mancini, C.; Maislin, G.; Cater, J.; Staley, B.; Landis, J.R.; Ferguson, K.A.; George, C.F.; Schulman, D.A.; Greenberg, H.; et al. Continuous positive airway pressure treatment of sleepy patients with milder obstructive sleep apnea: Results of the CPAP Apnea Trial North American Program (CATNAP) randomized clinical trial. Am. J. Respir. Crit. Care Med. 2012, 186, 677–683. [Google Scholar] [CrossRef] [PubMed]
- Zhang, J.; Weaver, T.E.; Zhong, Z.; Nisi, R.A.; Martin, K.R.; Steffen, A.D.; Karaman, M.M.; Zhou, X.J. White matter structural differences in OSA patients experiencing residual daytime sleepiness with high CPAP use: A non-Gaussian diffusion MRI study. Sleep Med. 2019, 53, 51–59. [Google Scholar] [CrossRef]
- Basner, M.; Dinges, D.F. Maximizing sensitivity of the psychomotor vigilance test (PVT) to sleep loss. Sleep 2011, 34, 581–591. [Google Scholar] [CrossRef] [PubMed]
- Deering, S.; Liu, L.; Zamora, T.; Hamilton, J.; Stepnowsky, C. CPAP Adherence is Associated With Attentional Improvements in a Group of Primarily Male Patients With Moderate to Severe OSA. J. Clin. Sleep Med. 2017, 13, 1423–1428. [Google Scholar] [CrossRef][Green Version]
- Bhat, S.; Gupta, D.; Akel, O.; Polos, P.G.; DeBari, V.A.; Akhtar, S.; McIntyre, A.; Ming, S.X.; Upadhyay, H.; Chokroverty, S. The relationships between improvements in daytime sleepiness, fatigue and depression and psychomotor vigilance task testing with CPAP use in patients with obstructive sleep apnea. Sleep Med. 2018, 49, 81–89. [Google Scholar] [CrossRef] [PubMed]
- Crew, E.C.; Wohlgemuth, W.K.; Sawyer, A.M.; Williams, N.J.; Wallace, D.M. Socioeconomic Disparities in Positive Airway Pressure Adherence: An Integrative Review. Sleep Med. Clin. 2021, 16, 23–41. [Google Scholar] [CrossRef] [PubMed]


| N | African American | N | European American | p-Value | |
|---|---|---|---|---|---|
| Demographics/Medical Conditions | |||||
| Age, years | 112 | 54.7 ± 9.1 | 73 | 55.9 ± 8.9 | 0.354 |
| Sex, % men | 96 | 85.7 | 59 | 80.8 | 0.378 |
| * Social vulnerability index | 106 | 0.68 ± 0.24 | 67 | 0.42 ± 0.28 | <0.001 |
| Socioeconomic status (income and education) | 106 | 0.71 ± 0.23 | 67 | 0.43 ± 0.29 | <0.001 |
| Household composition & disability | 106 | 0.62 ± 0.27 | 67 | 0.43 ± 0.27 | <0.001 |
| Minority status & language | 106 | 0.67 ± 0.17 | 67 | 0.53 ± 0.24 | <0.001 |
| Housing type & transportation | 106 | 0.52 ± 0.26 | 67 | 0.40 ± 0.25 | 0.003 |
| Body mass index, kg/m2 | 112 | 34.0 ± 5.3 | 73 | 33.6 ± 5.7 | 0.640 |
| Hypertension, % | 112 | 62 | 71 | 48 | 0.002 |
| Diabetes, % | 112 | 21 | 73 | 22 | 0.937 |
| Current Smoker, % | 111 | 31 | 72 | 17 | 0.033 |
| Sleep testing | |||||
| Apnea hypopnea index, per hour | 110 | 33.4 ± 18.6 | 72 | 34.2 ± 17.7 | 0.769 |
| Time < SpO2 90%, minutes | 103 | 6.08 ± 8.04 | 62 | 7.63 ± 9.73 | 0.293 |
| Oxygen desaturation index 3%, per hour | 101 | 30.3 ± 19.9 | 55 | 28.8 ± 19.8 | 0.646 |
| Treatment adherence | |||||
| Positive airway device usage, hours/day | 112 | 2.79 ± 2.06 | 73 | 4.18 ± 2.28 | <0.001 |
| Baseline | |||||
|---|---|---|---|---|---|
| N | African American | N | European American | p-Value | |
| Subjective outcomes | |||||
| Epworth Sleepiness Scale | 110 | 11.8 ± 5.1 | 73 | 11.1 ± 5.6 | 0.376 |
| Functional Outcome Sleep | 111 | 15.1 ± 3.6 | 72 | 15.5 ± 3.4 | 0.524 |
| Questionniare-10 | |||||
| General productivity | 109 | 2.97 ± 0.85 | 72 | 3.02 ± 0.83 | 0.679 |
| Vigilance | 110 | 2.99 ± 0.74 | 72 | 3.18 ± 0.72 | 0.083 |
| Social outcomes | 110 | 3.05 ± 0.98 | 72 | 3.29 ± 1.00 | 0.104 |
| Activity level | 110 | 3.28 ± 0.78 | 72 | 3.13 ± 0.74 | 0.177 |
| Sexual relationships | 109 | 2.86 ± 1.22 | 70 | 2.80 ± 1.22 | 0.739 |
| Actigraphy | |||||
| Total sleep time, hours | 99 | 5.84 ± 1.40 | 66 | 6.48 ± 1.19 | 0.002 |
| Wake after sleep onset, min | 100 | 72.1 ± 75.1 | 66 | 62.2 ± 35.4 | 0.260 |
| Frequency of awakening, per hour | 99 | 35.8 ± 14.0 | 66 | 33.4 ± 20.7 | 0.410 |
| Psychomotor vigilance test | |||||
| Number of lapses | 98 | 4.87 ± 8.04 | 72 | 4.24 ± 9.31 | 0.648 |
| Median reaction time, msec | 98 | 271 ± 59 | 72 | 264 ± 64 | 0.501 |
| Mean slowest reaction time, msec | 98 | 2.28 ± 0.65 | 72 | 2.43 ± 0.65 | 0.127 |
| Mean fastest reaction time, msec | 83 | 208 ± 38 | 70 | 202 ± 30 | 0.328 |
| Within Group Changes | Standardized Mean Difference | |||||
|---|---|---|---|---|---|---|
| N | African American (AA) | N | European American (EA) | AA vs. EA | p-Value | |
| Subjective outcomes | ||||||
| Epworth Sleepiness Scale | 98 | −2.30 (−3.35, −1.25) ** | 66 | −4.16 (−5.48, −2.84) ** | 0.35 (0.04, 0.66) | 0.046 |
| Functional Outcome | 100 | 1.12 (0.38, 1.86) ** | 65 | 1.97 (1.02, 2.93) ** | −0.17 (−0.49, 0.14) | 0.197 |
| Questionniare-10 | ||||||
| General productivity | 98 | 0.28 (0.11, 0.46) ** | 64 | 0.40 (0.17, 0.62) ** | −0.12 (−0.43, 0.20) | 0.474 |
| Vigilance | 99 | 0.27 (0.13, 0.42) ** | 64 | 0.13 (−0.05, 0.32) | 0.14 (−0.18, 0.46) | 0.296 |
| Social outcomes | 98 | 0.29 (0.11, 0.47) ** | 62 | 0.12 (−0.11, 0.36) | 0.22 (−0.10, 0.54) | 0.319 |
| Activity level | 99 | 0.05 (−0.14, 0.24) | 64 | 0.17 (−0.08, 0.42) | −0.19 (−0.51, 0.12) | 0.505 |
| Sexual relationships | 96 | 0.36 (0.13, 0.59) ** | 59 | 0.30 (−0.01, 0.61) | −0.18 (−0.51, 0.14) | 0.779 |
| Actigraphy | ||||||
| Total sleep time, hours | 77 | 0.34 (−0.08, 0.76) | 45 | −0.24 (−0.82, 0.34) | 0.11 (−0.26, 0.49) | 0.143 |
| Wake after sleep onset, min | 78 | −14.87 (−28.92, −0.82) * | 45 | 2.01 (−17.59, 21.61) | −0.13 (−0.50, 0.24) | 0.208 |
| Frequency of awakening, per hour | 78 | −0.73 (−4.92, 3.47) | 45 | −9.35 (−15.20, −3.51) ** | 0.46 (0.10, 0.83) | 0.032 |
| Psychomotor vigilance test | ||||||
| Number of lapses | 72 | −0.06 (−2.69, 2.58) | 54 | 0.03 (−3.08, 3.13) | 0.07 (−0.28, 0.43) | 0.970 |
| Median reaction time, msec | 72 | 3.46 (−10.79, 17.71) | 53 | −8.01 (−25.01, 8.98) | 0.12 (−0.24, 0.48) | 0.341 |
| Mean slowest reaction time, msec | 71 | 0.84 (0.66, 1.03) | 53 | 0.81 (0.60, 1.03) | 0.26 (−0.09, 0.62) | 0.835 |
| Mean fastest reaction time, msec | 54 | 61.19 (52.03, 70.35) | 49 | 55.95 (46.25, 65.64) | 0.37 (−0.01, 0.76) | 0.472 |
Publisher’s Note: MDPI stays neutral with regard to jurisdictional claims in published maps and institutional affiliations. |
© 2021 by the authors. Licensee MDPI, Basel, Switzerland. This article is an open access article distributed under the terms and conditions of the Creative Commons Attribution (CC BY) license (https://creativecommons.org/licenses/by/4.0/).
Share and Cite
Imayama, I.; Balserak, B.I.; Gupta, A.; Munoz, T.; Srimoragot, M.; Keenan, B.T.; Kuna, S.T.; Prasad, B. Racial Differences in Functional and Sleep Outcomes with Positive Airway Pressure Treatment. Diagnostics 2021, 11, 2176. https://doi.org/10.3390/diagnostics11122176
Imayama I, Balserak BI, Gupta A, Munoz T, Srimoragot M, Keenan BT, Kuna ST, Prasad B. Racial Differences in Functional and Sleep Outcomes with Positive Airway Pressure Treatment. Diagnostics. 2021; 11(12):2176. https://doi.org/10.3390/diagnostics11122176
Chicago/Turabian StyleImayama, Ikuyo, Bilgay Izci Balserak, Ahana Gupta, Tomas Munoz, Manassawee Srimoragot, Brendan T. Keenan, Samuel T. Kuna, and Bharati Prasad. 2021. "Racial Differences in Functional and Sleep Outcomes with Positive Airway Pressure Treatment" Diagnostics 11, no. 12: 2176. https://doi.org/10.3390/diagnostics11122176
APA StyleImayama, I., Balserak, B. I., Gupta, A., Munoz, T., Srimoragot, M., Keenan, B. T., Kuna, S. T., & Prasad, B. (2021). Racial Differences in Functional and Sleep Outcomes with Positive Airway Pressure Treatment. Diagnostics, 11(12), 2176. https://doi.org/10.3390/diagnostics11122176
