The Levels of Circulating MicroRNAs at 6-Hour Cardiac Arrest Can Predict 6-Month Poor Neurological Outcome
Abstract
:1. Introduction
2. Materials and Methods
2.1. Study Protocol and Subjects
2.2. Small RNA Sequencing
2.3. qRT-PCR
2.4. Laboratory Measurement
2.5. Outcome Measurement
2.6. Statistical Analysis
3. Results
3.1. Discovery Phase
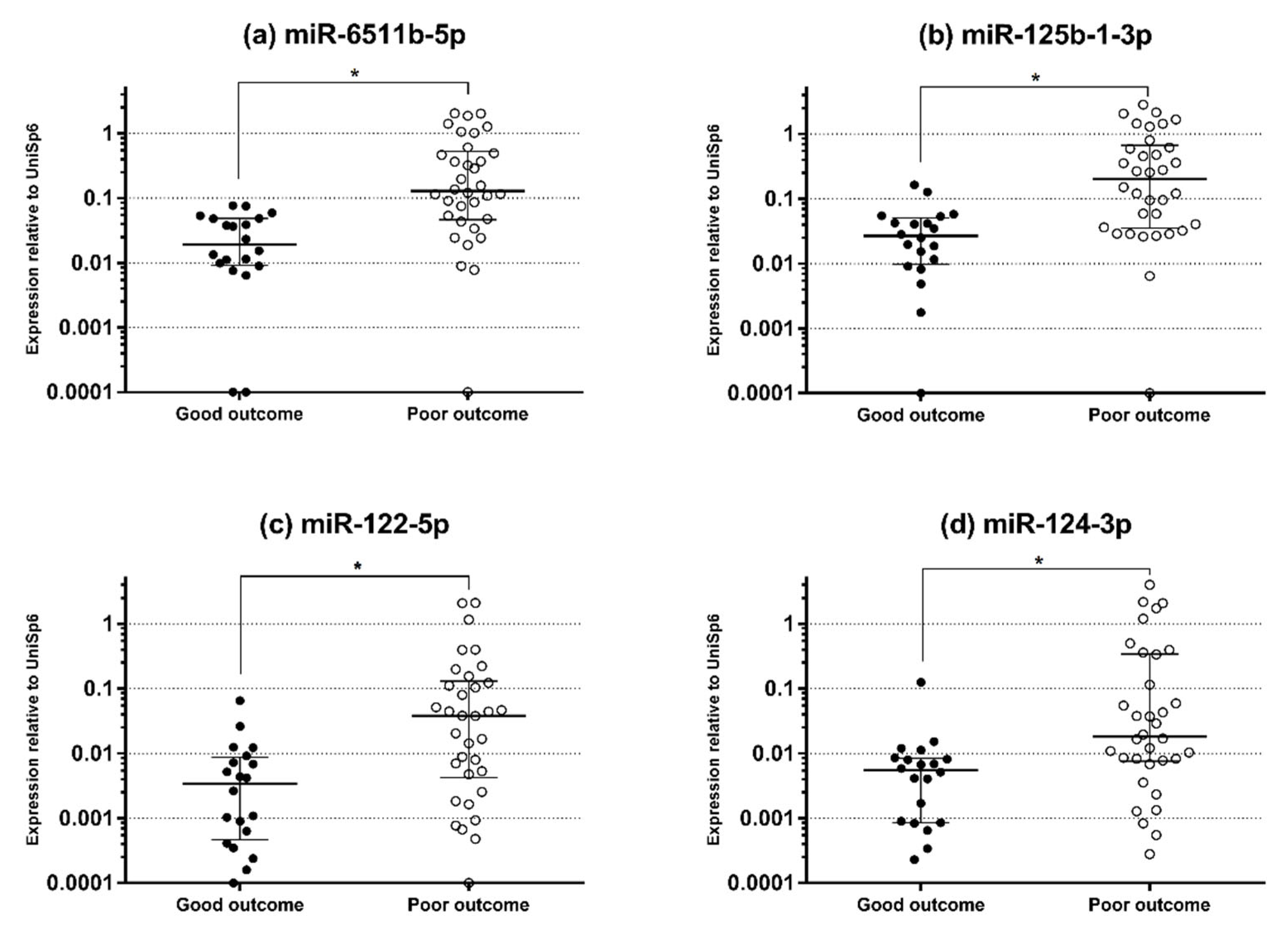
3.2. Validation Phase
3.3. Correlations between Biomarkers
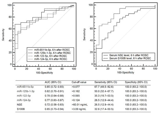
3.4. Prognostic Performance of miRNAs Combined with Protein Biomarkers
4. Discussion
5. Conclusions
Supplementary Materials
Author Contributions
Funding
Institutional Review Board Statement
Informed Consent Statement
Data Availability Statement
Acknowledgments
Conflicts of Interest
References
- The Hypothermia after Cardiac Arrest Study Group. Mild Therapeutic Hypothermia to Improve the Neurologic Outcome after Cardiac Arrest. N. Engl. J. Med. 2002, 346, 549–556. [Google Scholar] [CrossRef]
- Bernard, S.A.; Gray, T.W.; Buist, M.D.; Jones, B.M.; Silvester, W.; Gutteridge, G.; Smith, K. Treatment of Comatose Survivors of Out-of-Hospital Cardiac Arrest with Induced Hypothermia. N. Engl. J. Med. 2002, 346, 557–563. [Google Scholar] [CrossRef]
- Nolan, J.P.; Sandroni, C.; Böttiger, B.W.; Cariou, A.; Cronberg, T.; Friberg, H.; Genbrugge, C.; Haywood, K.; Lilja, G.; Moulaert, V.R.M.; et al. European Resuscitation Council and European Society of Intensive Care Medicine guidelines 2021: Post-Resuscitation Care. Intensiv. Care Med. 2021, 47, 369–421. [Google Scholar] [CrossRef]
- Witten, L.; Gardner, R.; Holmberg, M.J.; Wiberg, S.; Moskowitz, A.; Mehta, S.; Grossestreuer, A.V.; Yankama, T.; Donnino, M.W.; Berg, K.M. Reasons for Death in Patients Successfully Resuscitated from Out-of-Hospital and In-Hospital Cardiac Arrest. Resuscitation 2019, 136, 93–99. [Google Scholar] [CrossRef]
- Lemiale, V.; Dumas, F.; Mongardon, N.; Giovanetti, O.; Charpentier, J.; Chiche, J.D.; Carli, P.; Mira, J.P.; Nolan, J.; Cariou, A. In-tensive Care Unit Mortality after Cardiac Arrest: The Relative Contribution of Shock and Brain Injury in a Large Cohort. Intensive Care Med. 2013, 39, 1972–1980. [Google Scholar] [CrossRef]
- Chamorro, C.; Borrallo, J.M.; Romera, M.A.; Silva, J.A.; Balandín, B. Anesthesia and Analgesia Protocol during Therapeutic Hypo-Thermia after Cardiac Arrest: A Systematic Review. Anesth. Analg. 2010, 110, 1328–1335. [Google Scholar] [CrossRef]
- Wu, O.; Greer, D.M. Neuroimaging in Cardiac Arrest Prognostication. Semin. Neurol. 2017, 37, 66–74. [Google Scholar] [CrossRef]
- Cloostermans, M.C.; van Meulen, F.B.; Eertman, C.J.; Hom, H.W.; van Putten, M.J. Continuous Electroencephalography Monitoring for Early Prediction of Neurological Outcome in Postanoxic Patients after Cardiac Arrest: A Prospective Cohort Study. Crit. Care Med. 2012, 40, 2867–2875. [Google Scholar] [CrossRef]
- Oh, S.H.; Park, K.N.; Shon, Y.M.; Kim, Y.M.; Kim, H.J.; Youn, C.S.; Kim, S.H.; Choi, S.P.; Kim, S.C. Continuous Amplitude-Integrated Electroencephalographic Monitoring is a Useful Prognostic Tool for Hypothermia-Treated Cardiac Arrest Patients. Circulation 2015, 132, 1094–1103. [Google Scholar] [CrossRef]
- Westhall, E.; Rosén, I.; Rossetti, A.O.; van Rootselaar, A.-F.; Kjaer, T.W.; Friberg, H.; Horn, J.; Nielsen, N.; Ullén, S.; Cronberg, T. Interrater Variability of EEG Interpretation in Comatose Cardiac Arrest Patients. Clin. Neurophysiol. 2015, 126, 2397–2404. [Google Scholar] [CrossRef]
- Pfeifer, R.; Weitzel, S.; Günther, A.; Berrouschot, J.; Fischer, M.; Isenmann, S.; Figulla, H.R. Investigation of the Inter-Observer Var-Iability Effect on the Prognostic Value of Somatosensory Evoked Potentials of the Median Nerve (SSEP) in Cardiac Arrest Survivors Using an SSEP Classification. Resuscitation 2013, 84, 1375–1381. [Google Scholar] [CrossRef]
- Grant, A.C.; Abdel-Baki, S.G.; Weedon, J.; Arnedo, V.; Chari, G.; Koziorynska, E.; Lushbough, C.; Maus, D.; McSween, T.; Mortati, K.A.; et al. EEG Interpretation Reliability and Interpreter Confidence: A Large Single-Center Study. Epilepsy Behav. 2014, 32, 102–107. [Google Scholar] [CrossRef] [Green Version]
- Zandbergen, E.; Hijdra, A.; de Haan, R.; van Dijk, J.; de Visser, B.O.; Spaans, F.; Tavy, D.; Koelman, J. Interobserver Variation in the Interpretation of Sseps in Anoxic–Ischaemic Coma. Clin. Neurophysiol. 2006, 117, 1529–1535. [Google Scholar] [CrossRef]
- Callaway, C.W.; Donnino, M.W.; Fink, E.L.; Geocadin, R.G.; Golan, E.; Kern, K.B.; Leary, M.; Meurer, W.J.; Peberdy, M.A.; Thompson, T.M. Part 8: Post-Cardiac Arrest Care: 2015 American Heart Association Guidelines Update for Cardiopulmonary Resuscitation and Emergency Cardiovascular Care. Circulation 2015, 132, S465–S482. [Google Scholar] [CrossRef] [PubMed] [Green Version]
- Nolan, J.P.; Soar, J.; Cariou, A.; Cronberg, T.; Moulaert, V.R.; Deakin, C.D.; Bottiger, B.W.; Friberg, H.; Sunde, K.; Sandroni, C. European Resuscitation Council and European Society of Intensive Care Medicine Guidelines for Post-resuscitation Care 2015: Section 5 of the European Resuscitation Council Guidelines for Resuscitation 2015. Resuscitation 2015, 95, 202–222. [Google Scholar] [CrossRef]
- Mitchell, P.; Parkin, R.K.; Kroh, E.M.; Fritz, B.R.; Wyman, S.K.; Pogosova-Agadjanyan, E.L.; Peterson, A.; Noteboom, J.; O’Briant, K.C.; Allen, A.; et al. Circulating MicroRNAs as Stable Blood-Based Markers for Cancer Detection. Proc. Natl. Acad. Sci. USA 2008, 105, 10513–10518. [Google Scholar] [CrossRef] [PubMed] [Green Version]
- Rink, C.; Khanna, S. MicroRNA in Ischemic Stroke Etiology and Pathology. Physiol. Genom. 2011, 43, 521–528. [Google Scholar] [CrossRef] [PubMed] [Green Version]
- Gan, C.; Wang, C.; Tan, K. Short Communication Circulatory microRNA-145 Expression is Increased in Cerebral Ischemia. Genet. Mol. Res. 2012, 11, 147–152. [Google Scholar] [CrossRef] [PubMed]
- Jeyaseelan, K.; Lim, K.Y.; Armugam, A. MicroRNA Expression in the Blood and Brain of Rats Subjected to Transient Focal Ischemia by Middle Cerebral Artery Occlusion. Stroke 2008, 39, 959–966. [Google Scholar] [CrossRef] [Green Version]
- Stammet, P.; Goretti, E.; Vausort, M.; Zhang, L.; Wagner, D.R.; Devaux, Y. Circulating MicroRNAs after Cardiac Arrest*. Crit. Care Med. 2012, 40, 3209–3214. [Google Scholar] [CrossRef] [PubMed]
- Gilje, P.; Gidlöf, O.; Rundgren, M.; Cronberg, T.; Al-Mashat, M.; Olde, B.; Friberg, H.; Erlinge, D. The Brain-Enriched MicroRNA miR-124 in Plasma Predicts Neurological Outcome after Cardiac Arrest. Crit. Care 2014, 18, R40. [Google Scholar] [CrossRef] [PubMed] [Green Version]
- Boileau, A.; Somoza, A.S.; Dankiewicz, J.; Stammet, P.; Gilje, P.; Erlinge, D.; Hassager, C.; Wise, M.P.; Kuiper, M.; Friberg, H.; et al. Circulating Levels of miR-574-5p are Associated with Neurological Outcome after Cardiac Arrest in Women: A Target Temperature Management (TTM) Trial Substudy. Dis. Markers 2019, 2019, 1802879. [Google Scholar] [CrossRef] [PubMed] [Green Version]
- Devaux, Y.; Vausort, M.; Goretti, E.; Nazarov, P.; Azuaje, F.; Gilson, G.; Corsten, M.F.; Schroen, B.; Lair, M.-L.; Heymans, S.; et al. Use of Circulating MicroRNAs to Diagnose Acute Myocardial Infarction. Clin. Chem. 2012, 58, 559–567. [Google Scholar] [CrossRef] [PubMed] [Green Version]
- Wander, P.; Enquobahrie, D.; Pritchard, C.; McKnight, B.; Rice, K.; Christiansen, M.; Lemaitre, R.; Rea, T.; Siscovick, D.; Sotoodehnia, N. Circulating MicroRNAs and Sudden Cardiac Arrest Outcomes. Resuscitation 2016, 106, 96–101. [Google Scholar] [CrossRef] [Green Version]
- Flicek, P.; Ahmed, I.; Amode, M.R.; Barrell, D.; Beal, K.; Brent, S.; Carvalho-Silva, D.; Clapham, P.; Coates, G.; Fairley, S. Ensembl 2013. Nucleic Acids Res. 2013, 41, D48–D55. [Google Scholar] [CrossRef]
- Langmead, B.; Trapnell, C.; Pop, M.; Salzberg, S.L. Ultrafast and Memory-Efficient Alignment of Short DNA Sequences to the Human Genome. Genome Biol. 2009, 10, 1–10. [Google Scholar] [CrossRef] [Green Version]
- Anders, S.; Pyl, P.T.; Huber, W. HTSeq—A Python Framework to Work with High-Throughput Sequencing Data. Bioinformatics 2014, 31, 166–169. [Google Scholar] [CrossRef]
- Griffiths-Jones, S. miRBase: The MicroRNA Sequence. Database 2006, 342, 129–138. [Google Scholar] [CrossRef]
- Robinson, M.D.; McCarthy, D.; Smyth, G. EdgeR: A Bioconductor Package for Differential Expression Analysis of Digital Gene Expression Data. Bioinformatics 2010, 26, 139–140. [Google Scholar] [CrossRef] [Green Version]
- Schmittgen, T.D.; Livak, K.J. Analyzing Real-Time PCR Data by the Comparative C(T) Method. Nat. Protoc. 2008, 3, 1101–1108. [Google Scholar] [CrossRef]
- DeLong, E.R.; DeLong, D.M.; Clarke-Pearson, D.L. Comparing the Areas under Two or More Correlated Receiver Operating Charac-Teristic Curves: A Nonparametric Approach. Biometrics 1988, 44, 837–845. [Google Scholar] [CrossRef] [PubMed]
- Mi, H.; Ebert, D.; Muruganujan, A.; Mills, C.; Albou, L.-P.; Mushayamaha, T.; Thomas, P.D. PANTHER Version 16: A Revised Family Classification, Tree-Based Classification Tool, Enhancer Regions and Extensive API. Nucleic Acids Res. 2021, 49, D394–D403. [Google Scholar] [CrossRef] [PubMed]
- Sun, Y.; Gui, H.; Li, Q.; Luo, Z.-M.; Zheng, M.-J.; Duan, J.-L.; Liu, X. MicroRNA-124 Protects Neurons Against Apoptosis in Cerebral Ischemic Stroke. CNS Neurosci. Ther. 2013, 19, 813–819. [Google Scholar] [CrossRef]
- He, X.-W.; Shi, Y.-H.; Liu, Y.-S.; Li, G.-F.; Zhao, R.; Hu, Y.; Lin, C.-C.; Zhuang, M.-T.; Su, J.-J.; Liu, J.-R. Increased Plasma Levels of Mir-124-3p, Mir-125b-5p and Mir-192-5p are Associated with Outcomes in Acute Ischaemic Stroke Patients Receiving Thrombolysis. Atherosclerosis 2019, 289, 36–43. [Google Scholar] [CrossRef]
- Devaux, Y.; Dankiewicz, J.; Salgado-Somoza, A.; Stammet, P.; Collignon, O.; Gilje, P.; Gidlöf, O.; Zhang, L.; Vausort, M.; Hassager, C. Association of Circulating MicroRNA-124-3p Levels with Outcomes after Out-of-Hospital Cardiac Arrest: A Substudy of a Randomized Clinical Trial. JAMA Cardiol. 2016, 1, 305–313. [Google Scholar] [CrossRef] [Green Version]
- Stefanizzi, F.M.; Nielsen, N.; Zhang, L.; Dankiewicz, J.; Stammet, P.; Gilje, P.; Erlinge, D.; Hassager, C.; Wise, M.P.; Kuiper, M.; et al. Circulating Levels of Brain-Enriched MicroRNAs Correlate with Neuron Specific Enolase after Cardiac Arrest—A Substudy of the Target Temperature Management Trial. Int. J. Mol. Sci. 2020, 21, 4353. [Google Scholar] [CrossRef]
- Devaux, Y.; Salgado-Somoza, A.; Dankiewicz, J.; Boileau, A.; Stammet, P.; Schritz, A.; Zhang, L.L.; Vausort, M.; Gilje, P.; Erlinge, D.; et al. Incremental Value of Circulating MiR-122-5p to Predict Outcome after Out of Hospital Cardiac Arrest. Theranostics 2017, 7, 2555–2564. [Google Scholar] [CrossRef]
- Zampetaki, A.; Mayr, M. MicroRNAs in Vascular and Metabolic Disease. Circ. Res. 2012, 110, 508–522. [Google Scholar] [CrossRef] [Green Version]
- Truettner, J.S.; Alonso, O.F.; Bramlett, H.M.; Dietrich, W.D. Therapeutic Hypothermia Alters Microrna Responses to Traumatic Brain Injury in Rats. Br. J. Pharmacol. 2012, 31, 1897–1907. [Google Scholar] [CrossRef]
- Pilotte, J.; Dupont-Versteegden, E.E.; Vanderklish, P.W. Widespread Regulation of MiRNA Biogenesis at the Dicer Step by the Cold-Inducible RNA-Binding Protein, RBM3. PLoS ONE 2011, 6, e28446. [Google Scholar] [CrossRef] [PubMed] [Green Version]
- Dresios, J.; Aschrafi, A.; Owens, G.C.; Vanderklish, P.W.; Edelman, G.M.; Mauro, V.P. Cold Stress-Induced Protein Rbm3 Binds 60S Ribosomal Subunits, Alters Microrna Levels, and Enhances Global Protein Synthesis. Proc. Natl. Acad. Sci. USA 2005, 102, 1865–1870. [Google Scholar] [CrossRef] [Green Version]
- Andersson, P.; Gidlöf, O.; Braun, O.; Götberg, M.; van der Pals, J.; Olde, B.; Erlinge, D. Plasma Levels of Liver-Specific MiR-122 is Massively Increased in a Porcine Cardiogenic Shock Model and Attenuated by Hypothermia. Shock 2012, 37, 234–238. [Google Scholar] [CrossRef]
- Edbauer, D.; Neilson, J.R.; Foster, K.A.; Wang, C.-F.; Seeburg, D.P.; Batterton, M.N.; Tada, T.; Dolan, B.M.; Sharp, P.A.; Sheng, M. Regulation of Synaptic Structure and Function by FMRP-Associated MicroRNAs miR-125b and MiR-132. Neuron 2010, 65, 373–384. [Google Scholar] [CrossRef] [Green Version]
- Liu, Y.; Wong, T.P.; Aarts, M.; Rooyakkers, A.; Liu, L.; Lai, T.W.; Wu, D.C.; Lu, J.; Tymianski, M.; Craig, A.M.; et al. NMDA Receptor Subunits have Differential Roles in Mediating Excitotoxic Neuronal Death Both In Vitro and In Vivo. J. Neurosci. 2007, 27, 2846–2857. [Google Scholar] [CrossRef] [Green Version]
- Geocadin, R.G. Moving Beyond One-Size-Fits-All Treatment for Patients After Cardiac Arrest. JAMA Netw. Open 2020, 3, e208809. [Google Scholar] [CrossRef] [PubMed]
- Stammet, P.; Collignon, O.; Hassager, C.; Wise, M.; Hovdenes, J.; Aneman, A.; Horn, J.; Devaux, Y.; Erlinge, D.; Kjaergaard, J.; et al. Neuron-Specific Enolase as a Predictor of Death or Poor Neurological Outcome After Out-of-Hospital Cardiac Arrest and Targeted Temperature Management at 33 °C and 36 °C. J. Am. Coll. Cardiol. 2015, 65, 2104–2114. [Google Scholar] [CrossRef]
- Stammet, P.; Dankiewicz, J.; Nielsen, N.; Fays, F.; Collignon, O.; Hassager, C.; Wanscher, M.; Undèn, J.; Wetterslev, J.; Pellis, T. Protein S100 as Outcome Predictor after Out-of-Hospital Cardiac Arrest and Targeted Temperature Management at 33 °C and 36 °C. Crit. Care 2017, 21, 153. [Google Scholar] [CrossRef] [PubMed] [Green Version]
- Khoshnam, S.E.; Winlow, W.; Farbood, Y.; Moghaddam, H.F.; Farzaneh, M. Emerging Roles of microRNAs in Ischemic Stroke: As Possible Therapeutic Agents. J. Stroke 2017, 19, 166–187. [Google Scholar] [CrossRef] [PubMed]




| Good Outcome (n = 20) | Poor Outcome (n = 34) | p-Value | |
|---|---|---|---|
| Male | 12 (60.0) | 25 (73.5) | 0.369 |
| Age, year | 48.0 (34.0–65.58) | 60.0 (44.8–72.0) | 0.142 |
| Comorbidities | |||
| Hypertension | 5 (25.0) | 12 (35.3)) | 0.549 |
| Diabetes mellitus | 3 (15.0) | 13 (38.2) | 0.122 |
| Ischemic heart disease | 2 (10.0) | 4 (11.8) | 1.000 |
| Chronic heart failure | 1 (5.0) | 1 (2.9) | 1.000 |
| Stroke | 0 (0.0) | 1 (2.9) | 1.000 |
| Chronic obstructive pulmonary disease | 0 (0.0) | 2 (5.9) | 0.525 |
| Chronic renal disease | 1 (5.0) | 5 (14.7) | 0.395 |
| Liver failure | 0 (0.0) | 1 (2.9) | 1.000 |
| Malignancy | 2 (10.0) | 1 (2.9) | 0.548 |
| OHCA | 15 (75.0) | 32 (94.1) | 0.087 |
| Cardiac cause | 16 (80.0) | 13 (38.2) | 0.004 |
| Shockable rhythm | 13 (65.0)) | 4 (11.8) | <0.001 |
| Witnessed | 16 (80.0) | 21 (61.8) | 0.229 |
| Bystander CPR | 15 (75.0)) | 18 (52.9) | 0.151 |
| Time from arrest to ROSC, min | 13.0 (10.0–28.8) | 34.5 (16.0–46.8) | 0.002 |
| Shock on admission | 2 (10.0) | 17 (50.0) | 0.003 |
| Laboratory measurements | |||
| Troponin T, ng/mL | 0.1 (0.01–0.34) | 0.06 (0.01–0.20) | 0.706 |
| NT-proBNP, pmol/L | 10.3 (5.2–58.3) | 24.2 (7.0–251.2) | 0.144 |
| Bilirubin, μmol/L | 11.1 (7.4–13.7) | 8.6 (5.1–12.0) | 0.065 |
| Coronary angiography | 14 (70.0) | 11 (32.4) | 0.011 |
| Percutaneous coronary intervention | 7 (35.0) | 8 (23.5) | 0.530 |
| Target temperature, 33 °C | 17 (85.0) | 32 (94.1) | 0.347 |
| Need for vasopressor at 6 h | 7 (35.0) | 24 (70.6) | 0.021 |
| AUC (95% CI) | p-Value | |
|---|---|---|
| NSE | 0.72 (0.58–0.83) | N/A |
| NSE + miR-6511b-5p | 0.87 (0.78–0.96) | 0.029 |
| NSE + miR-125b-1-3p | 0.86 (0.76–0.96) | 0.027 |
| NSE + miR-122-5p | 0.81 (0.70–0.92) | 0.121 |
| NSE + miR-124-3p | 0.75 (0.62–0.88) | 0.478 |
| S100B | 0.85 (0.73–0.94) | N/A |
| S100B + miR-6511b-5p | 0.91 (0.83–0.98) | 0.281 |
| S100B + miR-125b-1-3p | 0.89 (0.80–0.97) | 0.448 |
| S100B + miR-122-5p | 0.86 (0.76–0.96) | 0.867 |
| S100B + miR-124-3p | 0.85 (0.74–0.95) | 0.742 |
| NSE + S100B | 0.84 (0.74–0.95) | N/A |
| NSE + S100B + miR-6511b-5p | 0.92 (0.85–0.99) | 0.055 |
| NSE + S100B + miR-125b-1-3p | 0.91 (0.83–0.98) | 0.074 |
| NSE + S100B + miR-122-5p | 0.86 (0.76–0.96) | 0.455 |
| NSE + S100B + miR-124-3p | 0.85 (0.75–0.95) | 0.629 |
Publisher’s Note: MDPI stays neutral with regard to jurisdictional claims in published maps and institutional affiliations. |
© 2021 by the authors. Licensee MDPI, Basel, Switzerland. This article is an open access article distributed under the terms and conditions of the Creative Commons Attribution (CC BY) license (https://creativecommons.org/licenses/by/4.0/).
Share and Cite
Oh, S.H.; Kim, H.-S.; Park, K.N.; Ji, S.; Park, J.-Y.; Choi, S.P.; Lim, J.Y.; Kim, H.J.; on behalf of CROWN Investigators. The Levels of Circulating MicroRNAs at 6-Hour Cardiac Arrest Can Predict 6-Month Poor Neurological Outcome. Diagnostics 2021, 11, 1905. https://doi.org/10.3390/diagnostics11101905
Oh SH, Kim H-S, Park KN, Ji S, Park J-Y, Choi SP, Lim JY, Kim HJ, on behalf of CROWN Investigators. The Levels of Circulating MicroRNAs at 6-Hour Cardiac Arrest Can Predict 6-Month Poor Neurological Outcome. Diagnostics. 2021; 11(10):1905. https://doi.org/10.3390/diagnostics11101905
Chicago/Turabian StyleOh, Sang Hoon, Ho-Shik Kim, Kyu Nam Park, Sanghee Ji, Ji-Young Park, Seung Pill Choi, Jee Yong Lim, Han Joon Kim, and on behalf of CROWN Investigators. 2021. "The Levels of Circulating MicroRNAs at 6-Hour Cardiac Arrest Can Predict 6-Month Poor Neurological Outcome" Diagnostics 11, no. 10: 1905. https://doi.org/10.3390/diagnostics11101905
APA StyleOh, S. H., Kim, H.-S., Park, K. N., Ji, S., Park, J.-Y., Choi, S. P., Lim, J. Y., Kim, H. J., & on behalf of CROWN Investigators. (2021). The Levels of Circulating MicroRNAs at 6-Hour Cardiac Arrest Can Predict 6-Month Poor Neurological Outcome. Diagnostics, 11(10), 1905. https://doi.org/10.3390/diagnostics11101905

