Influence of Internal Thoracic Artery Harvesting on Sternal Osteoblastic Activity and Perfusion
Abstract
1. Introduction
2. Materials and Methods
3. Results
3.1. The Osteoblastic Activity of the Sternum after the ITA Harvesting, as Estimated Using SPECT
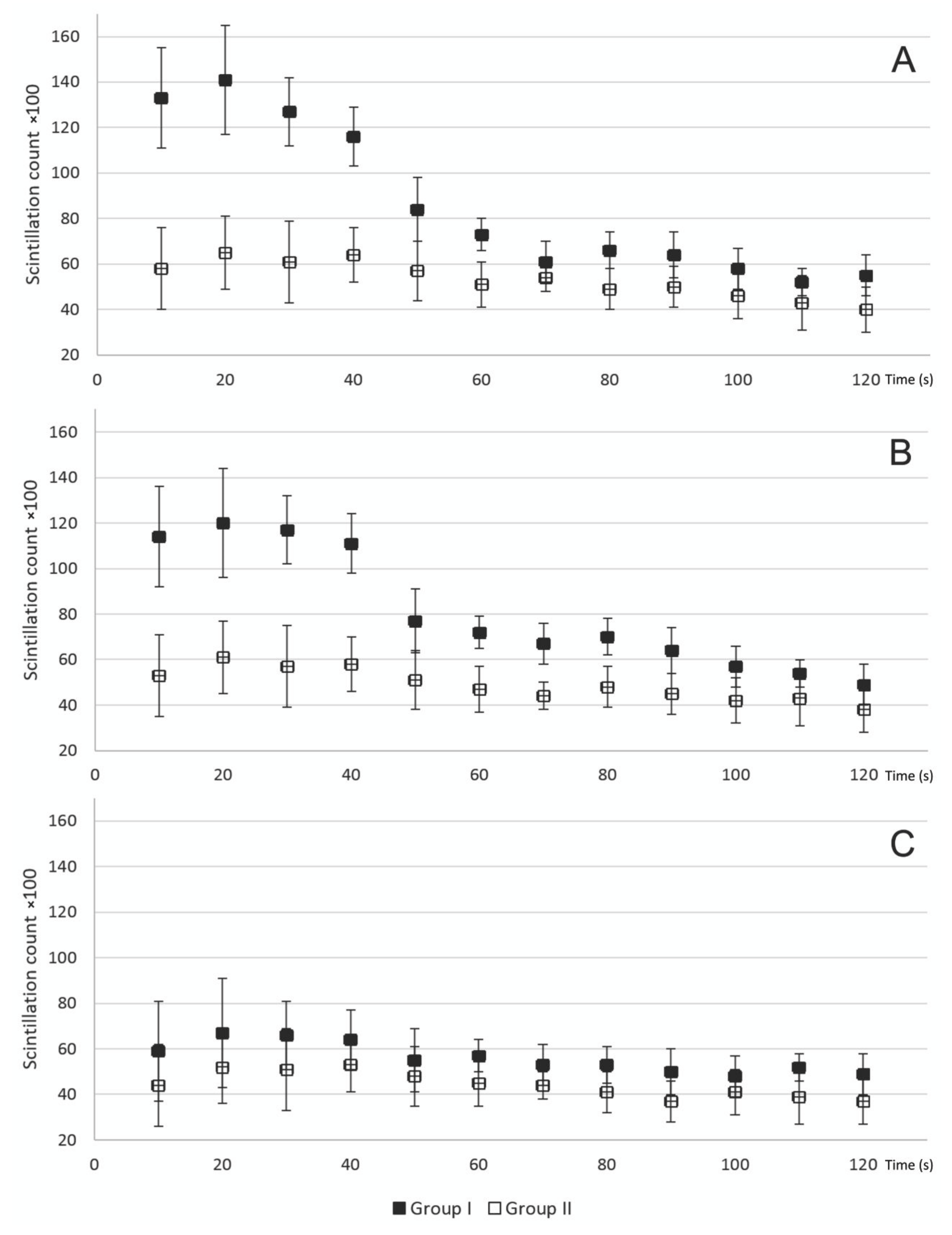
3.2. Sternal Perfusion after the ITA Harvesting, as Estimated Using 3PDS
4. Discussion
5. Conclusions
Author Contributions
Funding
Conflicts of Interest
References
- Lenz, K.; Brandt, M.; Fraund-Cremer, S.; Cremer, J. Coronary artery bypass surgery in diabetic patients—Risk factors for sternal wound infections. GMS Interdiscip. Plast. Reconstr. Surg. DGPW 2016, 5. [Google Scholar] [CrossRef]
- Graf, K.; Ott, E.; Vonberg, R.-P.; Kuehn, C.; Schilling, T.; Haverich, A.; Chaberny, I. Surgical site infections—economic consequences for the health care system. Langenbecks Arch. Surg. 2011, 396, 453–459. [Google Scholar] [CrossRef] [PubMed]
- Vogel, T.R.; Dombrovskiy, V.Y.; Lowry, S.F. In-Hospital Delay of Elective Surgery for High Volume Procedures: The Impact on Infectious Complications. J. Am. Coll. Surg. 2010, 211, 784–790. [Google Scholar] [CrossRef] [PubMed]
- Meszaros, K.; Fuehrer, U.; Grogg, S.; Sodeck, G.; Czerny, M.; Marschall, J.; Carrel, T. Risk Factors for Sternal Wound Infection After Open Heart Operations Vary According to Type of Operation. Ann. Thorac. Surg. 2016, 101, 1418–1425. [Google Scholar] [CrossRef] [PubMed]
- Ng, P.C.; Chua, A.N.; Swanson, M.S.; Koutlas, T.C.; Chitwood, W.; Elbeery, J.R. Anterior thoracotomy wound complications in minimally invasive direct coronary artery bypass. Ann. Thorac. Surg. 2000, 69, 1338–1340. [Google Scholar] [CrossRef]
- Luzurier, Q.; Le Guillou, V.; Lottin, M.; Vermeulin, T.; Marin, H.; Petel, T.; Czernichow, P.; Bessou, J.P.; Bénichou, J.; Merle, V. Is the Risk of Wound Infection Related to Bilateral Internal Thoracic Artery Graft Potentiated by Age? Ann. Thorac. Surg. 2016, 102, 1239–1244. [Google Scholar] [CrossRef]
- Knobloch, K.; Lichtenberg, A.; Pichlmaier, M.; Mertsching, H.; Krug, A.; Klima, U.; Haverich, A. Microcirculation of the Sternum Following Harvesting of the Left Internal Mammary Artery. Thorac. Cardiovasc. Surg. 2003, 51, 255–259. [Google Scholar] [CrossRef]
- Asai, T.; Suzuki, T.; Nota, H.; Kuroyanagi, S.; Kinoshita, T.; Takashima, N.; Hayakawa, M.; Naito, S. Off-pump coronary artery bypass grafting using skeletonized in situ arterial grafts. Ann. Cardiothorac. Surg. 2013, 2, 552–556. [Google Scholar]
- Pevni, D.; Mohr, R.; Lev-Run, O.; Locer, C.; Paz, Y.; Kramer, A.; Shapira, I. Influence of Bilateral Skeletonized Harvesting on Occurrence of Deep Sternal Wound Infection in 1000 Consecutive Patients Undergoing Bilateral Internal Thoracic Artery Grafting. Ann. Surg. 2003, 237, 277–280. [Google Scholar] [CrossRef] [PubMed]
- Gurevitch, J.; Kramer, A.; Locker, C.; Shapira, I.; Paz, Y.; Matsa, M.; Medalion, B. Technical aspects of double-skeletonized internal mammary artery grafting. Ann. Thorac. Surg. 2000, 69, 841–846. [Google Scholar] [CrossRef]
- De Jesus, R.A.; Acland, R.D. Anatomic study of the collateral blood supply of the sternum. Ann. Thorac. Surg. 1995, 59, 163–168. [Google Scholar] [CrossRef]
- Sharp, P.F.; Gemmell, H.G.; Murray, A.D. (Eds.) Practical Nuclear Medicine, 3rd ed.; Springer: London UK, 2005; 382p. [Google Scholar]
- Kaya, K.; Kahraman, D.; Cavolli, R.; Emiroğlu, O.; Eryilmaz, S.; Tasoz, R.; Ozyurda, U. Mid-segment harvesting of right internal thoracic artery decreases sternal ischemia. Anadolu Kardiyol Derg 2009, 9, 47–53. [Google Scholar]
- Medalion, B.; Katz, M.G.; Lorberboym, M.; Bder, O.; Schachner, A.; Cohen, A.J. Decreased sternal vascularity after internal thoracic artery harvesting resolves with time: An assessment with single photon emission computed tomography. J. Thorac. Cardiovasc. Surg. 2002, 123, 508–511. [Google Scholar] [CrossRef][Green Version]
- Brown, A.H. Assessment of sternal vascularity with single photon emission computed tomography after harvesting of the internal thoracic artery. J. Thorac. Cardiovasc. Surg. 2000, 120, 616. [Google Scholar] [CrossRef]
- Cohen, A.J.; Lockman, J.; Lorberboym, M.; Bder, O.; Cohena, N.; Medalion, B.; Schachner, A. Assessment of sternal vascularity with single photon emission computed tomography after harvesting of the internal thoracic artery. J. Thorac. Cardiovasc. Surg. 1999, 118, 496–502. [Google Scholar] [CrossRef]
- Kaya, K.; Kahraman, D.; Cavolli, R.; Kaya, B. The effect of bilateral internal thoracic artery harvesting on sternal vascularity: a single-photon emission computed tomography study. Turk. J. Thorac. Cardiovasc. Surg. 2009, 17, 18–23. [Google Scholar]
- Domljan, Z.; Dodig, D. The value of early and late 99mTc-methylene diphosphonate scintigrams of hands in patients with rheumatoid arthritis and other inflammatory rheumatic diseases. Z. Rheumatol. 1984, 43, 167–170. [Google Scholar]
- Lorberboym, M.; Medalion, B.; Bder, O.; Lockman, J.; Cohen, N.; Schachner, A.; Cohen, A.J. 99mTc-MDP bone SPECT for the evaluation of sternal ischaemia following internal mammary artery dissection. Nucl. Med. Commun. 2002, 23, 47–52. [Google Scholar] [CrossRef] [PubMed]
- Borst, C.; Jansen, E.W.; Tulleken, C.A.; Gründeman, P.F.; Beck, H.J.M.; Van Dongen, J.W.; Hodde, K.C.; Bredee, J.J. Coronary artery bypass grafting without cardiopulmonary bypass and without interruption of native coronary flow using a novel anastomosis site restraining device (“Octopus”). J. Am. Coll. Cardiol. 1996, 27, 1356–1364. [Google Scholar] [CrossRef]
- Kamiya, H.; Akhyari, P.; Martens, A.; Karck, M.; Haverich, A.; Lichtenberg, A. Sternal microcirculation after skeletonized versus pedicled harvesting of the internal thoracic artery: A randomized study. J. Thorac. Cardiovasc. Surg. 2008, 135, 32–37. [Google Scholar] [CrossRef] [PubMed]
- Taggart, D.; D’Amico, R.; Altman, D.G. Effect of arterial revascularisation on survival: a systematic review of studies comparing bilateral and single internal mammary arteries. Lancet 2001, 358, 870–875. [Google Scholar] [CrossRef]
- Vallely, M.P.; Edelman, J.J.B.; Wilson, M.K. Bilateral internal mammary arteries: evidence and technical considerations. Ann. Cardiothorac. Surg. 2013, 2, 570–577. [Google Scholar] [PubMed]
- Bonacchi, M.; Prifti, E.; Bugetti, M.; Parise, O.; Sani, G.; Johnson, D.M.; Cabrucci, F.; Gelsomino, S. Deep sternal infections after in situ bilateral internal thoracic artery grafting for left ventricular myocardial revascularization: predictors and influence on 20-year outcomes. J. Thorac. Dis. 2018, 10, 5208–5221. [Google Scholar] [CrossRef] [PubMed]
- Mastrobuoni, S.; Gawad, N.; Price, J.; Chan, V.; Ruel, M.; Mesana, T.G.; Rubens, F. Use of bilateral internal thoracic artery during coronary artery bypass graft surgery in Canada: The bilateral internal thoracic artery survey. J. Thorac. Cardiovasc. Surg. 2012, 144, 874–879. [Google Scholar] [CrossRef]





| Parameter | Group I (n = 18) | Group II (n = 18) | Group III (n = 21) | PI–II–III | PI–II |
|---|---|---|---|---|---|
| Mean age (years) | 57.2 (53.1–63.4) | 58.6 (53.2–64.7) | 55.8 (51–61.3) | 0.307 | 0.644 |
| Male gender | 18 (100%) | 18 (100%) | 21 (100%) | ns | ns |
| Myocardial infarction in anamnesis | 9 (50%) | 7 (39%) | 0 (0%) | – | 0.737 |
| NYHA class | 2.1 ± 0.4 | 2.2 ± 0.3 | 2.3 ± 0.4 | 0.097 | 0,298 |
| Angina CCS class | 2.4 ± 0.3 | 2.3 ± 0.2 | 0 | – | 0.516 |
| Diabetes mellitus | 0 (0%) | 0 (0%) | 0 (0%) | ns | ns |
| Number of coronary arteries with hemodynamically significant stenoses | 1.8 ± 0.3 | 1.6 ± 0.3 | 0 | – | 0.793 |
| Number of coronary grafts | 1.8 ± 0.3 | 1.6 ± 0.3 | 0 | – | 0.629 |
| ROI | Relative MDP Uptake (%) | p | |||||
|---|---|---|---|---|---|---|---|
| Group I (n = 18) | Group II (n = 18) | Group III (n = 21) | PI–II–III | PI–II | PII–III | PI–III | |
| Manubrium | 252.9 (199.3–288.8) | 113.4 (104.9–171.5) | 161.9 (158–172.4) | 0.0017 | <0.05 | <0.05 | <0.05 |
| Body | 236.1 (187.3–304.0) | 119.1 (110.6–161.1) | 132.2 (125.3–154.0) | 0.0002 | <0.05 | <0.05 | <0.05 |
| Xiphoid process | 207.7 (174.2–265.4) | 128.5 (119.7–144.6) | 142.1 (119.1–151.0) | 0.0009 | <0.05 | <0.05 | <0.05 |
| Left to right side ratio | 110.0 (106.3–119.8) | 82.4 (76.1–92.3) | 112.0 (104.3–139.0) | 0.017 | <0.05 | <0.05 | >0.05 |
| Vertebral column | 100.0 | 100.0 | 100.0 | – | – | – | – |
Publisher’s Note: MDPI stays neutral with regard to jurisdictional claims in published maps and institutional affiliations. |
© 2020 by the authors. Licensee MDPI, Basel, Switzerland. This article is an open access article distributed under the terms and conditions of the Creative Commons Attribution (CC BY) license (http://creativecommons.org/licenses/by/4.0/).
Share and Cite
Mamchur, S.; Vecherskii, Y.; Chichkova, T. Influence of Internal Thoracic Artery Harvesting on Sternal Osteoblastic Activity and Perfusion. Diagnostics 2020, 10, 921. https://doi.org/10.3390/diagnostics10110921
Mamchur S, Vecherskii Y, Chichkova T. Influence of Internal Thoracic Artery Harvesting on Sternal Osteoblastic Activity and Perfusion. Diagnostics. 2020; 10(11):921. https://doi.org/10.3390/diagnostics10110921
Chicago/Turabian StyleMamchur, Sergey, Yuri Vecherskii, and Tatiana Chichkova. 2020. "Influence of Internal Thoracic Artery Harvesting on Sternal Osteoblastic Activity and Perfusion" Diagnostics 10, no. 11: 921. https://doi.org/10.3390/diagnostics10110921
APA StyleMamchur, S., Vecherskii, Y., & Chichkova, T. (2020). Influence of Internal Thoracic Artery Harvesting on Sternal Osteoblastic Activity and Perfusion. Diagnostics, 10(11), 921. https://doi.org/10.3390/diagnostics10110921
