Hemoglobin-to-Red Cell Distribution Width Ratio and Vitamin D Status as Early Predictors of Cardiovascular Risk in Primary Sjögren’s Syndrome
Abstract
1. Introduction
2. Methods
2.1. Study Population and Data Collection
2.2. Ethics Statement
2.3. Cardiological Evaluation
2.4. Vitamin D Assessment
2.5. Statistical Analysis
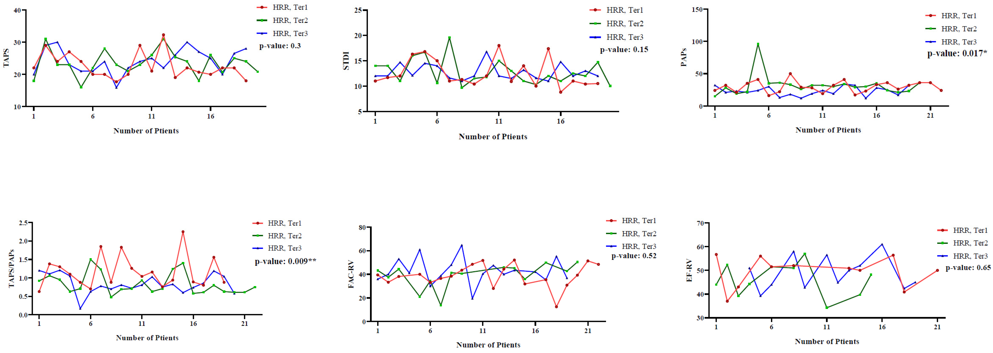
3. Results
4. Discussion
5. Conclusions
Author Contributions
Funding
Institutional Review Board Statement
Informed Consent Statement
Data Availability Statement
Acknowledgments
Conflicts of Interest
References
- Melissaropoulos, K.; Bogdanos, D.; Dimitroulas, T.; Sakkas, L.I.; Kitas, G.D.; Daoussis, D. Primary Sjögren’s Syndrome and Cardiovascular Disease. Curr. Vasc. Pharmacol. 2020, 18, 447–454. [Google Scholar] [CrossRef]
- Pagnoni, G.; Giuggioli, D.; de Pinto, M.; Maini, A.; Battigaglia, E.; Macripò, P.; Spinella, A.; Olivetti, G.; Manenti, A.; Pinti, M.; et al. Vitamin D insufficiency and cardiovascular involvement in systemic sclerosis: Association with echocardiographic parameters and risk factors. Int. J. Cardiol. Cardiovasc. Risk Prev. 2025, 27, 200502. [Google Scholar] [CrossRef]
- Li, M.; Li, H.; Zhong, W.; Wang, S.; Liu, R.; Cheng, H.; Li, L.; Wei, Q.; Wang, L. Hemoglobin-to-red cell distribution width ratio was associated with cardiovascular diseases and death. J. Clin. Med. 2025, 14, 4464. [Google Scholar] [CrossRef]
- Feng, X.; Zhang, Y.; Li, Q.; Wang, B.; Shen, J. Hemoglobin to red cell distribution width ratio as a prognostic marker for ischemic stroke after mechanical thrombectomy. Front. Aging Neurosci. 2023, 15, 1259668. [Google Scholar] [CrossRef]
- Lai, T.; Liang, Y.; Guan, F.; Hu, K. Trends in hemoglobin-to- red cell distribution width ratio and its prognostic value for all-cause, cancer, and cardiovascular mortality: A nationwide cohort study. Sci. Rep. 2025, 15, 7685. [Google Scholar] [CrossRef]
- Athanassiou, P.; Mavragani, C.; Athanassiou, L.; Kostoglou-Athanassiou, I.; Koutsilieris, M. Vitamin D deficiency in primary Sjögren’s syndrome: Association with clinical manifestations and immune activation markers. Mediterr. J. Rheumatol. 2022, 33, 106–108. [Google Scholar] [CrossRef] [PubMed]
- Lynch, D.A.; Sverzellati, N.; Travis, W.D.; Brown, K.K.; Colby, T.V.; Galvin, J.R.; Goldin, J.G.; Hansell, D.M.; Inoue, Y.; Johkoh, T.; et al. Diagnostic criteria for idiopathic pulmonary fibrosis: A Fleischner Society White Paper. Lancet Respir. Med. 2018, 6, 138–153. [Google Scholar] [CrossRef] [PubMed]
- Coppi, F.; Pagnoni, G.; Campani, C.; Grossule, F.; Vacchi, C.; Giuggioli, D.; Mattioli, A.V.; Boriani, G. Sjögren’s syndrome and pulmonary hypertension: Exploring the intricate link with interstitial lung disease. Int. J. Cardiol. 2025, 430, 133185. [Google Scholar] [CrossRef]
- Coppi, F.; Cavalletti, A.; Pagnoni, G.; Campani, C.; Grossule, F.; Maini, A.; Macripò, P.; Zanini, G.; Sinigaglia, G.; Giuggioli, D.; et al. Pulmonary hypertension in patients with Sjögren’s syndrome: Gender differences in cardiovascular risk factors and instrumental data. Int. J. Cardiol. 2025, 428, 133131. [Google Scholar] [CrossRef] [PubMed]
- Behbodikhah, J.; Ding, B.; Jacob, B.; Batool, N.; Belilos, E.; De Leon, J.; Carsons, S.E.; Reiss, A.B. Sjogren’s Disease and Elevated Cardiovascular Risk: Mechanisms and Treatment. J. Cardiovasc. Dev. Dis. 2025, 12, 367. [Google Scholar] [CrossRef]
- Chen, H.; Zhen, Z.; Dong, Y.; Liu, C.; Dong, B.; Xue, R. Hemoglobin to red cell distribution width ratio: A predictor of clinical outcome and diuretic response in patients with acute heart failure. Int. J. Cardiol. 2023, 394, 131368. [Google Scholar] [CrossRef]
- Li, Y.; Xu, C.; Qin, Z.; Ge, L. Relationship Between the Hemoglobin-to-Red Cell Distribution Width Ratio and in-Hospital Mortality in Patients with Chronic Heart Failure. Vasc. Heal. Risk Manag. 2024, 20, 553–565. [Google Scholar] [CrossRef] [PubMed]
- Li, Y.; Zhang, J.; Liu, X.; Ganesan, K.; Shi, G. Identification of inflammatory markers as indicators for disease progression in primary Sjögren syndrome. Eur. Cytokine Netw. 2024, 35, 1–12. [Google Scholar] [CrossRef] [PubMed]
- Clinical and Laboratory Features of Primary Sjögren’s Syndrome Complicated with Mild to Severe Thrombocytopenia—PMC [Internet]. Available online: https://pmc.ncbi.nlm.nih.gov/articles/PMC9011250/ (accessed on 3 December 2025).
- Hematological Manifestations Among Patients with Rheumatic Diseases | Acta Haematologica | Karger Publishers [Internet]. Available online: https://karger.com/aha/article/144/4/403/16187 (accessed on 3 December 2025).
- Moghaddam, A.A.; Saremi, Z.; Atabati, E.; Sharifzadeh, G. Hematologic parameters and disease activity in patients with primary Sjögren’s syndrome. Egypt Rheumatol. 2022, 44, 329–332. [Google Scholar] [CrossRef]
- Hu, Z.D.; Sun, Y.I.; Guo, J.; Huang, Y.L.; Qin, B.D.; Gao, Q.; Qin, Q.; Deng, A.M.; Zhong, R.Q. Red blood cell distribution width and neutrophil/lymphocyte ratio are positively correlated with disease activity in primary Sjögren’s syndrome. Clin. Biochem. 2014, 47, 287–290. [Google Scholar] [CrossRef]
- Sun, G.; Fosbøl, E.L.; Yafasova, A.; Faurschou, M.; Lindhardsen, J.; Torp-Pedersen, C.; Køber, L.; Butt, J.H. Long-Term Risk of Heart Failure and Other Adverse Cardiovascular Outcomes in Primary Sjögren’s Syndrome. J. Intern. Med. 2023, 293, 457–469. [Google Scholar]
- Bertoni, C.; Mazzocchi, A.; Leone, L.; Agostoni, C.; Filocamo, G. Cardiovascular risk and inflammation in a population with autoimmune diseases: A narrative review. Front. Immunol. 2024, 15, 1380372. [Google Scholar] [CrossRef]
- He, Y.; Liu, C.; Zeng, Z.; Ye, W.; Lin, J.; Ou, Q. Red blood cell distribution width: A potential laboratory parameter for monitoring inflammation in rheumatoid arthritis. Clin. Rheumatol. 2018, 37, 161–167. [Google Scholar] [CrossRef]
- Namazi, G.; Beygi, S.H.; Vahidi, M.H.; Asa, P.; Bahmani, F.; Mafi, A.; Rayegan, F. Relationship Between Red Cell Distribution Width and Oxidative Stress Indexes in Patients with Coronary Artery Disease. Rep. Biochem. Mol. Biol. 2023, 12, 241–250. [Google Scholar] [CrossRef] [PubMed]
- Vitamin D Deficiency and Cardiovascular Pathology—Podzolkov—Terapevticheskii Arkhiv [Internet]. Available online: https://edgccjournal.org/0040-3660/article/view/33003 (accessed on 3 December 2025).
- Role of the Innate Immunity Signaling Pathway in the Pathogenesis of Sjögren’s Syndrome [Internet]. Available online: https://www.mdpi.com/1422-0067/22/6/3090 (accessed on 3 December 2025).
- Atzeni, F.; Gozza, F.; Cafaro, G.; Perricone, C.; Bartoloni, E. Cardiovascular Involvement in Sjögren’s Syndrome. Front. Immunol. 2022, 13, 879516. [Google Scholar] [CrossRef] [PubMed]
- Vitamin D in Primary Sjogren’s Syndrome (pSS) and the Identification of Novel Single-Nucleotide Polymorphisms Involved in the Development of pSS-Associated Diseases [Internet]. Available online: https://www.mdpi.com/2075-4418/14/18/2035 (accessed on 3 December 2025).
- Li, J.; Li, S.; Liu, W. Data-Driven Classification of Primary Sjögren’s Syndrome: From Cluster Analysis to Clinical Immune Phenotypes and Predictive Biomarkers. J. Transl. Autoimmun. 2026, 12, 100338. [Google Scholar] [CrossRef] [PubMed]


| Vit D ≥ 30, n: 23 | Vit D < 30, n: 38 | p-Value | ||
|---|---|---|---|---|
| Age, y | 58.91 ± 12.98 | 59.53 ± 15.31 | >0.05 | |
| Sex | Male | 0 | 7 (18.4) | 0.038 |
| Female | 23 (100) | 31 (81.6) | ||
| Smoking | No | 21 (91.3) | 28 (73.7) | >0.05 |
| Yes | 2 (8.7) | 10 (26.3) | ||
| ILD | No | 13 (56.5) | 25 (65.8) | >0.05 |
| Yes | 10 (43.5) | 13 (34.2) | ||
| BMI | 23.57 ± 4.68 | 26.07 ± 4.6 | 0.048 | |
| Vit D, ng/mL | 40.79 ± 10.34 | 17.45 ± 6.86 | <0.001 | |
| HTN | No | 12 (57.1) | 27 (71.1) | >0.05 |
| Yes | 9 (42.9) | 11 (28.9) | ||
| Dyslipidemia | No | 16 (72.7) | 29 (76.3) | >0.05 |
| Yes | 6 (27.3) | 9 (23.7) | ||
| Diabetes | No | 22 (100) | 32 (88.9) | >0.05 |
| Yes | 0 | 4 (11.1) | ||
| HB, mg/dL | 12.72 ± 1.21 | 13.2 ± 1.66 | >0.05 | |
| RDW, % | 14.44 ± 1.62 | 14.59 ± 1.73 | >0.05 | |
| HRR | 0.89 ± 0.15 | 0.91 ± 0.18 | >0.05 | |
| TAPSE, mm | 23.69 ± 4.45 | 23.44 ± 3.8 | >0.05 | |
| STDI, cm/s | 12.34 ± 2.59 | 12.36 ± 2.4 | >0.05 | |
| PAPs, mmHg | 29.43 ± 16.86 | 27.58 ± 7.38 | >0.05 | |
| TAPSE/PAPs | 0.95 ± 0.37 | 0.92 ± 0.35 | >0.05 | |
| FAC_RV, % | 39.62 ± 8.19 | 40.81 ± 11.51 | >0.05 | |
| EF_RV, % | 47.27 ± 6.48 | 49.01 ± 7.07 | >0.05 | |
| Duration of Sjögren’s disease | 6.6 ± 4.98 | 7.52 ± 7.23 | >0.05 | |
| Vit D ≥ 30 | ||||
|---|---|---|---|---|
| HRR | T1: <0.87 | T2: 0.87–0.98 | T3: >0.98 | p -Value |
| N: 23 | 10 | 6 | 7 | |
| TAPSE, mm | 24.2 ± 4.58 | 22.16 ± 5.19 | 24.4 ± 4.01 | >0.05 |
| STDI, cm/s | 11.97 ± 3.25 | 23.71 ± 5.33 | 12.98 ± 1.34 | >0.05 |
| PAPs, mmHg | 29.80 ± 10.17 | 35.83 ± 7.43 | 23.43 ± 6.29 | >0.05 |
| TAPSEPAPs | 0.88 ± 0.3 | 0.89 ± 0.41 | 1.11 ± 0.43 | >0.05 |
| FAC_RV, % | 39.01 ± 4.81 | 36.18 ± 9.37 | 42.85 ± 10.57 | >0.05 |
| EF_RV | 49.36 ± 7.78 | 46.28 ± 5.56 | 44.76 ± 5.88 | >0.05 |
| Vit D < 30 | ||||
| N: 38 | 12 | 14 | 12 | |
| TAPSE, mm | 21.97 ± 4.36 | 23.99 ± 3.32 | 13.82 ± 10.3 | >0.05 |
| STDI, cm/s | 12.05 ± 2.91 | 12.43 ± 2.58 | 12.57 ± 1.69 | >0.05 |
| PAPs, mmHg | 29.58 ± 7.59 | 30.07 ± 4.9 | 22.67 ± 7.66 | 0.016 |
| TAPSEPAPs | 0.79 ± 0.26 | 0.81 ± 0.17 | 1.18 ± 0.46 | 0.004 |
| FAC_RV, % | 38.73 ± 12.48 | 40.66 ± 11.08 | 43.02 ± 11.56 | >0.05 |
| EF_RV | 49.64 ± 5.56 | 46.06 ± 9.02 | 50.29 ± 6.99 | >0.05 |
Disclaimer/Publisher’s Note: The statements, opinions and data contained in all publications are solely those of the individual author(s) and contributor(s) and not of MDPI and/or the editor(s). MDPI and/or the editor(s) disclaim responsibility for any injury to people or property resulting from any ideas, methods, instructions or products referred to in the content. |
© 2026 by the authors. Licensee MDPI, Basel, Switzerland. This article is an open access article distributed under the terms and conditions of the Creative Commons Attribution (CC BY) license.
Share and Cite
Coppi, F.; Sbarra, F.; Vicenzi, A.; Campani, C.; Moretti, M.; Giuggioli, D.; Vacchi, C.; Spinella, A.; Aschieri, D.; Mattioli, A.V.; et al. Hemoglobin-to-Red Cell Distribution Width Ratio and Vitamin D Status as Early Predictors of Cardiovascular Risk in Primary Sjögren’s Syndrome. Life 2026, 16, 190. https://doi.org/10.3390/life16020190
Coppi F, Sbarra F, Vicenzi A, Campani C, Moretti M, Giuggioli D, Vacchi C, Spinella A, Aschieri D, Mattioli AV, et al. Hemoglobin-to-Red Cell Distribution Width Ratio and Vitamin D Status as Early Predictors of Cardiovascular Risk in Primary Sjögren’s Syndrome. Life. 2026; 16(2):190. https://doi.org/10.3390/life16020190
Chicago/Turabian StyleCoppi, Francesca, Francesco Sbarra, Aurora Vicenzi, Cecilia Campani, Martina Moretti, Dilia Giuggioli, Caterina Vacchi, Amelia Spinella, Daniela Aschieri, Anna Vittoria Mattioli, and et al. 2026. "Hemoglobin-to-Red Cell Distribution Width Ratio and Vitamin D Status as Early Predictors of Cardiovascular Risk in Primary Sjögren’s Syndrome" Life 16, no. 2: 190. https://doi.org/10.3390/life16020190
APA StyleCoppi, F., Sbarra, F., Vicenzi, A., Campani, C., Moretti, M., Giuggioli, D., Vacchi, C., Spinella, A., Aschieri, D., Mattioli, A. V., Fedele, F., Baccarani, A., Pinti, M., Dei Cas, A., Fantuzzi, F., Bigdelu, L., Pagnoni, G., & Darroudi, S. (2026). Hemoglobin-to-Red Cell Distribution Width Ratio and Vitamin D Status as Early Predictors of Cardiovascular Risk in Primary Sjögren’s Syndrome. Life, 16(2), 190. https://doi.org/10.3390/life16020190

