Glyco-Architectural Remodelling of the Feline Heart: Age- and HCM-Related Insights from Lectin Histochemistry
Abstract
1. Introduction
2. Materials and Methods
2.1. Sample Collection, Histological Processing, and Tissue Microarray Preparation
2.2. Chemical and Reagents
2.3. Lectin Histochemistry of the Heart
2.4. Confocal Scanning Laser Microscopy (CSLM) Analysis
2.5. Lectins Signal Quantification by CLSM
2.6. Phyton Script
2.7. Statistics
3. Results
3.1. Gross and Histological Findings
3.2. Confocal Scanning Laser Microscopy (CSLM)
3.2.1. Left Ventricle
3.2.2. Right Ventricle
3.2.3. Atrium
3.3. Statistical Analysis
3.3.1. Left Ventricle
- A.
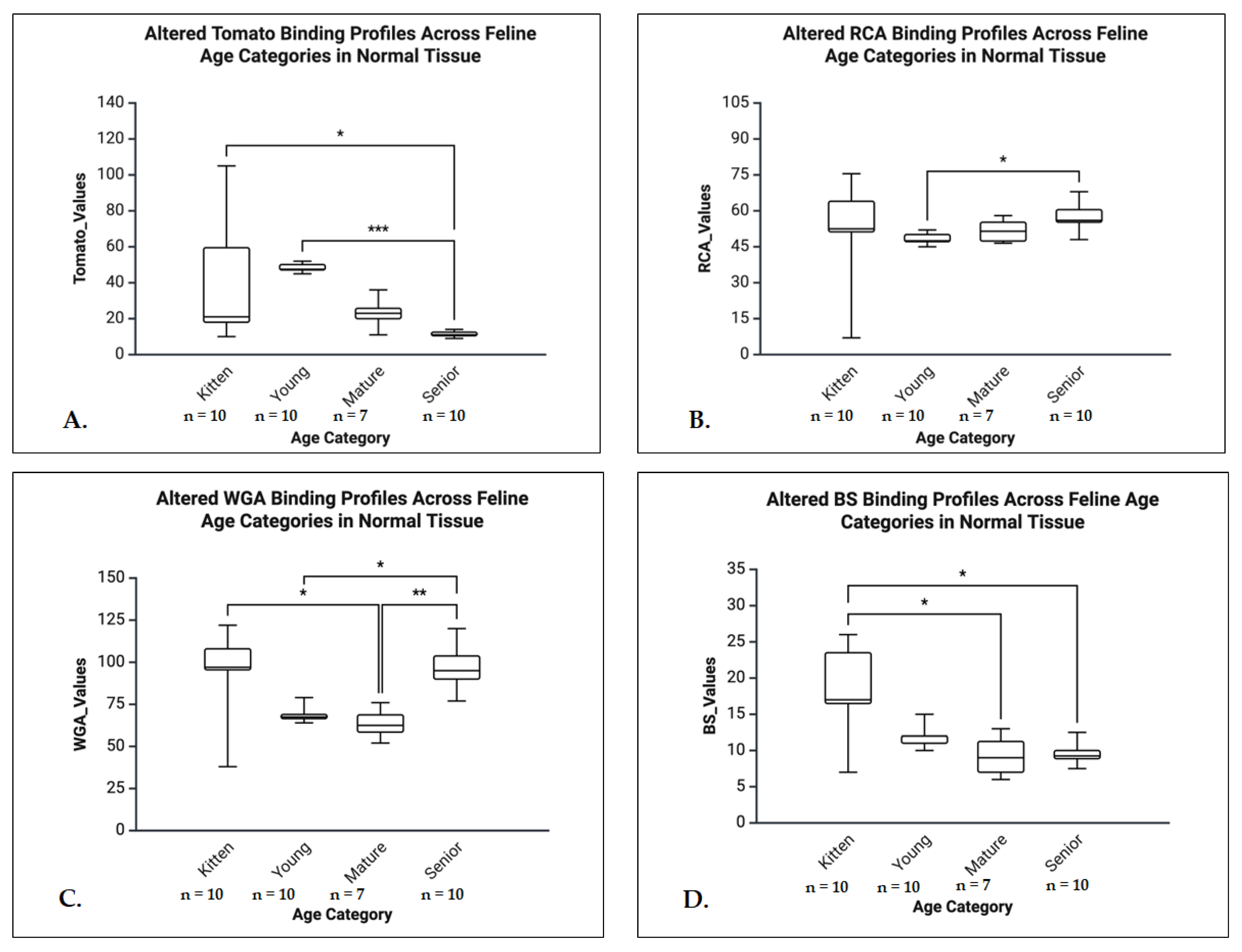
- General Normal Group Analyses (Kruskal-Wallis tests)
- B.
- General HCM Group Analyses (Kruskal-Wallis tests)
- C.
- Age Group Analyses (Mann-Whitney U tests)
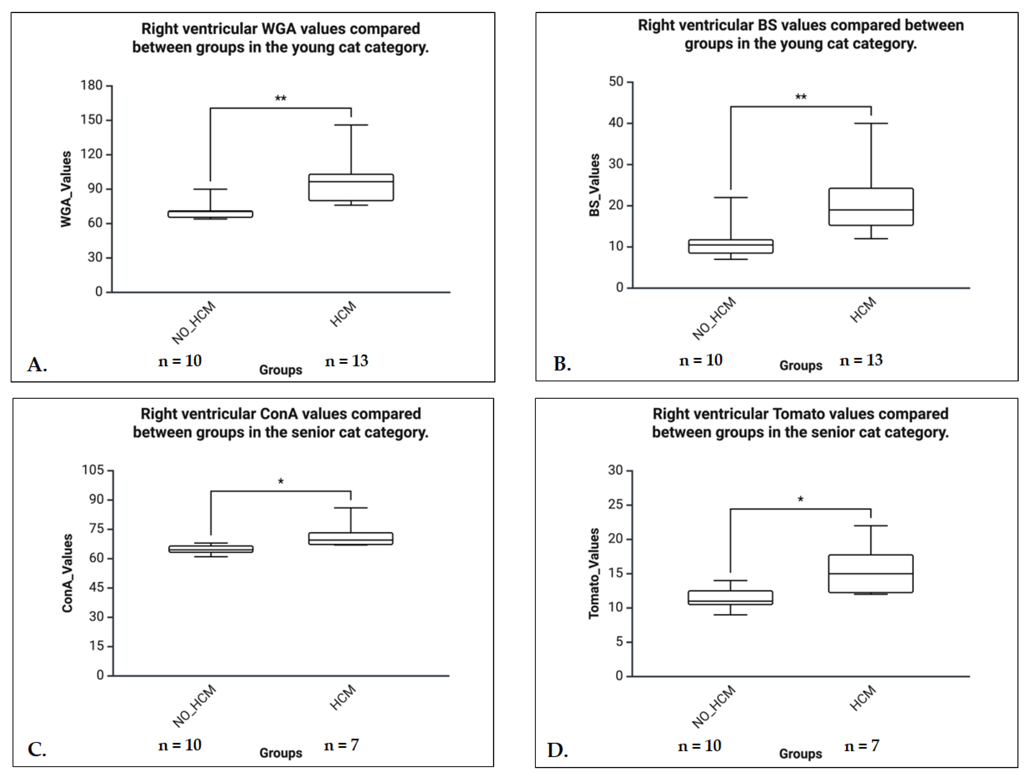
3.3.2. Right Ventricle
- A.
- General Normal Group Analyses (Kruskal-Wallis tests)
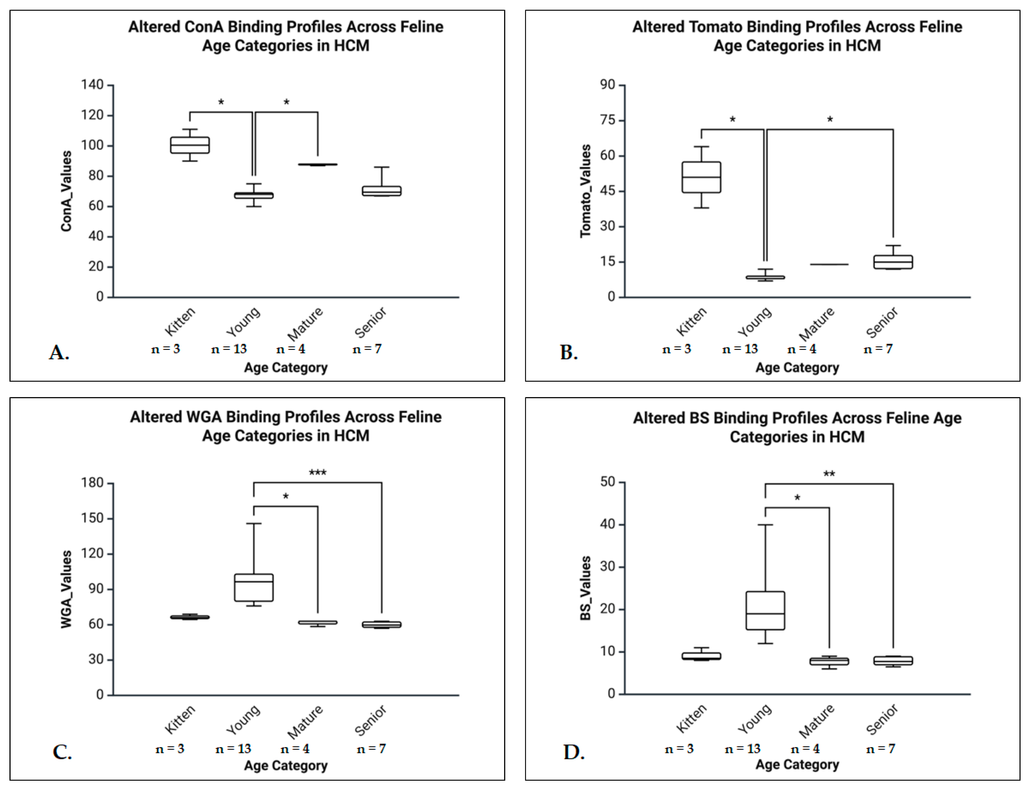
- B.
- General HCM Group Analyses (Kruskal-Wallis tests)
- C.
- Age Group Analyses (Mann-Whitney U tests)
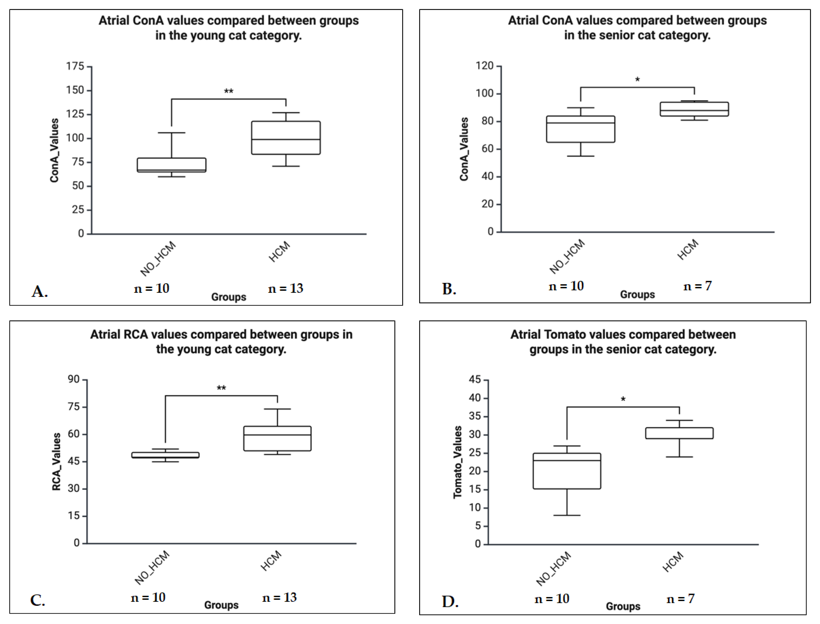
3.3.3. Atrium
- A.
- General Normal Group Analyses (Kruskal-Wallis tests)
- B.
- General HCM Group Analyses (Kruskal-Wallis tests)
- C.
- Age Group Analyses (Mann-Whitney U tests)
3.3.4. Integrated Analysis of Lectin Binding Patterns in Feline Cardiac Tissue
4. Discussion
5. Conclusions
Supplementary Materials
Author Contributions
Funding
Institutional Review Board Statement
Informed Consent Statement
Data Availability Statement
Acknowledgments
Conflicts of Interest
Abbreviations
| BS | Griffonia (Bandeiraea) simplicifolia |
| ConA | Concanavalin A |
| RCA | Ricinus communis Agglutinin I |
| Tomato | Lycopersicon esculentum Agglutinin |
| WGA | Wheat Germ Agglutinin |
| AT | Atrium |
| LV | Left Ventricle |
| RV | Right Ventricle |
| HCM | Hypertrophic Cardiomyopathy |
References
- Brandley, B.K.; Schnaar, R.L. Cell-Surface Carbohydrates in Cell Recognition and Response. J. Leukoc. Biol. 1986, 40, 97–111. [Google Scholar] [CrossRef]
- Debray, H.; Decout, D.; Strecker, G.; Spik, G.; Montreuil, J. Specificity of Twelve Lectins Towards Oligosaccharides and Glycopeptides Related to N.-Glycosylproteins. Eur. J. Biochem. 1981, 117, 41–51. [Google Scholar] [CrossRef]
- Wu, A.M.; Sugii, S.; Herp, A. A Guide for Carbohydrate Specificities of Lectins. In The Molecular Immunology of Complex Carbohydrates; Wu, A.M., Adams, L.G., Eds.; Springer: Boston, MA, USA, 1988; Volume 228, pp. 819–847. [Google Scholar]
- Goldstein, I.J.; Hughes, R.C.; Monsigny, M.; Osawa, T.; Sharon, N. What Should Be Called a Lectin? Nature 1980, 285, 66. [Google Scholar] [CrossRef]
- Danguy, A.; Decaestecker, C.; Genten, F.; Salmon, I.; Kiss, R. Applications of Lectins and Neoglycoconjugates in Histology and Pathology. Cells Tissues Organs 1998, 161, 206–218. [Google Scholar] [CrossRef]
- Roth, J. Lectins for Histochemical Demonstration of Glycans. Histochem. Cell Biol. 2011, 136, 117–130. [Google Scholar] [CrossRef]
- Akimoto, Y.; Kawakami, H. Histochemical Staining Using Lectin Probes. Methods Mol. Biol. 2014, 1200, 153–163. [Google Scholar]
- Roth, J. Protein Glycosylation in the Endoplasmic Reticulum and the Golgi Apparatus and Cell Type-Specificity of Cell Surface Glycoconjugate Expression: Analysis by the Protein A-Gold and Lectin-Gold Techniques. Histochem. Cell Biol. 1996, 106, 79–92. [Google Scholar] [CrossRef]
- Hennigar, R.A.; Schulte, B.A.; Spicer, S.S. Heterogeneous Distribution of Glycoconjugates in Human Kidney Tubules. Anat. Rec. 1985, 211, 376–390. [Google Scholar] [CrossRef] [PubMed]
- Spicer, S.S.; Schulte, B.A. Diversity of Cell Glycoconjugates Shown Histochemically: A Perspective. J. Histochem. Cytochem. 1992, 40, 1–38. [Google Scholar] [CrossRef] [PubMed]
- Brooks, S.A. Lectin Histochemistry: Historical Perspectives, State of the Art, and the Future. In Histochemistry of Single Molecules. Methods in Molecular Biology; Humana Press: New York, NY, USA, 2017; Volume 1560, pp. 93–107. [Google Scholar]
- Ortiz Hidalgo, C.; Del Valle, L. Immunohistochemistry in Historical Perspective: Knowing the Past to Understand the Present. In Immunohistochemistry and Immunocytochemistry, Methods in Molecular Biology; Springer US: New York, NY, USA, 2022; Volume 2422, pp. 17–31. [Google Scholar]
- Buğra, A.; Daş, T. The Role of Immunohistochemical Markers in the Diagnosis of Early Myocardial Infarction. Cureus 2022, 14, e22391. [Google Scholar] [CrossRef]
- Ogórek, B.; Cappetta, D.; Kajstura, J. Immunohistochemical Analysis of Cardiac Tissue. In Manual of Research Techniques in Cardiovascular Medicine; Wiley: Hoboken, NJ, USA, 2014; pp. 232–236. [Google Scholar]
- Rysevaite, K.; Saburkina, I.; Pauziene, N.; Vaitkevicius, R.; Noujaim, S.F.; Jalife, J.; Pauza, D.H. Immunohistochemical Characterization of the Intrinsic Cardiac Neural Plexus in Whole-Mount Mouse Heart Preparations. Heart Rhythm. 2011, 8, 731–738. [Google Scholar] [CrossRef] [PubMed]
- Jia, J.; Shen, Y.; Xue, A.; Zhao, Z. Immunohistochemical Analysis of Cardiac Troponin Inhibitor in an Experimental Model of Acute Myocardial Infarction Experimental Model and in Human Tissues. Pathol. Res. Pr. 2015, 211, 456–461. [Google Scholar] [CrossRef] [PubMed]
- Manalo, T.; May, A.; Quinn, J.; Lafontant, D.S.; Shifatu, O.; He, W.; Gonzalez-Rosa, J.M.; Burns, G.C.; Burns, C.E.; Burns, A.R.; et al. Differential Lectin Binding Patterns Identify Distinct Heart Regions in Giant Danio (Devario Aequipinnatus) and Zebrafish (Danio Rerio) Hearts. J. Histochem. Cytochem. 2016, 64, 687–714. [Google Scholar] [CrossRef]
- Battistella, R.; Kritsilis, M.; Matuskova, H.; Haswell, D.; Cheng, A.X.; Meissner, A.; Nedergaard, M.; Lundgaard, I. Not All Lectins Are Equally Suitable for Labeling Rodent Vasculature. Int. J. Mol. Sci. 2021, 22, 11554. [Google Scholar] [CrossRef]
- Rebelo, A.L.; Contessotto, P.; Joyce, K.; Kilcoyne, M.; Pandit, A. An Optimized Protocol for Combined Fluorescent Lectin/Immunohistochemistry to Characterize Tissue-Specific Glycan Distribution in Human or Rodent Tissues. STAR Protoc. 2021, 2, 100237. [Google Scholar] [CrossRef]
- Roussel, F.; Dalion, J. Lectins as Markers of Endothelial Cells: Comparative Study between Human and Animal Cells. Lab Anim. 1988, 22, 135–140. [Google Scholar] [CrossRef]
- Charuk, J.H.M.; Howlett, S.; Michalak, M. Subfractionation of Cardiac Sarcolemma with Wheat-Germ Agglutinin. Biochem. J. 1989, 264, 885–892. [Google Scholar] [CrossRef]
- Emde, B.; Heinen, A.; Gödecke, A.; Bottermann, K. Wheat Germ Agglutinin Staining as a Suitable Method for Detection and Quantification of Fibrosis in Cardiac Tissue after Myocardial Infarction. Eur. J. Histochem. 2014, 58, 4. [Google Scholar] [CrossRef]
- Boyle, A.J.; Shih, H.; Hwang, J.; Ye, J.; Lee, B.; Zhang, Y.; Kwon, D.; Jun, K.; Zheng, D.; Sievers, R.; et al. Cardiomyopathy of Aging in the Mammalian Heart Is Characterized by Myocardial Hypertrophy, Fibrosis and a Predisposition towards Cardiomyocyte Apoptosis and Autophagy. Exp. Gerontol. 2011, 46, 549–559. [Google Scholar] [CrossRef]
- Tracy, R.E.; Johnson, L.K. Aging of a Class of Arteries in Various Mammalian Species in Relation to the Life Span. Gerontology 1994, 40, 291–297. [Google Scholar] [CrossRef] [PubMed]
- Dai, D.-F.; Chen, T.; Johnson, S.C.; Szeto, H.; Rabinovitch, P.S. Cardiac Aging: From Molecular Mechanisms to Significance in Human Health and Disease. Antioxid. Redox Signal 2012, 16, 1492–1526. [Google Scholar] [CrossRef]
- Ribeiro, A.S.F.; Zerolo, B.E.; Lopez-Espuela, F.; Sanchez, R.; Fernandes, V.S. Cardiac System during the Aging Process. Aging Dis. 2023, 14, 1105–1122. [Google Scholar] [CrossRef]
- Grimes, K.M.; Reddy, A.K.; Lindsey, M.L.; Buffenstein, R. And the Beat Goes on: Maintained Cardiovascular Function during Aging in the Longest-Lived Rodent, the Naked Mole-Rat. Am. J. Physiol. Heart Circ. Physiol. 2014, 307, H284–H291. [Google Scholar] [CrossRef]
- Xie, S.; Xu, S.-C.; Deng, W.; Tang, Q. Metabolic Landscape in Cardiac Aging: Insights into Molecular Biology and Therapeutic Implications. Signal Transduct. Target. Ther. 2023, 8, 114. [Google Scholar] [CrossRef]
- Petroniene, J.J.; Vaiciunas, G.; Garbincius, G.; Dzedzickis, A.; Bucinskas, V. Sensor for Cardiovascular Health Status Monitoring: A Review. Sens. Actuators A Phys. 2025, 392, 116720. [Google Scholar] [CrossRef]
- Vakka, A.; Warren, J.S.; Drosatos, K. Cardiovascular Aging: From Cellular and Molecular Changes to Therapeutic Interventions. J. Cardiovasc. Aging 2023, 3, 23. [Google Scholar] [CrossRef] [PubMed]
- Hao, Y.; Liu, W. Metabolic Changes in Cardiac Aging. Rev. Cardiovasc. Med. 2023, 24, 82. [Google Scholar] [CrossRef] [PubMed]
- Kittleson, M.D.; Côté, E. The Feline Cardiomyopathies: 2. Hypertrophic Cardiomyopathy. J. Feline Med. Surg. 2021, 23, 1028–1051. [Google Scholar] [CrossRef]
- Freeman, L.M.; Rush, J.E.; Stern, J.A.; Huggins, G.S.; Maron, M.S. Feline Hypertrophic Cardiomyopathy: A Spontaneous Large Animal Model of Human HCM. Cardiol. Res. 2017, 8, 139–142. [Google Scholar] [CrossRef]
- van den Dolder, F.W.; Dinani, R.; Warnaar, V.A.J.; Vučković, S.; Passadouro, A.S.; Nassar, A.A.; Ramsaroep, A.X.; Burchell, G.B.; Schoonmade, L.J.; van der Velden, J.; et al. Experimental Models of Hypertrophic Cardiomyopathy: A Systematic Review. JACC Basic. Transl. Sci. 2025, 10, 511–546. [Google Scholar] [CrossRef]
- Loaeza-Reyes, K.J.; Zenteno, E.; Moreno-Rodríguez, A.; Torres-Rosas, R.; Argueta-Figueroa, L.; Salinas-Marín, R.; Castillo-Real, L.M.; Pina-Canseco, S.; Cervera, Y.P. An Overview of Glycosylation and Its Impact on Cardiovascular Health and Disease. Front. Mol. Biosci. 2021, 8, 751637. [Google Scholar] [CrossRef]
- Franzka, P.; Krüger, L.; Schurig, M.K.; Olecka, M.; Hoffmann, S.; Blanchard, V.; Hübner, C.A. Altered Glycosylation in the Aging Heart. Front. Mol. Biosci. 2021, 8, 673044. [Google Scholar] [CrossRef]
- Chou, C.; Chin, M.T. Pathogenic Mechanisms of Hypertrophic Cardiomyopathy beyond Sarcomere Dysfunction. Int. J. Mol. Sci. 2021, 22, 8933. [Google Scholar] [CrossRef]
- Yashchenko, A.M. Lectin Profile of Rat Cardiac Cells on the Stages of Embryonic and Postnatal Development. Morfology 2013, 7, 90–94. [Google Scholar]
- Itakura, Y.; Hasegawa, Y.; Kikkawa, Y.; Murakami, Y.; Sugiura, K.; Nagai-Okatani, C.; Sasaki, N.; Umemura, M.; Takahashi, Y.; Kimura, T.; et al. Spatiotemporal Changes of Tissue Glycans Depending on Localization in Cardiac Aging. Regen. Ther. 2023, 22, 68–78. [Google Scholar] [CrossRef] [PubMed]
- Gergely, T.G.; Kovács, T.; Kovács, A.; Tóth, V.E.; Sayour, N.V.; Mórotz, G.M.; Kovácsházi, C.; Brenner, G.B.; Onódi, Z.; Enyedi, B.; et al. CardiLect: A Combined Cross-Species Lectin Histochemistry Protocol for the Automated Analysis of Cardiac Remodelling. ESC Heart Fail. 2025, 12, 1398–1415. [Google Scholar] [CrossRef]
- Fopiano, K.A.; Tian, Y.; Buncha, V.; Lang, L.; Bagi, Z. The Role of CD44v6 in Vascular Rarefaction and Left Ventricular Diastolic Dysfunction in HFpEF. FASEB J. 2022, 36, R5467. [Google Scholar] [CrossRef]
- Lang, I.; Hahn, T.; Dohr, G.; Skofitsch, G.; Desoye, G. Heterogeneous Histochemical Reaction Pattern of the Lectin Bandeiraea (Griffonia) Simplicifolia with Blood Vessels of Human Full-Term Placenta. Cell Tissue Res. 1994, 278, 433–438. [Google Scholar] [CrossRef]
- Contessotto, P.; Ellis, B.W.; Jin, C.; Karlsson, N.G.; Zorlutuna, P.; Kilcoyne, M.; Pandit, A. Distinct Glycosylation in Membrane Proteins within Neonatal versus Adult Myocardial Tissue. Matrix Biol. 2020, 85–86, 173–188. [Google Scholar] [CrossRef] [PubMed]
- Scott, D.W.; Chen, J.; Chacko, B.K.; Traylor, J.G.; Orr, A.W.; Patel, R.P. Role of Endothelial N-Glycan Mannose Residues in Monocyte Recruitment During Atherogenesis. Arterioscler. Thromb. Vasc. Biol. 2012, 32, e51–e59. [Google Scholar] [CrossRef] [PubMed]
- Lutay, N.V.; Mashtalir, M.A.; Brazaluk, A.Z.; Tverdokhleb, I.V. Histotopography of Receptors for Lectins in Some Chick and Human Embryonic Structures. Morphology 2007, 1, 42–49. [Google Scholar]
- Lee, A.; Miller, D.; Henry, R.; Paruchuri, V.D.P.; O’Meally, R.N.; Boronina, T.; Cole, R.N.; Zachara, N.E. Combined Antibody/Lectin Enrichment Identifies Extensive Changes in the O-GlcNAc Sub-Proteome upon Oxidative Stress. J. Proteome Res. 2016, 15, 4318–4336. [Google Scholar] [CrossRef]
- Wu, A.M.; Wu, J.H.; Singh, T.; Lai, L.J.; Yang, Z.; Herp, A. Recognition Factors of Ricinus Communis Agglutinin 1 (RCA1). Mol. Immunol. 2006, 43, 1700–1715. [Google Scholar] [CrossRef]
- Durrant, C.; Fuehring, J.I.; Willemetz, A.; Chrétien, D.; Sala, G.; Ghidoni, R.; Katz, A.; Rötig, A.; Thelestam, M.; Ermonval, M.; et al. Defects in Galactose Metabolism and Glycoconjugate Biosynthesis in a UDP-Glucose Pyrophosphorylase-Deficient Cell Line Are Reversed by Adding Galactose to the Growth Medium. Int. J. Mol. Sci. 2020, 21, 2028. [Google Scholar] [CrossRef] [PubMed]
- Constantin, I.; Tăbăran, A.F. Dissection Techniques and Histological Sampling of the Heart in Large Animal Models for Cardiovascular Diseases. J. Vis. Exp. 2022, 184, e63809. [Google Scholar] [CrossRef]
- Prophet, E.B.; Mills, B.; Arrington, J.B.; Sobin, L.H. Laboratory Methods in Histotechnology; Armed Forces Institute of Pathology-American Registry of Pathology: Washington, DC, USA, 1992. [Google Scholar]
- Fox, P.R.; Liu, S.-K.; Maron, B.J. Echocardiographic Assessment of Spontaneously Occurring Feline Hypertrophic Cardiomyopathy. Circulation 1995, 92, 2645–2651. [Google Scholar] [CrossRef]
- Gil-Ortuño, C.; Sebastián-Marcos, P.; Sabater-Molina, M.; Nicolas-Rocamora, E.; Gimeno-Blanes, J.R.; Fernández del Palacio, M.J. Genetics of Feline Hypertrophic Cardiomyopathy. Clin. Genet. 2020, 98, 203–214. [Google Scholar] [CrossRef] [PubMed]
- Payne, J.; Luis Fuentes, V.; Boswood, A.; Connolly, D.; Koffas, H.; Brodbelt, D. Population Characteristics and Survival in 127 Referred Cats with Hypertrophic Cardiomyopathy (1997 to 2005). J. Small Anim. Pract. 2010, 51, 540–547. [Google Scholar] [CrossRef] [PubMed]
- King, J.; Roth-Johnson, L.; Dodd, D.C.; Newsom, M.E. The Necropsy Book: A Guide for Veterinary Students, Residents, Clinicians, Pathologists, and Biological Researchers; The Internet-First University Press: Ithaca, NY, USA, 2014. [Google Scholar]
- Cesta, M.F.; Baty, C.J.; Keene, B.W.; Smoak, I.W.; Malarkey, D.E. Pathology of End-Stage Remodeling in a Family of Cats with Hypertrophic Cardiomyopathy. Vet. Pathol. 2005, 42, 458–467. [Google Scholar] [CrossRef]
- Quimby, J.; Gowland, S.; Carney, H.C.; DePorter, T.; Plummer, P.; Westropp, J. 2021 AAHA/AAFP Feline Life Stage Guidelines. J. Feline Med. Surg. 2021, 23, 211–233. [Google Scholar] [CrossRef]
- Clichici, S.; Biris, A.R.; Tabaran, F.; Filip, A. Transient Oxidative Stress and Inflammation after Intraperitoneal Administration of Multiwalled Carbon Nanotubes Functionalized with Single Strand DNA in Rats. Toxicol. Appl. Pharmacol. 2012, 259, 281–292. [Google Scholar] [CrossRef]
- Clichici, S.; Biris, A.R.; Catoi, C.; Filip, A.; Tabaran, F. Short-term Splenic Impact of Single-strand DNA Functionalized Multi-walled Carbon Nanotubes Intraperitoneally Injected in Rats. J. Appl. Toxicol. 2014, 34, 332–344. [Google Scholar] [CrossRef]
- Ferrara, D.E.; Weiss, D.; Carnell, P.H.; Vito, R.P.; Vega, D.; Gao, X.; Nie, S.; Taylor, W.R. Quantitative 3D Fluorescence Technique for the Analysis of En Face Preparations of Arterial Walls Using Quantum Dot Nanocrystals and Two-Photon Excitation Laser Scanning Microscopy. Am. J. Physiol. Regul. Integr. Comp. Physiol. 2006, 290, R114–R123. [Google Scholar] [CrossRef] [PubMed]
- Pawley, J. The 39 Steps: A Cautionary Tale of Quantitative 3-D Fluorescence Microscopy. Biotechniques 2000, 28, 884–887. [Google Scholar] [CrossRef] [PubMed]
- Cohen, J. Statistical Power Analysis for the Behavioral Sciences, 2nd ed.; Routledge: Abingdon, UK, 2013; ISBN 9781134742707. [Google Scholar]
- Noguchi, A.; Kurahara, N.; Yamato, O.; Ichii, O.; Yabuki, A. Lectin Histochemistry of the Normal Feline Kidney. Vet. Sci. 2023, 10, 26. [Google Scholar] [CrossRef]
- Fopiano, K.A.; Cotton, C.M.; Patel, V.S.; Bagi, Z. The Role of Microvascular Rarefaction in Dysfunctional Pericardial Adipose Tissue. Physiology 2024, 39, 2140. [Google Scholar] [CrossRef]
- Zhao, X.; Johnson, J.N.; Singh, K.; Singh, M. Impairment of Myocardial Angiogenic Response in the Absence of Osteopontin. Microcirculation 2007, 14, 233–240. [Google Scholar] [CrossRef]
- Ratajska, A.; Złotorowicz, R.; Błażejczyk, M.; Wasiutyñski, A. Coronary Artery Embryogenesis in Cardiac Defects Induced by Retinoic Acid in Mice. Birth Defects Res. A Clin. Mol. Teratol. 2005, 73, 966–979. [Google Scholar] [CrossRef]
- Baenziger, J.U.; Fiete, D. Galactose and N-Acetylgalactosamine-Specific Endocytosis of Glycopeptides by Isolated Rat Hepatocytes. Cell 1980, 22, 611–620. [Google Scholar] [CrossRef] [PubMed]
- Tonry, C.; Linden, K.; Collier, P.; Ledwidge, M.; McDonald, K.; Collins, B.C.; Watson, C.J. Proteomic Characterisation of Heart Failure Reveals a Unique Molecular Phenotype for Hypertrophic Cardiomyopathy. Biomedicines 2024, 12, 1712. [Google Scholar] [CrossRef]
- Grilo, L.F.; Zimmerman, K.D.; Puppala, S.; Chan, J.; Huber, H.F.; Li, G.; Jadhav, A.Y.L.; Wang, B.; Li, C.; Clarke, G.D.; et al. Cardiac Molecular Analysis Reveals Aging-Associated Metabolic Alterations Promoting Glycosaminoglycans Accumulation via Hexosamine Biosynthetic Pathway. Adv. Sci. 2024, 11, 2309211. [Google Scholar] [CrossRef] [PubMed]
- Umapathi, P.; Mesubi, O.O.; Banerjee, P.S.; Abrol, N.; Wang, Q.; Luczak, E.D.; Wu, Y.; Granger, J.M.; Wei, A.-C.; Reyes Gaido, O.E.; et al. Excessive O-GlcNAcylation Causes Heart Failure and Sudden Death. Circulation 2021, 143, 1687–1703. [Google Scholar] [CrossRef]
- Ringström, N.; Edling, C.; Nalesso, G.; Barallobre-Barreiro, J.; Jeevaratnam, K. Mass Spectrometry Reveals Age-dependent Collagen Decline in Murine Atria. Ann. N. Y Acad. Sci. 2025, 1548, 206–217. [Google Scholar] [CrossRef]
- Giron, L.B.; Liu, Q.; Adeniji, O.S.; Yin, X.; Kannan, T.; Ding, J.; Lu, D.Y.; Langan, S.; Zhang, J.; Azevedo, J.L.L.C.; et al. Immunoglobulin G N-Glycan Markers of Accelerated Biological Aging during Chronic HIV Infection. Nat. Commun. 2024, 15, 3035. [Google Scholar] [CrossRef]
- Hoshi, R.A.; Plavša, B.; Liu, Y.; Trbojević-Akmačić, I.; Glynn, R.J.; Ridker, P.M.; Cummings, R.D.; Gudelj, I.; Lauc, G.; Demler, O.V.; et al. N-Glycosylation Profiles of Immunoglobulin G and Future Cardiovascular Events. Circ. Res. 2024, 134, 5. [Google Scholar] [CrossRef]
- Wang, H.; Wang, Y.; Zhou, Y.; Wei, Y.; Yan, Y.; Zhang, Z.; Jing, Z. Protein O-GlcNAcylation in Cardiovascular Diseases. Acta Pharmacol. Sin. 2023, 44, 8–18. [Google Scholar] [CrossRef] [PubMed]
- Footitt, E.J.; Karimova, A.; Burch, M.; Yayeh, T.; Dupré, T.; Vuillaumier-Barrot, S.; Chantret, I.; Moore, S.E.H.; Seta, N.; Grunewald, S. Cardiomyopathy in the Congenital Disorders of Glycosylation (CDG): A Case of Late Presentation and Literature Review. J. Inherit. Metab. Dis. 2009, 32, 313–319. [Google Scholar] [CrossRef] [PubMed]
- Paczkowski, S.; Schütz, S. Post-Mortem Volatiles of Vertebrate Tissue. Appl. Microbiol. Biotechnol. 2011, 91, 917–935. [Google Scholar] [CrossRef]



















| Age Category | Total Cases | Control Cases | HCM Cases |
|---|---|---|---|
| Kitten | 13 | 10 | 3 |
| Young Adult | 23 | 10 | 13 |
| Mature Adult | 11 | 7 | 4 |
| Senior | 17 | 10 | 7 |
| Total number | 64 | 37 | 27 |
| Size Effect | Mann-Whitney U (r) | Kruskal-Wallis (η2): |
|---|---|---|
| Low | 0.1–0.3 | <0.06 |
| Moderate | 0.3–0.5 | 0.06–0.14 |
| Large | >0.5 | >0.14 |
Disclaimer/Publisher’s Note: The statements, opinions and data contained in all publications are solely those of the individual author(s) and contributor(s) and not of MDPI and/or the editor(s). MDPI and/or the editor(s) disclaim responsibility for any injury to people or property resulting from any ideas, methods, instructions or products referred to in the content. |
© 2025 by the authors. Licensee MDPI, Basel, Switzerland. This article is an open access article distributed under the terms and conditions of the Creative Commons Attribution (CC BY) license.
Share and Cite
Constantin, I.; Pop, R.; Negoescu, A.; Hodor, D.; Haralambie, M.G.; Marica, R.; Tăbăran, F.-A. Glyco-Architectural Remodelling of the Feline Heart: Age- and HCM-Related Insights from Lectin Histochemistry. Life 2026, 16, 20. https://doi.org/10.3390/life16010020
Constantin I, Pop R, Negoescu A, Hodor D, Haralambie MG, Marica R, Tăbăran F-A. Glyco-Architectural Remodelling of the Feline Heart: Age- and HCM-Related Insights from Lectin Histochemistry. Life. 2026; 16(1):20. https://doi.org/10.3390/life16010020
Chicago/Turabian StyleConstantin, Irina, Romelia Pop, Andrada Negoescu, Dragoș Hodor, Mara Georgiana Haralambie, Raluca Marica, and Flaviu-Alexandru Tăbăran. 2026. "Glyco-Architectural Remodelling of the Feline Heart: Age- and HCM-Related Insights from Lectin Histochemistry" Life 16, no. 1: 20. https://doi.org/10.3390/life16010020
APA StyleConstantin, I., Pop, R., Negoescu, A., Hodor, D., Haralambie, M. G., Marica, R., & Tăbăran, F.-A. (2026). Glyco-Architectural Remodelling of the Feline Heart: Age- and HCM-Related Insights from Lectin Histochemistry. Life, 16(1), 20. https://doi.org/10.3390/life16010020

