Exposure to Acute Concentration of Malathion Induced Behavioral, Hematological, and Biochemical Toxicities in the Brain of Labeo rohita
Abstract
1. Introduction
2. Materials and Methods
2.1. Fish Handling, Acclimatization, and Water Quality
2.2. Test Chemical and LC50 Determination
2.3. Experimental Design
2.4. Behavioral Analysis
2.5. Hemato-Biochemical Analysis
2.6. Biochemical Analysis
2.7. Statistical Analysis
3. Results
3.1. Effect of Malathion on the Behavior of Rohu
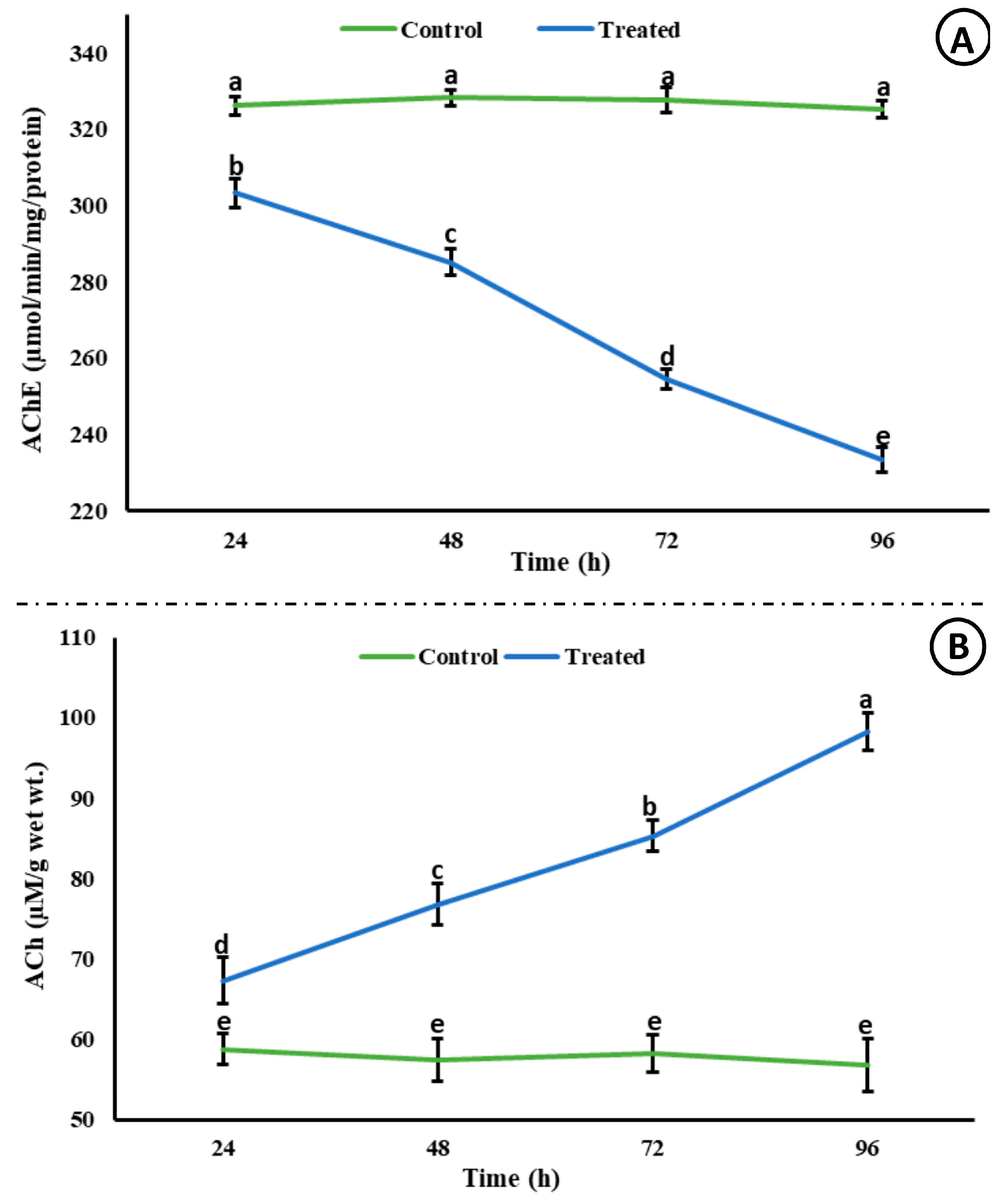
3.2. Effects of Malathion Exposure on the Brain of Rohu
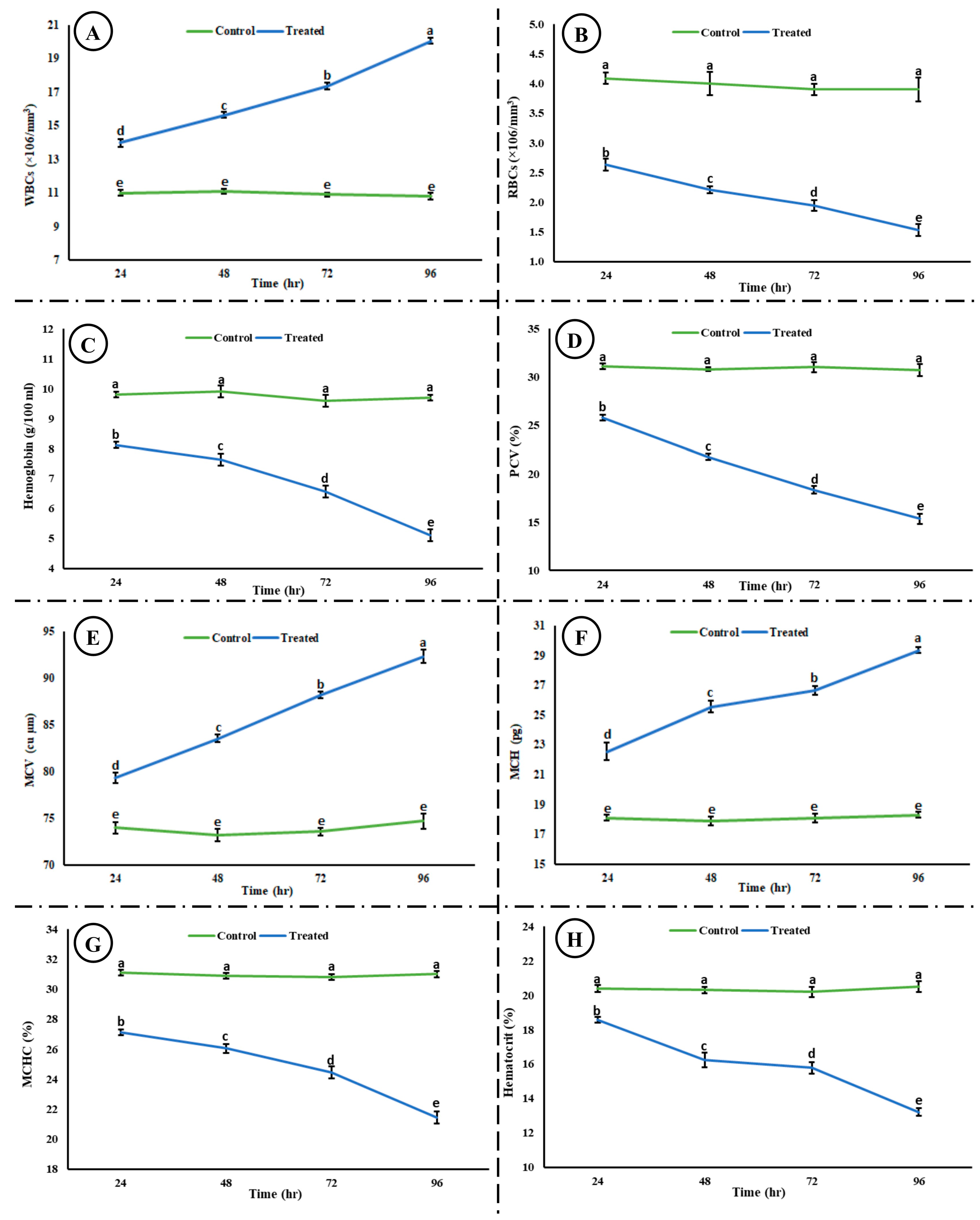
3.3. Effects of Malathion Exposure on the Hematology and Blood Biochemistry
4. Discussion
5. Conclusions
Supplementary Materials
Author Contributions
Funding
Institutional Review Board Statement
Informed Consent Statement
Data Availability Statement
Acknowledgments
Conflicts of Interest
References
- Worldometer. Pesticide Use by Country. 2022. Available online: https://www.worldometers.info/food-agriculture/pesticides-by-country/ (accessed on 1 July 2024).
- Tang, F.H.; Lenzen, M.; McBratney, A.; Maggi, F. Risk of pesticide pollution at the global scale. Nat. Geosci. 2021, 14, 206–210. [Google Scholar] [CrossRef]
- Boedeker, W.; Watts, M.; Clausing, P.; Marquez, E. The global distribution of acute unintentional pesticide poisoning: Estimations based on a systematic review. BMC Public Health 2020, 20, 1875. [Google Scholar] [CrossRef]
- Khatib, I.; Horyn, O.; Bodnar, O.; Lushchak, O.; Rychter, P.; Falfushynska, H. Molecular and biochemical evidence of the toxic effects of terbuthylazine and malathion in zebrafish. Animals 2023, 13, 1029. [Google Scholar] [CrossRef] [PubMed]
- Bharti, S.; Rasool, F. Analysis of the biochemical and histopathological impact of a mild dose of commercial malathion on Channa punctatus (Bloch) fish. Toxicol. Rep. 2021, 8, 443–455. [Google Scholar] [CrossRef]
- Massoud, A.; SaadAllah, M.; Dahran, N.A.; Nasr, N.E.; El-Fkharany, I.; Ahmed, M.S.; Alsharif, K.F.; Elmahallawy, E.K.; Derbalah, A. Toxicological effects of malathion at low dose on wister male rats with respect to biochemical and histopathological alterations. Front. Environ. Sci. 2022, 10, 860359. [Google Scholar] [CrossRef]
- Tzatzarakis, M.; Kokkinakis, M.; Renieri, E.; Goumenou, M.; Kavvalakis, M.; Vakonaki, E.; Chatzinikolaou, A.; Stivaktakis, P.; Tsakiris, I.; Rizos, A. Multiresidue analysis of insecticides and fungicides in apples from the Greek market. Applying an alternative approach for risk assessment. Food Chem. Toxicol. 2020, 140, 111262. [Google Scholar] [CrossRef] [PubMed]
- Nicolopoulou-Stamati, P.; Maipas, S.; Kotampasi, C.; Stamatis, P.; Hens, L. Chemical pesticides and human health: The urgent need for a new concept in agriculture. Front. Public Health 2016, 4, 148. [Google Scholar] [CrossRef] [PubMed]
- Ullah, S.; Li, Z.; Hasan, Z.; Khan, S.U.; Fahad, S. Malathion induced oxidative stress leads to histopathological and biochemical toxicity in the liver of rohu (Labeo rohita, Hamilton) at acute concentration. Ecotoxicol. Environ. Saf. 2018, 161, 270–280. [Google Scholar] [CrossRef] [PubMed]
- Chandra, S. Toxic effect of malathion on acetylcholinesterase activity of liver, brain and gills of freshwater catfish Heteropneustes fossilis. Environ. Conserv. J. 2008, 9, 47–52. [Google Scholar] [CrossRef]
- Fahmy, G.H. Malathion toxicity: Effect on some metabolic activities in Oreochromis niloticus, the Tilapia Fish. Int. J. Biosci., Biochem. Bioinfo. 2012, 2, 52–55. [Google Scholar] [CrossRef]
- Ortiz-Delgado, J.B.; Funes, V.; Sarasquete, C. The organophosphate pesticide-OP-malathion inducing thyroidal disruptions and failures in the metamorphosis of the Senegalese sole, Solea senegalensis. BMC Vet. Res. 2019, 15, 57. [Google Scholar] [CrossRef] [PubMed]
- Rico, A.; Waichman, A.V.; Geber-Corrêa, R.; van den Brink, P.J. Effects of malathion and carbendazim on Amazonian freshwater organisms: Comparison of tropical and temperate species sensitivity distributions. Ecotoxicology 2011, 20, 625–634. [Google Scholar] [CrossRef] [PubMed]
- Fadaei, A.; Dehghani, M.H.; Nasseri, S.; Mahvi, A.H.; Rastkari, N.; Shayeghi, M. Organophosphorous pesticides in surface water of Iran. Bull. Environ. Cont. Toxicol. 2012, 88, 867–869. [Google Scholar] [CrossRef]
- Agarwal, A.; Prajapati, R.; Singh, O.P.; Raza, S.; Thakur, L.K. Pesticide residue in water—A challenging task in India. Environ. Monit. Assess. 2015, 187, 54. [Google Scholar] [CrossRef]
- Masiá, A.; Campo, J.; Navarro-Ortega, A.; Barceló, D.; Picó, Y. Pesticide monitoring in the basin of Llobregat River (Catalonia, Spain) and comparison with historical data. Sci. Total Environ. 2015, 503, 58–68. [Google Scholar] [CrossRef]
- Ullah, S.; Begum, M.; Dhama, K.; Ahmad, S.; Hassan, S.; Alam, I. Malathion induced DNA damage in freshwater fish, Labeo rohita (Hamilton, 1822) using alkaline single cell gel electrophoresis. Asian J. Anim. Vet. Adv. 2016, 11, 98–105. [Google Scholar] [CrossRef][Green Version]
- Verma, S.K.; Nandi, A.; Sinha, A.; Patel, P.; Mohanty, S.; Jha, E.; Jena, S.; Kumari, P.; Ghosh, A.; Jerman, I. The posterity of Zebrafish in paradigm of in vivo molecular toxicological profiling. Biomed. Pharmacoth. 2024, 171, 116160. [Google Scholar] [CrossRef] [PubMed]
- Tanika, M. Rohu: Systematic Position, Distribution and Structure|Bony Fish. Biology Discussion, an Online Platform to Promote Biology. 2018. Available online: http://www.biologydiscussion.com/fisheries/bony-fish/rohu-systematicposition-distribution-and-structure-bony-fish/40661 (accessed on 21 November 2024).
- Aker, W.G.; Hu, X.; Wang, P.; Hwang, H.M. Comparing the relative toxicity of malathion and malaoxon in blue catfish Ictalurus furcatus. Environ. Toxicol. 2008, 23, 548–554. [Google Scholar] [CrossRef] [PubMed]
- Ortiz-Delgado, J.B.; Funes, V.; Albendín, G.; Scala, E.; Sarasquete, C. Toxicity of malathion during Senegalese sole, Solea senegalensis larval development and metamorphosis: Histopathological disorders and effects on type B esterases and CYP1A enzymatic systems. Environ. Toxicol. 2021, 36, 1894–1910. [Google Scholar] [CrossRef] [PubMed]
- Shahbazi Naserabad, S.; Mirvaghefi, A.; Gerami, M.H.; Ghafari Farsani, H. Acute toxicity and behavioral changes of the gold fish (Carassius auratus) exposed to malathion and hinosan. Iran. J. Toxicol. 2015, 108, 1203–1208. [Google Scholar]
- Cui, J.; Wei, Y.; Jiang, J.; Xiao, S.; Liu, X.; Zhou, Z.; Liu, D.; Wang, P. Bioaccumulation, metabolism and toxicological effects of chiral insecticide malathion and its metabolites in zebrafish (Danio rerio). Chemosphere 2023, 318, 137898. [Google Scholar] [CrossRef]
- Ghafarifarsani, H.; Raeeszadeh, M.; Hajirezaee, S.; Ghafari Farsani, S.; Mansouri Chorehi, M. The effect of malathion concentration and exposure time on histopathological changes in the liver and gill of Rainbow Trout. Aquacult. Res. 2023, 2023, 3396066. [Google Scholar] [CrossRef]
- de Souza, S.S.; da Silva Castro, J.; Campos, D.F.; Pereira, R.S.; Bataglion, G.A.; da Silva, G.S.; de Almeida-Val, V.M. Temporal exposure to malathion: Biochemical changes in the Amazonian fish tambaqui, Colossoma macropomum. Aquat. Toxicol. 2021, 241, 105997. [Google Scholar] [CrossRef] [PubMed]
- Subburaj, A.; Jawahar, P.; Jayakumar, N.; Srinivasan, A.; Ahilan, B. Acute toxicity bioassay of Malathion (EC 50%) on the fish, Oreochromis mossambicus (Tilapia) and associated histological alterations in gills. J. Entomol. Zool. Stud. 2018, 6, 103–107. [Google Scholar]
- Venkataraman, G.V.; Rani, P.S. Acute toxicity and blood profile of freshwater fish, Clarias batrachus (Linn.) exposed to malathion. J. Acad. Ind. Res. 2013, 2, 200–204. [Google Scholar]
- Pandey, S.; Kumar, R.; Sharma, S.; Nagpure, N.S.; Srivastava, S.K.; Verma, M.S. Acute toxicity bioassays of mercuric chloride and malathion on air-breathing fish Channa punctatus (Bloch). Ecotoxicol. Environ. Saf. 2005, 61, 114–120. [Google Scholar] [CrossRef] [PubMed]
- Ullah, S.; Ahmad, S.; Altaf, Y.; Dawar, F.U.; Anjum, S.I.; Baig, M.M.F.A.; Fahad, S.; Al-Misned, F.; Atique, U.; Guo, X.; et al. Bifenthrin induced toxicity in Ctenopharyngodon idella at an acute concentration: A multi-biomarkers based study. J. King Saud Uni.-Sci 2022, 34, 101752. [Google Scholar] [CrossRef]
- Ullah, S.; Li, Z.; Arifeen, M.Z.U.; Khan, S.U.; Fahad, S. Multiple biomarkers based appraisal of deltamethrin induced toxicity in silver carp (Hypophthalmichthys molitrix). Chemosphere 2019, 214, 519–533. [Google Scholar] [CrossRef] [PubMed]
- David, M.; Sangeetha, J.; Shrinivas, J.; Harish, E.; Naik, V. Effects of deltamethrin on haematological indices of indian major carp, Cirrhinus mrigala (Hamilton). Int. J. Pure Appl. Zool. 2015, 3, 37–43. [Google Scholar]
- Qadir, S.; Latif, A.; Ali, M.; Iqbal, F. Effects of imidacloprid on the hematological and serum biochemical profile of Labeo rohita. Pak. J. Zool. 2014, 46, 1085–1090. [Google Scholar]
- Bibi, N.; Zuberi, A.; Naeem, M.; Ullah, I.; Sarwar, H.; Atika, B. Evaluation of acute toxicity of karate and its sub-lethal effects on protein and acetylcholinestrase activity in Cyprinus carpio. Int. J. Agric. Biol. 2014, 16, 731–737. [Google Scholar]
- Lowry, O.H.; Rosebrough, N.J.; Farr, A.L.; Randall, R.J. Protein measurement with the Folin phenol reagent. J. Biol. Chem. 1951, 193, 265–275. [Google Scholar] [CrossRef] [PubMed]
- Change, B.; Maehly, A. Assay of catalases and peroxidase. Met. Enzymol. 1955, 2, 764–775. [Google Scholar]
- Kakkar, P.; Das, B.; Viswanathan, P. A modified spectrophotometric assay of superoxide dismutase. Ind. J.Biochem. Biophy. 1984, 21, 130–132. [Google Scholar]
- Carlberg, I.; Mannervik, E.B. Glutathione Level in Rat Brain. J. Biol. Chem. 1975, 250, 4475–4480. [Google Scholar]
- Mohandas, J.; Marshall, J.J.; Duggin, G.G.; Horvath, J.S.; Tiller, D.J. Differential distribution of glutathione and glutathione-related enzymes in rabbit kidney: Possible implications in analgesic nephropathy. Biochem. Pharmacol. 1984, 33, 1801–1807. [Google Scholar] [CrossRef] [PubMed]
- Habig, W.H.; Pabst, M.J.; Jakoby, W.B. Glutathione S-transferases: The first enzymatic step in mercapturic acid formation. J. Biol. Chem. 1974, 249, 7130–7139. [Google Scholar] [CrossRef] [PubMed]
- Jollow, D.; Mitchell, J.; Zampaglione, N.A.; Gillette, J. Bromobenzene-induced liver necrosis. Protective role of glutathione and evidence for 3, 4-bromobenzene oxide as the hepatotoxic metabolite. Pharmacology 1974, 11, 151–169. [Google Scholar] [CrossRef]
- Mukherjee, A.; Bhowmick, A.R.; Mukherjee, J.; Muniruzzaman, M. Physiological response of fish under variable acidic conditions: A molecular approach through the assessment of an eco-physiological marker in the brain. Environ. Sci. Pol. Res. 2019, 26, 23442–23452. [Google Scholar] [CrossRef] [PubMed]
- Okoroiwu, H.U.; Iwara, I.A. Dichlorvos toxicity: A public health perspective. Interdiscipl. Toxicol. 2018, 11, 129–137. [Google Scholar] [CrossRef] [PubMed]
- Kunwar, P.S.; Parajuli, K.; Badu, S.; Sapkota, B.; Sinha, A.K.; De Boeck, G.; Sapkota, K. Mixed toxicity of chlorpyrifos and dichlorvos show antagonistic effects in the endangered fish species golden mahseer (Tor putitora). Comp. Biochem. Physiol. Part C Toxicol. Pharmacol. 2021, 240, 108923. [Google Scholar] [CrossRef] [PubMed]
- Laxmi, B.; Madhavi, K.; Adnan, A.; Devi, B.C.; Dhanapal, K.; Ramana, T. Sub lethal effects of dichlorvos on physiological parameters in fingerlings of Cyprinus carpio. Int. J. Curr. Microbiol. Appl. Sci. 2019, 8, 372–377. [Google Scholar] [CrossRef]
- Cabillon, N.A.R.; Lazado, C.C. Mucosal barrier functions of fish under changing environmental conditions. Fishes 2019, 4, 2. [Google Scholar] [CrossRef]
- Tiralongo, F.; Messina, G.; Lombardo, B.M.; Longhitano, L.; Li Volti, G.; Tibullo, D. Skin mucus of marine fish as a source for the development of antimicrobial agents. Front. Mar. Sci. 2020, 7, 541853. [Google Scholar] [CrossRef]
- Espinosa-Ruíz, C.; Esteban, M.Á. Wound-induced changes in antioxidant enzyme activities in skin mucus and in gene expression in the skin of gilthead seabream (Sparus aurata L.). Fishes 2021, 6, 15. [Google Scholar] [CrossRef]
- Li, C.; Yuan, S.; Zhou, Y.; Li, X.; Duan, L.; Huang, L.; Zhou, X.; Ma, Y.; Pang, S. Microplastics reduce the bioaccumulation and oxidative stress damage of triazole fungicides in fish. Sci. Total Environ. 2022, 806, 151475. [Google Scholar] [CrossRef]
- Li, Z.H.; Li, P.; Shi, Z.C. Chronic exposure to tributyltin induces brain functional damage in juvenile common carp (Cyprinus carpio). PLoS ONE 2015, 10, e0123091. [Google Scholar] [CrossRef]
- Witeska, M.; Kondera, E.; Bojarski, B. Hematological and hematopoietic analysis in fish toxicology—A review. Animals 2023, 13, 2625. [Google Scholar] [CrossRef]
- Sharmin, S.; Islam, M.T.; Sadat, M.A.; Jannat, R.; Alam, M.R.; Shahjahan, M. Sumithion induced structural erythrocyte alteration and damage to the liver and kidney of Nile tilapia. Environ. Sci. Pol. Res. 2021, 28, 36695–36706. [Google Scholar] [CrossRef]
- Jayaprakash, C.; Shettu, N. Changes in the hematology of the freshwater fish, Channa punctatus (Bloch) exposed to the toxicity of deltamethrin. J. Chem. Pharma. Res. 2013, 5, 178–183. [Google Scholar]
- Barathinivas, A.; Ramya, S.; Neethirajan, K.; Jayakumararaj, R.; Pothiraj, C.; Balaji, P.; Faggio, C. Ecotoxicological effects of pesticides on hematological parameters and oxidative enzymes in freshwater Catfish, Mystus keletius. Sustainability 2022, 14, 9529. [Google Scholar] [CrossRef]
- Mansour, A.T.; Hamed, H.S.; El-Beltagi, H.S.; Mohamed, W.F. Modulatory effect of papaya extract against chlorpyrifos-induced oxidative stress, immune suppression, endocrine disruption, and DNA damage in female Clarias gariepinus. Int. J. Environ. Res. Public Health 2022, 19, 4640. [Google Scholar] [CrossRef]






| Behavioral Inconsistencies | Groups | |
|---|---|---|
| Control | Treated | |
| Jumping | Absent | Present |
| Erratic swimming | Absent | Present |
| Hyperactiveness | Absent | Present |
| Equilibrium loss | Absent | Present |
| Darting movement | Assent | Present |
| Air gulping | Absent | Present |
| Coming to the water surface to breathe | Absent | Present |
| Aggregation at the bottom corner of aquaria | Absent | Present |
| Hyperventilation | Absent | Present |
| Hypoactiveness | Absent | Present |
| Motionless state | Absent | Present |
| Adapting vertical position | Absent | Present |
| Cessation of feeding | Absent | Present |
| Secretion of mucus | Absent | Present |
| Hemorrhage (external) | Absent | Present |
| Color change | Absent | Present |
Disclaimer/Publisher’s Note: The statements, opinions and data contained in all publications are solely those of the individual author(s) and contributor(s) and not of MDPI and/or the editor(s). MDPI and/or the editor(s) disclaim responsibility for any injury to people or property resulting from any ideas, methods, instructions or products referred to in the content. |
© 2025 by the authors. Licensee MDPI, Basel, Switzerland. This article is an open access article distributed under the terms and conditions of the Creative Commons Attribution (CC BY) license (https://creativecommons.org/licenses/by/4.0/).
Share and Cite
Ullah, S.; Ahmad, S.; Ashraf, M.K.; Bilal, M.; Iqbal, T.; Azzam, M.M. Exposure to Acute Concentration of Malathion Induced Behavioral, Hematological, and Biochemical Toxicities in the Brain of Labeo rohita. Life 2025, 15, 158. https://doi.org/10.3390/life15020158
Ullah S, Ahmad S, Ashraf MK, Bilal M, Iqbal T, Azzam MM. Exposure to Acute Concentration of Malathion Induced Behavioral, Hematological, and Biochemical Toxicities in the Brain of Labeo rohita. Life. 2025; 15(2):158. https://doi.org/10.3390/life15020158
Chicago/Turabian StyleUllah, Sana, Saeed Ahmad, Muhammad Kashif Ashraf, Muhammad Bilal, Tariq Iqbal, and Mahmoud M. Azzam. 2025. "Exposure to Acute Concentration of Malathion Induced Behavioral, Hematological, and Biochemical Toxicities in the Brain of Labeo rohita" Life 15, no. 2: 158. https://doi.org/10.3390/life15020158
APA StyleUllah, S., Ahmad, S., Ashraf, M. K., Bilal, M., Iqbal, T., & Azzam, M. M. (2025). Exposure to Acute Concentration of Malathion Induced Behavioral, Hematological, and Biochemical Toxicities in the Brain of Labeo rohita. Life, 15(2), 158. https://doi.org/10.3390/life15020158

